-
Investigation of the Microwave Absorption Properties of Bi1.7Pb0.3Sr2Ca2Cu3O10-Based Ceramic Composites -
The Effect of Material Arrangement Order on Ballistic Resistance of Ceramic Composite Armor Structure -
Gaussian Process Regression for Machine Learning on Effective Crystal Graphs of Body-Centered Cubic Iron
Journal Description
Solids
Solids
is an international, peer-reviewed, open access journal on all areas of solid-state sciences published bimonthly online by MDPI.
- Open Access— free for readers, with article processing charges (APC) paid by authors or their institutions.
- High Visibility: indexed within ESCI (Web of Science), Scopus, EBSCO, CAPlus / SciFinder, and other databases.
- Rapid Publication: manuscripts are peer-reviewed and a first decision is provided to authors approximately 18.3 days after submission; acceptance to publication is undertaken in 3.9 days (median values for papers published in this journal in the second half of 2025).
- Journal Rank: CiteScore - Q2 (Physics and Astronomy (miscellaneous))
- Recognition of Reviewers: APC discount vouchers, optional signed peer review, and reviewer names published annually in the journal.
Impact Factor:
2.4 (2024);
5-Year Impact Factor:
2.9 (2024)
Latest Articles
Harnessing Transition Metal Chalcogenides for Efficient Performance in Magnesium–Sulfur Battery: Synergising Experimental and Theoretical Techniques
Solids 2026, 7(1), 7; https://doi.org/10.3390/solids7010007 - 8 Jan 2026
Abstract
►
Show Figures
Magnesium–sulfur (Mg-S) batteries represent a novel category of multivalent energy storage systems, characterised by enhanced theoretical energy density, material availability, and ecological compatibility. Notwithstanding these benefits, the practical implementation of this approach continues to be hindered by ongoing issues, such as polysulfide shuttle
[...] Read more.
Magnesium–sulfur (Mg-S) batteries represent a novel category of multivalent energy storage systems, characterised by enhanced theoretical energy density, material availability, and ecological compatibility. Notwithstanding these benefits, the practical implementation of this approach continues to be hindered by ongoing issues, such as polysulfide shuttle effects, slow Mg2+ transport, and significant interfacial instability. This study emphasises recent progress in utilising transition metal chalcogenides (TMCs) as cathode materials and modifiers to overcome these challenges. We assess the structural, electrical, and catalytic characteristics of TMCs such as MoS2, CoSe2, WS2, and TiS2, highlighting their contributions to improving redox kinetics, retaining polysulfides, and enabling reversible Mg2+ intercalation. The review synthesises results from experimental and theoretical studies to offer a thorough comprehension of structure–function interactions. Particular emphasis is placed on morphological engineering, modulation of electronic conductivity, and techniques for surface functionalisation. Furthermore, we examine insights from density functional theory (DFT) simulations that corroborate the observed enhancements in electrochemical performance and offer predictive direction for material optimisation. This paper delineates nascent opportunities in Artificial Intelligence (AI)-enhanced materials discovery and hybrid system design, proposing future trajectories to realise the potential of TMC-based Mg-S battery systems fully.
Full article
Open AccessArticle
Molecular Dynamics Simulation on Thermal-Oxidative Aging for Binder Explosives of RDX, Butadiene Rubber and Paraffin Wax
by
Li-Dong Wan, Yan-Chun Li, Dong-Ming Song and Xue-Hai Ju
Solids 2026, 7(1), 6; https://doi.org/10.3390/solids7010006 - 7 Jan 2026
Abstract
►▼
Show Figures
During long-term storage, polymer-bonded explosives (PBXs) undergo thermal-oxidative aging due to environmental factors such as moisture and oxygen, which leads to a critical determinant of explosive performance. This study employed molecular dynamics simulations to investigate the impact of thermal-oxidative aging of butadiene rubber
[...] Read more.
During long-term storage, polymer-bonded explosives (PBXs) undergo thermal-oxidative aging due to environmental factors such as moisture and oxygen, which leads to a critical determinant of explosive performance. This study employed molecular dynamics simulations to investigate the impact of thermal-oxidative aging of butadiene rubber and paraffin wax composites used in the RDX-based polymer-bonded explosives. The interfacial binding energy between the binder system and RDX crystalline surfaces was evaluated. The cohesive energy density (CED), fractional free volume (FFV), mean square displacement (MSD), and mechanical properties were analysed to probe the mechanism of aging for butadiene rubber (BR) and paraffin wax (PW). The results demonstrate that, with progressive aging, the oxidation-induced chain scission of BR molecules leads to an increase in both the CED and solubility parameter of the BR/PW system. Initial oxidation reduces the FFV of the BR/PW system from 0.183 to 0.166, while subsequent chain scission causes the FFV to rise to 0.175. In terms of mechanical properties, the BR/PW system exhibits ductile behavior, with reductions in both Young’s modulus and shear modulus as aging progresses, leading to decreased material stiffness. For the RDX/binder system, oxidation enhances the interfacial binding energy, whereas chain scission in BR leads to a slight decline in the binding energy. Overall, oxidation exerts a more pronounced influence on the interfacial binding energy compared to chain scission.
Full article

Figure 1
Open AccessFeature PaperArticle
Atomic Bond Strain: A New Strain Measure Displaying Nearly Perfect Linear Correlation with Stress Throughout Plastic Deformation of Single-Crystal FCC Metals
by
Donghua Xu, Tittaya Thaiyanurak and Noushin Salsabil
Solids 2026, 7(1), 5; https://doi.org/10.3390/solids7010005 - 6 Jan 2026
Abstract
►▼
Show Figures
Atomic-scale strain is the basis of a material’s macroscopic deformation behavior. The current measure of atomic-scale strain in the form of the Green–Lagrange tensor loses its physical meaning beyond the yield point, as atomic neighborhoods undergo significant reconstructions. We have recently introduced a
[...] Read more.
Atomic-scale strain is the basis of a material’s macroscopic deformation behavior. The current measure of atomic-scale strain in the form of the Green–Lagrange tensor loses its physical meaning beyond the yield point, as atomic neighborhoods undergo significant reconstructions. We have recently introduced a new atomic-scale strain measure, namely, atomic bond strain, through our study of bond behavior in multicomponent metallic glasses. Here, we apply this new strain measure to uniaxial tensile tests (simulated using molecular dynamics) of several representative single-crystal FCC (face-centered cubic) metals under varied strain rates. We show that this new strain measure displays remarkable near-linear correlation with stress, not only in the elastic regime, but also in the plastic regime where complex dislocation dynamics (nucleation, bursting, motion, annihilation, regeneration) and stress fluctuations take place. This suggests that the overall stress of the materials even in the plastic regime is predominantly determined by the degree of bond stretching among all atoms. This appears to contradict the common conceptions that the plastic flow stress of a crystalline material is governed by dislocation events involving only a small fraction of atoms around dislocations, and that the stress–strain relationship is highly non-linear for plastic deformation. The contradictions can be reconciled by considering the causal sequence: dislocation events alter bond stretching, and bond stretching directly determines the stress. This brings a novel insight into the nature of plastic deformation, owing to the newly introduced atomic bond strain. How well the near-linear correlation between the stress and the atomic bond strain holds in other materials (e.g., non-FCC single crystals, polycrystals, quasicrystals, elements, alloys, and compounds) is an intriguing and important topic for future investigation, following the example of this work.
Full article

Figure 1
Open AccessArticle
A Higher Degree of Magnetic Symmetry Induced by Intercalation of Non-Magnetic Na into Quasi-Two-Dimensional Van Der Waals Gapped FeOCl
by
Tung-Yuan Yung, Yi-Ching Huang, Kuan-Yi Lee, Chun-Min Wu and Wen-Hsien Li
Solids 2026, 7(1), 4; https://doi.org/10.3390/solids7010004 - 6 Jan 2026
Abstract
►▼
Show Figures
A spiral spin arrangement with a magnetic unit cell 28 times the size of the nuclear one has been reported for Fe spins below TN = 80 K in bilayered van der Waals gapped FeOCl. In this work, we employ neutron magnetic
[...] Read more.
A spiral spin arrangement with a magnetic unit cell 28 times the size of the nuclear one has been reported for Fe spins below TN = 80 K in bilayered van der Waals gapped FeOCl. In this work, we employ neutron magnetic diffraction and ac magnetic susceptibility to reveal a much smaller magnetic unit cell only 4 times the size of the nuclear one for Fe spins below TN = 119 K, upon intercalation of 27% non-magnetic Na ions into the van der Waals gaps of FeOCl. X-ray emission spectra and X-ray absorption edge spectra reveal a charge transfer from the intercalated Na ions to the Fe sites, which partially reduces the Fe3+ into Fe2+ ions. The reduction results in a significantly increased Fe-O-Fe bond angle, which strongly enhances the antiferromagnetic superexchange (AFMSE) coupling relative to the competing ferromagnetic direct exchange (FMDE) coupling between neighboring Fe ions, thereby driving to a higher degree of magnetic symmetry and a substantially higher Neel temperature for the Fe spins in Na0.27FeOCl.
Full article

Graphical abstract
Open AccessArticle
High-Temperature Corrosion of Fe-Cr Alloys in Water and HCl Vapor Environments at 500–600 °C
by
Juan Alberto Alcántara-Cárdenas, Adán Ramírez-López, José Federico Chávez-Alcalá, Manuel Macias-Hernández and Ángel de Jesús Morales Ramírez
Solids 2026, 7(1), 3; https://doi.org/10.3390/solids7010003 - 30 Dec 2025
Abstract
Understanding the corrosion mechanism inside waste incinerators is very important in order to prevent possible damage due to high operational temperatures in chemical reactions for burning raw hazardous materials. Moreover, it is critical to understand the corrosion mechanisms to identify whether the oxides
[...] Read more.
Understanding the corrosion mechanism inside waste incinerators is very important in order to prevent possible damage due to high operational temperatures in chemical reactions for burning raw hazardous materials. Moreover, it is critical to understand the corrosion mechanisms to identify whether the oxides formed are protective or not, enabling us to prevent mass change on the steel walls of heat exchangers in waste incinerators. Thus, the present work comprises a high-temperature corrosion study on four Ferritic alloys with different contents of Al, Si, and Mo which are capable of replacing expensive materials such as stainless steel. The corrosion behavior was evaluated in atmospheres with H2O(g), HCl(g), and an additional mixture of both atmospheres at 500 and 600 °C over 300 h. A thicker but porous heterogeneous oxide scale was formed in the HCl atmosphere, mainly composed of Fe2O3 and Cr2O3. Under the water vapor atmosphere, the presence of (Fe0.6Cr0.4)2O3 was observed. Meanwhile, in the mixed atmosphere, the presence of FeCr2O4, Cr2SiO4, and (CrFe)2O3 was observed. The biggest mass loss was measured inside the water vapor atmosphere. In comparison, inside the mixed atmosphere, the oxide scale was thinner. Finally, it was concluded that the alloy with the best corrosion resistance in HCl and H2O atmospheres was Fe9Cr1.5AlSi3Mo steel.
Full article
(This article belongs to the Special Issue Ferrites—Properties and Emerging Applications)
►▼
Show Figures

Figure 1
Open AccessArticle
Intrinsic Bi-Stability Due to Local Dipole–Dipole Interactions in Two-Level Systems and in Excited Crystalline Atomic Dimers
by
Yacob Ben-Aryeh
Solids 2026, 7(1), 2; https://doi.org/10.3390/solids7010002 - 23 Dec 2025
Abstract
►▼
Show Figures
Intrinsic optical bi-stability in dense two-level systems is developed for the bad cavity limit where electromagnetic modes are adiabatically eliminated. Each atom interacts via dipole–dipole forces with its nearby spatial distribution of atoms. The theory is developed into two parts, corresponding to the
[...] Read more.
Intrinsic optical bi-stability in dense two-level systems is developed for the bad cavity limit where electromagnetic modes are adiabatically eliminated. Each atom interacts via dipole–dipole forces with its nearby spatial distribution of atoms. The theory is developed into two parts, corresponding to the short sample, with dimensions shorter than the wavelength, and the long sample. In both cases, the local field corrections modify the Maxwell–Bloch equations, so that cubic or quartic equations are obtained for the inversion of population as a function of the external light intensity, thus leading to intrinsic bi-stability. The effects of noise sources on intrinsic bi-stability were treated, and I found that while the observability of bi-stability was not obtained experimentally for a simple two-level system, there were many observations of bi-stability obtained through the ‘up-conversion’ of rare earth excited crystals. I show the differences between these two systems.
Full article

Figure 1
Open AccessFeature PaperArticle
Hybrid Graphite–Carbon Fiber Anodes and NFM Cathodes for Structural Sodium-Ion Batteries
by
Giulio Siciliano, Bridgette Sims, Thomas C. Burns, Wout De Backer, Paul Ziehl, Ralph E. White and Paul T. Coman
Solids 2026, 7(1), 1; https://doi.org/10.3390/solids7010001 - 19 Dec 2025
Abstract
►▼
Show Figures
Sodium-ion batteries (SIBs) present a sustainable alternative to lithium-ion systems due to the abundance and low environmental impact of sodium. However, their integration into multifunctional structural battery systems that combine electrochemical and mechanical properties remains unexplored. This work investigates the electrochemical performance of
[...] Read more.
Sodium-ion batteries (SIBs) present a sustainable alternative to lithium-ion systems due to the abundance and low environmental impact of sodium. However, their integration into multifunctional structural battery systems that combine electrochemical and mechanical properties remains unexplored. This work investigates the electrochemical performance of sodium-ion chemistry within a structural battery framework using unsized carbon fiber (UCF) as both a structural substrate and active electrode material. Ultrasonic spray coating was employed to deposit Mesocarbon Microbeads (MCMB) and NaNi1/3Fe1/3Mn1/3O2 (NFM) on UCF to form hybrid anode and cathode half-cells, respectively, with 1 M NaPF6 in diglyme electrolyte. The MCMB on UCF hybrid anode demonstrated dual graphitic and carbon fiber storage mechanisms, achieving 50 mAh g−1 capacity over 500 cycles at 1C with excellent Coulombic efficiency. The NFM–UCF cathode exhibited an initial capacity of 27.5 mAh g−1 and maintained over 80% capacity retention for 230 cycles, continuing to cycle stably beyond 400 cycles. Post-cycling SEM imaging revealed surface cracking, particle expansion, and gas-pocket formation in both electrodes. These results demonstrate the electrochemical viability of sodium-ion chemistry in a multifunctional structural configuration and establish ultrasonic coating as a scalable, precise method for fabricating carbon fiber electrodes toward future sodium-ion structural batteries.
Full article

Figure 1
Open AccessArticle
Optimizing Organic Photovoltaic Efficiency Through Controlled Doping of ZnS/Co Nanoparticles
by
Jude N. Ike and Raymond Tichaona Taziwa
Solids 2025, 6(4), 69; https://doi.org/10.3390/solids6040069 - 11 Dec 2025
Abstract
►▼
Show Figures
Thin-film organic solar cells (TFOSCs) are gaining momentum as next-generation photovoltaic technologies due to their lightweight nature, mechanical flexibility, and low cost-effective fabrication. In this pioneering study, we report for the first time the incorporation of cobalt-doped zinc sulfide
[...] Read more.
Thin-film organic solar cells (TFOSCs) are gaining momentum as next-generation photovoltaic technologies due to their lightweight nature, mechanical flexibility, and low cost-effective fabrication. In this pioneering study, we report for the first time the incorporation of cobalt-doped zinc sulfide nanoparticles (NPs) into a poly(3-hexylthiophene) (P3HT) and [6,6]-phenyl-C61-butyric acid methyl ester (PC61BM) bulk-heterojunction photoactive layer. NPs were successfully synthesized via a wet chemical method and integrated at varying concentrations (1%wt, 3%wt, and 5%wt) to systematically investigate their influence on device performance. The optimal doping concentration of 3%wt yielded a remarkable power conversion efficiency (PCE) of 4.76%, representing a 102% enhancement over the pristine reference device (2.35%) under ambient laboratory conditions. The observed positive trend is attributed to the localized surface plasmon resonance (LSPR) effect and near-field optical enhancement induced by the presence of ZnS/Co NPs in the active layer, thereby increasing light-harvesting capability and exciton dissociation. Comprehensive morphological and optical characterizations using high-resolution scanning electron microscopy (HRSEM), high-resolution transmission electron microscopy (HRTEM), and spectroscopic techniques confirmed uniform nanoparticle dispersion, nanoscale crystallinity, and effective light absorption. These findings highlight the functional role of NPs as dopants in enhancing TFOSC performance, providing valuable insights into optimizing nanoparticle concentration. This work offers a scalable and impactful strategy for advancing high-efficiency, flexible, and wearable organic photovoltaic devices.
Full article

Graphical abstract
Open AccessArticle
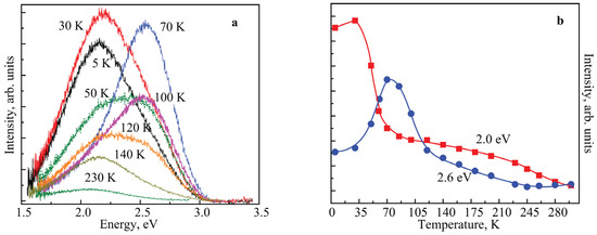
Intrinsic Defect-Related Photoluminescence in Single-Crystalline Tin Dioxide
by
Vadim F. Agekyan, Nikolai G. Filosofov, Alexey Yu. Serov and Igor V. Shtrom
Solids 2025, 6(4), 68; https://doi.org/10.3390/solids6040068 - 11 Dec 2025
Abstract
►▼
Show Figures
Photoluminescence studies of single-crystalline SnO2 grown by chemical vapor transport from SnCl4 and H2O vapors were carried out in the visible spectral range. A non-trivial dependence of the 2.6 eV emission band on temperature and optical excitation level was
[...] Read more.
Photoluminescence studies of single-crystalline SnO2 grown by chemical vapor transport from SnCl4 and H2O vapors were carried out in the visible spectral range. A non-trivial dependence of the 2.6 eV emission band on temperature and optical excitation level was observed. Based on the obtained data, the ionization energy of a shallow donor in SnO2 was estimated to be 7 meV. Additionally, a model of energy levels and radiative transitions associated with shallow donors and intrinsic defects is proposed.
Full article

Figure 1
Open AccessArticle
Investigation of the Microwave Absorption Properties of Bi1.7Pb0.3Sr2Ca2Cu3O10-Based Ceramic Composites
by
Sean Roubion, Krishna Prasad Sharma, Ganesh Dhakal and Guang-Lin Zhao
Solids 2025, 6(4), 67; https://doi.org/10.3390/solids6040067 - 5 Dec 2025
Abstract
►▼
Show Figures
This study investigates the microwave absorption properties of the cuprate ceramic material Bi1.7Pb0.3Sr2Ca2Cu3O10 (BSCCO) and its composites with bismuth oxide (Bi2O3) in the 4–25 GHz frequency range. Composites
[...] Read more.
This study investigates the microwave absorption properties of the cuprate ceramic material Bi1.7Pb0.3Sr2Ca2Cu3O10 (BSCCO) and its composites with bismuth oxide (Bi2O3) in the 4–25 GHz frequency range. Composites with varying BSCCO contents were fabricated and characterized using the Nicolson–Ross–Weir method and Agilent Materials Measurement Software 85071E to determine complex permeability and permittivity. The 4 wt.% BSCCO composite exhibited a peak reflection loss of −32.6 dB at 12.5 GHz, while the 40 wt.% BSCCO composite reached a 52% microwave absorption ratio at 23 GHz. These results demonstrate that microwave absorption is strongly influenced by dielectric properties and the ratio of BSCCO and Bi2O3 composites. This work highlights the potential of BSCCO-Bi2O3 ceramics for microwave absorption applications, particularly in environments experiencing significant temperature gradients due to their thermal stability and electromagnetic performance.
Full article

Graphical abstract
Open AccessArticle
A HF-Free Synthesis Method for High-Luminescent Efficiency Narrow-Bandgap Red Phosphor K3AlF6: Mn4+ with NH4HF2 as the Molten Salt
by
Chenxing Liao, Feng Zhou, Wei Xie and Liaolin Zhang
Solids 2025, 6(4), 66; https://doi.org/10.3390/solids6040066 - 1 Dec 2025
Abstract
►▼
Show Figures
Mn4+-doped fluoride red phosphors are widely used in white LED lighting and display applications due to their excellent luminescent properties. However, their synthesis relies heavily on highly toxic aqueous hydrofluoric acid, which not only causes severe environmental and soil/water pollution but
[...] Read more.
Mn4+-doped fluoride red phosphors are widely used in white LED lighting and display applications due to their excellent luminescent properties. However, their synthesis relies heavily on highly toxic aqueous hydrofluoric acid, which not only causes severe environmental and soil/water pollution but also makes it difficult to control the microstructure of the products due to the rapid reaction rate. In this study, low-melting-point NH4HF2 was used as the molten salt, with KMnO4 and MnF2 as manganese sources, to synthesize the red phosphor K3AlF6: Mn4+ via the molten salt method. After the reaction, impurities such as NH4HF2 were removed by washing with a dilute H2O2 solution. The microstructure, photoluminescence properties, thermal quenching behavior, and application in warm white light-emitting diodes (W-LEDs) of the K3AlF6: Mn4+ phosphors were investigated. The results indicate that the phosphors prepared by this method consist of a single pure phase. By adjusting the molten salt content, the morphology of the product can be transformed from nanoparticle-like to nanorod-like structures. All products exhibit the characteristic red emission of Mn4+ under blue and violet light excitation, with the optimally doped sample achieving an internal quantum efficiency (IQE) of 69% under blue light excitation. The combination of the obtained K3AlF6: Mn4+ with the yellow phosphor YAG enabled the fabrication of W-LEDs. These W-LEDs achieved a color rendering index (Ra) of 86.8, a luminous efficacy (LE) of 77 lm/W, and a correlated color temperature (CCT) of 3690 K, along with excellent color stability under operating conditions.
Full article

Graphical abstract
Open AccessArticle
Effect of Processing History on the Microstructure and Magnetic Properties of Ultra-Low Carbon Si + Sb Non-Oriented Electrical Steels
by
Fernando Hernández-Navarro, Armando Salinas-Rodríguez, Rogelio Deaquino-Lara, Javier Aguilar-Carrillo, Iván A. Reyes-Domínguez, Lizangela Guerra-Fuentes, Ma. de J. Soria-Aguilar, Francisco R. Carrillo-Pedroza, Josefina García-Guerra, Verónica E. Salazar-Muñoz and Emmanuel J. Gutiérrez-Castañeda
Solids 2025, 6(4), 65; https://doi.org/10.3390/solids6040065 - 27 Nov 2025
Abstract
►▼
Show Figures
In this work, different processing routes were investigated to evaluate the effects of hot rolling temperature, annealing before cold rolling (ABCR), and one- or two-stage cold rolling and annealing schedules to obtain more efficient electrical steels. The correlation between processing variables, microstructure, thickness,
[...] Read more.
In this work, different processing routes were investigated to evaluate the effects of hot rolling temperature, annealing before cold rolling (ABCR), and one- or two-stage cold rolling and annealing schedules to obtain more efficient electrical steels. The correlation between processing variables, microstructure, thickness, and magnetic properties was established from the analysis of 3D surface plots. It was found that the lowest core loss values (3.4 W/kg) were obtained when steel is processed by hot rolling (800 °C), ABCR (880 °C–180 min), first cold rolling (up to 0.25 mm), first annealing (850 °C–10 min), second cold rolling (up to 0.2 mm), and second annealing (850 °C–10 min). The better combination between thickness and grain size leads to the enhancement of the magnetic properties, which affects the way eddy and hysteresis losses contribute to the total core losses.
Full article

Graphical abstract
Open AccessArticle
The Effect of Material Arrangement Order on Ballistic Resistance of Ceramic Composite Armor Structure
by
Yu Liang Chen, Cheng Kun Chu and Ya Chih Chang
Solids 2025, 6(4), 64; https://doi.org/10.3390/solids6040064 - 17 Nov 2025
Abstract
►▼
Show Figures
This study investigates the ballistic performance and energy-absorption behavior of advanced multilayer ceramic composite armor systems composed of silicon carbide (SiC) ceramics, composite metal foam (CMF), rolled homogeneous armor (RHA), ultra-high-molecular-weight polyethylene (UHMWPE), aluminum, and rubber interlayers. The objective is to enhance impact
[...] Read more.
This study investigates the ballistic performance and energy-absorption behavior of advanced multilayer ceramic composite armor systems composed of silicon carbide (SiC) ceramics, composite metal foam (CMF), rolled homogeneous armor (RHA), ultra-high-molecular-weight polyethylene (UHMWPE), aluminum, and rubber interlayers. The objective is to enhance impact resistance and optimize energy dissipation efficiency against armor-piercing (AP) projectiles. Ballistic tests were performed following the NIJ Standard 0101.06 Level IV specifications using .30” caliber AP M2 rounds with an impact velocity of 784–844 m/s. Experimental results revealed that the SiC front layer effectively fragmented the projectile and dispersed its kinetic energy, while the CMF and UHMWPE layers were the primary energy absorbers, dissipating approximately 70% of the total impact energy (≈3660 J). The aluminum and RHA layers provided additional reinforcement, and the rubber interlayer significantly reduced stress-wave propagation and suppressed crack growth in the ceramic. The most efficient configuration 0.5 mm RHA + 7 mm SiC + 7 mm EPDM + 7 mm CMF + 5 mm UHMWPE achieved an areal density absorption of 77.2 J·m2/kg and a unit thickness absorption of 190.6 J/mm. These findings establish a quantitative layer-wise energy dissipation framework, highlighting the synergistic interaction between brittle, porous, and ductile layers. This work provides practical design principles for developing lightweight, high-efficiency composite armor systems applicable to defense, aerospace, and personal protection fields. Moreover, this study not only validates the NIJ Standard 0101.06 ballistic performance experimentally but also establishes a reproducible methodology for quantitative, layer-wise energy analysis of hybrid ceramic-CMF-fiber armor systems, offering a scientific framework for future model calibration and optimization.
Full article

Graphical abstract
Open AccessArticle
R-Matrix Theory in a Semiconductor Quantum Device: Weak Formulation and Current Conserving Approximations
by
Ulrich Wulf and Jan Kučera
Solids 2025, 6(4), 63; https://doi.org/10.3390/solids6040063 - 10 Nov 2025
Abstract
►▼
Show Figures
In a series of previous publications an R-matrix approach was developed to describe transport in N-pole quantum devices in the Landauer–Büttiker formalism. Central quantities in this formalism are the transmission coefficients occurring in coherent scattering functions ranging throughout the device. Here we develop
[...] Read more.
In a series of previous publications an R-matrix approach was developed to describe transport in N-pole quantum devices in the Landauer–Büttiker formalism. Central quantities in this formalism are the transmission coefficients occurring in coherent scattering functions ranging throughout the device. Here we develop the weak formulation version of this approach. It allows to introduce systematically approximations that reduce the exact problem to suitable matrix equations that can be solved on the computer. As a major advantage of our method any approximation found in the weak formulation approach to the R-matrix is current conserving by construction. Here the essential step is the representation of the current S-matrix by a Cayley transform. Restricting us to the one-dimensional case we find that the R-matrix in weak formulation generates a real symmetric Cayley transform by construction. From general theory it follows immediately that the current is conserved.
Full article

Figure 1
Open AccessFeature PaperArticle
Gaussian Process Regression for Machine Learning on Effective Crystal Graphs of Body-Centered Cubic Iron
by
Blaise Awola Ayirizia, Adrian De la Rocha, Valeria I. Arteaga-Muñiz, Yu-Hang Tang, Wibe A. De Jong and Jorge A. Muñoz San Martín
Solids 2025, 6(4), 62; https://doi.org/10.3390/solids6040062 - 6 Nov 2025
Abstract
►▼
Show Figures
Most machine learning algorithms operate on vectorized data with Euclidean structures because of the significant mathematical advantages offered by Hilbert space, but improved representational efficiency may offset more involved learning on non-Euclidean structures. Recently, a method that integrates the marginalized graph kernel into
[...] Read more.
Most machine learning algorithms operate on vectorized data with Euclidean structures because of the significant mathematical advantages offered by Hilbert space, but improved representational efficiency may offset more involved learning on non-Euclidean structures. Recently, a method that integrates the marginalized graph kernel into the Gaussian process regression framework was used to learn directly on molecular graphs. Here, we describe an implementation of this method for crystalline materials based on effective crystal graph representations: the molecular graphs of 128-atom supercells of body-centered cubic (BCC) iron with periodic boundary conditions. Regressors trained on hundreds of time steps of a density functional theory molecular dynamics (DFT-MD) simulation achieved root mean square errors of less than 5 meV/atom. The mechanical stability of BCC iron was investigated at high pressure and elevated temperature using regressors trained on short DFT-MD runs, including at conditions found in the inner core of the earth. Phonon dispersions obtained from the short runs show that BCC iron is mechanically stable at 360 GPa when the temperature is above 2500 K. Atoms in the super cell were displaced in the direction of the first, second, and third nearest-neighbors from selected configurations that included thermal atomic displacements, and forces exerted on the displaced atoms were computed by numerical differentiation of the regressors.
Full article

Graphical abstract
Open AccessArticle
Low-Frequency Phonon Scattering in Wurtzite Cadmium Sulfide: An Off- and Near-Resonance Raman Spectroscopy Study
by
Carlos Israel Medel Ruiz, Roger Chiu, Jesús Ricardo Sevilla Escoboza, Jesús Castañeda Contreras, Francisco Gerardo Peña Lecona and Jesús Muñoz Maciel
Solids 2025, 6(4), 61; https://doi.org/10.3390/solids6040061 - 4 Nov 2025
Abstract
►▼
Show Figures
Phonons, the quantized lattice vibrations, are fundamental for a wide range of phenomena in condensed matter systems. In particular, low-frequency phonons significantly influence electrical conductivity, thermal transport, and the optical properties of solid-state materials. Although there is considerable literature on cadmium sulfide (CdS)
[...] Read more.
Phonons, the quantized lattice vibrations, are fundamental for a wide range of phenomena in condensed matter systems. In particular, low-frequency phonons significantly influence electrical conductivity, thermal transport, and the optical properties of solid-state materials. Although there is considerable literature on cadmium sulfide (CdS) phonons—studied, for example, using resonance Raman spectroscopy—up-to-date information on the low-frequency phonons of this important semiconductor is still lacking. In this study, Raman spectroscopy under off- and near-resonance conditions is employed to investigate the low-frequency phonon in wurtzite CdS single crystals. Under off-resonance conditions, the spectrum exhibits multiple low-intensity peaks, which were analyzed through curve fitting. In contrast, the near-resonance spectrum shows an intense, broad band that was deconvoluted into its constituent components, including an antiresonance feature that was mathematically modeled for the first time in CdS. The results demonstrate that Raman scattering intensity in both regimes provides valuable insights into the low-frequency phonon modes of CdS. These findings enhance our understanding of the material’s vibrational properties and may facilitate the development of more efficient CdS-based optoelectronic devices.
Full article

Graphical abstract
Open AccessArticle
Effects of Preparation Conditions and Ammonia/Methylamine Treatment on Structure of Graphite Intercalation Compounds with FeCl3, CoCl2, NiCl2 and Derived Metal-Containing Expanded Graphite
by
Aleksandr D. Muravev, Andrei V. Ivanov, Vladimir A. Mukhanov, Sergey K. Dedushenko, Boris A. Kulnitskiy, Alexander V. Vasiliev, Natalia V. Maksimova and Victor V. Avdeev
Solids 2025, 6(4), 60; https://doi.org/10.3390/solids6040060 - 30 Oct 2025
Abstract
►▼
Show Figures
Composites in which finely dispersed particles of the metallic phase are uniformly distributed over the surface of expanded graphite can be used as magnetic sorbents for crude oil and petroleum products, as well as a basis for creating screens that protect against electromagnetic
[...] Read more.
Composites in which finely dispersed particles of the metallic phase are uniformly distributed over the surface of expanded graphite can be used as magnetic sorbents for crude oil and petroleum products, as well as a basis for creating screens that protect against electromagnetic radiation. The literature describes various approaches to obtaining such materials, but from a technological point of view, the most promising is the method in which the formation of a metal-containing phase on the surface of expanded graphite is directly combined with its expansion. For this purpose, graphite intercalation compounds with chlorides of metals of the iron triad (GIC-MClx) were obtained: GIC-FeCl3 of I-VII stages, GIC-CoCl2 of I/II stage and GIC-NiCl2 of II/III stage, which were treated with liquid NH3 or CH3NH2 in order to obtain an occlusive complex, which, due to the presence of a large amount of bound RNH2, would be capable of effective thermal expansion during heating in an inert atmosphere with the formation of low-density expanded graphite, and the presence of reducing properties in ammonia and methylamine would lead to the reduction of the metal from chloride. The structure of GIC-MClx and GIC-MClx treated by NH3 and CH3NH2 was investigated by XRD analysis and Mossbauer spectroscopy. The composition of the metal-containing phase in expanded graphite/metal composite was determined by XRD analysis and its quantity by the gravimetric method. The distribution of metals particles is investigated by SEM, TEM and EDX methods. Expanded graphite/metal composites are characterized by the high saturation magnetization (up to ≈ 50 emu/g) at a bulk density of 4–6 g/L.
Full article

Figure 1
Open AccessArticle
Green-Synthesized Zinc Oxide Nanoparticles with Enhanced Release Behavior for Sustainable Agricultural Applications
by
Riyad Al Sharif, Ayman S. Ayesh, Muayad Esaifan, Naem Mazahrih, Nabeel Bani Hani, Bayan Al Rjoub, Eva Rayya and Majd Abu Salem
Solids 2025, 6(4), 59; https://doi.org/10.3390/solids6040059 - 26 Oct 2025
Cited by 1
Abstract
►▼
Show Figures
This study presents a green and sustainable approach for synthesizing zinc oxide nanoparticles (ZnO-NPs) using Melia azedarach leaf extract as a reducing and stabilizing agent, with zinc acetate as the precursor. The synthesized nanoparticles were thoroughly characterized to assess their structural, morphological, and
[...] Read more.
This study presents a green and sustainable approach for synthesizing zinc oxide nanoparticles (ZnO-NPs) using Melia azedarach leaf extract as a reducing and stabilizing agent, with zinc acetate as the precursor. The synthesized nanoparticles were thoroughly characterized to assess their structural, morphological, and physicochemical properties, revealing nanoscale dimensions, enhanced crystallinity, and improved stability compared to commercial ZnO. Controlled release experiments under plant-relevant pH conditions demonstrated a gradual and sustained release of Zn2+ ions, accompanied by buffering effects and re-precipitation of Zn(OH)2, highlighting their potential for long-term nutrient availability in soil systems. Unlike conventional studies that focus mainly on synthesis or characterization, this work emphasizes the functional performance of ZnO-NPs as nanofertilizers, combining eco-friendly production with practical agricultural applications. The plant-mediated synthesis yielded nanoparticles with uniform size distribution, enhanced dispersion, and stability, which are critical for efficient nutrient delivery and persistence in soil. Overall, this study provides a cost-effective, scalable, and environmentally benign strategy for producing ZnO nanoparticles and offers valuable insights into the development of sustainable nanofertilizers aimed at improving crop nutrition, soil fertility, and agricultural productivity.
Full article

Graphical abstract
Open AccessArticle
CaSrxCu3−xTi4O12 Ceramic Oxide Modified with Graphene Oxide and Reduced Graphene Oxide for Supercapacitor Applications
by
Hussein Abdul Karin Moussa, Johan Alexander Cortés Suárez, Felipe de Almeida La Porta and Márcio Sousa Góes
Solids 2025, 6(4), 58; https://doi.org/10.3390/solids6040058 - 21 Oct 2025
Abstract
►▼
Show Figures
This study investigates CaCu3−xSrxTi4O12 (CCSTO) systems synthesized using the solid-state method, with x compositions of 0.00, 0.15, and 3.00. The samples were modified using 6 wt% graphene oxide (GO) and reduced GO (rGO) prepared via Hummer’s
[...] Read more.
This study investigates CaCu3−xSrxTi4O12 (CCSTO) systems synthesized using the solid-state method, with x compositions of 0.00, 0.15, and 3.00. The samples were modified using 6 wt% graphene oxide (GO) and reduced GO (rGO) prepared via Hummer’s method to evaluate their performance as electrodes in supercapacitors. The results indicate that the addition of 6wt% rGO to CCTO (CCTO-6rGO) led to an improvement in specific capacitance, reaching 237.76 mF·g−1 at a scan rate of 10 mV/s, compared to 29.86 mF·g−1 for pure CCTO and only 7.83 mF·g−1 for CCTO-6GO, suggesting that rGO enhances charge storage. For the CCTO15Sr samples, CCTO15Sr-6rGO exhibited the highest specific capacitance, with 321.63 mF·g−1 at 10 mV/s, surpassing both pure CCTO15Sr (80.19 mF·g−1) and CCTO15Sr-6GO (25.73 mF·g−1). These results stem from oxygen and metal vacancies, which aid charge accumulation and ion diffusion. In contrast, adding GO generally reduced specific capacitance in all samples. The findings highlight CCSTO’s potential—especially with rGO modification—as a supercapacitor electrode while also indicating areas for further optimization.
Full article

Figure 1
Open AccessArticle
Microstructure and Mechanical Performance of Cu and Gr/Cu Composites: Experimental and Ab Initio Insights
by
Galiia Korznikova, Gulnara Khalikova, Igor Kosarev, Wei Wei, Alexander Semenov and Elena Korznikova
Solids 2025, 6(4), 57; https://doi.org/10.3390/solids6040057 - 8 Oct 2025
Abstract
►▼
Show Figures
This study investigates the microstructure and mechanical properties of copper (Cu) and graphene/Cu (Gr/Cu) composites produced via high-pressure torsion (HPT) under 5 GPa at room temperature. Microstructural analysis revealed significant grain refinement, with average grain sizes of 0.39 μm for pure Cu and
[...] Read more.
This study investigates the microstructure and mechanical properties of copper (Cu) and graphene/Cu (Gr/Cu) composites produced via high-pressure torsion (HPT) under 5 GPa at room temperature. Microstructural analysis revealed significant grain refinement, with average grain sizes of 0.39 μm for pure Cu and 0.35 μm for Gr/Cu composite. The Gr/Cu composite exhibited slightly higher microstrains and effective stacking fault energy (SFE). Tensile tests showed ultimate tensile strengths of 689 MPa (pure Cu) and 674 MPa (Gr/Cu), with the latter demonstrating improved ductility (~10% elongation). Ab initio calculations confirmed a 27% increase in SFE for Gr/Cu, aligning with experimental results. These findings highlight the potential of Gr/Cu composites for applications requiring high strength and efficient heat dissipation.
Full article

Figure 1
Highly Accessed Articles
Latest Books
E-Mail Alert
News
Topics
Topic in
Buildings, Construction Materials, Crystals, Materials, Solids, Infrastructures, CivilEng
Rehabilitation and Strengthening Techniques for Reinforced Concrete
Topic Editors: Firas Al Mahmoud, George WardehDeadline: 31 March 2026
Topic in
Batteries, Electronic Materials, Materials, Nanomaterials, Polymers, Solids
Emerging Materials and Interfaces for Batteries and Supercapacitors
Topic Editors: George Avgouropoulos, Joan Papavasiliou, Neslihan YucaDeadline: 31 May 2026
Topic in
Applied Mechanics, Applied Sciences, Materials, Polymers, Solids, Metals
Multi-scale Modeling and Optimisation of Materials
Topic Editors: Mustafa Awd, Frank WaltherDeadline: 31 August 2026
Topic in
Energies, Materials, Sustainability, Catalysts, C, Hydrogen, Solids
Functional Carbon-Based Materials and Systems for Energy and Environmental Applications
Topic Editors: Nikolaos Kostoglou, Claus RebholzDeadline: 31 December 2026
Special Issues
Special Issue in
Solids
Young Talents in Solid-State Sciences
Guest Editors: Guido Kickelbick, Mirosław Mączka, Enrico Bernardo, Manickam Minakshi, Adrián Durán BenitoDeadline: 31 March 2026
Special Issue in
Solids
Ferrites—Properties and Emerging Applications
Guest Editor: Carlos AmorimDeadline: 31 March 2026
Special Issue in
Solids
Opportunities and Challenges in Protein Crystallography
Guest Editor: Rocco CaliandroDeadline: 31 May 2026



