Abstract
Background: In the last two decades, tyrosine kinase inhibitors (TKIs) and advances in molecular diagnostics have revolutionized management and long-term clinical outcomes in chronic myeloid leukemia (CML). Real-world data from different countries allow for the identification of country-specific issues in the clinical management and development of specific plans for improvement. Here, we aimed to analyze the trend in overall survival in Bulgarian CML patients since 2000. Methods: We retrieved publicly available Bulgarian CML data from several sources such as the Bulgarian National Cancer Registry, Bulgarian National Statistical Institute, and National Health Insurance Fund since 2000. We used the retrieved data of a total of 1513 Bulgarian CML patients to describe the trends in overall survival (OS), conditional overall survival, life expectancy, and life years lost over five time periods. We also described the trends in healthcare expenditures for TKIs and CML patients’ coverage with TKIs since 2014. Results: In both uni- and multivariate models, we found a constant increase in OS over the three 5-year periods until 2014. The period 2015–2019 was not associated with an additional increase in OS. Identical dynamics in the improvement in life expectancy (LE) and in life years lost (LYLs) was observed. Additionally, conditional 5-year survival did not improve during 2015–2019 in comparison to 2010–2014. Population-level data did not show consistent changes in the documented number of deaths due to CML since 2013. The period after 2013 is marked by a constant increase in the annual expenditures for TKIs, reaching to about 2.0 EUR/capita. The number of patients who received at least one TKI also increased during that period. Conclusions: After the initial significant improvement in the clinical outcomes for Bulgarian CML patients until 2014, subsequent periods did not bring further benefit in spite of the improved coverage with second- and third-line TKIs. Multiple factors may contribute to these suboptimal outcomes. Therefore, one can propose several additional measures at the country level, which could lead to additional improvement in the OS of Bulgarian CML patients.
1. Introduction
The invention of imatinib in the late 1990s [1,2] and its unprecedented success as a mainstay treatment for chronic myeloid leukemia (CML) [3,4], followed by a plethora of other tyrosine kinase inhibitors (TKIs), has revolutionized not only malignant hematology but also personalized medicine [5]. Over the last 20 years, TKIs for CML have become widely available to patients around the world, but the speed of their penetration into the healthcare market in different countries and territories has varied significantly and has been mostly dependent on the direct costs of those medications and the income rank of each country [6,7]. Therefore, the population-level benefit of targeted therapies for CML was and is still unequal and probably suboptimal in a number of countries. Achieving the maximum benefit and its sustainability in each country depends not only on the capability of the healthcare systems to cover direct costs for the medications but also on other factors, such as optimal monitoring of response and timely switching of TKIs, as well as adequate management of patients’ comorbidity and TKIs’ adverse events. Obviously, all these additional factors are influenced by the overall quality of the healthcare systems in different countries and therefore may have a variable contribution to the outcomes at a population level.
In this work, we aimed to analyze the population-level outcomes for CML patients in Bulgaria diagnosed since 2000. We particularly focused on the Bulgarian population, as over the same period, the country underwent significant political, demographic, and healthcare changes and is therefore a unique example of the benefit of TKIs in a country in economic transition. The post-communist Bulgarian economy experienced a major economic downturn in the 1990s when the country reached a gross domestic product (GDP) per capita of USD 336.65 in 1991. After a short period of hyperinflation reaching 1061.21% in 1997, the country adopted a currency board with a fixed exchange rate of Bulgarian levs. Following the strict financial regulations, the GDP grew steadily, reaching USD 16,086.57 in 2023. Those three decades of economic and political transitions in the country were accompanied by a profound reorganization of the healthcare system, especially after 2000, with the establishment of a number of privately owned outpatient and inpatient facilities, including primary care medical practices and centers and diagnostic labs, and general and specialized hospitals. However, the sector remained highly centralized in terms of overall governance under the auspices of the Ministry of Health (MoH) [8]. The reimbursement of most of the direct healthcare costs and medication expenses were gradually transitioned to the National Health Insurance Fund (NHIF), which currently distributes the major portion of public healthcare expenditures. In spite of this, out-of-pocket private payments still contribute a major portion of total healthcare expenditures in the country [8]. Along with the general changes in the healthcare system in Bulgaria, there were several significant reorganizations in hematological and oncological care. Until 2010, hospital hematology care followed a highly centralized model, with one National Hematology Center and several university hematology departments serving as tertiary centers, and several internal medicine departments in regional and local hospitals providing secondary care to a limited number of patients with hematological malignancies. Since 2010, the National Hematology Center lost its leading role in the organization, and several novel dedicated hematology departments (most of them privately owned) were established, providing hospital and out-patient care. Approximately at that time, adult autologous and allogeneic transplantation programs were initiated, and currently, three centers in the country provide such services. The reimbursement of innovative medications for hematological malignancies also improved over time, and their coverage was completely transitioned from the MoH to the NHIF in 2014, making the prescription of such medications available to a larger number of hematological departments. Given that these transitions coincided with the improvements in CML management with TKIs, we wanted to investigate the dynamics in the improvement of the clinical outcomes of Bulgarian CML patients since 2000 and to what extent it can be explained by the changes in the healthcare system of the country over that period. The conclusions of such analyses could potentially be used for analysis of the effects of the measures taken over that period to meet patients’ needs, identify potential gaps in that management, and eventually plan for future measures.
2. Materials and Methods
2.1. Data Sources
Data regarding the annual mortality and general population demographics (including annualized population sizes) for the period between 1 January 2000 and 31 December 2021 in Bulgaria were obtained after a customized request from the data portal of the Bulgarian National Statistical Institute (NSI) (https://infostat.nsi.bg/infostat/pages/external/login.jsf) (last accessed on 10 October 2023). NSI data regarding the number of cases with reported death from CML with ICD-10 code C92.1 covered only the period between 2013 and 2022, as NSI started using ICD-10 codes for cause of death reporting in 2013. Country-level data regarding monthly expenditures for TKIs by the Bulgarian National Health Insurance Fund (NHIF) were provided by SAT Health (Bulgaria) and covered the period 2014–2022 (last accessed 20 September 2023). Patient-level and aggregate data regarding the newly registered CML patients (ICD-10 code C92.1) were provided by the Bulgarian National Cancer Registry (BNCR) after a custom request (https://www.sbaloncology.bg, last updated 5 May 2023). Mortality tables for the Bulgarian population covering the period after 2000 were obtained from the Human Mortality Database (https://www.mortality.org/) (last accessed 15 September 2023).
Data regarding the number of patients treated with TKIs were provided by the NHIF after a custom request (last accessed 5 December 2023).
2.2. Data Analyses
For the overall survival analysis of patients with CML in Bulgaria, we used the individual-level data provided by BNCR (a total of 1625 retrieved records of patients of all ages). Records of patients with diagnoses based on autopsy reports and those with survival of less than 30 days were excluded to avoid bias in survival analysis due to late reporting. Patients under 18 years of age at the time of CML diagnosis were also excluded. The patients were additionally grouped per year of diagnosis into five cohorts (diagnosed between 2000 and 2004; diagnosed between 2005 and 2009; diagnosed between 2010 and 2014; diagnosed between 2015 and 2019; diagnosed in 2020 and 2021). A univariate log-rank test was used to compare the overall survival for each group per period of diagnosis. A Cox regression model for overall survival using period of diagnosis, sex, and age at diagnosis as covariates was estimated. It was fitted using the R packages survival v. 3.7.0 and survminer v. 0.4.9 for Windows [9]. Conditional 5-year survival for patients who were alive at 1, 2, and 3 years after diagnosis was estimated using the condSURV v. 2.0.4 package for R for Windows.
Life expectancy (LE) in years and life years lost (LYLs) for CML patients per period of diagnosis and sex were estimated using the lilies v.0.2.12 package for R for Windows, as described previously [10,11]. In brief, we first estimated the LE and total LYLs for all patients and separately for each sex for the patients diagnosed during each of the periods of initial CML diagnosis defined above. LYLs for CML patients were estimated relative to the life expectancy of the general Bulgarian population in each of the studied time periods. As a reference for the LE in the general Bulgarian population, we used the life tables provided by the Human Mortality Database (https://www.mortality.org/) as described above.
We were not able to estimate cause-specific LYLs since the national cancer registry does not provide individual information regarding the cause of death. Therefore, we obtained aggregate data from the NSI regarding the total number of deaths in the Bulgarian population due to CML (C92.1). This data set was provided as annual counts and rates for the period since 2013, because 2013 was the first year when causes of death were reported using ICD-10 codes. The rate of deaths from CML was plotted as the rate per 100,000 inhabitants for the entire population and for both sexes.
Absolute NHIF expenditures for the following TKIs: imatinib, nilotinib, dasatinib, bosutinib, and ponatinib were obtained as annual absolute values in Bulgarian levs (BGN). They were converted to EUR using the fixed exchange rate of BGN 1.958 for 1 EUR and normalized to the annualized population size so that the data could be provided as EUR spent per capita in each year between 2014 and 2022. The data were presented as stacked barplots using the ggplot2 v. 3.5.1 package.
Analogously, the NHIF provided data regarding the total number of patients with CML who have received at least a single dose of any of the above-listed TKIs during the period between 2014 and 2022. Notably, some patients might have received more than one TKI during that period and been included in several of the aggregate counts. The counts of patients who have received TKIs were normalized to the annualized general population size. Data were presented as stacked barplots of the number of patients who had been treated with any TKI per 100,000 people.
3. Results
We initially compared the overall survival (OS) of a total of 1513 Bulgarian CML patients of all ages and both sexes diagnosed in five different non-overlapping time periods (Table 1). The distribution of the number of cases was as follows: 559, 402, 315, 194, and 43 patients for the periods 2000–2004, 2005–2010, 2010–2014, 2015–2019, and 2020–2021, respectively (Table 1). Sex and age distribution were balanced for all periods of interest (Table 1).
Table 1.
Sex and age distribution of adult Bulgarian CML patients included in the study over the five time periods since 2000. p-values are from chi-squared tests for comparing sex distribution across time period groups (*) or Kruskal–Wallis tests for comparing age distribution across time period groups (†).
As shown in Figure 1, the OS differed significantly over the study periods (log-rank test p-value < 0.0001). The median OS was 783, 838, 2933, 1510, and 179 days for periods 2000–2004, 2005–2010, 2010–2014, 2015–2019, and 2020–2021, respectively (Figure 1). Notably, OS seemed to increase constantly over the first three time periods until 2014 but worsened during the period 2015–2019 in comparison to 2010–2014 (log-rank test p-value = 0.032) and was worst for the last two years 2020–2021 (log-rank test p-value = 0.0006 vs. baseline period 2000–2004) (Figure 1). These findings were independent of age and sex as confirmed by the multivariate Cox model (Figure 2).
Figure 1.
Overall survival of patients with CML registered in the Bulgarian National Cancer Registry (BNCR) during five distinct periods: 2000–2004; 2005–2009; 2010–2014; 2015–2019; and 2020–2021. p-value is from log-rank test.
Figure 2.
Forest plot summarizing the outcome of multivariate Cox regression model of overall survival on Bulgarian CML patients. The selected covariates included age, sex, and period of registration in the BNCR.
While the findings for 2020–2021 could be easily explained with excess mortality during the COVID-19 pandemic and short follow-up, the lack of improvement in OS during 2015–2019 was considered somewhat counterintuitive even though a shorter follow-up and the COVID-19 pandemic undoubtedly influenced the OS estimates for that period. Therefore, we sought confirmation of these findings using an alternative approach. As shown in Figure 1, most deaths seemed to appear during the first three years after diagnosis. We estimated the conditional 5-year survival for patients who have survived one, two, or three years after the initial diagnosis (Table 2). It appeared that these estimates consistently improved over the first three periods of interest. Regarding the period 2015–2019, conditional survival rates were not superior and were even numerically slightly worse than the ones for the preceding period 2010–2014.
Table 2.
The 5-year conditional survival probability for patients who were alive 1 (5-/1-year), 2 (5-/2-year) and 3 (5-/3-year) years after diagnosis. Abbreviations: CI—confidence interval.
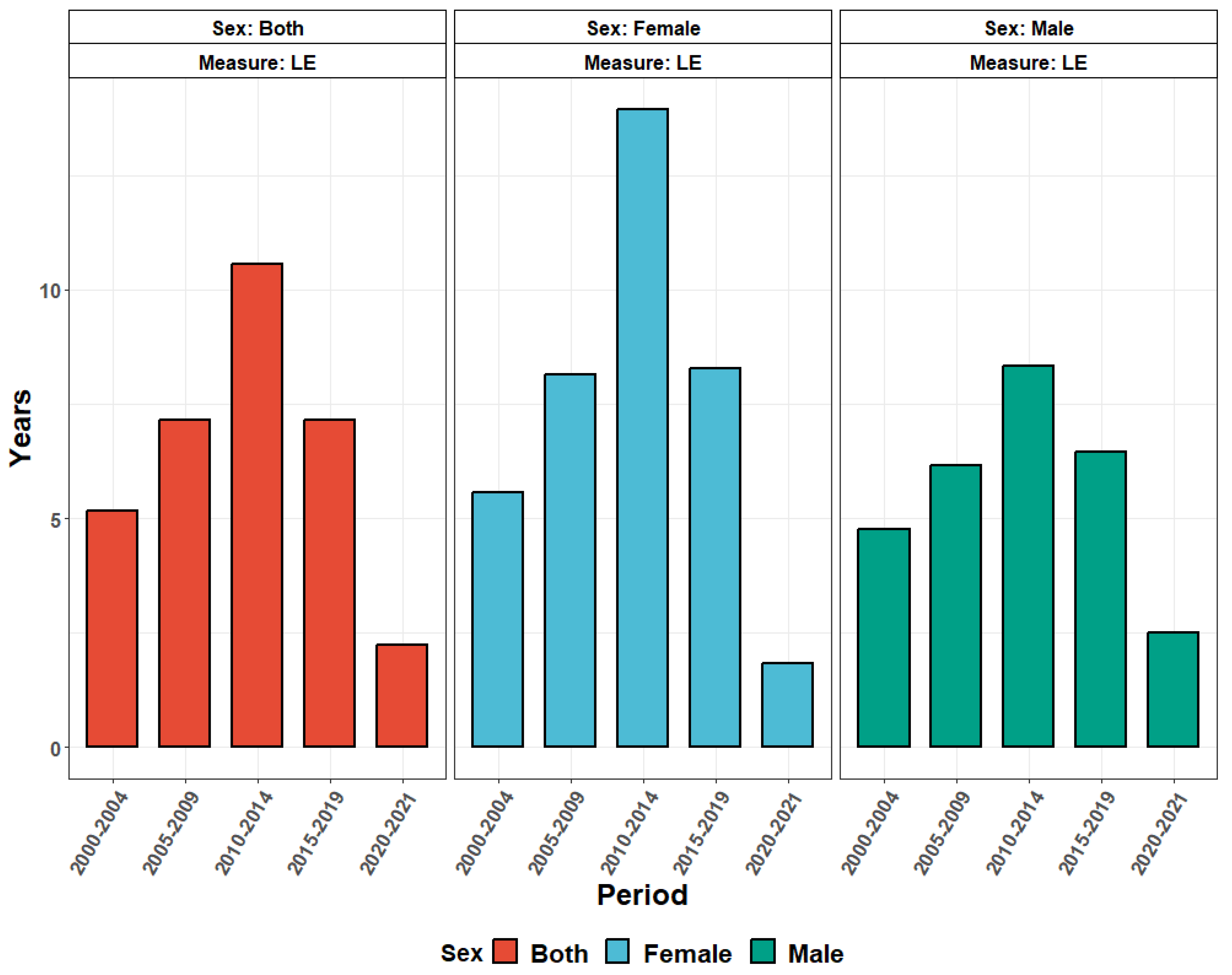
Furthermore, we calculated the life expectancy (LE) and life years lost (LYLs) for newly diagnosed patients in each period. We found that LE increased numerically independent of the sex of the patients until 2014. However, for the period 2015–2019, LE was shorter than LE during 2010–2014 and very close to the one for 2005–2009 (Figure 3).
Figure 3.
Estimated life expectancy (LE) for males, females, and both sexes over the five periods.
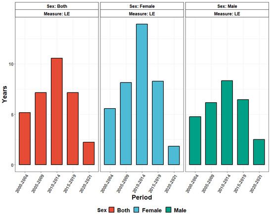
A complementary approach to assess survival in a diseased population versus the general population is to estimate the LYLs using the general mortality rate as a reference. To this end, we calculated LYLs for CML patients in each period using the 5-year mortality rate for the Bulgarian population. Interestingly, LYLs declined steadily until 2014 for both sexes but reached the baseline values for the two time periods after 2014 (Figure 4). The consistently lowest LYL estimates for both sexes were reached during the 2010–2014 period, at 5.52 and 9.73 years for females and males, respectively.
Figure 4.
Life years lost (LYLs) for males, females, and both sexes over the five periods.
Unfortunately, the BNCR did not collect or report data regarding the cause of death of registered patients. This prevents the estimation of cause-specific survival, LE, and LYLs. A rough idea of the dynamics in the number of deaths due to CML could be obtained from data in the National Statistical Institute (NSI). The number of CML-related deaths each year since 2013 is presented in Figure 5 per number of cases per 100,000 people. Notably, there was no consistent pattern of decrease in CML deaths over that period for either male or female individuals.
Figure 5.
Annual rate of deaths due to CML reported in the general Bulgarian population between 2013 and 2022. The rate is estimated for males, females, and both sexes per 100,000 people.
Logically, one of the main drivers for improvement in clinical outcomes in CML patients is the accessibility to BCR::ABL1 TKIs. In Bulgaria, those drugs have been exclusively reimbursed by the National Health Insurance Fund (NHIF) since 2014. We obtained data about the overall expenditures for BCR::ABL1 TKIs from the NHIF since 2014. As shown in Figure 6, all currently available TKIs were available in Bulgaria, and the expenditures remained stable at around 2.0 Euro per capita per year (Figure 6).
Figure 6.
Annual NHIF expenditures for BCR::ABL1 TKIs in Bulgaria between 2014 and 2022. Costs were estimated in EUR per capita population in the country for each of the reimbursed drugs in the country in the respective year.
We also retrieved data regarding the number of patients who received at least a single dose of such TKIs since 2014. The number steadily increased from 5.9 patients per 100,000 inhabitants in 2014 to 11.3/100,000 in 2022 (Figure 6). In recent years, the number of patients receiving imatinib has remained stable, while the number of patients receiving second- and third-line TKIs has gradually increased (Figure 7).
Figure 7.
Annual number of CML patients who have received at least a single dose of any BCR::ABL1 TKI in Bulgaria between 2014 and 2022. One patient might have received more than TKI during the same year or over several years.
4. Discussion
A series of long-term outcomes reports confirmed the exceptional improvement in OS of CML patients treated with first-line imatinib up until the mid-2010s [12,13,14,15]. Recently, the EUROCARE-6 Working Group reported CML survival data for European countries based on data from 64 cancer registries comparing two periods 2000–2006 vs. 2007–2013 [16]. They showed clear improvement in the overall survival during the second period, which was attributed to the wider use of TKIs [16]. Notably, the improvement varied between European countries and regions and was largest for Eastern Europe, with a net improvement in the 5-year crude survival improvement of 17.6% [16]. Specifically, for Bulgaria, the improvement was as high as 23.6% [16]. Furthermore, the improvement in the conditional 5-year crude OS for patients who were still alive 3 years after diagnosis followed an identical pattern. It reached 6.7% for Eastern European countries and was highest for Bulgaria with 17.0%, suggesting that people in the chronic phase also experienced a significant improvement over the second period. The same study provided a summary of the available OS in randomized clinical trials performed in Europe and concluded that real-world survival rates remain lower than the ones in randomized clinical trials (RCTs), probably because of patient selection in the trials and the lack of universal CML management protocols in Europe during the studied period. On the other hand, some single cancer registries in Europe reported near normal relative survival for CML patients as compared to local general populations [17,18,19,20]. These observations might be age and country dependent, as the registry data analysis for US patients suggested still suboptimal relative survival and a significant number of LYLs [10,21].
Our data complement previous real-world reports by providing data on CML patients’ survival outside of clinical trials beyond the mid-2010s, when second generation TKIs became more readily available even in first-line settings. We demonstrated clear improvement in OS of CML patients in each of the 5-year periods until 2015. However, the 2015–2019 period did not bring further improvement in OS of newly diagnosed patients. This observation was also confirmed in a multivariate model accounting for age and sex. Estimates of LE and LYLs using the general Bulgarian population as a reference followed the same pattern. As mentioned by previous reports, there might be several non-mutually exclusive explanations for inferior outcomes of CML patients in the real-world settings. Those include older age of treated patients, co-morbidities, patient compliance, suboptimal management of accelerated/blast phases, inappropriate molecular follow-up of response and screening for resistance mutations, inadequate management of adverse events associated with novel TKIs, and inconsistent TKI switching policies. All of these causes can affect the clinical outcomes for CML patients in Bulgaria, as the country experienced significant transition in its healthcare system and still has one of the worst overall general population health parameters in Europe. Therefore, we additionally aimed to provide some hints on the possible causes for the lack of continuous improvement in OS for Bulgarian CML patients after 2015, in contrast with other reports. Unfortunately, the Bulgarian cancer registry does not provide information on the cause of death, so we were not able to analyze what would be LYLs due to CML itself or other causes, which may provide some inference regarding the determinants of suboptimal OS. We partly overcame this limitation by obtaining the reported mortality due to CML in the NSI database. Importantly, the available data since 2013 did not show any improvement in the rate of CML deaths in the Bulgarian population, suggesting that recently, there is no consistent decrease in the direct cause of death. Interestingly, the rate of CML-related deaths remained consistently higher for males than for females. This observation was consistent with world-wide data from the 2019 Global Burden of Disease (GBD) study, which reported a higher age-standardized death rate (ASDR) for male than for female CML patients [22]. The proposed explanation was higher tobacco exposure among males [22]. Indeed, in Bulgaria, adult males have much higher tobacco exposure than females [23,24].
We further questioned whether the lack of access to TKIs during that period could explain the lack of reduction in CML-related deaths. Data from the NHIF showed that expenditures for TKIs reached a plateau of about 2 EUR/capita in 2016 and remained constant, but more importantly, the number of patients who have received at least one TKI steadily increased since 2014. All EU-registered TKIs except for asciminib, which will be reimbursed in Bulgaria starting 2024, are covered by the NHIF. Since 2014, the number of patients treated with imatinib remained relatively constant, but the total expenditures for imatinib dropped significantly since 2017, which can be explained by the penetration into the market of much cheaper generic preparations of imatinib. Collectively, these data suggest that Bulgarian CML patients have received adequate and constantly improving access to TKIs over the last decade. Indeed, according to the latest clinical recommendations for the management of CML patients endorsed by the Bulgarian MoH, therapy for chronic-phase CML can be initiated with either imatinib, or nilotinib, or dasatinib, or bosutinib at the treating physicians’ discretion. Second-line treatment options are enriched with ponatinib, which is also the treatment of choice for patients with resistance due to T315I mutation. A single-center study from a Bulgarian university hospital suggested that such a mutation can be detected in up to 14.7% of patients who failed to achieve the optimal molecular response [25].
In spite of the availability of second- and third-generation TKIs, additional factors may contribute to the lack of improvement in OS since 2015. First of all, the Bulgarian National Cancer Registry (BNCR) is experiencing significant reorganization, and this may have led to infrequent and late reporting of newly diagnosed CML cases since 2015 [26]. This is evidenced by the declining total number of cases that we retrieved. The main reason for the declining number of reported cases in the BNCR was the fact that the National Hematology Center had lost its leading role in managing and reporting those cases to the BNCR, and the newly established hematology departments had not had the formal obligation to report all newly diagnosed cases of hematological malignancies to the BNCR. Another factor would be that COVID-19 led to increased mortality among CML patients, which led to shorter OS of patients diagnosed during the last two periods. Notably, probably in most countries, mortality of CML due to COVID-19 was within the range for the general population and gradually declined with the implementation of wide-spread vaccination in 2021 and beyond [27,28,29]. This, along with delayed reporting, is obviously the main reason for very low OS of CML patients diagnosed in 2020–2021 [30].
Finally, our data also suggest that the availability of newer generations of drugs is not a sufficient prerequisite for immediate improvement of clinical outcomes. This is evident because of the lack of improvement in the conditional 5-year OS for patients diagnosed in 2015–2019 compared to those diagnosed between 2010 and 2014. The Bulgarian elderly population has significant comorbidity of cardiovascular and metabolic diseases as well as high exposure to cardiovascular risk factors such as tobacco use and alcohol consumption [31]. Newer generations of TKIs are known to slightly increase the risk of cardiovascular events [32,33]. Precise analysis of the incidence or adverse events in clinical trials and real-world studies suggests that the incidence in the real world is much higher. Therefore, it is not unlikely to expect that the beneficial effect of TKIs in the Bulgarian population is limited by the high cardiovascular comorbidity and high prevalence of behavioral risk factors among Bulgarian patients [24,34]. To support this hypothesis, one can refer to the latest published estimates from the Global Burden of Disease 2021 study [24]. According to the published data, deaths due to high systolic blood pressure increased from 507.42 deaths per 100,000 people in 1990 to 739.78 deaths per 100,000 people in 2021 (the highest rate in Europe) [24]. The rate of deaths due to high body mass index also increased dramatically in Bulgaria from 125.08 per 100,000 people in 1990 up to 275.95 per 100,000 people in 2021 (also the highest rate in Europe) [24].
5. Conclusions
Based on our findings, one can easily identify directions for further improvement in the management of CML patients in Bulgaria. First of all, it is advisable to either develop a disease-specific cancer registry capturing granular clinical data, such as phase of disease, prognostic scores, initial and subsequent therapies, responses, comorbidities, cause of death, etc., of all newly diagnosed cases in the country, or to improve the reporting in the centralized BNCR. This can be partly overcome by integrating the available registry data with the individual data from the NSI and NHIF. From a clinical perspective, one should obviously work on the development and implementation of strict guidelines for monitoring of response, risk factors, and switching of available TKIs. For example, the development and reimbursement of outpatient programs for continuous care and clinical monitoring of CML patients with increased cardiovascular and metabolic risks is of particular importance for Bulgaria.
Author Contributions
V.S. proposed research, collected and analyzed data, supervised and coordinated work and wrote the manuscript. D.G. analyzed data and wrote the manuscript. M.N. provided data and critically revised the manuscript. T.M. provided data and critically revised the manuscript. A.Z. provided data and critically revised the manuscript. A.Y. collected and analyzed data and wrote the manuscript. All authors have read and agreed to the published version of the manuscript.
Funding
Velizar Shivarov’s work on myeloproliferative neoplasms is supported by National Science Fund grant (Bulgaria) project KP-06-H41/2 (contract KP-06-363 H41/2, 30 November 2020). The contribution to the study by Denitsa Grigorova was partially supported by the financial funds allocated to the Sofia University “St. Kl. Ohridski”, grant No. 80-10-124/16.4.2024.
Institutional Review Board Statement
This work is considered exempt from IRB review as it uses free publicly available aggregate statistical data.
Informed Consent Statement
Not applicable as this study uses free publicly available aggregate statistical data. There were no privacy issues to be considered in regard to the usage of such data.
Data Availability Statement
Data used in the study can be obtained free from the National Statistical Institute, Bulgaria and Bulgarian National Cancer Registry and National Health Insurance Fund, Bulgaria as described in the main text.
Conflicts of Interest
Velizar Shivarov has been employed by the company PRAHS/ICON plc. Mira Nedeva and Todor Milkov have been employed by the company SAT Health. The remaining authors declare that the research was conducted in the absence of any commercial or financial relationships that could be construed as a potential conflict of interest.
References
- Druker, B.J.; Lydon, N.B. Lessons learned from the development of an abl tyrosine kinase inhibitor for chronic myelogenous leukemia. J. Clin. Investig. 2000, 105, 3–7. [Google Scholar] [CrossRef]
- Druker, B.J.; Tamura, S.; Buchdunger, E.; Ohno, S.; Segal, G.M.; Fanning, S.; Zimmermann, J.; Lydon, N.B. Effects of a selective inhibitor of the Abl tyrosine kinase on the growth of Bcr–Abl positive cells. Nat. Med. 1996, 2, 561–566. [Google Scholar] [CrossRef] [PubMed]
- Druker, B.J.; Talpaz, M.; Resta, D.J.; Peng, B.; Buchdunger, E.; Ford, J.M.; Lydon, N.B.; Kantarjian, H.; Capdeville, R.; Ohno-Jones, S.; et al. Efficacy and safety of a specific inhibitor of the BCR-ABL tyrosine kinase in chronic myeloid leukemia. N. Engl. J. Med. 2001, 344, 1031–1037. [Google Scholar] [CrossRef]
- Druker, B.J.; Guilhot, F.; O’Brien, S.G.; Gathmann, I.; Kantarjian, H.; Gattermann, N.; Deininger, M.W.; Silver, R.T.; Goldman, J.M.; Stone, R.M.; et al. Five-year follow-up of patients receiving imatinib for chronic myeloid leukemia. N. Engl. J. Med. 2006, 355, 2408–2417. [Google Scholar] [CrossRef]
- Senapati, J.; Sasaki, K.; Issa, G.C.; Lipton, J.H.; Radich, J.P.; Jabbour, E.; Kantarjian, H.M. Management of chronic myeloid leukemia in 2023–common ground and common sense. Blood Cancer J. 2023, 13, 58. [Google Scholar] [CrossRef]
- Malhotra, H.; Radich, J.; Garcia-Gonzalez, P. Meeting the needs of CML patients in resource-poor countries. Hematol. Am. Soc. Hematol. Educ. Program Book 2019, 2019, 433–442. [Google Scholar] [CrossRef] [PubMed]
- Gómez-Almaguer, D.; Cantú-Rodríguez, O.G.; Gutiérrez-Aguirre, C.H.; Ruiz-Argüelles, G.J. The treatment of CML at an environment with limited resources. Hematology 2016, 21, 576–582. [Google Scholar] [CrossRef]
- World Health Organization; European Observatory on Health Systems and Policies. Bulgaria: Health System Review. In Health Systems in Transition; Dimova, A., Rohova, M., Koeva, S., Atanasova, E., Koeva-Dimitrova, L., Kostadinova, T., Spranger, A., Eds.; World Health Organization, Regional Office for Europe: Copenhagen, Denmark, 2018; Volume 20. [Google Scholar]
- Therneau, T.M.; Lumley, T. Package ‘survival’. R. Top. Doc. 2015, 128, 28–33. [Google Scholar]
- Shivarov, V.; Grigorova, D. Dynamic trends in life expectancy and life years lost over five decades in patients from the SEER database with chronic myeloid leukaemia. Br. J. Haematol. 2022, 198, e23–e25. [Google Scholar] [CrossRef]
- Plana-Ripoll, O.; Canudas-Romo, V.; Weye, N.; Laursen, T.M.; McGrath, J.J.; Andersen, P.K. lillies: An R package for the estimation of excess Life Years Lost among patients with a given disease or condition. PLoS ONE 2020, 15, e0228073. [Google Scholar] [CrossRef]
- Jain, P.; Kantarjian, H.; Alattar, M.L.; Jabbour, E.; Sasaki, K.; Gonzalez, G.N.; Dellasala, S.; Pierce, S.; Verstovsek, S.; Wierda, W.; et al. Long-term molecular and cytogenetic response and survival outcomes with imatinib 400 mg, imatinib 800 mg, dasatinib, and nilotinib in patients with chronic-phase chronic myeloid leukaemia: Retrospective analysis of patient data from five clinical trials. Lancet Haematol. 2015, 2, e118–e128. [Google Scholar] [CrossRef]
- Sasaki, K.; Strom, S.S.; O’Brien, S.; Jabbour, E.; Ravandi, F.; Konopleva, M.; Borthakur, G.; Pemmaraju, N.; Daver, N.; Jain, P.; et al. Relative survival in patients with chronic-phase chronic myeloid leukaemia in the tyrosine-kinase inhibitor era: Analysis of patient data from six prospective clinical trials. Lancet Haematol. 2015, 2, e186–e193. [Google Scholar] [CrossRef]
- Hehlmann, R.; Lauseker, M.; Saußele, S.; Pfirrmann, M.; Krause, S.; Kolb, H.J.; Neubauer, A.; Hossfeld, D.K.; Nerl, C.; Gratwohl, A.; et al. Assessment of imatinib as first-line treatment of chronic myeloid leukemia: 10-year survival results of the randomized CML study IV and impact of non-CML determinants. Leukemia 2017, 31, 2398–2406. [Google Scholar] [CrossRef] [PubMed]
- Hochhaus, A.; Larson, R.A.; Guilhot, F.; Radich, J.P.; Branford, S.; Hughes, T.P.; Baccarani, M.; Deininger, M.W.; Cervantes, F.; Fujihara, S.; et al. Long-term outcomes of imatinib treatment for chronic myeloid leukemia. N. Engl. J. Med. 2017, 376, 917–927. [Google Scholar] [CrossRef]
- Vener, C.; Rossi, S.; Minicozzi, P.; Marcos-Gragera, R.; Poirel, H.A.; Maynadié, M.; Troussard, X.; Pravettoni, G.; De Angelis, R.; Sant, M.; et al. Clear improvement in real-world chronic myeloid leukemia survival: A comparison with randomized controlled trials. Front. Oncol. 2022, 12, 892684. [Google Scholar] [CrossRef]
- Gunnarsson, N.; Sandin, F.; Höglund, M.; Stenke, L.; Björkholm, M.; Lambe, M.; Olsson-Strömberg, U.; Richter, J.; Själander, A. Population-based assessment of chronic myeloid leukemia in Sweden: Striking increase in survival and prevalence. Eur. J. Haematol. 2016, 97, 387–392. [Google Scholar] [CrossRef]
- Söderlund, S.; Dahlén, T.; Sandin, F.; Olsson-Strömberg, U.; Creignou, M.; Dreimane, A.; Lübking, A.; Markevärn, B.; Själander, A.; Wadenvik, H.; et al. Advanced phase chronic myeloid leukaemia (CML) in the tyrosine kinase inhibitor era–a report from the Swedish CML register. Eur. J. Haematol. 2017, 98, 57–66. [Google Scholar] [CrossRef]
- Maas, C.C.H.M.; van Klaveren, D.; Ector, G.I.C.G.; Posthuma, E.F.M.; Visser, O.; Westerweel, P.E.; Janssen, J.J.W.M.; Blijlevens, N.M.A.; Dinmohamed, A.G. The evolution of the loss of life expectancy in patients with chronic myeloid leukaemia: A population-based study in the Netherlands, 1989–2018. Br. J. Haematol. 2022, 196, 1219–1224. [Google Scholar] [CrossRef] [PubMed]
- Ector, G.I.C.G.; Visser, O.; Posthuma, E.F.M.; Westerweel, P.E.; Janssen, J.J.W.M.; Blijlevens, N.M.A.; Dinmohamed, A.G. Conditional relative survival among adult patients with chronic myeloid leukemia in the tyrosine kinase inhibitor era: A population-based study in the Netherlands. Leukemia 2021, 35, 3291–3294. [Google Scholar] [CrossRef]
- Radivoyevitch, T.; Weaver, D.; Hobbs, B.; Maciejewski, J.P.; Hehlmann, R.; Jiang, Q.; Gale, R.P. Do persons with chronic myeloid leukaemia have normal or near normal survival? Leukemia 2020, 34, 333–335. [Google Scholar] [CrossRef]
- Hu, Y.; Li, Q.; Hou, M.; Peng, J.; Yang, X.; Xu, S. Magnitude and temporal trend of the chronic myeloid leukemia: On the basis of the global burden of disease study 2019. JCO Glob. Oncol. 2021, 7, 1429–1441. [Google Scholar] [CrossRef] [PubMed]
- Reitsma, M.B.; Kendrick, P.J.; Ababneh, E.; Abbafati, C.; Abbasi-Kangevari, M.; Abdoli, A.; Abedi, A.; Abhilash, E.S.; Abila, D.B.; Aboyans, V.; et al. Spatial, temporal, and demographic patterns in prevalence of smoking tobacco use and attributable disease burden in 204 countries and territories, 1990–2019: A systematic analysis from the Global Burden of Disease Study 2019. Lancet 2021, 397, 2337–2360. [Google Scholar] [CrossRef]
- Brauer, M.; A Roth, G.; Aravkin, A.Y.; Zheng, P.; Abate, K.H.; Abate, Y.H.; Abbafati, C.; Abbasgholizadeh, R.; Abbasi, M.A.; Abbasian, M.; et al. Global burden and strength of evidence for 88 risk factors in 204 countries and 811 subnational locations, 1990–2021: A systematic analysis for the Global Burden of Disease Study 2021. Lancet 2024, 403, 2162–2203. [Google Scholar] [CrossRef] [PubMed]
- Goranova-Marinova, V.; Linev, A.; Ivanov, H.J.; Zheljazkov, I.; Stoyanova, V.; Grudeva-Popova, Z. Clinical characteristics, disease evolution and survival in patients with chronic myeloid leukemia, BCR-ABL1 (+) and T315I mutation. Folia Medica 2021, 63, 670–675. [Google Scholar] [CrossRef]
- Dimitrova, N.; Parkin, D.M. Data quality at the Bulgarian National Cancer Registry: An overview of comparability, completeness, validity and timeliness. Cancer Epidemiol. 2015, 39, 405–413. [Google Scholar] [CrossRef] [PubMed]
- El-Ashwah, S.; Salmanton-García, J.; Bilgin, Y.M.; Itri, F.; Žák, P.; Weinbergerová, B.; Verga, L.; Omrani, A.S.; da Silva, M.G.; Szotkowski, T.; et al. The mortality of COVID-19 in CML patients from 2020 until 2022: Results from the EPICOVIDEHA survey. Leuk. Lymphoma 2024, 65, 199–208. [Google Scholar] [CrossRef] [PubMed]
- Dahlén, T.; Flygt, H.; Lübking, A.; Olsson-Strömberg, U.; Wennström, L.; Dreimane, A.; Själander, A.; Leach, S.; Gisslén, M.; Li, H.; et al. The impact of Covid-19 in patients with chronic myeloid leukemia—A nationwide population-based study. Leukemia 2023, 37, 1156–1159. [Google Scholar] [CrossRef]
- Arbore, D.R.; Galdean, S.M.; Dima, D.; Rus, I.; Kegyes, D.; Ababei, R.G.; Dragancea, D.; Tomai, R.A.; Trifa, A.P.; Tomuleasa, C. COVID-19 impact on chronic myeloid leukemia patients. J. Pers. Med. 2022, 12, 1886. [Google Scholar] [CrossRef]
- Shivarov, V.; Grigorova, D.; Yordanov, A. Relative Risk of Death in Bulgarian Cancer Patients during the Initial Waves of the COVID-19 Pandemic. Healthcare 2023, 11, 2594. [Google Scholar] [CrossRef]
- Roth, G.A.; Mensah, G.A.; Johnson, C.O.; Addolorato, G.; Ammirati, E.; Baddour, L.M.; Barengo, N.C.; Beaton, A.Z.; Benjamin, E.J.; Benziger, C.P.; et al. Global burden of cardiovascular diseases and risk factors, 1990–2019: Update from the GBD 2019 study. J. Am. Coll. Cardiol. 2020, 76, 2982–3021. [Google Scholar] [CrossRef]
- Douxfils, J.; Haguet, H.; Mullier, F.; Chatelain, C.; Graux, C.; Dogné, J.-M. Association between BCR-ABL tyrosine kinase inhibitors for chronic myeloid leukemia and cardiovascular events, major molecular response, and overall survival: A systematic review and meta-analysis. JAMA Oncol. 2016, 2, 625–632. [Google Scholar] [CrossRef] [PubMed]
- Jain, P.; Kantarjian, H.; Boddu, P.C.; Nogueras-González, G.M.; Verstovsek, S.; Garcia-Manero, G.; Borthakur, G.; Sasaki, K.; Kadia, T.M.; Sam, P.; et al. Analysis of cardiovascular and arteriothrombotic adverse events in chronic-phase CML patients after frontline TKIs. Blood Adv. 2019, 3, 851–861. [Google Scholar] [CrossRef] [PubMed]
- Baker, J.L.; Collaborators GCoD. Global burden of 288 causes of death and life expectancy decomposition in 204 countries and territories and 811 subnational locations, 1990–2021: A systematic analysis for the Global Burden of Disease Study 2021. Lancet 2024, 379, 1128–1138. [Google Scholar]
Disclaimer/Publisher’s Note: The statements, opinions and data contained in all publications are solely those of the individual author(s) and contributor(s) and not of MDPI and/or the editor(s). MDPI and/or the editor(s) disclaim responsibility for any injury to people or property resulting from any ideas, methods, instructions or products referred to in the content. |
© 2024 by the authors. Licensee MDPI, Basel, Switzerland. This article is an open access article distributed under the terms and conditions of the Creative Commons Attribution (CC BY) license (https://creativecommons.org/licenses/by/4.0/).






