Future Evolutions of Precipitation and Temperature Using the Statistical Downscaling Model (SDSM), Case of the Guir and the Ziz Watershed, Morocco
Abstract
1. Introduction
2. Materials and Methods
2.1. Study Area
2.2. Data Collection
2.3. ERA5 Data
2.4. Methodology
2.5. Statistical Analysis
3. Results
3.1. Comparison of Climate Data from the ERA5 Reanalysis Model and Observed Station Climate Data
3.2. Selection of Predictor Variables
3.3. Calibration and Validation of the SDSM Model
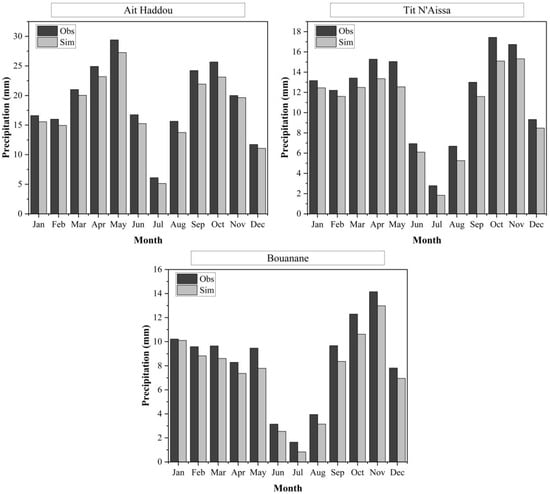
3.4. Comparison of Observed and Simulated Data
3.5. Analysis of Historical and Predicted Climate Parameters Trends
3.6. Precipitation Forecasts
3.7. Minimum and Maximum Temperature Forecasts
4. Discussion
5. Conclusions
Author Contributions
Funding
Data Availability Statement
Acknowledgments
Conflicts of Interest
References
- Adjei, V.; Amaning, E.F. Low Adaptive Capacity in Africa and Climate Change Crises. J. Atmos. Sci. Res. 2021, 4, 1–10. [Google Scholar] [CrossRef]
- IPCC. Mitigation of Climate Change: The Working Group III Contribution to the IPCC 4th Assessment Report; IPCC: Geneva, Switzerland, 2009. [Google Scholar]
- Orlowsky, B.; Seneviratne, S.I. Global Changes in Extreme Events: Regional and Seasonal Dimension. Clim. Chang. 2012, 110, 669–696. [Google Scholar] [CrossRef]
- Almazroui, M.; Saeed, F.; Saeed, S.; Islam, M.N.; Ismail, M.; Klutse, N.A.B.; Siddiqui, M.H. Projected Change in Temperature and Precipitation Over Africa from CMIP6. Earth Syst. Environ. 2020, 4, 455–475. [Google Scholar] [CrossRef]
- Waha, K.; Krummenauer, L.; Adams, S.; Aich, V.; Baarsch, F.; Coumou, D.; Fader, M.; Hoff, H.; Jobbins, G.; Marcus, R.; et al. Climate Change Impacts in the Middle East and Northern Africa (MENA) Region and Their Implications for Vulnerable Population Groups. Reg. Environ. Chang. 2017, 17, 1623–1638. [Google Scholar] [CrossRef]
- Ghosh, S.; Misra, C. Assessing Hydrological Impacts of Climate Change: Modeling Techniques and Challenges. TOHYDJ 2010, 4, 115–121. [Google Scholar] [CrossRef]
- Marengo, J.; Ambrizzi, T. Use of Regional Climate Models in Impacts Assessments and Adaptations Studies from Continental to Regional and Local Scales: The CREAS (Regional Climate Change Scenarios for South America) Initiative in South America. In Proceedings of the 8th ICSHMO, Foz do Iguaǧu, Brazil, 24–28 April 2006; pp. 291–296. [Google Scholar]
- Zittis, G.; Hadjinicolaou, P.; Klangidou, M.; Proestos, Y.; Lelieveld, J. A Multi-Model, Multi-Scenario, and Multi-Domain Analysis of Regional Climate Projections for the Mediterranean. Reg. Environ. Chang. 2019, 19, 2621–2635. [Google Scholar] [CrossRef]
- Simonneaux, V.; Cheggour, A.; Deschamps, C.; Mouillot, F.; Cerdan, O.; Le Bissonnais, Y. Land Use and Climate Change Effects on Soil Erosion in a Semi-Arid Mountainous Watershed (High Atlas, Morocco). J. Arid. Environ. 2015, 122, 64–75. [Google Scholar] [CrossRef]
- Hammoudy, W.; Ilmen, R.; Sinan, M. Climate Change and Its Impacts in Extreme Events in Morocco (Observation, Monitoring, and Forecasting). J. Water Clim. Chang. 2024, 15, 5817–5842. [Google Scholar] [CrossRef]
- Moutia, S.; Sinan, M. Drought Projection from CMIP6 Climate Models over Morocco in the 21st Century Using the Standardized Precipitation Evapotranspiration Index (SPEI). In Proceedings of the E3S Web of Conferences, Laayoune, Morocco, 9 February 2024; Volume 489, p. 04003. [Google Scholar] [CrossRef]
- Huebener, H.; Kerschgens, M. Downscaling of current and future rainfall climatologies for southern Morocco. Part I: Downscaling method and current climatology. Int. J. Clim. 2007, 27, 1763–1774. [Google Scholar] [CrossRef]
- Born, K.; Christoph, M.; Fink, A.H.; Knippertz, P.; Paeth, H.; Speth, P. Moroccan Climate in the Present and Future: Combined View from Observational Data and Regional Climate Scenarios. In Climatic Changes and Water Resources in the Middle East and North Africa; Zereini, F., Hötzl, H., Eds.; Environmental Science and Engineering; Springer: Berlin/Heidelberg, Germany, 2008; pp. 29–45. ISBN 978-3-540-85046-5. [Google Scholar]
- Born, K.; Fink, A.H.; Paeth, H. Dry and Wet Periods in the Northwestern Maghreb for Present Day and Future Climate Conditions. Meteorol. Z. 2008, 17, 533–551. [Google Scholar] [CrossRef]
- Driouech, F.; Déqué, M.; Sánchez-Gómez, E. Weather Regimes—Moroccan Precipitation Link in a Regional Climate Change Simulation. Glob. Planet. Chang. 2010, 72, 1–10. [Google Scholar] [CrossRef]
- Hersbach, H.; Bell, B.; Berrisford, P.; Hirahara, S.; Horányi, A.; Muñoz-Sabater, J.; Nicolas, J.; Peubey, C.; Radu, R.; Schepers, D.; et al. The ERA5 Global Reanalysis. Q. J. R. Meteorol. Soc. 2020, 146, 1999–2049. [Google Scholar] [CrossRef]
- Wilby, R.L.; Dawson, C.W.; Barrow, E.M. Sdsm—A Decision Support Tool for the Assessment of Regional Climate Change Impacts. Environ. Model. Softw. 2002, 17, 145–157. [Google Scholar] [CrossRef]
- Tang, J.; Niu, X.; Wang, S.; Gao, H.; Wang, X.; Wu, J. Statistical Downscaling and Dynamical Downscaling of Regional Climate in China: Present Climate Evaluations and Future Climate Projections. JGR Atmos. 2016, 121, 2110–2129. [Google Scholar] [CrossRef]
- Le Roux, R.; Katurji, M.; Zawar-Reza, P.; Quénol, H.; Sturman, A. Comparison of Statistical and Dynamical Downscaling Results from the WRF Model. Environ. Model. Softw. 2018, 100, 67–73. [Google Scholar] [CrossRef]
- Attique, R.; Rientjes, T.; Booij, M. Comparison between Statistical and Dynamical Downscaling of Rainfall over the Gwadar-Ormara Basin, Pakistan. Meteorol. Appl. 2023, 30, e2151. [Google Scholar] [CrossRef]
- Cheng, Y.; Chen, H.; Xu, C. Comparison of Dynamical and Statistical Downscaling in Climate Change Impact Study in Hanjiang Basin. In Proceedings of the 35th IAHR World Congress, Chengdu, China, 8–13 September 2013. [Google Scholar]
- Haq, M.A.; Ahmed, A.; Gyani, J. Intercomparison of Machine Learning and Statistical Downscaling for Climatic Parameters: A Case Study of Bhuntar, Himachal Pradesh. ADAS 2024, 92, 191–209. [Google Scholar] [CrossRef]
- Sami, S.S.; Ali, A.A.; Jalal, A.D. An Application of the Statistical Downscaling Model (SDSM) to Simulate Precipitation Data in the Iraqi Western Desert. In Proceedings of the 2nd International Conference for Engineering Sciences and Information Technology (ESIT 2022): ESIT2022 Conference Proceedings, Al Anbar, Iraq, 17–18 August 2024; p. 030113. [Google Scholar]
- Chim, K.; Tunnicliffe, J.; Shamseldin, A.; Chan, K. Identifying Future Climate Change and Drought Detection Using CanESM2 in the Upper Siem Reap River, Cambodia. Dyn. Atmos. Ocean. 2021, 94, 101182. [Google Scholar] [CrossRef]
- Javaherian, M.; Ebrahimi, H.; Aminnejad, B. Prediction of Changes in Climatic Parameters Using CanESM2 Model Based on Rcp Scenarios (Case Study): Lar Dam Basin. Ain Shams Eng. J. 2021, 12, 445–454. [Google Scholar] [CrossRef]
- Seng, C.K.; Weng, T.K.; Nakayama, A. Development of Statistically Downscaled Regional Climate Model Based on Representative Concentration Pathways for Ipoh, Subang and KLIA Sepang in Peninsular Malaysia. IOP Conf. Ser. Earth Environ. Sci. 2021, 945, 012022. [Google Scholar] [CrossRef]
- Gebrechorkos, S.H.; Hülsmann, S.; Bernhofer, C. Statistically Downscaled Climate Dataset for East Africa. Sci. Data 2019, 6, 31. [Google Scholar] [CrossRef]
- Jones, C.; Robertson, E.; Arora, V.; Friedlingstein, P.; Shevliakova, E.; Bopp, L.; Brovkin, V.; Hajima, T.; Kato, E.; Kawamiya, M.; et al. Twenty-First-Century Compatible CO2 Emissions and Airborne Fraction Simulated by CMIP5 Earth System Models under Four Representative Concentration Pathways. J. Clim. 2013, 26, 4398–4413. [Google Scholar] [CrossRef]
- Arora, V.K.; Scinocca, J.F.; Boer, G.J.; Christian, J.R.; Denman, K.L.; Flato, G.M.; Kharin, V.V.; Lee, W.G.; Merryfield, W.J. Carbon Emission Limits Required to Satisfy Future Representative Concentration Pathways of Greenhouse Gases: Allowable Future Carbon Emissions. Geophys. Res. Lett. 2011, 38, L05805.1–L05805.6. [Google Scholar] [CrossRef]
- Tachiiri, K.; Hargreaves, J.C.; Annan, J.D.; Huntingford, C.; Kawamiya, M. Allowable Carbon Emissions for Medium-to-High Mitigation Scenarios. Tellus B Chem. Phys. Meteorol. 2013, 65, 20586. [Google Scholar] [CrossRef]
- Kendall, M.G. Rank Correlation Methods; Charles Griffin: London, UK, 1975; p. 160. [Google Scholar]
- Mann, H.B. Nonparametric Tests against Trend. Econometrica 1945, 13, 245–259. [Google Scholar] [CrossRef]
- Sen, P.K. Estimates of the Regression Coefficient Based on Kendall’s Tau. J. Am. Stat. Assoc. 1968, 63, 1379–1389. [Google Scholar] [CrossRef]
- Draper, N.R.; Smith, H. Applied Regression Analysis, 3rd ed.; Wiley Series in Probability and Statistics; Wiley: New York, NY, USA, 1998; ISBN 978-0-471-17082-2. [Google Scholar]
- Kim, M.; Lee, E. Validation and Comparison of Climate Reanalysis Data in the East Asian Monsoon Region. Atmosphere 2022, 13, 1589. [Google Scholar] [CrossRef]
- Sheridan, S.C.; Lee, C.C.; Smith, E.T. A Comparison Between Station Observations and Reanalysis Data in the Identification of Extreme Temperature Events. Geophys. Res. Lett. 2020, 47, GL088120. [Google Scholar] [CrossRef]
- Wilby, R.L.; Dawson, C.W. The Statistical DownScaling Model: Insights from One Decade of Application. Int. J. Clim. 2013, 33, 1707–1719. [Google Scholar] [CrossRef]
- Liu, J.; Chen, S.; Li, L.; Li, J. Statistical Downscaling and Projection of Future Air Temperature Changes in Yunnan Province, China. Adv. Meteorol. 2017, 2017, 2175904. [Google Scholar] [CrossRef]
- Suo, M.Q.; Zhang, J.; Zhou, Q.; Li, Y.P. Applicability Analysis of SDSM Technology to Climate Simulation in Xingtai City, China. IOP Conf. Ser. Earth Environ. Sci. 2019, 223, 012053. [Google Scholar] [CrossRef]
- Rahman, G.; Rahman, A.; Munawar, S.; Moazzam, M.F.U.; Dawood, M.; Miandad, M.; Panezai, S. Trend Analysis of Historical and Future Precipitation Projections over a Diverse Topographic Region of Khyber Pakhtunkhwa Using SDSM. J. Water Clim. Chang. 2022, 13, 3792–3811. [Google Scholar] [CrossRef]
- El Hafyani, M.; Essahlaoui, N.; Essahlaoui, A.; Mohajane, M.; Van Rompaey, A. Generation of Climate Change Scenarios for Rainfall and Temperature Using SDSM in a Mediterranean Environment: A Case Study of Boufakrane River Watershed, Morocco. J. Umm Al-Qura Univ. Appl. Sci. 2023, 9, 436–448. [Google Scholar] [CrossRef]
- El-Yazidi, M.; Benabdelhadi, M.; Laaraj, M.; Boutallaka, M.; El-Hamdouny, M.; Daide, F.; Tabyaoui, H.; Lahrach, A. Comparative Study of Observed and Projected Future Climate Evolution in Two Watersheds (Souss-Massa and Ouergha, Morocco) Using the Statistical Downscaling Model (SDSM). In Proceedings of the BIO Web of Conferences, Fez, Morocco, 25 June 2024; Volume 115, p. 03003. [Google Scholar] [CrossRef]
- Shivam, G.; Goyal, M.K.; Sarma, A.K. Index-Based Study of Future Precipitation Changes over Subansiri River Catchment under Changing Climate. J. Environ. Inform. 2017, 34, 1–14. [Google Scholar] [CrossRef]
- Shakeri, H.; Motiee, H.; McBean, E. Projection of Important Climate Variables in Large Cities under the CMIP5–RCP Scenarios Using SDSM and Fuzzy Downscaling Models. J. Water Clim. Chang. 2021, 12, 1802–1823. [Google Scholar] [CrossRef]
- Kalita, R.; Kalita, D.; Saxena, A. Future Projections of Precipitation and Temperature Extremes at Sohra (Cherrapunji) Using Statistical Downscaling Model. MAUSAM 2024, 75, 181–190. [Google Scholar] [CrossRef]
- Ho, C.-H.; Park, C.-K.; Yun, J.; Lee, E.-J.; Kim, J.; Yoo, H.-D. Asymmetric Expansion of Summer Season on May and September in Korea. Asia-Pac. J. Atmos. Sci. 2020, 57, 619–627. [Google Scholar] [CrossRef]
- Park, B.-J.; Min, S.-K.; Weller, E. Lengthening of Summer Season over the Northern Hemisphere under 1.5 °C and 2.0 °C Global Warming. Environ. Res. Lett. 2021, 17, 014012. [Google Scholar] [CrossRef]










| Station | Station | R2 | ME | MAE | RMSE |
|---|---|---|---|---|---|
| Hassan Addakhil dam | T min | 0.851 | −2.58 | 3.27 | 3.84 |
| T max | 0.934 | −1.8 | 2.22 | 2.67 | |
| Erfoud | T min | 0.954 | 0.97 | 1.43 | 2.02 |
| T max | 0.974 | −0.43 | 0.9 | 1.34 | |
| Bouanane | T min | 0.920 | 0.02 | 1.57 | 2.24 |
| T max | 0.975 | −0.60 | 0.91 | 1.40 | |
| Precipitation | 0.705 | −0.55 | 4.98 | 3.01 | |
| Ait Haddou | Precipitation | 0.604 | 0.60 | 5.04 | 3.78 |
| Tit N’Aissa | Precipitation | 0.643 | −0.20 | 4.86 | 4.25 |
| Station | Predictive Variables | Predictor Description | r | |
|---|---|---|---|---|
| Minimum temperature | Sidi Hamza | p5_z | 500 hPa vorticity | 0.634 0.721 |
| Tillicht | 0.692 0.735 | |||
| Hassan Addakhil dam | 0.625 0.766 | |||
| Erfoud | temp | Surface mean temperature | 0.651 0.712 | |
| Ait Haddou | 0.670 0.720 | |||
| Tit N’Aissa | 0.632 0.754 | |||
| Bouanane | 0.676 0.783 | |||
| Maximum temperature | Sidi Hamza | p5_z | 500 hPa vorticity | 0.655 0.730 |
| Tillicht | 0.682 0.753 | |||
| Hassan Addakhil dam | 0.671 0.746 | |||
| Erfoud | temp | Surface mean temperature | 0.626 0.750 | |
| Ait Haddou | 0.644 0.762 | |||
| Tit N’Aissa | 0.605 0.775 | |||
| Bouanane | 0.653 0.780 |
| Climatic Parameter | Stations | Predictive Variables | Predictor Description | r |
|---|---|---|---|---|
| Precipitation | Sidi Hamza | p8_zh, temp | 850 hPa divergence Surface mean temperature | 0.682 0.730 |
| Tillicht | prcp, p5_zh | Surface precipitation 500 hPa divergence | 0.691 0.576 | |
| Hassan Addakhil dam | p1_f, p500 | Surface air flow strength 500 hPa geopotential height | 0.714 0.682 | |
| Erfoud | p1_z, p1_zh, | Surface vorticity Surface divergence | 0.625 0.590 | |
| Ait Haddou | mslp, p1_v, p500 | Mean sea level pressure Surface meridional velocity 500 hPa geopotential height | 0.583 0.645 0.670 | |
| Tit N’Aissa | mslp, p850 | Mean sea level pressure 850 hPa geopotential height | 0.574 0.667 | |
| Bouanane | p1_v, p500 | Surface meridional velocity 500 hPa geopotential height | 0.702 0.680 |
| Stations | Climatic Parameters | RMSE | R2 | ||
|---|---|---|---|---|---|
| (1997–2015) | (2016–2023) | (1997–2015) | (2016–2023) | ||
| Sidi Hamza | Precipitation | 3.41 | 3.02 | 0.70 | 0.75 |
| T max | 2.87 | 2.43 | 0.72 | 0.76 | |
| T min | 3.51 | 3.12 | 0.68 | 0.72 | |
| Tillicht | Precipitation | 3.23 | 2.86 | 0.69 | 0.71 |
| T max | 3.37 | 3.05 | 0.70 | 0.74 | |
| T min | 3.44 | 3.08 | 0.68 | 0.72 | |
| Hassan Adakhil dam | Precipitation | 3.84 | 3.25 | 0.66 | 0.70 |
| T max | 3.21 | 2.89 | 0.70 | 0.76 | |
| T min | 3.54 | 3.16 | 0.68 | 0.73 | |
| Erfoud | Precipitation | 3.68 | 3.23 | 0.67 | 0.70 |
| T max | 3.14 | 2.78 | 0.68 | 0.72 | |
| T min | 3.34 | 2.97 | 0.66 | 0.71 | |
| Ait Haddou | Precipitation | 2.81 | 2.55 | 0.71 | 0.76 |
| T max | 3.17 | 1.52 | 0.75 | 0.77 | |
| T min | 2.46 | 1.62 | 0.73 | 0.75 | |
| Tit N’Aissa | Precipitation | 3.04 | 2.83 | 0.67 | 0.70 |
| T max | 2.27 | 1.84 | 0.69 | 0.72 | |
| T min | 2.98 | 2.52 | 0.72 | 0.75 | |
| Bouanane | Precipitation | 3.43 | 2.94 | 0.68 | 0.74 |
| T max | 2.23 | 1.65 | 0.70 | 0.73 | |
| T min | 3.56 | 1.88 | 0.69 | 0.75 | |
| Stations | Climatic Parameters | MK Z Value | MK p Value | Sen’s Slope | Trend |
|---|---|---|---|---|---|
| Sidi Hamza | Precipitation | −0.125 | 0.900 | −0.146 | NS * |
| T min | 0.801 | 0.423 | 0.003 | NS | |
| T max | 0.018 | 0.036 | 0.114 | S ** | |
| Tillicht | Precipitation | 0.667 | 0.505 | 0.961 | NS |
| T min | 0.674 | 0.500 | 0.003 | NS | |
| T max | 0.049 | 0.046 | 0.104 | S | |
| Hassan Addakhi dam | Precipitation | −0.188 | 0.851 | −0.325 | NS |
| T min | 0.593 | 0.553 | 0.002 | NS | |
| T max | 1.104 | 0.269 | 0.004 | NS | |
| Erfoud | Precipitation | 1.751 | 0.080 | 1.428 | NS |
| T min | 0.676 | 0.499 | 0.003 | NS | |
| T max | 0.029 | 0.039 | 0.235 | S | |
| Ait Haddou | Precipitation | −0.500 | 0.617 | −0.863 | NS |
| T min | 0.661 | 0.508 | 0.002 | NS | |
| T max | 0.872 | 0.383 | 0.003 | NS | |
| Tit N’Aissa | Precipitation | −0.208 | 0.835 | −0.177 | NS |
| T min | 0.720 | 0.471 | 0.003 | NS | |
| T max | 0.871 | 0.383 | 0.003 | NS | |
| Bouanane | Precipitation | −0.167 | 0.867 | −0.214 | NS |
| T min | 0.485 | 0.627 | 0.002 | NS | |
| T max | 0.047 | 0.031 | 0.144 | S |
| Stations | Climatic Parameters | MK Z Value | MK p Value | Sen’s Slope | Trend | ||||
|---|---|---|---|---|---|---|---|---|---|
| RCP4.5 | RCP8.5 | RCP4.5 | RCP8.5 | RCP4.5 | RCP8.5 | RCP4.5 | RCP8.5 | ||
| Sidi Hamza | Precipitation | −0.152 | −0.4389 | 0.053 | 2.12 × 10−8 | −0.136 | −0.559 | NS * | S ** |
| T min | 0.0078 | 0.0231 | 0.0424 | 0.0296 | 0.158 | 0.185 | S | S | |
| T max | 0.014 | 0.0401 | 0.0326 | 0.007 | 0.233 | 0.259 | S | S | |
| Tillicht | Precipitation | 0.0449 | −0.148 | 0.569 | 0.059 | 0.039 | −0.143 | NS | NS |
| T min | 0.0028 | 0.0292 | 0.0408 | 0.0186 | 0.254 | 0.266 | S | S | |
| T max | 0.0148 | 0.0332 | 0.039 | 0.0134 | 0.244 | 0.287 | S | S | |
| Hassan Addakhi dam | Precipitation | −0.0632 | 0.190 | 0.422 | 0.015 | −0.052 | 0.120 | NS | S |
| T min | 0.0068 | 0.0269 | 0.0360 | 0.0223 | 0.173 | 0.189 | S | S | |
| T max | 0.0131 | 0.0283 | 0.0383 | 0.0200 | 0.183 | 0.196 | S | S | |
| Erfoud | Precipitation | 0.0968 | −0.05.68 | 0.218 | 0.470 | 0.034 | −0.020 | NS | NS |
| T min | 0.0073 | 0.0242 | 0.042 | 0.0473 | 0.143 | 0.156 | S | S | |
| T max | 0.0066 | 0.0329 | 0.046 | 0.0437 | 0.126 | 0.148 | S | S | |
| Ait Haddou | Precipitation | −0.28 | −0.673 | 0.0003 | <2.2 × 10−16 | −0.193 | −0.770 | S | S |
| T min | 0.0094 | 0.0234 | 0.038 | 0.0249 | 0.235 | 0.265 | S | S | |
| T max | 0.0138 | 0.0484 | 0.031 | 0.029 | 0.256 | 0.281 | S | S | |
| Tit N’Aissa | Precipitation | −0.072 | −0.408 | 0.358 | 1.92 × 10−7 | −0.173 | −0.195 | NS | S |
| T min | 0.0128 | 0.0268 | 0.044 | 0.0326 | 0.176 | 0.185 | S | S | |
| T max | 0.0079 | 0.0447 | 0.031 | 0.043 | 0.123 | 0.151 | S | S | |
| Bouanane | Precipitation | 0.0014 | −0.408 | 0.989 | 1.92 × 10−7 | 0.001 | −0.189 | NS | S |
| T min | 0.0081 | 0.0265 | 0.039 | 0.0331 | 0.147 | 0.160 | S | S | |
| T max | 0.0088 | 0.0457 | 0.032 | 0.039 | 0.160 | 0.172 | S | S | |
| Stations | Climatic Parameters | MK Z Value | MK p Value | Sen’s Slope | Trend |
|---|---|---|---|---|---|
| Sidi Hamza | Precipitation | −0.583 | 0.560 | −0.215 | NS |
| T min | 0.237 | 0.156 | 0.070 | NS | |
| T max | 0.178 | 0.092 | 0.582 | NS | |
| Tillicht | Precipitation | 0.4176 | 0.156 | 0.064 | NS |
| T min | 0.294 | 0.195 | 0.016 | NS | |
| T max | 0.044 | 0.201 | 0.104 | NS | |
| Hassan Addakhi dam | Precipitation | −0.375 | 0.2075 | −0.353 | NS |
| T min | 0.034 | 0.1281 | 0.134 | NS | |
| T max | 0.203 | 0.140 | 0.117 | NS | |
| Erfoud | Precipitation | 0.667 | 0.0954 | 0.177 | NS |
| T min | 1.818 | 0.068 | 0.161 | NS | |
| T max | 0.1957 | 0.162 | 0.114 | NS | |
| Ait Haddou | Precipitation | 0.709 | 0.478 | 0.380 | NS |
| T min | 0.322 | 0.107 | 0.128 | NS | |
| T max | 0.938 | 0.052 | 0.014 | NS | |
| Tit N’Aissa | Precipitation | −0.163 | 0.567 | −0.133 | NS |
| T min | 0.201 | 0.097 | 0.059 | NS | |
| T max | 0.0871 | 0.183 | 0.003 | NS | |
| Bouanane | Precipitation | 0.583 | 0.059 | 0.477 | NS |
| T min | 0. 398 | 0.158 | 0.090 | NS | |
| T max | 0.188 | 0.102 | 0.046 | NS |
Disclaimer/Publisher’s Note: The statements, opinions and data contained in all publications are solely those of the individual author(s) and contributor(s) and not of MDPI and/or the editor(s). MDPI and/or the editor(s) disclaim responsibility for any injury to people or property resulting from any ideas, methods, instructions or products referred to in the content. |
© 2025 by the authors. Licensee MDPI, Basel, Switzerland. This article is an open access article distributed under the terms and conditions of the Creative Commons Attribution (CC BY) license (https://creativecommons.org/licenses/by/4.0/).
Share and Cite
Dafouf, S.; Lahrach, A.; Tabyaoui, H.; Benaabidate, L. Future Evolutions of Precipitation and Temperature Using the Statistical Downscaling Model (SDSM), Case of the Guir and the Ziz Watershed, Morocco. Earth 2025, 6, 4. https://doi.org/10.3390/earth6010004
Dafouf S, Lahrach A, Tabyaoui H, Benaabidate L. Future Evolutions of Precipitation and Temperature Using the Statistical Downscaling Model (SDSM), Case of the Guir and the Ziz Watershed, Morocco. Earth. 2025; 6(1):4. https://doi.org/10.3390/earth6010004
Chicago/Turabian StyleDafouf, Safae, Abderrahim Lahrach, Hassan Tabyaoui, and Lahcen Benaabidate. 2025. "Future Evolutions of Precipitation and Temperature Using the Statistical Downscaling Model (SDSM), Case of the Guir and the Ziz Watershed, Morocco" Earth 6, no. 1: 4. https://doi.org/10.3390/earth6010004
APA StyleDafouf, S., Lahrach, A., Tabyaoui, H., & Benaabidate, L. (2025). Future Evolutions of Precipitation and Temperature Using the Statistical Downscaling Model (SDSM), Case of the Guir and the Ziz Watershed, Morocco. Earth, 6(1), 4. https://doi.org/10.3390/earth6010004

