Abstract
We theoretically studied the control of the extraction of anti-Stokes photoluminescence using photonic crystal (PhC) nanocavities. Our fabricated (erbium,oxygen)-codoped GaAs PhC nanocavity showed a positive feedback gain of heating through the excitation of the GaAs host, which suggests the possibility of higher laser-cooling efficiencies at lower temperatures in such systems. Based on this result, we constructed a theoretical framework of laser cooling in PhC nanocavities. The predicted laser cooling efficiency of a PhC nanocavity is six to eight times higher than that of the corresponding bulk system, and we predict that more than 24% can be achieved at 100 K using holmium-doped materials.
1. Introduction
Solid-state optical refrigeration is based on the extraction of phonon-assisted anti-Stokes photoluminescence (PL) from a material. The material can be cooled if the anti-Stokes PL is sufficiently strong, because the photon energy of the anti-Stokes PL is higher than that of the excitation source. The ratio of the so-called cooling power to the absorbed optical power is the laser cooling efficiency [1], which is usually limited to a few percent due to the intrinsic energy structure of the cooling material. The state-of-the-art laser cooling efficiency at room temperature is about 4% [2], but this value is far below the corresponding Carnot efficiency limit which requires a consideration of the flux temperatures of the excitation light and the fluorescence (e.g., greater than 20% in Tm-doped glass) [3].
In general, high-refractive index materials are not preferred as cooling media, because internal light trapping causes a considerable reduction of the fluorescence extraction efficiency [4]. Note that net cooling has been achieved mostly in rare-earth (RE)-doped crystal or glass materials [5,6,7,8], and the near-unity PL quantum yield of core–shell structures [9] enabled the first demonstration of laser cooling of a lead halide perovskite [10]. These results also suggest that high-refractive index materials, such as silicon and gallium arsenide (GaAs), are unfavorable for optical refrigeration.
On the other hand, in terms of a material for photonic crystals (PhCs), such a high-refractive index is preferable for realizing a high controllability of optical characteristics. For instance, silicon and GaAs are materials commonly used for PhCs [11,12,13,14,15,16], whose refractive indices are two times higher than well-known rare-earth-doped laser cooling materials. A typical two-dimensional PhC consists of periodically arranged air holes in thin slabs. By engineering the photonic band structure via the periodicity and symmetry of the refractive-index variation in such a PhC, the extraction efficiency of luminescence and the spontaneous emission rate of emitters embedded in the PhC can be controlled [17]: Firstly, when the photonic bandgap covers the electronic bandgap of a luminescent material, spontaneous emission is inhibited. Utilizing this effect caused by the photonic bandgap, an earlier work has theoretically predicted an enhanced laser cooling efficiency in rare-earth-doped PhC where the photonic density of states is modulated by periodic air holes [18]. Secondly, a PhC nanocavity, which is a defect in a PhC that can be created by removing several air holes, enhances the spontaneous emission as a result of the Purcell effect [19,20]. This enhancement by the Purcell effect, the so-called Purcell factor, is proportional to the ratio of the quality factor (Q-factor) of the nanocavity mode to the modal volume V. Recently, high Q-factors up to 4.3 × 106 and small modal volumes per cubic wavelength of ~0.7 have been achieved by optimizing a line defect consisting of three missing air holes in a PhC (the so-called L3 nanocavity) [21]. Accordingly, the luminescence of a localized fluorescence center can be strongly enhanced. For instance, the PL of (erbium,oxygen)-codoped GaAs (GaAs:Er,O) in the vicinity of telecommunication wavelengths has been enhanced by a factor of 18 [22]. A similar enhancement effect is also expected to occur for anti-Stokes PL via phonon absorption.
Cooling efficiency is strongly influenced by the mean fluorescence wavelength. Here, the efficient radiation of anti-Stokes fluorescence concentrated at an appropriate wavelength improves the efficiency. In this work, we propose an artificial control of the anti-Stokes fluorescence radiation using a PhC structure and theoretically predict enhanced laser cooling efficiencies. Here, we focus on RE ions over other types of emitters because their capacity for optical refrigeration down to cryogenic temperatures below 100 K has been reported [23] and use of an all-solid-state optical cryocooler has been demonstrated [24] for Yb-doped yttrium lithium fluoride. As the 4f electrons are shielded by the closed-shell 5s and 5p electrons from outside, the energy levels of the RE ions are insensitive to the density of the RE ions and the temperature. In this work, we focus on a PhC nanocavity doped with RE elements. Additionally, RE doping has also been investigated in the context of optical metasurfaces [25]. On the other hand, quantum dots [26] or nanocrystals [27] could have an advantage in integrating an emitter with a PhC nanocavity. The experimental result in a PhC nanocavity made of GaAs:Er,O indicates a possibility of positive feedback gain in optical refrigeration. At the critical condition, laser cooling efficiency is enhanced by the Purcell effect, and it is improved as the temperature of the PhC nanocavity decreases, based on the cavity mode shift caused by the thermal shrinkage. Also, we predict that the laser cooling efficiency of a PhC nanocavity made of a RE-doped high-refractive index material is several times higher than that of the corresponding bulk system. An efficient optical refrigeration at the sub-micron scale would open the pathway to next-generation photonics equipment, for example, nano-sized radiation-balanced lasers, tiny optical refrigerators, and nano-sized modulators, which are also applicable to vertical external-cavity surface-emitting lasers, photonic integrated circuits, and nanophotonic devices processing quantum information [28].
2. Materials and Methods
GaAs:Er,O was selected as the base material of the PhC, because we found that epitaxially grown GaAs:Er,O fabricated by low-pressure organometallic vapor phase epitaxy (OMVPE) emits phonon-assisted anti-Stokes PL. Additionally, although there are many technical hurdles that should be overcome, GaAs:Er,O grown by OMVPE has mainly three advantages compared to previous semiconductor laser cooling materials and quantum structures. Firstly, non-radiative surface recombination is suppressed in the samples prepared by the well-developed process (<1.5 × 10−4 s−1) [29]. Secondly, there are a few chances for Auger recombination because the emission energy of ~0.83 eV of the Er-nO pair is sufficiently lower than the interband transition energy in GaAs. Thirdly, GaAs host crystal only works as a refractive medium and does not absorb excitation light of ~0.8 eV, which is fine-tuned at the absorption frequency of the Er-O pair.
To confirm the anti-Stokes PL, we grew an epitaxial layer of GaAs:Er,O on a semi-insulating GaAs (001) substrate by OMVPE with triethylgallium and tertiarybutylarsine as group III and V sources, respectively, and tris(isopropylcyclopentadienyl)erbium as the Er-doping source [22]. The pressure during the crystal growth was 76 Torr. The concentration of Er3+ ions in the GaAs:Er,O-active layer was estimated to be ~1019 cm−3. For the anti-Stokes PL measurements, a distributed feedback laser diode with a single transverse mode emission at 1594 nm was used to enable the resonant excitation of Er3+. The measurements were performed at room temperature, and the anti-Stokes PL signals were dispersed by a single monochromator (F-number: 3.88, grating with 600 gr/mm, and a blaze wavelength of 1000 nm) and detected by a liquid-nitrogen-cooled InGaAs diode array.
The L3 nanocavity sample was prepared as follows [22]: First, a GaAs:Er,O/GaInP-layer structure was grown on a GaAs (001) substrate by low-pressure OMVPE as explained above. The estimated Er3+ concentration in the 250 nm-thick GaAs:Er,O layer was ~1019 cm−3. Then, electron beam lithography was used to prepare a two-dimensional pattern of circular air holes arranged in a triangular lattice with 45 periods. Finally, the GaInP sacrificial layer was selectively removed by wet etching using HCl to fabricate a free-standing GaAs:Er,O PhC slab. The Er3+ concentration of ~1019 cm−3 corresponds to a few hundred thousand in the L3 nanocavity. Therefore, numerous Er3+ ions interact with one cavity. To ensure resonance between the cavity mode and the luminescence center, 160 different PhC nanocavity structures with lattice constants ranging from a = 300 to 500 nm were prepared on the wafer. The air-hole radius r was set to 0.29a. The modulation of the nanocavity mode by photoexcitation was characterized by µ-PL measurements at room temperature. A continuous-wave He–Ne laser at 633 nm was focused on the chosen PhC nanocavity to excite the GaAs host, which leads to an indirect excitation of the nanocavity. The PL signal of the nanocavity was collected by an objective lens (numerical aperture: 0.42) located above the sample, dispersed with a 0.75 m single monochromator (F-number: 7, grating with 1200 gr/mm), and detected using a liquid-nitrogen-cooled InGaAs diode array. The spectral resolution of this µ-PL system was 0.1 nm.
3. Results and Discussion
3.1. Positive Feedback Gain of Heating in GaAs:Er,O/GaAs PhC
To understand the laser cooling performance of a PhC nanocavity, we need to consider the cavity-mode shift induced by a temperature change ΔT. Because a temperature change causes a perturbation of the cavity mode via the refractive index n(λ,T) and thermal expansion, the cavity-mode wavelength at temperature T in vacuum, λcav(T), is written as follows:
Here, CTE is a modulation constant to describe the influence of thermal expansion, and T0 is the initial temperature. The energy spacing from the excitation photon energy Eexc to the photon energy of the emission coupled into the cavity is written as follows:
By using a grown L3 nanocavity sample, we experimentally confirmed that a cavity-mode shift occurs due to the temperature change in the PhC nanocavity under photoexcitation.
Figure 1a shows the anti-Stokes PL spectra of the GaAs:Er,O/GaAs, excited with 1594 nm light (excitation power: 1.2 mW) for two different polarization directions of the excitation light. The blue and red spectra are the results for polarization along the <100> and <110> directions of GaAs, respectively. Anti-Stokes PL in the region 1370–1550 nm is only observed in the case of polarization along <100>. In addition, the shape of the observed anti-Stokes PL spectrum in Figure 1a differs from the Stokes PL spectrum of GaAs:Er,O, which is caused by the so-called Er–2O pair under indirect excitation via an energy transfer from the host material [30,31]. These results suggest that another Er-mO pair (m = 1, 3, or 4) constitutes the emission center for the anti-Stokes PL in Figure 1a. Because the anti-Stokes PL intensity of our sample linearly increases with the excitation power, the generation mechanism of the observed anti-Stokes PL is attributed to phonon absorption. Thus, GaAs:Er,O is one of the material candidates for laser cooling in solids.
Figure 1.
(a) Room-temperature anti-Stokes PL spectrum of GaAs:Er,O/GaAs, excited at 1594 nm (resonant excitation of Er3+), for a polarization of the excitation light along the <100> (blue), and <110> (red) directions of GaAs. An anti-Stokes signal is only observed in the former case. (b) The room-temperature cavity-mode spectra of the L3 nanocavity with a = 408.75 nm in the free-standing GaAs:Er,O slab under 633 nm excitation (indirect excitation of the nanocavity mode) for different excitation powers. The curves are vertically offset for clarity. (c) Summary of the PL peak positions in (b).
Figure 1b shows the cavity-mode spectra of the L3 nanocavity with a = 408.75 nm in the free-standing GaAs:Er,O slab under 633 nm excitation for different excitation powers (from 100 to 630 µW). At an excitation power of 100 µW, the Stokes PL of GaAs:Er,O coupled into the cavity mode is observed at 1465.75 nm. As the excitation power is increased, the peak position nonlinearly shifts to longer wavelengths as shown in Figure 1c. This redshift originates from the modulation of the nanocavity mode due to a significant temperature increase caused by a non-radiative relaxation of carriers under the 633 nm excitation of GaAs. The red dashed line is a fit of the data to Equation (1). Here, we approximated ΔT by a second-order polynomial function, i.e., ΔT ≈ αP+βP2, where P is the excitation power and α and β are fitting coefficients. Furthermore, as the optical dispersion of the refractive index in the detected wavelength region is negligible, a wavelength-independent refractive index was assumed. By using the least squares method, we obtained λcav = 1465.58 nm, CTE = 0.95 nm/K, α = 3.47 × 10−4 K/µW, and β = 2.98 × 10−6 K/µW2. The significance of the nonlinear terms in λcav(T) suggests that multi-phonon relaxation is the origin of the heating process in the case of indirect excitation, because the multi-phonon relaxation rate increases exponentially with the temperature. The most important aspect of the abovementioned mode shift is the positive feedback gain of heating. If a positive feedback gain occurs during the cooling process in the same manner, a higher laser cooling efficiency can be realized at lower temperatures, because the cavity mode energy increases as the temperature becomes lower due to thermal shrinkage.
3.2. Laser Cooling Efficiency in Idealized Rare-Earth-Doped PhC Nanocavities
We discuss hereinafter an idealized system with temperature-independent CTE. Based on the thermally induced cavity-mode shifts [32], we derive the laser cooling efficiency of our PhC nanocavity as follows. The total radiation power Prad of an emitter embedded in a PhC nanocavity with a cavity-mode energy of Ecav = hc/λcV can be written as
where f(E) is the radiation photon flux per unit energy, r is a dimensionless quantity denoting the background component, and Γ(E) is the Purcell factor. In the case of anti-Stokes PL emission from the nanocavity (Ecav > Eexc), and a negligible background signal, the anti-Stokes PL power PASPL corresponds to the cooling power Pcool, which can be written as follows:
Equation (4) assumes a perfect photonic bandgap in the energy region of the anti-Stokes PL. The power absorbed by the material, Pabs, can be expressed in terms of Prad, the losses due to non-radiative processes, Ploss, and the extracted phonon power Pphon:
In the ideal case of Ploss = 0, we obtain the ideal laser cooling efficiency of the PhC nanocavity:
Thus, the laser cooling efficiency of a PhC nanocavity without losses is equal to the ratio of the anti-Stokes PL photon energy coupled into the cavity mode to the excitation photon energy subtracted by one. By substituting the temperature-dependent cavity energy hc/λcav(T) for Ecav in Equation (7), we obtain the expression for the temperature-dependent ideal cooling efficiency.
Figure 2 shows the theoretically predicted temperature dependence of for four different RE3+-doped cavity materials [RE = Ho (red), Tm (green), Er (dark blue), and Yb (light blue)]. This calculation assumes that the emission of the RE cooling center is coupled to the nanocavity as an initial condition. The initial temperature T0 was set to 293 K, and for the modulation constant, we used CTE = 0.2 nm/K, which is comparable to the value derived from the data in Figure 1b. This modulation constant is low enough to avoid a detuning from the fluorescence band in the considered temperature range. For this calculation, we considered the temperature-dependent refractive index of GaAs at 1.53 μm in the range from 100 to 300 K [33], and the energy structures of the RE3+ ions for the transitions from the ground to the first excited manifold [34]. Note that the wavelength dependence of the refractive index of GaAs was ignored, because it is almost constant in the infrared region [35]. For each material (that is, a GaAs host containing either Ho3+, Tm3+, Er3+, or Yb3+ ions), we determined both the excitation energy (Eexc = 0.55, 0.65, 0.77, and 1.13 eV, respectively) and the initial energy of the cavity [Ecav(T0) = 0.64, 0.75, 0.86, and 1.18 eV, respectively] based on the corresponding energy structures and the reported PL spectra [2,36,37,38,39,40].
Figure 2.
Theoretically predicted temperature dependence of for four different RE3+-doped cavity materials [RE = Ho (red), Tm (green), Er (dark blue), and Yb (light blue)]. T0 = 293 K.
Although the laser cooling efficiency of a bulk system is lower at lower temperatures due to a weaker anti-Stokes PL intensity at lower temperatures, the in Figure 2 becomes higher as the temperature decreases. This positive feedback gain of cooling is a consequence of the thermal shrinkage of the PhC nanocavity. At 100 K, the laser cooling efficiencies of PhC nanocavities coupled to the cooling centers of Ho3+, Tm3+, Er3+, and Yb3+ ions are 24.6%, 24.5%, 22.2%, and 17.8%, respectively. These values are six to eight times larger than the ideal cooling efficiency without a PhC nanocavity structure. The above computation results indicate the effects of the positive feedback gain in optical refrigeration by a PhC nanocavity.
On the other hand, we have not succeeded in observing the anti-Stokes PL from a PhC nanocavity under a resonant excitation condition in the present work. While the extraction of ~30 pJ from our PhC nanocavity can refrigerate the active layer by 1 K, the observation of anti-Stokes PL under the resonant excitation of the Er-O pair requires a high excitation power due to the photonic bandgap effect and the small number of cooling centers in the nanocavity. Assuming the optical properties of the GaAs:Er,O two-dimensional-PhC nanocavity (an absorption coefficient of 1 × 10−3 cm−1, a reflectivity of 99%, an enhanced radiative recombination rate of 1 × 104 s−1, and a slab thickness of 250 nm) and the typical sensitivity of the observation system (a photodiode sensitivity of ~10−10 A/photon and a noise level of 100 counts with 60 s exposure), an excitation power exceeding 500 mW is required to observe an anti-Stokes PL signal from a 2D-PhC nanocavity with a signal-to-noise ratio of >10. Furthermore, using higher-Q cavities and an improved coupling efficiency are essential for overcoming the limitations in this study. In particular, the Q-value of ~5 × 103 in our sample [22] has room for improvement because a value of 4.3 × 106 has been reported for the L3 nanocavity [21].
The minimum temperature Tmin that can be achieved by the laser cooling of a PhC nanocavity is the temperature at which the cavity-mode energy Ecav(T) is equal to the highest photon energy observed in the luminescence spectrum, Emax, because there is no emission center for anti-Stokes PL above Emax. Because the nanocavity mode is modulated by the refractive index depending on the temperature, Tmin can be determined using the following equation:
The variable Tn is a temperature reflecting the degree of non-ideality and is equal to or larger than zero. In a non-ideal system, losses caused by non-radiative processes in the cooling center, Pnr, and losses caused by background absorption, Pbg, need to be considered:
In the simple case without background absorption, we can write the following:
Here, Ee0 is the lowest energy of the excited manifold, εe is the energy splitting of the excited manifold, wr and wnr are the radiative and non-radiative decay rates, respectively, and Dexc(E) is the density of the electrons that populate the excited manifold. Although the surface recombination and Auger recombination processes are known as critical heat sources of semiconductor laser cooling materials [41,42], the laser cooling process achieved by the small resonant excitation energy of the Er-O pair rather than the GaAs bandgap inhibits these effects. By combining Equations (4)–(6), (9), and (10), we find that the laser cooling efficiency of a non-ideal PhC nanocavity can be written as follows:
where Nexc(E) is the number of electrons that populate the excited manifold. In Equation (11), we introduced the mean non-radiative loss Enr, which is the average energy loss per absorbed photon. According to Equation (12), a higher Purcell factor leads to a lower mean non-radiative loss. Thus, in laser cooling devices based on a PhC nanocavity design, the mean non-radiative loss can be partially suppressed by the Purcell effect.
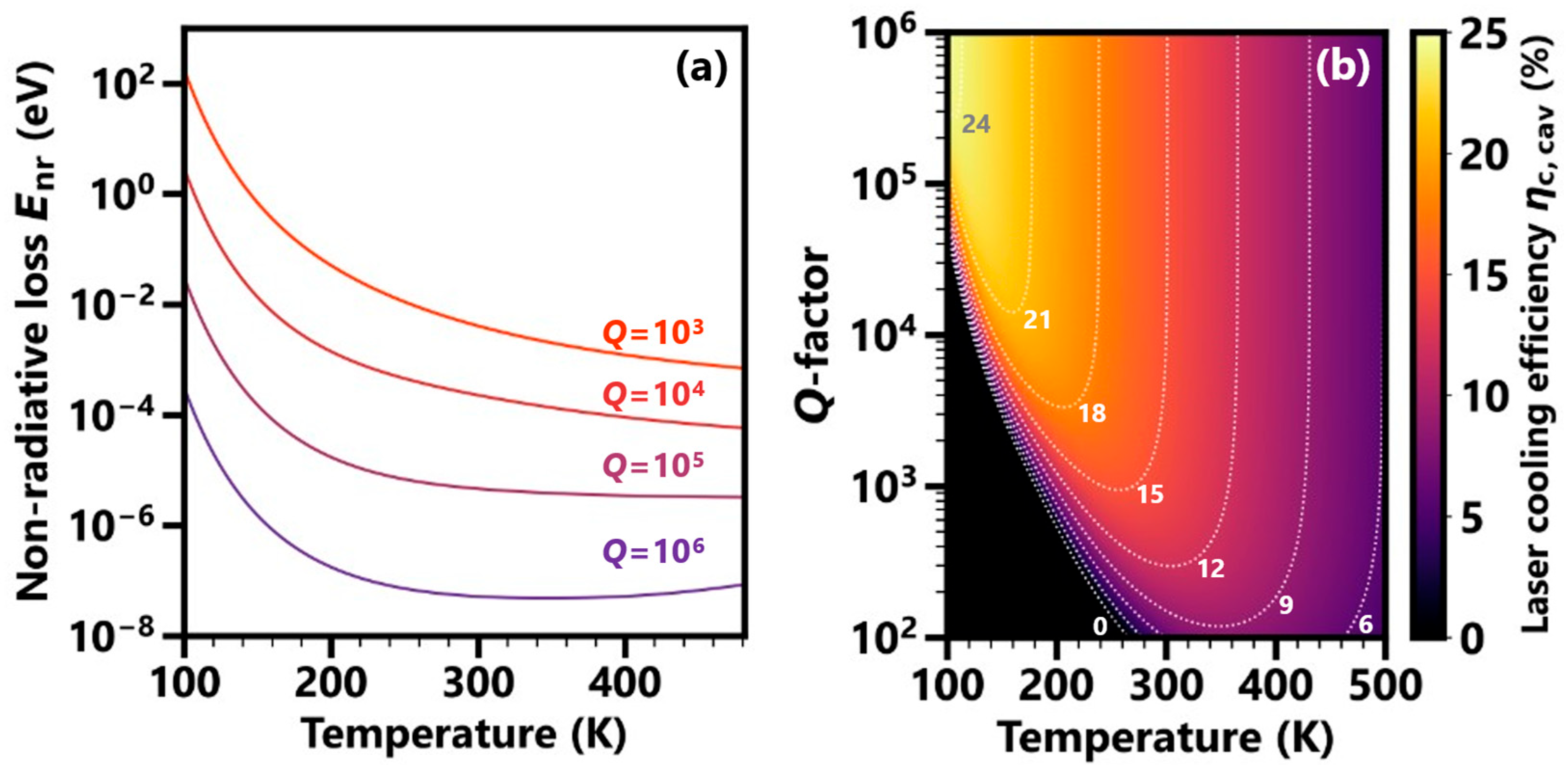
Figure 3 shows the theoretically predicted Enr(T) for various Q-factors considering PhC nanocavities made of a Ho-doped high-refractive index material. Here, the multi-phonon relaxation from the 5I7 to the 5I8 manifolds of Ho3+, which causes serious heating, is considered as the non-radiative loss process. We used typical material properties for this calculation: the radiative decay rate was wr = 103 s−1 and for the host-dependent constants related to electron–phonon interactions [43], we used an electron–phonon coupling factor γ of 3.5 and a spontaneous emission rate of the phonons C of 1014 s−1 at 0 K. We also assumed Γ = (3Q/4π2V)(λcav(T)/n(T))3 and an optimized L3 nanocavity with a mode volume of V ~ 0.69(λcav(T)/n(T))3 [44]. The Purcell factor Γ considered in this calculation is proportional to about 0.11Q.
Figure 3.
(a) Enr as a function of temperature for various Q-factors. We considered PhC nanocavities made of a Ho-doped high-refractive index material. A larger Q-factor leads to an improved laser cooling efficiency due to the suppression of the mean non-radiative loss by the Purcell effect. (b) Laser cooling efficiency
as a function of the cavity temperature T and the Q-factor for PhC nanocavities made of a Ho-doped high-refractive index material. The color bar shows the relation between the color used in the map and the predicted laser cooling efficiency . For the non-radiative loss, we considered the calculation results in (a), and the other parameters were defined similarly to the ideal case. Note that the effect of detuning was not incorporated.
As shown in Figure 3a, although a large Q-factor significantly suppresses the non-radiative process, Enr exponentially increases in both the low- and high-temperature regions: The exponential increase of Enr for lower temperatures in the low-temperature region is due to a reduced electron population at Ecav. On the other hand, in the high-temperature region, higher temperatures give rise to an increased Enr because a thermal population of phonons and electrons results in an enhanced multi-phonon relaxation rate and a larger amount of energy transferred to the lattice vibrations of the host crystal.
Figure 3b presents as a function of T and Q for PhC nanocavities based on a Ho-doped high-refractive index material. The color bar shows the relation between the color used in the figure and the predicted laser cooling efficiency . For the non-radiative loss, we considered the calculation results in Figure 3a, and the other parameters were defined similarly to the ideal case (see the discussion of Figure 2). Note that the effect of detuning was not considered in the calculation for Figure 3b. Detuning and fabrication-related imperfections can significantly influence device performance. In the present study, we establish a fundamental understanding of the idealized system behavior under controlled conditions.
According to Figure 3b, the laser cooling efficiency of the Ho-based nanocavity with Q = 102 is negative in the range T < 266 K and the maximum cooling efficiency of 8.35% is reached at T = 358 K. As the Q-factor increases, the maximum of (T) becomes higher, as expected from Equation (12), and Tmin approaches the 89 K of the ideal case (Tn→0). In addition, becomes higher at lower temperatures, which is similar to the behavior of . For example, in the case of Q > 2.8 × 105 [Γ(Ecav) = 4.05], the maximum laser cooling efficiency reaches more than 24% at 100 K, which is close to the corresponding thermodynamic efficiency limit of laser cooling in bulk material [3]. Our calculation result emphasizes the importance of high Purcell factors for the laser cooling of PhC nanocavities.
To utilize PhC nanocavities for laser cooling in a wide temperature range while maintaining a high efficiency, cooling-induced modulation and detuning need to be controlled. The Purcell factor Γ as a function of temperature can be written as follows [45]:
Here, Eem is the luminescence energy of the emitter, and γc is the homogeneous linewidth of the cavity. For Figure 3, we assumed that the spatial overlap between the electric dipole and the electric field in the nanocavity structure is maximized, and therefore, we note that Equation (13) consists of two fractions that describe the maximum Purcell factor and the effect of detuning, respectively. The second fraction is ≤1, and the maximum Purcell factor is described by the first fraction, which is proportional to Q/V. In general, the Q-factor of the emitter (which is the ratio of the resonance frequency to the homogeneous linewidth) limits the design Q-factor of a high-Q cavity system. On the other hand, the second fraction mainly causes a degradation of the Purcell factor for certain ranges of the operating temperatures due to detuning. To reduce this latter effect, two approaches can be considered: The first approach is a solution based on appropriate material selection. For example, it is possible to use high-refractive semiconductor hosts and Ho3+, which provide 132 radiation peaks within the energy range of 0.56–0.68 eV. The second approach is to find a combination of an emitter material and a PhC structure that satisfies the conditions of CTE 0 and dn/dT 0 (or that has a CTE that cancels the effect of the change in n). This may be achieved by a gentle adjustment of the stoichiometry and the PhC structure with the assistance of an inverse design approach [46].
4. Conclusions
We have predicted the laser cooling efficiencies of PhC nanocavity systems based on RE-doped high-refractive index materials. Our fabricated GaAs:Er,O L3 PhC nanocavity exhibited a larger Stokes shift for stronger photoexcitation because of thermal expansion, and this result suggests the presence of a positive feedback gain of laser cooling in PhC nanocavities. According to our calculations, in principle, the laser cooling efficiency of a PhC nanocavity system can be six to eight times higher than that of the corresponding bulk system, and the efficiency can reach more than 24% in Ho-doped materials at 100 K. The predicted enhanced laser cooling efficiencies close to the thermodynamic limit are a result of the inhibition of low-energy PL by the photonic bandgap effect and a suppression of non-radiative losses by the Purcell effect.
Author Contributions
Conceptualization, Y.N., Y.H. and T.K.; methodology, Y.N.; validation, Y.H. and T.K.; formal analysis, Y.N. and Y.H.; investigation, Y.N., M.O., J.T., Y.H., Y.F. and T.K.; resources, M.O., J.T. and Y.F.; data curation, Y.N. and Y.H.; writing—original draft preparation, Y.N., Y.H. and T.K.; writing—review and editing, Y.N., J.T., Y.H., Y.F. and T.K.; visualization, Y.N., Y.H. and T.K.; supervision, T.K.; project administration, Y.H. and T.K.. All authors have read and agreed to the published version of the manuscript.
Funding
This research received no external funding.
Data Availability Statement
The data that support the findings of this study are available from the corresponding author upon reasonable request.
Conflicts of Interest
The authors declare no conflicts of interest.
Abbreviations
The following abbreviations are used in this manuscript:
| PhC | Photonic crystal |
| PL | Photoluminescence |
| RE | Rare earth |
| GaAs | Gallium arsenide |
| Q-factor | Quality factor |
| OMVPE | Organometallic vapor phase epitaxy |
References
- Epstein, R.I.; Buchwald, M.I.; Edwards, B.C.; Gosnell, T.R.; Mungan, C.E. Observation of laser-induced fluorescent cooling of a solid. Nature 1995, 377, 500–503. [Google Scholar] [CrossRef]
- Rostami, S.; Albrecht, A.R.; Volpi, A.; Sheik-Bahae, M. Observation of optical refrigeration in a holmium-doped crystal. Photonics Res. 2019, 7, 445–451. [Google Scholar] [CrossRef]
- Ruan, X.L.; Kaviany, M. Advances in Laser Cooling of Solids. J. Heat Transfer 2007, 129, 3–10. [Google Scholar] [CrossRef]
- Hassani Nia, I.; Rezaei, M.; Brown, R.; Jang, S.J.; Turay, A.; Fathipour, V.; Mohseni, H. Efficient luminescence extraction strategies and anti-reflective coatings to enhance optical refrigeration of semiconductors. J. Lumin. 2016, 170, 841–854. [Google Scholar] [CrossRef]
- Seletskiy, D.V.; Epstein, R.; Sheik-Bahae, M. Laser cooling in solids: Advances and prospects. Reports Prog. Phys. 2016, 79, 096401. [Google Scholar] [CrossRef]
- Hehlen, M.P.; Sheik-Bahae, M.; Epstein, R.I.; Melgaard, S.D.; Seletskiy, D.V. Materials for Optical Cryocoolers. J. Mater. Chem. C 2013, 1, 7471–7478. [Google Scholar] [CrossRef]
- Hehlen, M.P. Novel materials for laser refrigeration. In Laser Refrigeration of Solids II, SPIE OPTO: Integrated Optoelectronic Devices, San Jose, CA, USA, 24–29 January 2009; SPIE: Bellingham, WA, USA, 2009; Volume 7228. [Google Scholar] [CrossRef]
- Fernandez, J.; Garcia-Adeva, A.J.; Balda, R. Anti-Stokes Laser Cooling in Bulk Erbium-Doped Materials. Phys. Rev. Lett. 2006, 97, 033001. [Google Scholar] [CrossRef]
- Zhang, S.; Zhukovskyi, M.; Jankó, B.; Kuno, M. Progress in laser cooling semiconductor nanocrystals and nanostructures. NPG Asia Mater. 2019, 11, 1–19. [Google Scholar] [CrossRef]
- Roman, B.J.; Villegas, N.M.; Lytle, K.; Sheldon, M. Optically Cooling Cesium Lead Tribromide Nanocrystals. Nano Lett. 2020, 20, 8874–8879. [Google Scholar] [CrossRef]
- Takahashi, Y.; Inui, Y.; Chihara, M.; Asano, T.; Terawaki, R.; Noda, S. A micrometre-scale Raman silicon laser with a microwatt threshold. Nature 2013, 498, 470–474. [Google Scholar] [CrossRef] [PubMed]
- He, X.-T.; Liang, E.-T.; Yuan, J.-J.; Qiu, H.-Y.; Chen, X.-D.; Zhao, F.-L.; Dong, J.-W. A silicon-on-insulator slab for topological valley transport. Nat. Commun. 2019, 10, 872. [Google Scholar] [CrossRef]
- Ogawa, S.; Imada, M.; Yoshimoto, S.; Okano, M.; Noda, S. Control of Light Emission by 3D Photonic Crystals. Science 2004, 305, 227–229. [Google Scholar] [CrossRef]
- Guha, B.; Marsault, F.; Cadiz, F.; Morgenroth, L.; Ulin, V.; Berkovitz, V.; Lemaître, A.; Gomez, C.; Amo, A.; Combrié, S.; et al. Surface-enhanced gallium arsenide photonic resonator with quality factor of 6 × 106. Optica 2017, 4, 218–221. [Google Scholar] [CrossRef]
- Hepp, S.; Bauer, S.; Hornung, F.; Schwartz, M.; Portalupi, S.L.; Jetter, M.; Michler, P. Bragg grating cavities embedded into nano-photonic waveguides for Purcell enhanced quantum dot emission. Opt. Express 2018, 26, 30614–30622. [Google Scholar] [CrossRef]
- Iwamoto, S.; Arakawa, Y.; Gomyo, A. Observation of enhanced photoluminescence from silicon photonic crystal nanocavity at room temperature. Appl. Phys. Lett. 2007, 91, 211104. [Google Scholar] [CrossRef]
- Noda, S.; Fujita, M.; Asano, T. Spontaneous-emission control by photonic crystals and nanocavities. Nat. Photonics 2007, 1, 449–458. [Google Scholar] [CrossRef]
- Garcia-Adeva, A.J.; Balda, R.; Fernández, J.; Epstein, R.I.; Sheik-Bahae, M. Rare-earth-doped photonic crystals for the development of solid-state optical cryocoolers. In Proceedings of the Laser Refrigeration of Solids II, SPIE OPTO: Integrated Optoelectronic Devices, San Jose, CA, USA, 24–29 January 2009; SPIE: Bellingham, WA, USA, 2009; Volume 7228. [Google Scholar] [CrossRef]
- Purcell, E.M. Spontaneous emission probabilities at radio frequencies. Phys. Rev. B 1946, 69, 681. [Google Scholar] [CrossRef]
- Goy, P.; Raimond, J.M.; Gross, M.; Haroche, S. Observation of Cavity-Enhanced Single-Atom Spontaneous Emission. Phys. Rev. Lett. 1983, 50, 1903–1906. [Google Scholar] [CrossRef]
- Shibata, T.; Asano, T.; Noda, S. Fabrication and characterization of an L3 nanocavity designed by an iterative machine-learning method. APL Photonics 2021, 6, 036113. [Google Scholar] [CrossRef]
- Ogawa, M.; Tatebayashi, J.; Fujioka, N.; Higashi, R.; Fujita, M.; Noda, S.; Timmerman, D.; Ichikawa, S.; Fujiwara, Y. Quantitative evaluation of enhanced Er luminescence in GaAs-based two-dimensional photonic crystal nanocavities. Appl. Phys. Lett. 2020, 116, 181102. [Google Scholar] [CrossRef]
- Melgaard, S.D.; Albrecht, A.R.; Hehlen, M.P.; Sheik-Bahae, M. Solid-state optical refrigeration to sub-100 Kelvin regime. Sci. Rep. 2016, 6, 20380. [Google Scholar] [CrossRef]
- Hehlen, M.P.; Meng, J.; Albrecht, A.R.; Lee, E.R.; Gragossian, A.; Love, S.P.; Hamilton, C.E.; Epstein, R.I.; Sheik-Bahae, M. First demonstration of an all-solid-state optical cryocooler. Light. Sci. Appl. 2018, 7, 15. [Google Scholar] [CrossRef]
- Chehadi, Z.; Montanari, M.; Granchi, N.; Modaresialam, M.; Koudia, M.; Abel, M.; Putero, M.; Grosso, D.; Intonti, F.; Abbarchi, M. Soft Nano-Imprint Lithography of Rare-Earth-Doped Light-Emitting Photonic Metasurface. Adv. Opt. Mater. 2022, 10, 2201618. [Google Scholar] [CrossRef]
- Nemova, G.; Kashyap, R. Laser cooling with PbSe colloidal quantum dots. J. Opt. Soc. Am. B 2012, 29, 676–682. [Google Scholar] [CrossRef]
- Pokryshkin, N.S.; Mantsevich, V.N.; Timoshenko, V.Y. Anti-Stokes Photoluminescence in Halide Perovskite Nanocrystals: From Understanding the Mechanism towards Application in Fully Solid-State Optical Cooling. Nanomaterials 2023, 13, 1833. [Google Scholar] [CrossRef]
- Arrazola, J.M.; Bergholm, V.; Brádler, K.; Bromley, T.R.; Collins, M.J.; Dhand, I.; Fumagalli, A.; Gerrits, T.; Goussev, A.; Helt, L.G.; et al. Quantum circuits with many photons on a programmable nanophotonic chip. Nature 2021, 591, 54–60. [Google Scholar] [CrossRef] [PubMed]
- Sheik-Bahae, M.; Epstein, R.I. Optical refrigeration. Nat. Photonics 2007, 1, 693–699. [Google Scholar] [CrossRef]
- Hogg, R.A.; Takahei, K.; Taguchi, A.; Horikoshi, Y. Preferential alignment of Er–2O centers in GaAs:Er,O revealed by anisotropic host-excited photoluminescence. Appl. Phys. Lett. 1996, 68, 3317–3319. [Google Scholar] [CrossRef]
- Takahei, K.; Taguchi, A.; Horikoshi, Y.; Nakata, J. Atomic configuration of the Er-O luminescence center in Er-doped GaAs with oxygen codoping. J. Appl. Phys. 1994, 76, 4332–4339. [Google Scholar] [CrossRef]
- Dong, P.; Qian, W.; Liang, H.; Shafiiha, R.; Feng, D.; Li, G.; Cunningham, J.E.; Krishnamoorthy, A.V.; Asghari, M. Thermally tunable silicon racetrack resonators with ultralow tuning power. Opt. Express 2010, 18, 20298–20304. [Google Scholar] [CrossRef] [PubMed]
- Jamet, E. An eye-tracking study of cueing effects in multimedia learning. Comput. Human Behav. 2014, 32, 47–53. [Google Scholar] [CrossRef]
- Dieke, G.H.; Crosswhite, H.M. The Spectra of the Doubly and Triply Ionized Rare Earths. Appl. Opt. 1963, 2, 675–686. [Google Scholar] [CrossRef]
- Papatryfonos, K.; Angelova, T.; Brimont, A.; Reid, B.; Guldin, S.; Smith, P.R.; Tang, M.; Li, K.; Seeds, A.J.; Liu, H.; et al. Refractive indices of MBE-grown AlxGa(1−x)As ternary alloys in the transparent wavelength region. AIP Adv. 2021, 11, 025327. [Google Scholar] [CrossRef]
- Boulon, G.; Laversenne, L.; Goutaudier, C.; Guyot, Y.; Cohen-Adad, M. Radiative and non-radiative energy transfers in Yb3+-doped sesquioxide and garnet laser crystals from a combinatorial approach based on gradient concentration fibers. J. Lumin. 2003, 102–103, 417–425. [Google Scholar] [CrossRef]
- Culp, T.D.; Cederberg, J.G.; Bieg, B.; Kuech, T.F.; Bray, K.L.; Pfeiffer, D.; Winter, C.H. Photoluminescence and free carrier interactions in erbium-doped GaAs. J. Appl. Phys. 1998, 83, 4918–4927. [Google Scholar] [CrossRef]
- Burdick, G.W.; Gruber, J.B.; Nash, K.L.; Chandra, S.; Sardar, D.K. Analyses of 4f11 Energy Levels and Transition Intensities Between Stark Levels of Er3+ in Y3Al5O12. Spectrosc. Lett. 2010, 43, 406–422. [Google Scholar] [CrossRef]
- Nakayama, Y.; Harada, Y.; Kita, T. Enhancement of laser cooling efficiency in rare-earth-doped oxide at elevated high temperature. In Photonic Heat Engines: Science and Applications II, SPIE OPTO, San Francisco, CA, USA, 1–6 February 2020; SPIE: Bellingham, WA, USA, 2020; Volume 11298. [Google Scholar] [CrossRef]
- Rostami, S.; Albercht, A.R.; Ghasemkhani, M.R.; Melgaard, S.D.; Gragossian, A.; Tonelli, M.; Sheik-Bahae, M. Optical refrigeration of Tm:YLF and Ho:YLF crystals. In Optical and Electronic Cooling of Solids, SPIE OPTO, San Francisco, CA, USA, 13–18 June 2016; SPIE: Bellingham, WA, USA, 2016; Volume 9765. [Google Scholar] [CrossRef]
- Gauck, H.; Gfroerer, T.H.; Renn, M.J.; Cornell, E.A.; Bertness, K.A. External radiative quantum efficiency of 96% from a GaAs/GaInP heterostructure. Appl. Phys. A 1997, 64, 143–147. [Google Scholar] [CrossRef]
- Rayner, A.; Heckenberg, N.R.; Rubinsztein-Dunlop, H. Condensed-phase optical refrigeration. J. Opt. Soc. Am. B 2003, 20, 1037–1053. [Google Scholar] [CrossRef]
- Layne, C.B.; Lowdermilk, W.H.; Weber, M.J. Multiphonon relaxation of rare-earth ions in oxide glasses. Phys. Rev. B 1977, 16, 10–20. [Google Scholar] [CrossRef]
- Akahane, Y.; Asano, T.; Song, B.-S.; Noda, S. Fine-tuned high-Q photonic-crystal nanocavity. Opt. Express 2005, 13, 1202–1214. [Google Scholar] [CrossRef]
- Andreani, L.C.; Panzarini, G.; Gérard, J.-M. Strong-coupling regime for quantum boxes in pillar microcavities. Theory. Phys. Rev. B 1999, 60, 13276–13279. [Google Scholar] [CrossRef]
- Molesky, S.; Lin, Z.; Piggott, A.Y.; Jin, W.; Vucković, J.; Rodriguez, A.W. Inverse design in nanophotonics. Nat. Photonics 2018, 12, 659–670. [Google Scholar] [CrossRef]
Disclaimer/Publisher’s Note: The statements, opinions and data contained in all publications are solely those of the individual author(s) and contributor(s) and not of MDPI and/or the editor(s). MDPI and/or the editor(s) disclaim responsibility for any injury to people or property resulting from any ideas, methods, instructions or products referred to in the content. |
© 2025 by the authors. Licensee MDPI, Basel, Switzerland. This article is an open access article distributed under the terms and conditions of the Creative Commons Attribution (CC BY) license (https://creativecommons.org/licenses/by/4.0/).


