Next Article in Journal
On the Contribution of Aerosols and Clouds to Global Dimming and Brightening Using a Radiative Transfer Model, ISCCP-H Cloud and MERRA-2 Aerosol Optical Properties
Previous Article in Journal
PBL Height Retrievals during ASKOS Campaign
 
 
Please note that, as of 4 December 2024, Environmental Sciences Proceedings has been renamed to Environmental and Earth Sciences Proceedings and is now published here.
Font Type:
Arial Georgia Verdana
Font Size:
Aa Aa Aa
Line Spacing:
Column Width:
Background:
Proceeding Paper

The Correlation between the Temperature, Precipitation, and Referrals for Physical Therapy for Patients with Chronic Musculoskeletal Problems †

by
Sotiria Vrouva
1,2,*,
Varvara Sopidou
3,
Vasileios Papatsimpas
1,
Alexandra Nikolopoulou
1,2,
Petros Tatsios
1,
Konstantinos Chanopoulos
4 and
George A. Koumantakis
1
1
Physiotherapy Department, School of Health and Care Sciences, University of West Attica (UNIWA), 12243 Athens, Greece
2
Department of Physical Therapy, 401 Army General Hospital of Athens, 11525 Athens, Greece
3
Department of Biomedical Sciences, School of Health and Care Sciences, University of West Attica (UNIWA), 12243 Athens, Greece
4
Department of Application Developments, Hellenic Military Geographical Service (HMGS), 11362 Athens, Greece
*
Author to whom correspondence should be addressed.
Presented at the 16th International Conference on Meteorology, Climatology and Atmospheric Physics—COMECAP 2023, Athens, Greece, 25–29 September 2023.
Environ. Sci. Proc. 2023, 26(1), 37; https://doi.org/10.3390/environsciproc2023026037
Published: 24 August 2023

Abstract

:
The aim of this study was to investigate how temperature and precipitation are associated with the number of referrals for physical therapy. Material and Methods: Weather data and monthly referrals were collected retrospectively for three years (2020–2022). A total of 937 referrals were studied. Trend analysis was conducted to identify patterns and trends in data over time, including correlation analysis to discover relationships and multivariate linear regression analyses to model the direction and strength of this. Results: Monthly referrals were found to be strongly associated with weather indicators (rs = −0.744, p < 0.001 for temperature and rs = 0.894, p < 0.001 for precipitation). Multivariate regression analyses verified this significant correlation (b = −0.763, p < 0.025 and b = 0.598, p < 0.001, respectively). A stronger correlation was found for female referrals (b = 0.509, p < 0.001) compared to that found for male referrals (b = 0.089, p < 0.001). Conclusion: Low temperatures and high precipitation rates were found to be associated with an increased number of referrals. Females were more vulnerable to precipitation increases.

1. Introduction

Individuals, as part of their nature, interact with the environment [1]. Meteoropathy, i.e., the effect of weather conditions on the human body, has been known about since ancient times [2,3]. Weather variables that commonly affect health have been described. These are usually atmospheric pressure, humidity, wind, rain, and temperature [1].
The occurrence of heart attacks is more pronounced in the winter months, but strokes increase during the holiday season. Anxiety attacks, depression, a rapid heart rate [1], asthma and sickle cell attacks, and systemic lupus erythematosus [4] are often observed.
Furthermore, multiple sclerosis symptoms are worse in warmer environments [1]. High temperatures trigger the occurrence of headaches and migraines and reduce the incidence of seizures [1,5].
Usually, pain associated with weather changes occurs in acute and chronic pathologies. For those suffering from musculoskeletal conditions, “Weather stress” can worsen their pain [1]. It appears a day or two before changes in weather and lasts until the organism adapts to a new situation [1]. Patients with arthritis (especially rheumatoid arthritis), chronic shoulder pathologies, unspecified arthritis, neuropathic pain, gout [6], fibromyalgia, and back pain are mainly those who are affected [2]. These patients are often repeatedly referred for physical therapy [7].
To our knowledge, there is no study that has previously examined the potential correlation of physical therapy referrals of patients with chronic musculoskeletal problems with monthly temperatures and precipitation levels. The aim of this study was to investigate how average monthly temperatures and precipitation levels are associated with the number of patients with chronic musculoskeletal problems referred to the hospital. A secondary objective was to explore if this effect was differentiated according to the patients’ gender.

2. Material and Methods

This is a retrospective study. The data were collected every month for the years 2020–2022 by the Department of Physiotherapy of the 401 Army General Hospital of Athens and were based on the number of patients suffering from chronic pain that were referred to this department. Weather data were collected from Acharnon Weather Station (ELEV: 210 m LAT: 38°06′00″ N LONG: 23°42′00″ E). A total of 937 referrals were studied. There were more female cases (n = 768, 72%) than male (n = 169, 18%). Trend analysis was conducted to identify patterns and trends in the data over time, indicating the direction and strength of these trends.

3. Statistical Analysis

All data under consideration were tested for normality using the Sapiro–Wilk test. Correlation analysis was conducted to discover relationships between the monthly referrals and physiotherapy and weather conditions, temperature, and precipitation levels. Multivariate linear regression analyses were performed to identify independent weather factors associated with patient-reported chronic musculoskeletal pain. Regression analyses were also exclusively conducted on the subgroups of patients based on their gender.
In addition, data were examined for seasonality and stationarity and time series analysis was performed with moving averages used to identify trends by smoothing out short-term fluctuations in data and highlighting longer-term patterns. The “decompose ()” function in R software was used to estimate the trends and seasonal components of the number of referrals as a seasonal time series that can be described using an additive model. Statistical analyses were performed with SPSS version 24 software (SPSS, Inc., Chicago, IL, USA) and a significance level was set at p < 0.05. Time series plots were designed using R software (version 4.2).

4. Results

A monthly average of 26.03 ± 25.75 total referrals (4.69 ± 5.03 for males and 21.33 ± 21.54 for females) was found. The monthly mean temperature and precipitation values were 18.16 ± 7.05 °C and 35.59 ± 33.29 mm, respectively. Spearman’s correlation coefficients revealed strong correlations among weather indicators and total monthly referrals. A significant negative moderate relation was found for the total number of referrals with monthly temperatures (rs = −0.744, p < 0.001) and a strong positive one with the precipitation (rs = 0.894, p < 0.001). Of course, high temperatures were found to be correlated with a low level of participation (rs = −0.655, p < 0.001).
A multivariate linear regression model with dependent variables (i.e., the total number of referrals and predictors, the temperature, and precipitation) revealed a statistically significant correlation between them (b = −0.763, p < 0.025 for temperature and b = 0.598, p < 0.001 for precipitation, respectively). The model demonstrated 83.3% of the total variance (R square = 0.833). Specifically, we found a 0.763 decrease (±0.324) in the total number of referrals for every one-unit increase in temperature and a 0.598 increase (± 0.069) for every one-unit increase in precipitation.
When the model was applied exclusively for subgroups, we found that precipitation associated with female referrals was more significant than male referrals (b = 0.509, p < 0.001 and b = 0.089, p < 0.001, respectively). Temperature was found to be significantly negatively associated with the female referrals only (b = −0.567, p < 0.047), but not with the male referrals (b = −0.196, p = 0.05) (Table 1).
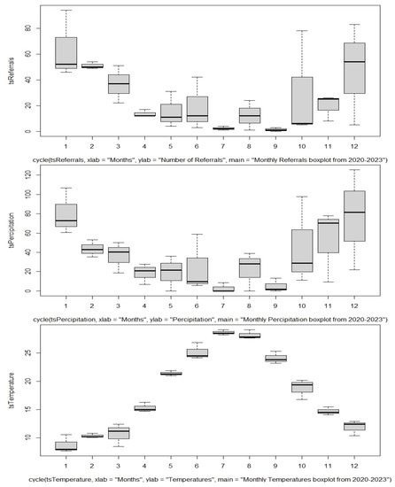
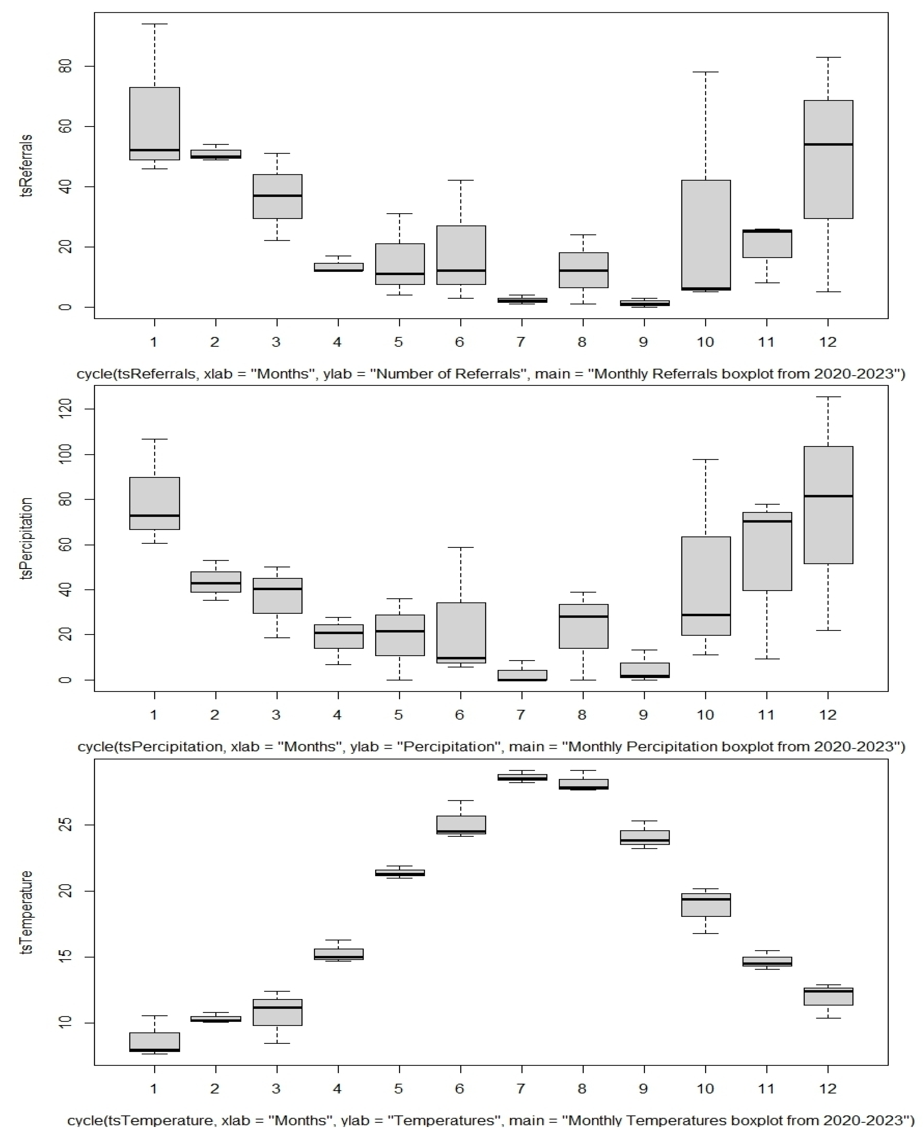
By decomposing the time series of the total number of referrals, we managed to estimate the trend, seasonal, and irregular components (Figure 1). The estimated trend component shows a small decrease from about 26 to about 22 in the second half of 2020, followed by a steady increase from then on to about 34 at the end of 2021. Then, a sharp decrease to 28 occurred in the first half of 2022. The estimated seasonal factors were computed for the months January–December and were found the same for each year, which indicates seasonality. The largest seasonal factor occurred in January (about 44.56) and the lowest occurred in September (about −28.25), indicating that there seemed to be a peak in referrals in January and a trough in September each year. Moreover, monthly boxplots for the study variables clearly show that the number of total number of referrals increased in those months with high levels of precipitation and low temperatures (Figure 2). Specifically, there were more than 45 patient referrals in cold months with precipitation levels of up to 40 mm (Dec, Jan, and Feb), whereas there were less of 5 referrals in warm months with very low precipitation levels (July and September).

5. Discussion

The specific meteorological station was chosen because the patients referred to the department came from all regions of Attica. Since the prefecture of Attica includes areas close to the sea and also more mountainous areas, this location was decided upon in order to have an average altitude.
Referrals of patients with chronic musculoskeletal pain for physical therapy included education, physical activity counseling, and other interventions (such as manual techniques, stretching movements, and exercises aimed at strengthening, controlling motor control, improving posture, and overcoming kinesiophobia [8]). These provided an increased pain threshold and accompanying hypoalgesia [2].
Several studies agree that pain in musculoskeletal patients exhibits seasonality [9]. Most agree to the fact that pain worsens in spring and winter [9], while others report that the number of referrals is greater in the period from October to May than during summer [1]. In our research, referrals increased during the months of January, February, March, and December.
Some authors in the past have attempted to investigate the relationship between weather conditions and the onset or worsening of pain [10]. Conclusions are usually mixed [11].
However, up to 97% of patients with chronic musculoskeletal pain believe that rain and atmospheric pressure affect them [11]. Under low atmospheric pressure levels, the fluids and air in the inflamed joints expand, causing an increase in pain [1]. It is also possible that low barometric pressure activates the body’s baroreceptors [8]. Shultz et al. [6] report that, in an app recording the data of more than 10,000 people with musculoskeletal conditions, 20% experienced an increase in pain when the precipitation increased [6].
Other studies report that temperature has no significant correlation with the onset of pain, but is mainly associated with an increase in humidity of at least nine units [3]. In general, an increase in temperature > 1.66 °C or an increase in humidity above 70% leads to pain differentiation in patients with osteoarthritis or fractures up to one year after the event [8]. A decrease in temperature causes vasoconstriction and causes the brain feels threatened. On the contrary, increasing the temperature or humidity to percentages > 70 causes vasodilation for thermoregulatory reasons [1].
According to Beukenhorsta et al. [11], 24 of the 43 studies showed a positive correlation between pain, temperature, and precipitation. It was emphasized, however, that the key to understanding this correlation is to consider exposure times in environments that exhibit these characteristics [11]. Moreover, the urban population have lost their ability to adapt to changes in weather [1]. Weather conditions affect the secretion of adrenocorticotropic hormones, reduce endorphin levels, and therefore increase the sensation of pain [1]. Temperature and humidity levels inside buildings differ from those in the outside environment [6]. For this reason, there are differences in the effect on people working indoors [6]. Since the sample in our study consisted of military personnel working in the countryside, the effect of these climatic conditions was assumed to be immediate [6].
One third of the population, including people of all ages (even children), suffer from meteoropathy [1]. Women comprise the largest percentage, especially those who are in menopause [1]. The different body composition levels between sexes [12] probably explain why middle-aged women are more sensitive to weather changes than men <40 and >66 years old [12].

6. Limitations

Only one weather station was used in this survey. Due to the size of the Attiki region, the meteorological station located near the place of residence or work of each sufferer should have been used as sources. However, this was not possible. Moreover, due to the COVID-19 epidemic and the implementation of teleworking, we do not know if referrals would have been more if these restrictions had not existed.

7. Conclusions

Low temperatures and high precipitation rates were found to be associated with an increased number of referrals of patients with chronic musculoskeletal problems. We also found that females were more vulnerable to precipitation increases than males.

Author Contributions

S.V., conceptualization, methodology, and writing—original draft; V.S., conceptualization, methodology, and writing—original draft; V.P., investigation, A.N., data elaboration; P.T., data and elaboration; K.C., statistical analysis; and G.A.K., visualization, review, and editing. All authors have read and agreed to the published version of the manuscript.

Funding

This study received no external funding.

Institutional Review Board Statement

This study was conducted and approved by the Institutional Review Board of 401 Army Military Hospital (protocol code: 3/2023, date of approval: 5 March 2023). This study involved referrals for physical therapy, and therefore written informed consent was not sought from patients.

Informed Consent Statement

Not applicable.

Data Availability Statement

The data presented in this study are available on request from the corresponding author. The data are not publicly available due to privacy restrictions.

Acknowledgments

We would like to thank K. Liaskonis and G. Dimitrakopoulos of the 401 Army General Hospital for their support in conducting the research. We would also like to thank N. Rouvela and N. Moschona for their contribution to the statistical analysis.

Conflicts of Interest

The authors declare no conflict of interest.

References

  1. Žikić, M.; Rabi-Žikić, T. Meteoropathy and meteorosensitive persons. Med. Pregl. 2018, 71, 131–135. [Google Scholar] [CrossRef]
  2. Bando, H. Weather-Related Pain or Meteoropathy has been Attracting Attention. J. Health Care Res. 2021, 2, 153–156. [Google Scholar] [CrossRef]
  3. Dixon, W.G.; Beukenhorst, A.L.; Yimer, B.B.; Cook, L.; Gasparrini, A.; El-Hay, T.; Hellman, B.; James, B.; Vicedo-Cabrera, A.M.; Maclure, M.; et al. How the weather affects the pain of citizen scientists using a smartphone app. NPJ Digit. Med. 2019, 2, 105. [Google Scholar] [CrossRef] [PubMed]
  4. Shulman, B.S.; Marcano, A.I.; Davidovitch, R.I.; Karia, R.; Egol, K.A. Nature’s wrath—The effect of weather on pain following orthopaedic trauma. Injury 2016, 47, 1841–1846. [Google Scholar] [CrossRef] [PubMed]
  5. Amiri, M.; Peinkhofer, C.; Othman, M.H.; De Vecchi, T.; Nersesjan, V.; Kondziella, D. Global warming, and neurological practice: Systematic review. PeerJ 2021, 9, e11941. [Google Scholar] [CrossRef]
  6. Schultz, D.M.; Beukenhorst, A.L.; Yimer, B.B.; Cook, L.; Pisaniello, H.L.; House, T.; Gamble, C.; Sergeant, J.C.; McBeth, J.; Dixon, W.G. Weather Patterns Associated with Pain in Chronic-Pain Sufferers. Bull. Am. Meteorol. Soc. 2020, 101, E555–E566. [Google Scholar] [CrossRef]
  7. Topley, D.; Kerr, D.; Wilson, I. Exploring repeated re-referral of chronic pain patients into musculoskeletal physiotherapy outpatient departments: A scoping review. Pain Rehabil. J. Physiother. Pain Assoc. 2021, 50, 22–32. [Google Scholar]
  8. Trulsson Schouenborg, A.; Rivano Fischer, M.; Bondesson, E.; Jöud, A. Physiotherapist-led rehabilitation for patients with chronic musculoskeletal pain: Interventions and promising long-term outcomes. BMC Musculoskelet. Disord. 2021, 22, 910. [Google Scholar] [CrossRef] [PubMed]
  9. Mori, H.; Sawada, T.; Nishiyama, S.; Shimada, K.; Tahara, K.; Hayashi, H.; Kato, E.; Tago, M.; Matsui, T.; Tohma, S. Influence of seasonal changes on disease activity and distribution of affected joints in rheumatoid arthritis. BMC Musculoskelet. Disord. 2019, 20, 30. [Google Scholar] [CrossRef] [PubMed]
  10. Jena, A.B.; Olenski, A.R.; Molitor, D.; Miller, N. Association between rainfall and diagnoses of joint or back pain: Retrospective claims analysis. BMJ 2017, 359, j5326. [Google Scholar] [CrossRef] [PubMed]
  11. Beukenhorst, A.L.; Schultz, D.M.; McBeth, J.; Sergeant, J.C.; Dixon, W.G. Are weather conditions associated with chronic musculoskeletal pain? Review of results and methodologies. Pain 2020, 161, 668–683. [Google Scholar] [CrossRef] [PubMed]
  12. Zhao, D.; Cheng, J.; Bao, P.; Zhang, Y.; Liang, F.; Wang, H.; Wang, X.; Fang, S.; Su, H. Effect of ambient temperature on outpatient admission for osteoarthritis and rheumatoid arthritis in a subtropical Chinese city. BMC Public Health 2022, 22, 172. [Google Scholar] [CrossRef] [PubMed]
Figure 1. Original time series (observed), estimated trends, as well as seasonal and irregular (random) components of total monthly referrals.
Figure 1. Original time series (observed), estimated trends, as well as seasonal and irregular (random) components of total monthly referrals.
Environsciproc 26 00037 g001
Figure 2. Monthly boxplots for the study variables analyzed as time series for three years (2020–2022).
Figure 2. Monthly boxplots for the study variables analyzed as time series for three years (2020–2022).
Environsciproc 26 00037 g002
Table 1. Multivariate regression models of referrals and weather conditions (a. total number of referrals, b. male referrals, and c. female referrals).
Table 1. Multivariate regression models of referrals and weather conditions (a. total number of referrals, b. male referrals, and c. female referrals).
ModelUnstandardized
Coefficients
95.0% Confidence
Interval for B
p Value
BStd.
Error
Lower BoundUpper Bound
a. Dependent Variable: Total Monthly
Referrals
(Constant)18.6127.8122.71934.5050.023
Average Monthly Temperature−0.7630.324−1.422−0.1030.025
Average Monthly Precipitation0.5980.0690.4580.7370.000
b. Dependent Variable: Male Monthly
Referrals
(Constant)5.0842.3170.3699.7980.035
Average Monthly Temperature−0.1960.096−0.3910.0000.050
Average Monthly Precipitation0.0890.020.0480.1300.000
c. Dependent Variable: Female Monthly
Referrals
(Constant)13.5296.6360.02827.030.050
Average Monthly Temperature−0.5670.275−1.128−0.0070.047
Average Monthly Precipitation0.5090.0580.390.6270.000
Note: The coefficient indicates the magnitude of change in the total number of referrals expected from a one-unit change in the independent variable.
Disclaimer/Publisher’s Note: The statements, opinions and data contained in all publications are solely those of the individual author(s) and contributor(s) and not of MDPI and/or the editor(s). MDPI and/or the editor(s) disclaim responsibility for any injury to people or property resulting from any ideas, methods, instructions or products referred to in the content.

Share and Cite

MDPI and ACS Style

Vrouva, S.; Sopidou, V.; Papatsimpas, V.; Nikolopoulou, A.; Tatsios, P.; Chanopoulos, K.; Koumantakis, G.A. The Correlation between the Temperature, Precipitation, and Referrals for Physical Therapy for Patients with Chronic Musculoskeletal Problems. Environ. Sci. Proc. 2023, 26, 37. https://doi.org/10.3390/environsciproc2023026037

AMA Style

Vrouva S, Sopidou V, Papatsimpas V, Nikolopoulou A, Tatsios P, Chanopoulos K, Koumantakis GA. The Correlation between the Temperature, Precipitation, and Referrals for Physical Therapy for Patients with Chronic Musculoskeletal Problems. Environmental Sciences Proceedings. 2023; 26(1):37. https://doi.org/10.3390/environsciproc2023026037

Chicago/Turabian Style

Vrouva, Sotiria, Varvara Sopidou, Vasileios Papatsimpas, Alexandra Nikolopoulou, Petros Tatsios, Konstantinos Chanopoulos, and George A. Koumantakis. 2023. "The Correlation between the Temperature, Precipitation, and Referrals for Physical Therapy for Patients with Chronic Musculoskeletal Problems" Environmental Sciences Proceedings 26, no. 1: 37. https://doi.org/10.3390/environsciproc2023026037

APA Style

Vrouva, S., Sopidou, V., Papatsimpas, V., Nikolopoulou, A., Tatsios, P., Chanopoulos, K., & Koumantakis, G. A. (2023). The Correlation between the Temperature, Precipitation, and Referrals for Physical Therapy for Patients with Chronic Musculoskeletal Problems. Environmental Sciences Proceedings, 26(1), 37. https://doi.org/10.3390/environsciproc2023026037

Article Metrics

Back to TopTop