Journal Description
Environmental and Earth Sciences Proceedings
Environmental and Earth Sciences Proceedings
- formerly Environmental Sciences Proceedings - is an open access journal dedicated to publish findings revealed from academic conferences, workshops and similar events in all areas of environmental and earth sciences. Published items are approved by the conference committee, and original research content is peer reviewed.
Latest Articles
Wildfire Damage Assessment over Eaton Canyon, California, Using Radar and Multispectral Datasets from Sentinel Satellites and Machine Learning Methods
Environ. Earth Sci. Proc. 2025, 36(1), 6; https://doi.org/10.3390/eesp2025036006 - 20 Nov 2025
Abstract
Eaton Canyon in California serves as the focal point for a comprehensive post-wildfire ecological impact assessment. This study employs an approach integrating satellite imagery from the European Space Agency’s Sentinel constellation to study an area of 271.49 km2. The data encompasses
[...] Read more.
Eaton Canyon in California serves as the focal point for a comprehensive post-wildfire ecological impact assessment. This study employs an approach integrating satellite imagery from the European Space Agency’s Sentinel constellation to study an area of 271.49 km2. The data encompasses both radar and multispectral data, offering a multi-dimensional view of the affected landscape. The analysis leverages the power of the random forest algorithm. Firstly, three widely used indices—the difference normalized burn ratio (dNBR), relative burn ratio (RBR), and relative difference normalized burn ratio (RdNBR)—were calculated and compared based on their accuracy and Kappa index. Secondly, we developed a fusion approach by using all the fire indices to obtain a precise severity map by classifying the affected area into distinct severity classes. Thirdly, a separate fusion approach was developed utilizing the normalized difference vegetation index (NDVI), radar vegetation index (RVI), and modified normalized difference vegetation index (MNDVI) to analyze the distribution of vegetation before and after the wildfire. The merger proposals were developed using a combination of index values to obtain better information on the fire severity map and post-fire vegetation distribution. The results indicated an accuracy of 78% when employing the dNBR index. A higher accuracy of 81% was observed with the RBR index, while the RdNBR demonstrated an accuracy of 95%. Our approach, which combines all fire indicators, offers optimal accuracy of 99%. A percentage of 56.76% did not burn due to the topography of the canyon creating natural firebreaks. Areas classified as low severity (7.83%) showed minimal damage with minimal tree mortality. Moderate- to low-severity areas (5.83%) represented regions with partial crown burns and some tree mortality. Moderate- to high-severity areas (7.22%) showed significant tree mortality. Finally, high-severity areas (22.36%), characterized by complete tree mortality and significant loss of vegetation cover, were largely concentrated in specific sections of the canyon, likely influenced by factors such as slope and fuel type. These findings provide valuable information for post-fire ecological recovery efforts and future land management strategies in Eaton Canyon and similar fire-prone landscapes.
Full article
(This article belongs to the Proceedings of The 2nd International Electronic Conference on Land)
►
Show Figures
Open AccessProceeding Paper
Assessing Industrial Land Suitability for Sustainable Urban Planning in Dhaka Region Using Geospatial Techniques
by
Sk. Tanjim Jaman Supto, Dewan Reza Hamid Karzai and Ettahad Islam Adib
Environ. Earth Sci. Proc. 2025, 36(1), 5; https://doi.org/10.3390/eesp2025036005 - 19 Nov 2025
Abstract
The Dhaka District is experiencing rapid industrial growth alongside uncontrolled urban expansion, leading to significant land-use conflicts and environmental pressures. This study investigates how to identify the optimal sites for industrial development that support sustainable urban growth by leveraging Geographic Information Systems (GISs),
[...] Read more.
The Dhaka District is experiencing rapid industrial growth alongside uncontrolled urban expansion, leading to significant land-use conflicts and environmental pressures. This study investigates how to identify the optimal sites for industrial development that support sustainable urban growth by leveraging Geographic Information Systems (GISs), combined with a structured decision-making approach. The analysis incorporates key environmental and infrastructural factors to guide responsible planning aligned with global sustainability objectives. This study integrates spatial variables such as transport accessibility, land use, environmental sensitivity, and infrastructure presence. Up-to-date satellite imagery and land-use information from recent years ensure relevant and precise analysis. The findings indicate that roughly 10–15% of Dhaka District is suitable for industrial activities, predominantly the western and northwestern edges of the district. However, a considerable portion of existing industries are situated outside the officially designated zones, with nearly 9% infringing on protected environments, pointing to gaps in land management policies. Additionally, industrial expansion resulted in the conversion of over thousands of hectares of natural land, underscoring urgent ecological concerns. Scenario modeling further demonstrates how strategic land allocation can balance industrial growth with environmental conservation. This research highlights the value of integrating a GIS with multi-criteria evaluation using Analytical Hierarchy Process (AHP) to provide a flexible, data-driven framework for sustainable industrial land-use planning.
Full article
(This article belongs to the Proceedings of The 2nd International Electronic Conference on Land)
►▼
Show Figures

Figure 1
Open AccessProceeding Paper
Nanoparticle-Induced Oxidative Stress: Mechanisms and Implications for Human Health and Environmental Safety
by
Newton Neogi, Kristi Priya Choudhury, Ibrahim Hossain, Sabbir Hossain and Md. Golam Sazid
Environ. Earth Sci. Proc. 2025, 37(1), 1; https://doi.org/10.3390/eesp2025037001 - 19 Nov 2025
Abstract
►▼
Show Figures
Nanoparticles (NPs), which possess unique physicochemical qualities such as large surface area and reactivity, have brought about a revolution in a variety of sectors, including medicine and electronics. The growing ubiquity of these substances, on the other hand, has given rise to worries
[...] Read more.
Nanoparticles (NPs), which possess unique physicochemical qualities such as large surface area and reactivity, have brought about a revolution in a variety of sectors, including medicine and electronics. The growing ubiquity of these substances, on the other hand, has given rise to worries over the toxicological effects they have on human health and ecosystems. The condition known as oxidative stress, which is caused by an imbalance between the formation of reactive oxygen species (ROS) and antioxidant defenses, is one of the key processes that contribute to the toxicity of NPs. An excessive amount of ROS may cause damage to cellular components such as lipids, proteins, and DNA, which can result in detrimental consequences such as inflammation, apoptosis, and the development of cancer. NP-induced oxidative stress is investigated in this work, which focuses on the molecular mechanisms that are responsible for it. These processes include mitochondrial dysfunction, catalytic redox cycling, and the release of metal ions from particle disintegration. On top of that, we investigate how the features of NPs, such as their size, shape, surface charge, and composition, affect their capacity to produce ROS. Additionally, the consequences of oxidative stress for both acute and chronic health effects are examined, in addition to the function that it plays in the toxicity of the environment. The use of antioxidants and alterations to the surface of NPs are two examples of mitigation measures that are discussed in this article. The findings of this study highlight the significance of gaining knowledge of the processes behind oxidative stress to ensure the safe design and deployment of NPs.
Full article

Figure 1
Open AccessProceeding Paper
Temporal Analysis of Groundwater Quality in the Harran Plain: Linking Land Use Change to Water Contamination (2005–2025)
by
Benan Yazici Karabulut and Abdullah İzzeddin Karabulut
Environ. Earth Sci. Proc. 2025, 36(1), 4; https://doi.org/10.3390/eesp2025036004 - 18 Nov 2025
Abstract
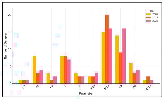
This study evaluates groundwater quality dynamics in the Harran Plain (∼1500 km2), a key agricultural zone within Türkiye’s Southeastern Anatolia Project (GAP). Satellite images from Landsat 5 TM and Landsat 8 OLI/TIRS were used to assess land-use changes over the years
[...] Read more.
This study evaluates groundwater quality dynamics in the Harran Plain (∼1500 km2), a key agricultural zone within Türkiye’s Southeastern Anatolia Project (GAP). Satellite images from Landsat 5 TM and Landsat 8 OLI/TIRS were used to assess land-use changes over the years 1990, 2000, 2010, and 2020, with the GIS employed for classification and analysis. In this study, groundwater samples collected from twenty different locations in 2005, 2015 and 2025 were analyzed. For each sample, pH, EC, and various ion concentrations (Na, K, Cl, SO4, NO3, Ca, Mg, HCO3) were measured. All analyses were performed using standard hydrogeochemical methods. Data from 20 wells (2005–2015) revealed significant reductions in EC (8235 to 2510 µS/cm) and NO3− (720 to 327 mg/L), due to drainage systems, improved irrigation, and fertilizer management. Nonetheless, localized pollution persisted. Land-use shifts toward high-value crops improved water efficiency, while urban and industrial expansion introduced new pressures. Results emphasize integrated water–land policies for sustainable groundwater management in arid agroecosystems.
Full article
(This article belongs to the Proceedings of The 2nd International Electronic Conference on Land)
►▼
Show Figures

Figure 1
Open AccessProceeding Paper
Generation of Synthetic Hyperspectral Image Cube for Mapping Soil Organic Carbon Using Proximal Remote Sensing
by
Rajan G. Rejith, Rabi N. Sahoo, Tarun Kondraju, Amrita Bhandari, Rajeev Ranjan and Ali Moursy
Environ. Earth Sci. Proc. 2025, 36(1), 3; https://doi.org/10.3390/eesp2025036003 - 18 Nov 2025
Abstract
The advent of hyperspectral remote sensing represented a breakthrough in the accurate, fast, and non-invasive estimation of important soil fertility parameters. The present study utilizes non-imaging hyperspectral data in the spectral range of 350–2500 nm for estimating soil organic carbon (SOC) content. When
[...] Read more.
The advent of hyperspectral remote sensing represented a breakthrough in the accurate, fast, and non-invasive estimation of important soil fertility parameters. The present study utilizes non-imaging hyperspectral data in the spectral range of 350–2500 nm for estimating soil organic carbon (SOC) content. When partial least squares (PLS) scores were taken as independent variables, support vector machine (SVM) outperformed artificial neural network (ANN) and partial least squares regression (PLSR), achieving an R2 value of 0.83. After pre-processing, the proximal spectral values were spatially interpolated to construct a synthetic hyperspectral image of the experimental fields. By applying the regression model to this synthetic hyperspectral imagery, a high-resolution SOC map showing the variability of organic carbon content in the soil was generated.
Full article
(This article belongs to the Proceedings of The 2nd International Electronic Conference on Land)
►▼
Show Figures

Figure 1
Open AccessProceeding Paper
Efficient Nitrous Oxide Capture from Dam Lake Treatment by Malt Dust-Derived Biochar
by
Pelin Soyertaş Yapıcıoğlu and Mehmet İrfan Yeşilnacar
Environ. Earth Sci. Proc. 2025, 34(1), 17; https://doi.org/10.3390/eesp2025034017 - 17 Nov 2025
Abstract
Owing to the natural texture of dam lakes, they emit nitrous oxide (N2O) emissions. The main aim of this study was to reduce N2O emissions resulting from dam lake treatment using malt dust-derived biochar. On average, a 21.1% reduction
[...] Read more.
Owing to the natural texture of dam lakes, they emit nitrous oxide (N2O) emissions. The main aim of this study was to reduce N2O emissions resulting from dam lake treatment using malt dust-derived biochar. On average, a 21.1% reduction in N2O emissions from dam lake treatment was reported using malt dust-derived biochar. The maximum nitrous oxide capture capacity corresponded to the malt dust-derived biochar fabricated at the minimum pyrolysis temperature (MD1). The statistical analysis results revealed that the optimum parameters were 4 mg/L of dissolved oxygen (DO) and 11 mg/L of nitrate (NO3−) for the minimum N2O emission. The highest correlation was calculated between N2O emission and NO3− with the value of 97.99%. This study evidenced that agro-industrial biochar can adsorb N2O from dam lakes.
Full article
(This article belongs to the Proceedings of The 7th International Electronic Conference on Atmospheric Sciences (ECAS-7))
Open AccessConference Report
Abstracts of the 2nd International Electronic Conference on Land
by
Hossein Azadi
Environ. Earth Sci. Proc. 2025, 36(1), 2; https://doi.org/10.3390/eesp2025036002 - 13 Nov 2025
Abstract
Sk [...]
Full article
(This article belongs to the Proceedings of The 2nd International Electronic Conference on Land)
Open AccessProceeding Paper
The Study of the Urban Heat Island Effect in Cyprus for the Period 2013–2023 by Using Google Earth Engine
by
Charalampos Soteriades, Silas Michaelides and Diofantos Hadjimitsis
Environ. Earth Sci. Proc. 2025, 35(1), 80; https://doi.org/10.3390/eesp2025035080 - 12 Nov 2025
Abstract
►▼
Show Figures
Urbanization in Cyprus has accelerated significantly over the past 35 years, driven by population growth, infrastructure development, and the expansion of urban centres. This rapid urban transformation has contributed to notable changes in the local climate, primarily through the intensification of the Urban
[...] Read more.
Urbanization in Cyprus has accelerated significantly over the past 35 years, driven by population growth, infrastructure development, and the expansion of urban centres. This rapid urban transformation has contributed to notable changes in the local climate, primarily through the intensification of the Urban Heat Island (UHI) effect—a phenomenon where urban areas experience significantly higher temperatures than surrounding rural regions. As global climate change continues to influence regional weather patterns, understanding and mitigating local climatic variations such as UHI becomes increasingly critical for sustainable development and public health. In Cyprus, the cities of Nicosia, Limassol, Larnaca, and Paphos have witnessed considerable land use changes, with a growing contrast between densely built urban cores and less developed surrounding areas. This contrast results in uneven energy absorption, reduced vegetation cover, and altered surface temperatures, further exacerbating the effects of climate change at the local level.
Full article

Figure 1
Open AccessProceeding Paper
Long-Term Trends and Variability of Heatwaves in Greece
by
Panagiotis Ioannidis, Anna Mamara, Vasileios Armaos and Athanassios A. Argiriou
Environ. Earth Sci. Proc. 2025, 35(1), 79; https://doi.org/10.3390/eesp2025035079 - 11 Nov 2025
Abstract
►▼
Show Figures
This study investigates the long-term trends and variability of heatwaves in Greece, analyzing their frequency, duration, and intensity from 1960 to 2022 using high-quality meteorological data from the Hellenic National Meteorological Service. The research utilizes robust statistical methods, including Theil–Sen regression and the
[...] Read more.
This study investigates the long-term trends and variability of heatwaves in Greece, analyzing their frequency, duration, and intensity from 1960 to 2022 using high-quality meteorological data from the Hellenic National Meteorological Service. The research utilizes robust statistical methods, including Theil–Sen regression and the Mann–Kendall trend test, to assess long-term trends across different timescales. The findings reveal a significant increase in heatwave frequency and intensity, particularly in recent decades, with notable seasonal differences. While summer remains the most affected period, an upward trend in spring and autumn heatwaves suggests an extension of the heatwave season. The intensity of heatwaves has also increased, indicating a growing risk to vulnerable populations and critical infrastructure.
Full article

Figure 1
Open AccessProceeding Paper
Diachronic Analysis of Agro-Forestry Landscape in Latium Region
by
Beatrice Petti, Marco Ottaviano, Claudio Di Giovannantonio, Massimo Paolanti, Cherubino Zarlenga and Marco Marchetti
Environ. Earth Sci. Proc. 2025, 36(1), 1; https://doi.org/10.3390/eesp2025036001 - 7 Nov 2025
Abstract
Despite the growing demand for agricultural products, land abandonment is increasing in developed countries, leading to the recolonization of natural vegetation and affecting ecosystem services, biodiversity, and the economy. Understanding the drivers of land abandonment is crucial for the protection of historic rural
[...] Read more.
Despite the growing demand for agricultural products, land abandonment is increasing in developed countries, leading to the recolonization of natural vegetation and affecting ecosystem services, biodiversity, and the economy. Understanding the drivers of land abandonment is crucial for the protection of historic rural landscapes. This study assessed land use in the Latium region during the mid-twentieth century, analyzing the transitions of agro-forestry landscapes starting from areas that are now classified as natural and semi-natural formations. The analysis revealed that much of today’s wilderness derives from agricultural land, mostly arable land, and complex cultivation patterns. Extensive grasslands, once widespread, have largely transitioned into woodland or shrubland, with significant impacts. The resulting simplification of the landscape contributes to agro-biodiversity loss and a decline in ecosystem services, presenting major challenges for meeting future habitat restoration targets set by environmental policies.
Full article
(This article belongs to the Proceedings of The 2nd International Electronic Conference on Land)
►▼
Show Figures

Figure 1
Open AccessProceeding Paper
An Evaluation of the Impact of Emissions from Airports in Egypt
by
Zeinab Salah, Rania Ezzeldeen, Mostafa Ahmed Salmoon and Ahmed Elattar
Environ. Earth Sci. Proc. 2025, 34(1), 16; https://doi.org/10.3390/eesp2025034016 - 31 Oct 2025
Abstract
Aircraft emissions are a growing environmental concern due to their contribution to local air pollution and potential health risks, particularly around rapidly expanding airports. In Egypt, rapid urban growth and tourism have driven the construction of new airports, underscoring the need to assess
[...] Read more.
Aircraft emissions are a growing environmental concern due to their contribution to local air pollution and potential health risks, particularly around rapidly expanding airports. In Egypt, rapid urban growth and tourism have driven the construction of new airports, underscoring the need to assess their environmental impacts, particularly those related to aircraft emissions in the surrounding areas. Few studies have assessed aircraft emissions across multiple Egyptian airports, particularly under future capacity and climate scenarios, using dispersion models. This study evaluates the environmental impact of aircraft emissions at four Egyptian airports using the Graz Lagrangian Dispersion Model (GRAL). The analysis accounts for projected increases in airport capacity through 2030 and 2035 and examines how climate change may influence pollutant dispersion. Emissions from 2021 served as a baseline, while future meteorological conditions were simulated with the RegCM4 regional climate model under the RCP4.5 scenario. Results show that maximum daily average carbon monoxide concentrations at Administrative Capital Airport increased from ~24.5 µg/m3 in 2021 to ~100.3 µg/m3 in 2035, while nitrogen dioxide concentrations at El-Meliz Airport rose from ~20.3 to ~47.6 µg/m3. Similar upward trends were observed for sulfur dioxide and particulate matter (PM10), although all simulated values remained below the thresholds established by Egyptian Environmental Law. These findings highlight that continued growth in aviation activity, even without breaching national standards, may contribute to long-term health risks for nearby communities.
Full article
(This article belongs to the Proceedings of The 7th International Electronic Conference on Atmospheric Sciences (ECAS-7))
►▼
Show Figures

Figure 1
Open AccessProceeding Paper
Direct Radiative Effects of Dust Events over Limassol, Cyprus in 2024 Using Ground-Based Measurements and Modelling
by
Georgia Charalampous, Konstantinos Fragkos, Ilias Fountoulakis, Kyriakoula Papachristopoulou, Argyro Nisantzi, Rodanthi-Elisavet Mamouri, Diofantos Hadjimitsis and Stelios Kazadzis
Environ. Earth Sci. Proc. 2025, 35(1), 77; https://doi.org/10.3390/eesp2025035077 - 30 Oct 2025
Abstract
►▼
Show Figures
Dust plays a significant role in the atmospheric radiative balance by altering both shortwave and longwave radiation fluxes. While deserts are the primary sources of dust emissions, atmospheric circulation can transport dust over long distances, impacting air quality and climate in remote regions.
[...] Read more.
Dust plays a significant role in the atmospheric radiative balance by altering both shortwave and longwave radiation fluxes. While deserts are the primary sources of dust emissions, atmospheric circulation can transport dust over long distances, impacting air quality and climate in remote regions. These transport episodes, commonly known as dust events, vary in intensity and effects. Despite extensive research, uncertainties persist regarding their precise radiative impacts. This study examines the direct radiative effects of dust events in 2024 (a year marked by heightened dust activity) over Limassol, Cyprus. A comprehensive approach is employed, integrating radiative transfer modelling, ground-based solar radiation measurements, and dust optical property analysis. The LibRadtran radiative transfer package is used to simulate atmospheric radiative transfer under dust-laden conditions, incorporating key dust optical properties such as Aerosol Optical Depth, Single Scattering Albedo, and the Asymmetry Parameter retrieved from the Limassol’s AERONET station. Observations from solar radiation station at the ERATOSTHENES Centre of Excellence serve as validation for the model. This study quantifies the radiative impact of dust by evaluating changes in surface irradiance, providing valuable insights into the role of dust in atmospheric energy balance.
Full article

Figure 1
Open AccessProceeding Paper
Understanding Mineral Dust Through a Doctoral Alliance
by
Franco Marenco, Vassilis Amiridis, Maria João Costa, Konrad Kandler, Stelios Kazadzis, Martina Klose, Carlos Pérez García-Pando, Claire Ryder, Célia M. Antunes, Sara Basart, Daniele Bortoli, Demetri Bouris, Melissa Brooks, Jeroen Buters, Paulo Canhoto, Maria-Elena Carra, Panos Choutris, Theodoros Christoudias, Rory Clarkson, Helen Dacre, Oleg Dubovik, Konstantinos Fragkos, Diana Francis, David Fuertes, María Gonçalves Ageitos, Ben Johnson, Eliot Llopis, Sotirios Mallios, Rodanthi Elisavet Mamouri, Eleni Marinou, Charikleia Meleti, Andrea Pozzer, Andrew Rimell, Jean Sciare, Joy Shumake-Guillemot, Noorani Tembhekar, Alexandra Tsekeri, Andreas Vogel, Inga Wessels, Chris Westbrook, Frank Wienhold, Martin Wild, Kenneth M. Tschorn, Eleni Kolintziki and Francesco Moncadaadd
Show full author list
remove
Hide full author list
Environ. Earth Sci. Proc. 2025, 35(1), 78; https://doi.org/10.3390/eesp2025035078 - 27 Oct 2025
Abstract
►▼
Show Figures
We present an example of how a doctoral network can bring together multidisciplinary expertise and novel scientific advances in atmospheric dust. This network (Dust-DN) has started operations and is a strategic alliance of high-profile partners, able to leverage unique facilities for atmospheric research
[...] Read more.
We present an example of how a doctoral network can bring together multidisciplinary expertise and novel scientific advances in atmospheric dust. This network (Dust-DN) has started operations and is a strategic alliance of high-profile partners, able to leverage unique facilities for atmospheric research and innovative space missions. The network aims to improve our understandings of dust processes and microphysics, identify the signature of source regions, address the socio-economic impacts of dust transport and improve the quantification of the role of dust in the climate system. The first results have already been achieved and are shown here, and many more are expected to follow.
Full article

Figure 1
Open AccessProceeding Paper
AI-Based Energy Management and Optimization for Urban Infrastructure: A Case Study in Trikala, Greece
by
Angelos Chasiotis, Sofia Gialama, Dimitris Piromalis and Panagiotis T. Nastos
Environ. Earth Sci. Proc. 2025, 35(1), 76; https://doi.org/10.3390/eesp2025035076 - 22 Oct 2025
Abstract
►▼
Show Figures
This study explores an ongoing work for AI-driven framework for energy management and optimization within urban infrastructures, demonstrated through a case study in Trikala, Greece. The approach integrates smart monitoring systems, real-time analytics, and predictive algorithms to enhance energy efficiency across municipal infrastructures.
[...] Read more.
This study explores an ongoing work for AI-driven framework for energy management and optimization within urban infrastructures, demonstrated through a case study in Trikala, Greece. The approach integrates smart monitoring systems, real-time analytics, and predictive algorithms to enhance energy efficiency across municipal infrastructures. By leveraging AI, such as machine learning, for demand forecasting and automated decision-making, the system reduces energy waste while supporting sustainability goals. The findings will highlight significant improvements in energy utilization and propose a scalable model applicable to other smart cities pursuing digital energy transitions.
Full article

Figure 1
Open AccessProceeding Paper
Next-Generation Climate Modeling: AI-Enhanced, Machine-Learning, and Hybrid Approaches Beyond Conventional GCMs
by
Sk. Tanjim Jaman Supto
Environ. Earth Sci. Proc. 2025, 34(1), 15; https://doi.org/10.3390/eesp2025034015 - 22 Oct 2025
Abstract
The field of climate modeling is undergoing a significant transformation, moving away from the traditional General Circulation Models (GCMs) and toward the use of sophisticated artificial intelligence (AI)-based prediction systems. Research has shown that AI has the potential to improve climate modeling’s regional
[...] Read more.
The field of climate modeling is undergoing a significant transformation, moving away from the traditional General Circulation Models (GCMs) and toward the use of sophisticated artificial intelligence (AI)-based prediction systems. Research has shown that AI has the potential to improve climate modeling’s regional accuracy and computing efficiency. Machine learning downscaling better captures local precipitation extremes than GCMs, while hybrid AI–physics models cut ensemble costs by reducing computational demand without sacrificing accuracy. Nevertheless, these investigations have frequently functioned in discrete settings and oversimplified situations without a thorough connection with basic physical concepts. This drawback emphasizes the necessity of a more comprehensive strategy that can handle the intricacies of climatic variability and guarantee reliable model validation. In order to assess the possibilities and challenges of hybrid models in comparison to conventional GCMs, highlighting that AI complements GCMs in regional downscaling and extremes, while GCMs provide stronger global consistency, this study synthesizes proven climate models, AI methodologies, and their accuracy in climate predictions and analyzes existing climate models to evaluate the potential and limitations of hybrid models compared to traditional GCMs. Integrated AI-driven models show notable improvements in predicting regional variations in climate and accelerating simulation processes, especially when dealing with the growing presence of extreme weather occurrences. However, it is important to have consistent datasets and open evaluation procedures in order to guarantee accuracy and deal with the difficulties that come with model benchmarking. This research highlights how crucial it is to maintain interdisciplinary cooperation in order to properly utilize what AI has to offer in climate modeling. This partnership is essential to creating more accurate and useful climate projections, which will eventually guide successful mitigation and adaptation plans for a changing global environment. In order to have a greater understanding of our climate’s future, we must keep pushing the limits of the existing modeling tools.
Full article
(This article belongs to the Proceedings of The 7th International Electronic Conference on Atmospheric Sciences (ECAS-7))
►▼
Show Figures

Figure 1
Open AccessProceeding Paper
Comparing Direct Field Measurements of Soil Erosion with RUSLE Model Estimates in Mediterranean Olive Orchards
by
Christos Pantazis and Panagiotis Nastos
Environ. Earth Sci. Proc. 2025, 35(1), 75; https://doi.org/10.3390/eesp2025035075 - 21 Oct 2025
Abstract
►▼
Show Figures
Soil erosion is a major threat to land productivity and environmental sustainability in Mediterranean regions, where sloping terrain, intense seasonal rainfall, and traditional agricultural practices accelerate soil loss. Olive orchards, which dominate much of the Mediterranean landscape, are particularly vulnerable. As climate change
[...] Read more.
Soil erosion is a major threat to land productivity and environmental sustainability in Mediterranean regions, where sloping terrain, intense seasonal rainfall, and traditional agricultural practices accelerate soil loss. Olive orchards, which dominate much of the Mediterranean landscape, are particularly vulnerable. As climate change increases the frequency of extreme weather events, understanding and controlling erosion becomes even more critical. This study investigates soil erosion dynamics in a representative olive-growing watershed in Messenia, Greece, by combining field monitoring with erosion modeling using the Revised Universal Soil Loss Equation (RUSLE). A field experiment was carried out during the 2024–2025 wet season, using runoff plots installed on a 16% slope to directly measure sediment loss from natural rainfall events. The observed erosion data served as a basis for calibrating a GIS-based RUSLE model applied across the 60 km2 watershed. Model predictions showed strong agreement with field measurements, with estimated soil loss closely matching the observed seasonal total (~0.6 t/ha). This consistency demonstrates the reliability of the RUSLE model when supported by localized data. The spatial analysis further revealed that erosion risk varies widely across the landscape, with steep, poorly vegetated areas being most at risk. The results highlight the importance of local field measurements for improving model accuracy and guiding sustainable land management. Continuous monitoring and targeted erosion control strategies are essential to protect soil resources, maintain agricultural productivity, and reduce downstream environmental impacts under increasing climate pressures.
Full article

Figure 1
Open AccessProceeding Paper
A Multidimensional Framework for Flood Risk Analysis in the Garyllis Catchment, Cyprus
by
Josefina Kountouri, Constantinos F. Panagiotou, Alexia Tsouni, Stavroula Sigourou, Vasiliki Pagana, Charalampos (Haris) Kontoes, Chris Danezis and Diofantos Hadjimitsis
Environ. Earth Sci. Proc. 2025, 35(1), 74; https://doi.org/10.3390/eesp2025035074 - 17 Oct 2025
Abstract
►▼
Show Figures
Flooding events have increased in frequency and severity worldwide in recent years, a trend that has been made worse by human activity and climate change. Floods are one of the world’s most dangerous natural catastrophes because of the serious risks they represent to
[...] Read more.
Flooding events have increased in frequency and severity worldwide in recent years, a trend that has been made worse by human activity and climate change. Floods are one of the world’s most dangerous natural catastrophes because of the serious risks they represent to property, human life, and cultural heritage. The necessity for efficient flood management techniques to reduce the growing dangers is what motivated this study. It specifically examines the flood risk in the Garyllis River Basin in Cyprus, a region recognized for it high susceptibility to extreme weather conditions Adopting an integrates approach that combines modeling tools and techniques, such as remote sensing, Geographic Information Systems (GIS) and hydraulic modeling, along with multiple data types of data and in situ measures, this study evaluates flood risk and proposed shelters and escapes routes for the worst-case scenarios. The research utilizes the open-access software HEC-RAS to simulate the spatio-temporal progression of surface water depth and water velocity for different return periods. The vulnerability levels are enumerated through a weighted linear combination of relevant factors, in specific population density and age distribution, according to the last official government reports. Exposure levels were calculated in terms of land value. For each flood component, all factors are assigned equal weighting coefficients. Subsequently, flood risk levels are assessed for each location as the product of hazard, vulnerability, and exposure levels. The validity of the proposed methodology is assessed by comparing the critical points identified during in situ visits with the flood risk level estimates. As a result, escape routes and refuge areas were proposed for the worst-case scenario.
Full article

Figure 1
Open AccessProceeding Paper
A Dual Neural Network Framework for Correcting X-Band Radar Reflectivity and Estimating Rainfall Using GPM DPR and Rain Gauge Observations in Cyprus
by
Eleni Loulli, Silas Michaelides, Giorgia Guerrisi and Diofantos G. Hadjimitsis
Environ. Earth Sci. Proc. 2025, 35(1), 73; https://doi.org/10.3390/eesp2025035073 - 16 Oct 2025
Abstract
►▼
Show Figures
Ground-based weather radars are essential to better understand precipitation systems, to improve the Quantitative Precipitation Estimation (QPE), and to subsequently provide input to hydrological models. However, reflectivity measured by radars is typically affected by various sources of uncertainty, including attenuation and calibration errors.
[...] Read more.
Ground-based weather radars are essential to better understand precipitation systems, to improve the Quantitative Precipitation Estimation (QPE), and to subsequently provide input to hydrological models. However, reflectivity measured by radars is typically affected by various sources of uncertainty, including attenuation and calibration errors. Due to these limitations, the two ground-based X-band weather radars of Cyprus, namely, at Rizoelia (LCA) and Nata (PFO), have not yet been employed for QPE. This study presents a dual neural network framework with the ultimate goal of converting the ground-based radar raw reflectivity to rainfall rate, using satellite and in situ observations. The two ground-based radars are aligned with GPM DPR using the volume-matching method. Preliminary results demonstrate the feasibility of converting raw ground-based radar reflectivity to rainfall estimates using neural networks trained with spaceborne and in situ observations.
Full article

Figure 1
Open AccessProceeding Paper
Atmospheric Pollutant Emissions and Hydrological Data with Anthropocene Elements: Critical Theory and Technologies of Balance in the Climate–Economy–Society Axis
by
Konstantia Kourti-Doulkeridou, Panagiotis T. Nastos and George Vlachakis
Environ. Earth Sci. Proc. 2025, 35(1), 72; https://doi.org/10.3390/eesp2025035072 - 16 Oct 2025
Abstract
The topic proposal concerns the axes of climate operation and modification, the consequences and/or benefits of the flow of the economy, as well as the risks to social security, amidst the evolution of human interventions, which the Anthropocene highlights. Atmospheric data demonstrates the
[...] Read more.
The topic proposal concerns the axes of climate operation and modification, the consequences and/or benefits of the flow of the economy, as well as the risks to social security, amidst the evolution of human interventions, which the Anthropocene highlights. Atmospheric data demonstrates the interaction of gaseous pollutants and aerosols, with the contribution of different emission and pollution sources to its chemical composition. At the same time, satellite remote sensing of precipitation and the water cycle reveal an imbalance in components and effects, in an environment of rapid rates of commercial production and human mobility in the developed world. How does mobility prevent the full observation and modeling of the elements involved (in atmospheric and hydrological data)? What is the role of multi-sensor technologies for detecting gases and what are their applications in decontamination? With sources from bibliographic reviews, data were collected from the detection of point sources of gases and dynamic analyses of the extent of the water surface, in order to highlight the descriptive characteristics of the meteorological phenomena and their activity. The scientific approach to analyzing the individual data is based on the techno-scientific Actor-Network Theory, in order to test their connection and contribution to the overall problematic result. The aim of this study is to build an interdisciplinary analysis with documentation of vulnerabilities in the expression of weather phenomena, of the present geological time. The ambition of the study is to propose principles of regulation and precaution, related to the sustainable development of geo-resources and ways to reduce vulnerability.
Full article
Open AccessProceeding Paper
Greek National Hail Suppression Program: Severe Supercell of CDC +4 Produces Egg-Sized Hail in Thessaly on 7 September 2024
by
Mary Vlachou and Dimitris Brikas
Environ. Earth Sci. Proc. 2025, 35(1), 71; https://doi.org/10.3390/eesp2025035071 - 15 Oct 2025
Abstract
►▼
Show Figures
On 7 September 2024, a trough, situated over the Black Sea, in combination with a northeasterly outflow of a surface anticyclone over Russia, increased moisture and established an instability environment in Greece. Veering winds with height, in combination with high CAPE values in
[...] Read more.
On 7 September 2024, a trough, situated over the Black Sea, in combination with a northeasterly outflow of a surface anticyclone over Russia, increased moisture and established an instability environment in Greece. Veering winds with height, in combination with high CAPE values in the middle and upper troposphere, produced a violent supercell. Cloud base updrafts, intense lightning activity and severe precipitation in the form of large hail were the main characteristics of this case. Egg-sized hail was reported, contributing to the highest observed CDC index (+4) in Thessaly. Weather RADAR data were recorded and processed by TITAN, revealing an extensive WER in the RHI.
Full article

Figure 1
Highly Accessed Articles
Latest Books
E-Mail Alert
News
6 November 2025
MDPI Launches the Michele Parrinello Award for Pioneering Contributions in Computational Physical Science
MDPI Launches the Michele Parrinello Award for Pioneering Contributions in Computational Physical Science
Topics





