Abstract
Soil structure is an important key in the bioremediation process; for instance, clay soils tend to have high absorption of pollutants and low rates of bioremediation due to their high plasticity and oxygen restrictions. This work assesses seven different treatments for contaminated clay soil using lime, silica nanoparticles, and both components in combination. After a three-month treatment, the variation of the soil granulometry, pH, porosity, cation exchange capacity (CEC), humidity, organic matter, respirometry, and humic acids were measured in order to evaluate the improvements regarding soil structure. Furthermore, total petroleum hydrocarbon (TPH), polycyclic aromatic hydrocarbons (PAHs) and heavy metals were monitored before and after the treatments. The combined treatment using lime and nanosilica presented the best results, reducing the percentage of clays from 61% to 5% and showing a relationship between improved of soil structure and the reduction of pollutants, with a 35% removal for TPHs being the highest obtained with the seven treatments.
1. Introduction
Over the past decades, petroleum has been an economically important resource both for its use in the energy sector and as the raw material for a wide range of industries, such as cosmetics, packing, automotive, and others [1]. The presence of petroleum-based pollutants causes a reduction in natural vegetation, depression of ecosystem well-being, and soil erosion, which leads to the expansion of the contaminated area [2].
Furthermore, there are changes in the mechanical, physical, chemical, and structural characteristics of soils when they are degraded with oil and its derivatives [3]. The structure of the soil is altered as a result of disturbance of its aggregates, thus causing soil erosion and changes in its water retention capacity [4] and porosity [5]. Clay-textured soils contaminated with petroleum hydrocarbons tend to compact, making it difficult to aerate them; this type of soil has a high interrelation with fluids due to its characteristic high specific surface, which influences its plasticity [6].
Clay soils present a negative impact in terms of the percentage of pollutants removed, as it blocks the transfer of oxygen; additionally, contaminants can undergo adsorption on the clay’s surface [7]. According to different studies, the clay structure of soil contaminated with oil directly influences the decreased removal effectiveness of total petroleum hydrocarbons (TPHs) in bioremediation processes, mainly because of the limitation of mass transfer in the matrix and the diffusion of oxygen blocking [8]. The implementation of a soil bioremediation process is carried out through different modalities that depend on technical considerations such as the physical properties or chemical composition of the contaminated soil and the concentration and composition of the contaminants present. Among the most common remediation technologies are bioventilation, phytoremediation, mycoremediation, biopiles and composting, land-farming, and biological treatment in the slurry phase [9]. Additionally, there are strategies to make bioremediation more effective, which include the use of bioreactors, increase in the temperature of the medium, forced aeration using heavy machinery, and addition of fungi and additional vegetation [10]. Among other alternatives, chemical processes based on the addition of minerals or compounds such as lime, gravel, peroxide, calcium hydroxide, or nanoparticles that participate as agents of structural modification of contaminated soils have all been studied [11].
The addition of lime or other stabilizing agents such as silica nanoparticles can modify the dispersed nature of contaminated clay soils, leading to a flocculated structure [6,12], which contributes to an increase in permeability; as a result, there is greater air transfer into the soil, optimizing bioremediation [13]. The use of these components in bioremediation treatments has been increasing due to advantages such as their easy to apply techniques and relatively low cost of implementation.
Lime is used as a stabilizing agent, reducing the potential danger that contaminated soils can pose. Stabilization consists of reducing free moisture and the mobility of pollutants, improving the mechanical properties of soils such as plasticity and porosity. This is essential in the pollutant elimination process, as it optimizes aeration without the need to use heavy machinery, thereby reducing operating costs [14]. Several studies have concluded that this component expands clay soils, which translates into an increase in porosity; a decrease in the liquid and plastic limits of the soil and in its plasticity index has been observed as well [6,15].
Nano-silica is known as one of the chemical forms of silica with a particle size less than 100 nm; this material is usually available in nature in the form of quartz [16]. Nano-silica has been used in recent years as a novel technique to improve the mechanical characteristics of clay soil, as it has the excellent properties of small particle size, porosity, and large surface area [17]. Several studies have shown the effectiveness of this chemical agent as an unlimited compressive force intensifier, which can present advantages in relation to the strength and durability properties of clay soil [18]. In addition, the effect of nanosilica on clay soils cause an increase in its plastic and liquid limits and in the uniaxial compressive strength of clay [19].
From 2013 to the present, the Ecuadorian government has executed several projects for the closure and remediation of the environmental liabilities associated with the activities of the petroleum industry in the Ecuadorian Amazon region. At present, more than 1070 pollution sources, equivalent to 1.4 million cubic meters, have been cleaned. Moreover, it is estimated that approximately 5.4 million cubic meters of polluted soil remain without treatment, most of it with a clay texture that hinders its oxygenation during the bioremediation process. Therefore, oxygenation is mostly achieved with the use of heavy machinery. However, its use may negatively influence the sustainability of the remediation project [20]. In order to create feasible and affordable alternatives to enhancing the structure of these soils, the aim of this study was to assess the improvement of structure in contaminated clay soils after treatment with lime, nanosilica, and both chemicals together, and to assess the incidence of improved reduction of pollutants in the soil as a result.
2. Materials and Methods
2.1. Sampling
Sampling soil consisted of the collection and homogenization of 50 kg of contaminated clay soil from Biopile CGP_SA_184, located at the Center for Treatment of Soil in the Canton Joya de los Sachas (Province Francisco de Orellana) in the Ecuadorian Amazon region (0°21′59″ S 76°53′41″ W).
2.2. Soil Characterization
An initial characterization of the soil sample was made. The following characteristics were determined: texture (FAO 2006), porosity (ASTM C830-00 2016), granulometry (ASTM C136/C136M-19 2019), pH (EPA method 9045D), humidity (ASTM D2216-98 1998), organic matter (ASTM F1647-11 2018), cation exchangeable capacity (CEC) (EPA method 9080), humic and fulvic acids (ISO 19822: 2018, 2018), total petroleum hydrocarbons TPH 1 (EPA method 8015D), total petroleum hydrocarbons TPH 2 (EPA method 1664), polycyclic aromatic hydrocarbons (PAHS) (AOAC Method 2007.01.2005), metals (cadmium, nickel, lead, and vanadium) (EPA method 6020B), and soil respiration (USDA 1999). A detailed summary of each procedure can be reviewed in the Supplementary Materials.
2.3. Treatments
Terrariums containing 2 kilos of soil to be treated were set up with seven different treatment methods. Each treatment was set up in triplicate. In treatments, 1, 2, and 3, lime was applied in a solid form at concentrations of 1, 2, and 3%, respectively. In treatments 4, 5, and 6, 40 nm silica nanoparticles were used at concentrations of 0.5, 1, and 2%, respectively; the compound was placed in the terrariums in the form of a colloidal solution to avoid its dispersion because of the small particle size. Treatment 7 corresponded to the application of nanosilica and lime at concentrations of 0.5 and 2%, respectively. The concentration of nanosilica and lime were chosen according to the experimental design, using the lowest concentration of nanosilica and the expected best performance of lime according to the literature [21]. Finally, treatment 0 was a blank, that is, soil without any treatment. The terrariums were kept under controlled humidity and temperature conditions for three months, after which time the parameters determined during the initial characterization were measured again.
2.4. Statistical Analysis
The data were analyzed using the statistical software R version 4.1.2 with the r studio interface. The non-parametric Kruskal–Wallis test was applied in order to determine whether there were any statistically significant differences between the different treatments (0 to 7) after three months for the different parameters, e.g., pH, respirometry, etc. In addition, we compared whether there were differences by parameter in each treatment over time. If the null hypothesis of equality of medians was rejected, a post hoc pairwise Wilcoxon test was applied to determine the treatments between which differences were found. The level of significance established in all cases was p < 0.05.
With the data obtained in the final month for pH, humidity, CEC, organic matter, humic acids, granulometry, respirometry, and removal percentage of TPH, Cd, Pb, and Ni content in each treatment, principal component analysis (PCA) and hierarchical cluster analysis using the Euclidean distance were performed.
3. Results
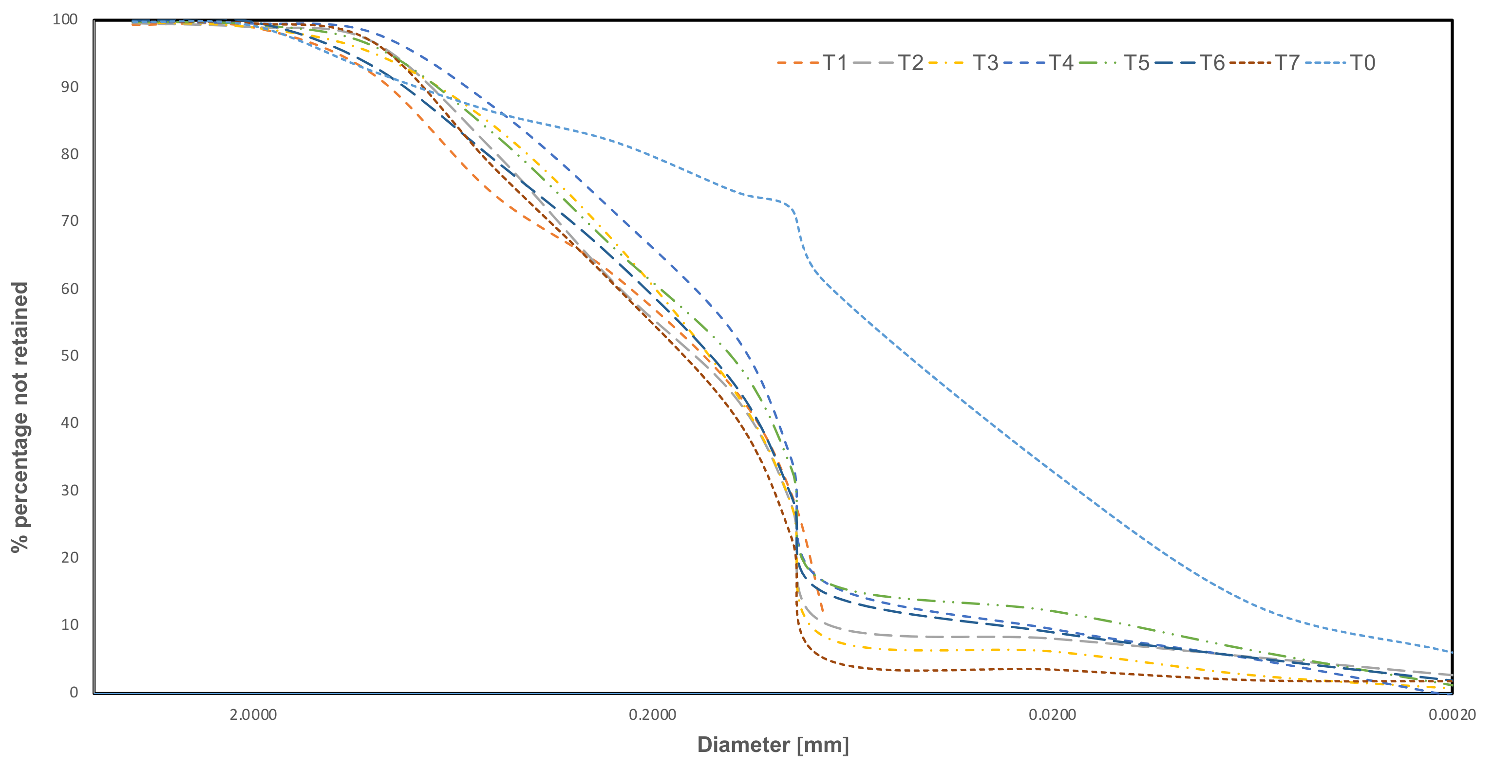
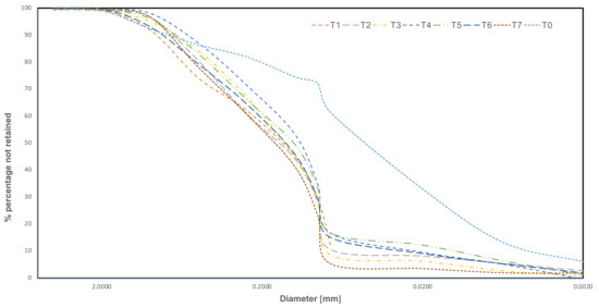
Figure 1 shows the granulometry obtained per treatment after the three months. According to the granulometry results of the soil without treatment, the portion of fine-grained soil was 61.75%; thus, it was classified as clayey. The granulometry of the seven treated soil samples showed a substantial reduction in the percentage of fine-grained soil. In the case of lime treatment (1, 2, and 3) there was a relationship between the increase in the amount of lime and the reduction in the percentage of fine-grained soil. The results obtained were 12, 10, and 8%, respectively. On the other hand, the nanosilica treatments (4, 5, and 6) did not show any significant difference with the addition of different concentrations, although they showed a reduction to 17 and 15%.
Figure 1.
Particle size distribution curve of the treated soil after three months. T0: Soil without treatment; T1, T2, and T3: soils treated with lime at 1, 2, and 3%, respectively; T4, T5, and T6: soils treated with 40 nm silica nanoparticles at 0.5, 1, and 2%, respectively; T7: soil treated with 0.5% nanosilica and 2% lime.
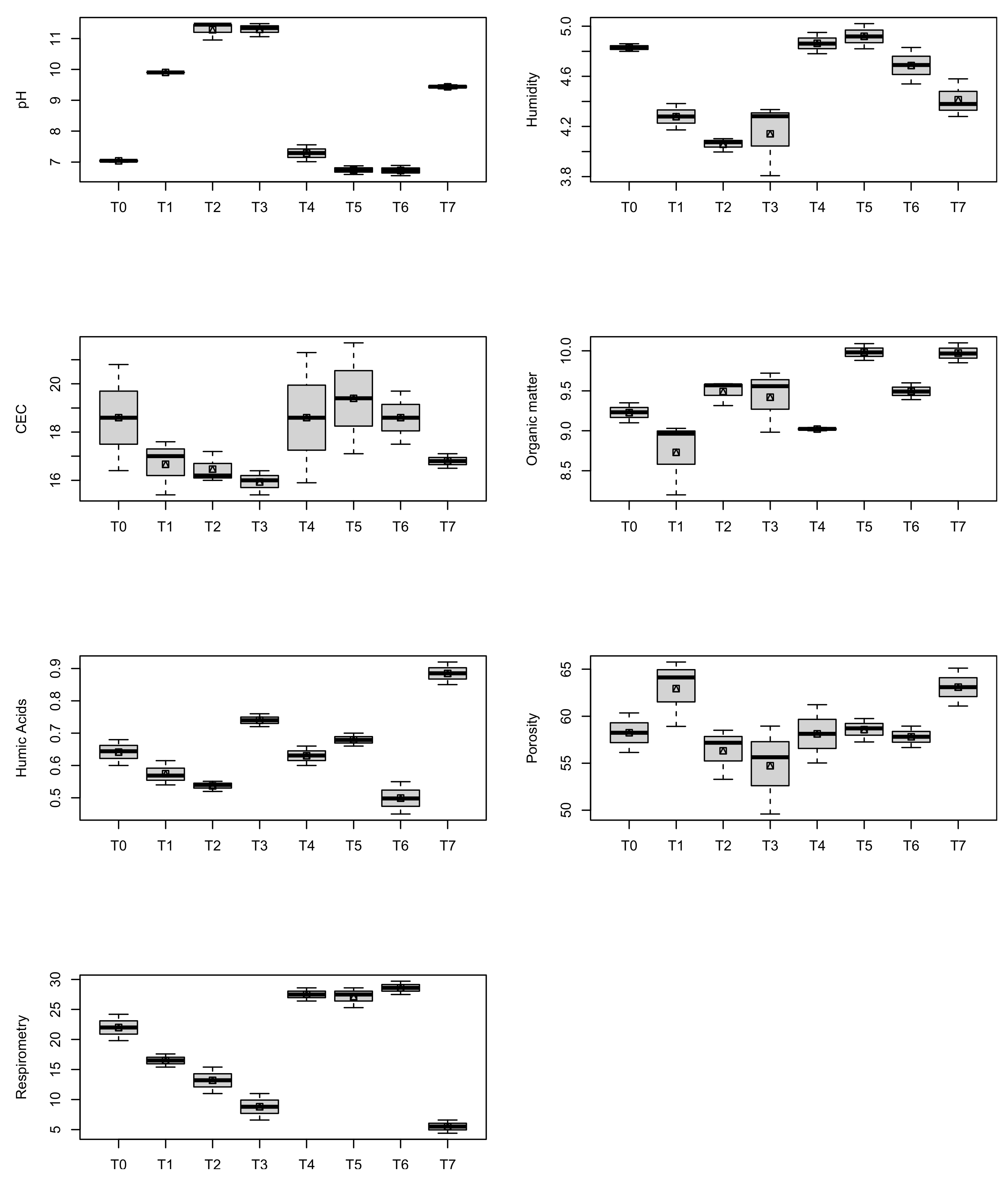
The physicochemical parameters were determined in order to assess the evolution of the different treatments in the soil studied. Statistical analysis was performed to compare physical and chemical characteristics in each treatment by month. Figure 2 shows the boxplot of each parameter after three months of treatment. Figures S1–S3 contain the boxplots for the first and second months by treatment. None of the statistical analyses showed significant differences regarding CEC, while pH, humidity, and organic matter showed significant differences (p < 0.05) in all the cases, while humic acids only showed a significant difference after the third month of treatment and porosity only between treatments. Respirometry was measured only after the third month of treatment, and showed significant differences. pH is one of the main indicators of soil quality. Monitoring of this parameter during the months of treatment provides evidence of the reactions that take place after adding the chemical treatment agents, as both the lime and the silica nanoparticles interact with the ions present on the surface of the clay. The variation in the soils treated with treatments 1, 2, 3, and 7 produced a higher increment in the pH, while treatments 4, 5, and 6 did not produce significant differences compared to the soil without treatment; see Figure 2.
Figure 2.
Boxplot of the physical and chemical characteristics after three months of applying the treatments. The mean is shown in red. Units: humidity in %, CEC in Meq/100, organic matter in %, humic acids in in %, respirometry in mg of CO2. T0: soil without treatment; T1, T2, and T3: soils treated with lime at 1, 2, and 3%, respectively; T4, T5, and T6: soils treated with 40 nm silica nanoparticles at 0.5, 1, and 2%, respectively; T7: soil treated with 0.5% nanosilica and 2% lime.
Humidity was measured monthly during the three months of the treatment. After the first month, the soil with treatments 1, 2, and 3 showed a decrease to 3.63, 3.41, and 3.25%, respectively, from its original value of 4.80%. During the second and third months, the humidity started to increase due to the absorption of the environmental water, reaching almost the original value after the third month. In the case of treatments 4, 5, and 6, they presented higher values of humidity in relation with the other treatments. Treatment 7 showed similar behavior to treatments 1, 2, and 3.
The determination of the respirometry activity of the soil was considered important to analyze in order to assess the implications of lime and nanosilica addition. In the case of treatments 1, 2, and 3, the value suffered a decrease from 22.0 mg of CO2 to 16.5, 13.2, and 8.8 mg of CO2, respectively. On the other hand, treatments 4, 5, and 6 produced an increase to 27.5, 27.3, and 28.6 mg of CO2, respectively.
The percentage of organic matter in the soil increased with the concentration of lime; the initial value of the soil without treatment was 8.65% organic matter, while after the first month the values rose to 10.37, 11.45, and 11.63% with treatments 1, 2, and 3, respectively, while the combined treatment showed the highest increase in organic matter content, rising to a value of 14.88% the first month. The first month of treatment with nanoparticles showed a slight decrease in the content of organic matter in relation to the soil without treatment. Upon reaching the third month, the organic matter content decreased with treatments 1, 2, 3, 4, 6, and 7; treatment 5 showed a slight increase, and in all treatments the value after three months was close to the organic matter content of the soil without treatment. Organic matter is closely linked to the percentage of humic acids in the soil; after the third month, treatments 3 and 7 showed the highest increase in relation to the soil without treatment, with an increase of 18.75% for treatment 3 and an increase of 37.5% for treatment 7.
In addition to the physicochemical parameters controlled to evaluate the structural soil change, total petroleum hydrocarbons (TPH), polyaromatic hydrocarbons (PAHs), which are toxic, carcinogenic and mutagenic pollutants with high hydrophobicity, electrochemical stability and resistance to degradation, and heavy metals were all measured after the three months in order to assess the relation between improvements in the soil structure and decreased levels of pollutants. Figure 3 shows the removal by treatment and by pollutant.
Figure 3.
Pollutant removal percentage. T1, T2, and T3: soils treated with lime at 1, 2, and 3%, respectively; T4, T5, and T6: soils treated with 40 nm silica nanoparticles at 0.5, 1, and 2%, respectively; T7: soil treated with 0.5% nanosilica and 2% lime.
TPH was measured using two different methods: the chromatographic method, which measures the TPH fraction from C8 to C40 (EPA method 8015D), and the gravimetric method, used to determine the total amount of TPH. In treatments 1, 2, and 3, TPH removal of 14, 28, and 31%, respectively, was observed. The highest removal (35%) was reached when lime and silica nanoparticles were used as structural modifiers of the soil in combination. Although the nanosilica treatments (4, 5, and 6) contributed to a decrease in TPH concentration, the removal percentages were lower than those reached with lime and with the combined treatment. The C8–C40 removal percentages were, as expected, lower than the TPH; in the nanosilica treatments, no removal was observed. This is due to the higher concentrations of pollutants obtained when gravimetry is used, as this technique determines the heavy and light fractions of the soil, not the use of GC-FID [22].
The PAH removal percentages obtained here show effective removal of most of the PAHs analyzed, although in this case it is not possible to establish a specific trend regarding the effectiveness of treatments because of the diverse values observed in the removal percentages were due to the specific characteristics of each compound.
Finally, among the relevant pollutants that can be found in soils in oil exploitation areas are heavy metals such as cadmium, vanadium, nickel, and lead. All of these were measured, although none of these pollutants showed any improvement attributable to the treatments.
3.1. Cluster Analysis
A cluster statistical test was used to analyze the differences between the treatments applied to the soil, as shown in Figure 4. A clustering trend by chemical agent can be observed, that is, treatments with lime and silica nanoparticles clump together due to the homogeneity of the results obtained in each case. On the other hand, it can be seen that the values obtained from treatment with lime and nanoparticles in combination tend to move away from those of contaminated soil without treatment (T0), which shows that this last treatment led to more change, thus confirming the results described previously.
Figure 4.
Clustering by treatment. T0: Soil without treatment; T1, T2, and T3: soils treated with lime at 1, 2, and 3%, respectively; T4, T5, and T6: soils treated with 40 nm silica nanoparticles at 0.5, 1, and 2%, respectively; T7: soil treated with 0.5% nanosilica and 2% lime.
3.2. PCA Analysis
Two components explain 98% of the variance. The first component is the granulometry and removal of TPH, with a negative score. The second component is the respirometry. Treatments T4, T5, and T6 are grouped together, indicating similar behaviors. T0, soil without treatment, moves away from the behavior of the rest, while treatments T1, T2, T3, and T7 are together and close to coarse granulometry and removal of TPH; see Figure 5.
Figure 5.
PCA Analysis. T0: Soil without treatment; T1, T2, and T3: soils treated with lime at 1, 2, and 3%, respectively; T4, T5, and T6: soils treated with 40 nm silica nanoparticles at 0.5, 1, and 2% respectively; T7: soil treated with 0.5% nanosilica and 2% lime.
4. Discussion
The treatment with the best results was the combination of nanosilica and lime, with a reduction of fine-grained soil to 5%. Therefore, the modification treatment was effective. Lime acts as a binder on clay soil, resulting in the exchange of monovalent cations in the contaminated clay with divalent cations of higher charge (Ca+2) present in the lime. This causes the formation of an attractive force between the soil particles and the chemical agent, which leads to the flocculation of fine soil particles, thus causing an increase in the fraction of coarse-grained soil. After the addition of lime, the soil particles were condensed, and due to the flocculation effect, the fine soil particles became coarse [23]. On the other hand, the greater the amount of lime added, the greater the fusion of particles for the formation of larger particles, promoting the formation of crumb structures that are much more porous. This coincides with the data we obtained; it was observed that when adding 3% lime, the fraction of coarse soil was 92%. When comparing the results with those obtained in [23], it can be observed that, as in the present study, the addition of lime influenced the increase in the volume of pores in the soil, which increased in proportion with the concentration of lime added to the soil.
The structural modification of clay soil occurs through pozzolanic reactions, which correspond to a set of sub-reactions that occur between the active compounds of pozzolana (generally, silicates, alumina, and/or aluminosilicates), calcium hydroxide, and water [24], depending on the time and the supply of stabilizing reagent; for this reason, it was observed that when the percentage of lime increased, the structural properties of the soil were improved. This is the result of pozzolanic reactions over the course of the three-month treatment period. To begin with, lime (CaO) reacts with the water present in the soil, producing hydrated lime (Ca (OH)2), which then dissociates, causing an increase in the concentration of hydroxyl ions (OH−1) and calcium (Ca+2). On the other hand, pozzolans react with calcium hydroxide to form hydrated calcium silicate, hydrated calcium aluminate, and hydrated calcium aluminosilicate. Finally, the stabilization of the soil, which is synonymous with the improvement of the structural properties of the soil, occurs during the reactions described above because of ion exchange [25]. As can be seen in this work, the structural properties can be improved in a greater proportion when two agents are used in combination, as the benefits of both chemicals are combined, which optimizes the stabilization and structural improvement process in clay soils. When silica nanoparticles are added, the required properties for the corresponding reactions (cation exchange, flocculation, and pozzolanic reaction) to occur are optimized, generating structural improvement in the soil due to the aforementioned reactions [25,26]. This because silica nanoparticles participate as a very reactive pozzolan binder thanks to their fine particles, large surface area, and high content of silicon dioxide [26,27].
According to our statistical analysis, the porosity presents a significant difference between treatments. We observed a relationship between decreasing humidity and increasing porosity as a consequence of the volatilization of water when adding lime, which promotes the movement of air in the soil. The original porosity of the soil was 55.89%. Clay soils are usually very susceptible to microstructural changes as a result of oil contamination; these changes directly influence the porosity of the affected resource. The percentage of pores corresponds to the large amount of aggregates that generally form this type of soil; when they come into contact with hydrocarbon pollutants, these aggregates, together with the large amount of clay present in the soil, lead to zero contact between the particles present in the matrix, causing a decrease in permeability as well as deficiency in soil stability [28]. The treatment that showed the best results was the mixture of nanoparticles and lime, which caused an increase in porosity to 63.09%.
The change in the pH value observed in treatments 1, 2, 3, and 7 is due to the formation of calcium hydroxide. The water contained in the soil pores immediately dissociates into Ca+2 and OH−, causing a variation in the pH of the soil. In clay soils, this dissociation results in a sequence of other reactions, which is the reason that the pH in the soil increases; this coincides with findings in other studies, in which the pH of soils increased after treatment with this modifying agent [15]. Here, the pH increased in proportion to the amount of lime added due to an increase in the number of negatively charged sites on the surface of the clay particles, meaning that there is an ion exchange involving Ca+2 and the cations K+, Na+, and H+, among others existing in this clay-type soil. This causes the aggregation of mineral particles and reduction of the plasticity index, thus concluding in an improvement in workability, which refers to the ease of handling the soil; likewise, the structural properties of the soil are optimized [23].
Soil humidity is highly influenced by the climatic conditions of the environment in which the treated soil is found. In the case of contaminated soils, humidity is interfered with by the hydrocarbons present in its composition, especially in soils with a clay texture, as the non-polarity of the pollutants as well as the clay particles intervenes in the flow of water through the ground [29]. Lime is mainly made up of CaO, a compound that reacts with water, resulting in an exothermic reaction to obtain Ca(OH)2, which explains the decrease in soil moisture with treatments 1, 2, 3, and 7. Furthermore, it is linked with an increase in temperature, which produces a change in the volatility of soil pollutants; consequently, the release of heat promotes desorption and increased diffusion, and therefore mass transfer, facilitating the volatilization of pollutants.
Regarding the respirometry results, the increase observed in treatments with nanosilica is due to the activity of the microorganisms present in the soil being favored by the silica nanoparticles, which modify the redox conditions [30] by acting as electron acceptors and thereby support bacterial respiration in anaerobic conditions. Treatment 7 had the worst performance in this case, with a decrease to 5.5 mg of CO2. It is important to take into account that the chemical behavior of lime can have an enormous influence, as the bioavailable fraction where a chemical dissolves freely drives the chemical balance in the cells of the microbial population, directly influencing the toxic potential and the possibilities of metabolism [31], thus leading to a decrease in soil respiration. Another explanation for this phenomenon could be that, as the soil respiration was only measured at the third month, in the case of treatment 7 all of the reactions may have taken place at an earlier stage.
Organic matter is an indicator of soil quality, as it participates in the adsorption of pollutants in the soil. Its variation is closely related to the elimination of pollutants; the higher the percentage of organic matter, the greater their removal. The increase in organic matter content in the treatments 1, 2, 3, and 7 is due to the changes caused by lime in the microbial activity, whereby there is an increase in the soil respiration rate as well. This is a short-term effect, and the respirometry results obtained in this study do not coincide with the aforementioned, as the respirometry activity of the treated soil was analyzed at the end of the three months of treatment. The addition of lime, after causing a microbial surge, causes an increase in the stability of the aggregates, because the microbial biomass produces extracellular gelatinous polysaccharides that act as binders in the soil. This contributes to the structural modification of the soil by promoting the aggregation of soil particles [32].
The determination of humic substances in the soil is important because these can participate beneficially in physical, chemical, and biological processes in the soil, such as stimulation of the growth of flora, and the capture of hydrocarbon pollutants, especially PAHs [33]. On the other hand, humic substances in the soil influence the mobility of organic matter, interactions with clay surfaces, and the aggregation of soil particles [34]. The results obtained in this study coincide with the organic matter values.
Finally, regarding the cationic exchange capacity (CEC), it did not show significant differences between treatment or months. CEC quantifies negatively charged sites on soil surfaces that have the ability to retain positively charged ions through electrostatic forces. In this case, the initial CEC value presented a relatively high value of 18 because, as is known, clays have high cation exchange capacities due to their high negative charge [29,35]. Nonetheless, this parameter did not show a significant difference either during or after treatment.
Decrease of Pollutants
The addition of lime led to an increase in the macropores in the soil and reduced the mesopores and micropores, causing the pollutants to migrate through the macropores in the soil channels. Lime combines with the components of soil to produce diverse materials that generate different chemical processes, such as the growth of crystals and gelation. On the other hand, the formation of calcium silicate hydrates promotes the formation of a porous and stable crumb structures. This helps to obtain an increase in the size of the soil pores, improves the permeability of air in the soil, and increases mass transfer, which together influence the removal of pollutants from the soil [23].
While the addition of silica nanoparticles promoted the growth of microorganisms and could be the cause of the pollutant removal observed here, in the case of TPH the removal percentage was lower than that obtained with the other treatments. This could be due to the strong absorption of SiO2 in the clay particles of the treated soil being insufficiently bioaccessible, affecting in the toxic potential and metabolic possibilities, with respect to which the biodegradability of the pollutants was probably limited by an unfavorable desorption kinetics [31]. Another reason could be the low percentages of nanosilica added; in [27], it was observed that using a 3% concentration of silica nanoparticles in addition to 15% silica fume improved the geotechnical properties of the soil.
The greater removal of pollutants is attributed to the structural modification of the soil, as the addition of lime ultimately fulfilled its objective in part and modified the soil structure, achieving the aeration required for soil bioremediation [24]. In addition, the increase in temperature generated by the addition of lime caused a small percentage of the pollutants to evaporate, reducing the concentration of lighter hydrocarbons is at the beginning of the treatment process. We observed an increase in the value of C8–C40 in comparing the soil before and after the treatment, which is evidence of cleavage of the heavier hydrocarbon chains into lighter chains.
Treatment with hydrated lime has been shown to be effective in the decomposition of compounds sensitive to alkaline hydrolysis; these reactions, caused by the desorption of pollutants, lead to the substantial elimination of PAHs as these are encapsulated by trapping the pollutants in a layer of Ca(OH)2 precipitate produced from the reaction of lime with water. Additionally, soil in the presence of lime and water reacts to form aggregates, which a large number of hydrocarbon molecules adhere to, leading to a decrease in the total concentration of hydrocarbons in the soil [24].
The significant decrease in PAHs observed here is directly related to the increase in humic acids, as the structural modification process increases microbial access to the pollutants. The increase in the percentage of humic acids is relevant, as these substances have the ability to confer stability to the soil. In keeping with the initial objective of the work, with a higher the percentage of humic acids the erosion processes characteristic of clay soils are more limited, promoting greater biological activity. This is corroborated by the results in terms of the degradation of pollutants, as the microorganisms present in the soil can find a suitable medium for their stability [36]. Additionally, there is evidence that humic substances are used as a biostimulation strategy in addition to their use as a natural surfactant, taking advantage of their micellar microstructure and managing to increase the solubility and bioavailability of pollutants to the microbial population, a phenomenon that promotes and accelerates bioremediation of hydrocarbons in the soil [37]. This is corroborated by our results on the removal of TPHs and PAHs from the soil, as shown in Figure 3.
5. Conclusions
The use of chemical processes to develop effective soil bioremediation strategies has increased and diversified due to its accessibility and easy application. However, it is important to be able to establish the influence of the structural characteristics of the contaminated soil, in this case highly clayey, in order to define the conditions and adequate methods for the removal of contaminating compounds.
In the present study, combined treatment with lime (0.5%) and nanosilica (2%) reduced the content of fine-grained soil by 56% compared to the control and other treatments. In the same way, a directly proportional relationship was identified between the content of added lime and the percentage reduction in fine-grained soil, pH, and organic matter, as opposed to humidity. On the other hand, the level of respirometry showed a dependent relationship with the addition of nanosilica. Additionally, the influence of lime and nanosilica to modify the structure of clay soil can be a possible precursor to the growth of microorganisms, which in turn was mainly responsible for the reduction of TPH by 35%. However, it is recommended that the gravimetric method be used for this determination, as the type of soil treatment carried out here leads to heavier chains of hydrocarbons being broken down into lighter fractions.
The results obtained in this study can be the basis for future research on the influence of changes in soil structure on the remediation of pollutants through combinations of nanosilica, lime, or other compounds or minerals.
Supplementary Materials
The following supporting information can be downloaded at: https://www.mdpi.com/article/10.3390/pollutants2040028/s1 References [38,39,40,41,42,43,44,45,46,47,48,49,50,51,52] are cited in the Supplementary Materials.
Author Contributions
Conceptualisation, I.C.-Á.; methodology, I.C.-Á., A.M., K.G.-V., P.R. and V.L.; software and data processing, V.P.-V. and I.C.-Á.; writing—original draft, A.M. and I.C.-Á.; writing—review draft, I.C.-Á., A.M., K.G.-V., D.H.-L., V.P.-V., P.R. and V.L.; project lead, V.L. and K.G.-V.; principal investigator, I.C.-Á. All authors have read and agreed to the published version of the manuscript.
Funding
This research was funded by EP PETROECUADOR and Pontificia Universidad Católica del Ecuador through the project 075UIO2019.
Institutional Review Board Statement
Not applicable.
Informed Consent Statement
Not applicable.
Data Availability Statement
The data presented in this study are available in this article and in the Supplementary Information provided.
Conflicts of Interest
The authors declare that they have no known competing financial interests or personal relationships that could influence the present investigation. The funders had no role in the design of the study; in the collection, analyses, or interpretation of data; in the writing of the manuscript, or in the decision to publish the results.
References
- Varjani, S.; Upasani, V.N. Influence of abiotic factors, natural attenuation, bioaugmentation and nutrient supplementation on bioremediation of petroleum crude contaminated agricultural soil. J. Environ. Manag. 2019, 245, 358–366. [Google Scholar] [CrossRef] [PubMed]
- Wang, Y.; Liang, J.; Wang, J.; Gao, S. Combining stable carbon isotope analysis and petroleum-fingerprinting to evaluate petroleum contamination in the Yanchang oilfield located on loess plateau in China. Environ. Sci. Pollut. Res. 2017, 25, 2830–2841. [Google Scholar] [CrossRef] [PubMed]
- Oluwatuyi, O.; Ashaka, E.C.; Ojuri, O.O. Cement stabilization treatment of lead and naphthalene contaminated lateritic soils. J. Environ. Eng. Landsc. Manag. 2019, 27, 41–48. [Google Scholar] [CrossRef]
- Zhang, M.; Guo, P.; Wu, B.; Guo, S. Change in soil ion content and soil water-holding capacity during electro-bioremediation of petroleum contaminated saline soil. J. Hazard. Mater. 2020, 387, 122003. [Google Scholar] [CrossRef]
- Satouh, S.; Martín, J.; Orta, M.D.M.; Medina-Carrasco, S.; Messikh, N.; Bougdah, N.; Santos, J.L.; Aparicio, I.; Alonso, E. Adsorption of Polycyclic Aromatic Hydrocarbons by Natural, Synthetic and Modified Clays. Environments 2021, 8, 124. [Google Scholar] [CrossRef]
- Oluwatuyi, O.E.; Ojuri, O.O.; Khoshghalb, A. Cement-lime stabilization of crude oil contaminated kaolin clay. J. Rock Mech. Geotech. Eng. 2020, 12, 160–167. [Google Scholar] [CrossRef]
- Haghollahi, A.; Fazaelipoor, M.H.; Schaffie, M. The effect of soil type on the bioremediation of petroleum contaminated soils. J. Environ. Manag. 2016, 180, 197–201. [Google Scholar] [CrossRef]
- Wang, H.; Lu, L.; Mao, D.; Huang, Z.; Cui, Y.; Jin, S.; Zuo, Y.; Ren, Z.J. Dominance of electroactive microbiomes in bioelectrochemical remediation of hydrocarbon-contaminated soils with different textures. Chemosphere 2019, 235, 776–784. [Google Scholar] [CrossRef]
- Grifoni, M.; Franchi, E.; Fusini, D.; Vocciante, M.; Barbafieri, M.; Pedron, F.; Rosellini, I.; Petruzzelli, G. Soil Remediation: Towards a Resilient and Adaptive Approach to Deal with the Ever-Changing Environmental Challenges. Environments 2022, 9, 18. [Google Scholar] [CrossRef]
- McIntosh, P.; Schulthess, C.P.; Kuzovkina, Y.A.; Guillard, K. Bioremediation and phytoremediation of total petroleum hydrocarbons (TPH) under various conditions. Int. J. Phytoremediation 2017, 19, 755–764. [Google Scholar] [CrossRef]
- Changizi, F.; Haddad, A. Improving the geotechnical properties of soft clay with nano-silica particles. Proc. Inst. Civ. Eng. Ground Improv. 2017, 170, 62–71. [Google Scholar] [CrossRef]
- Soltani, A.; Taheri, A.; Khatibi, M.; Estabragh, A.R. Swelling Potential of a Stabilized Expansive Soil: A Comparative Experimental Study. Geotech. Geol. Eng. 2017, 35, 1717–1744. [Google Scholar] [CrossRef]
- Abena, M.T.B.; Li, T.; Shah, M.N.; Zhong, W. Biodegradation of total petroleum hydrocarbons (TPH) in highly contaminated soils by natural attenuation and bioaugmentation. Chemosphere 2019, 234, 864–874. [Google Scholar] [CrossRef]
- Herrero, J. Comparativa de Métodos de Descontaminación de Suelos Afectados Por Hidrocarburos. Aplicación a la Obra del Ave de Málaga; Universidad Politécnica de Madrid: Madrid, Spain, 2016. [Google Scholar]
- Jahandari, S.; Saberian, M.; Zivari, F.; Li, J.; Ghasemi, M.; Vali, R. Experimental study of the effects of curing time on geotechnical properties of stabilized clay with lime and geogrid. Int. J. Geotech. Eng. 2017, 13, 172–183. [Google Scholar] [CrossRef]
- Bahmani, S.H.; Farzadnia, N.; Asadi, A.; Huat, B.B. The effect of size and replacement content of nanosilica on strength development of cement treated residual soil. Constr. Build. Mater. 2016, 118, 294–306. [Google Scholar] [CrossRef]
- Quercia, G.; Brouwers, H.J.H. Application of nano-silica (nS) in concrete mixtures. In Proceedings of the 8th Fib PhD Symposium in Kgs, Lyngby, Denmark, 20 June 2010. [Google Scholar]
- Tomar, A.; Sharma, T.; Singh, S. Strength properties and durability of clay soil treated with mixture of nano silica and Polypropylene fiber. Mater. Today Proc. 2020, 26, 3449–3457. [Google Scholar] [CrossRef]
- Ren, X.; Hu, K. Effect of Nanosilica on the Physical and Mechanical Properties of Silty Clay. Nanosci. Nanotechnol. Lett. 2014, 6, 1010–1013. [Google Scholar] [CrossRef]
- García-Villacís, K.; Ramos-Guerrero, L.; Canga, J.L.; Hidalgo-Lasso, D.; Vargas-Jentzsch, P. Environmental Impact Assessment of Remediation Strategy in an Oil Spill in the Ecuadorian Amazon Region. Pollutants 2021, 1, 234–252. [Google Scholar] [CrossRef]
- Joju, M.R.; Chandrakaran, S. Comparative Study on Stabilization of Marine Clay Using Nano-silica and Lime. In Problematic Soils and Geoenvironmental Concerns; Lecture Notes in Civil Engineering; Springer: Singapore, 2020; pp. 407–420. [Google Scholar] [CrossRef]
- Rondón Afanador, C. Evaluación del Efecto de la Bioestimulación y Bioaumentación Durante el Tratamiento de Lodos Aceitosos Pesados; Master of Science; Pontificia Universidad Católica Javeriana: Bogotá, Colombia, 2021. [Google Scholar]
- Di Sante, M.; Fratalocchi, E.; Mazzieri, F.; Pasqualini, E. Time of reactions in a lime treated clayey soil and influence of curing conditions on its microstructure and behaviour. Appl. Clay Sci. 2014, 99, 100–109. [Google Scholar] [CrossRef]
- Ma, Y.; Dong, B.; He, X.; Shi, Y.; Xu, M.; He, X.; Du, X.; Li, F. Quicklime-induced changes of soil properties: Implications for enhanced remediation of volatile chlorinated hydrocarbon contaminated soils via mechanical soil aeration. Chemosphere 2017, 173, 435–443. [Google Scholar] [CrossRef]
- Yanguatin, H.; Tobón, J.; Ramírez, J. Reactividad puzolánica de arcillas caoliníticasuna revisión. Rev. Ing. Construcción 2017, 32, 13–24. [Google Scholar] [CrossRef]
- Jahandari, S.; Toufigh, M.M.; Li, J.; Saberian, M. Laboratory Study of the Effect of Degrees of Saturation on Lime Concrete Resistance Due to the Groundwater Level Increment. Geotech. Geol. Eng. 2017, 36, 413–424. [Google Scholar] [CrossRef]
- Ghavami, S.; Farahani, B.; Jahanbakhsh, H.; Nejad, F.M. Effects of Silica Fume and Nanosilica on the Engineering Properties of Kaolinite Clay. AUT J. Civ. Eng. 2018, 2, 135–142. [Google Scholar] [CrossRef]
- García, P.; Hernández, C. Influencia de la contaminación con diésel en las propiedades geotécnicas de un suelo fino. In Geotechnical Engineering in the XXI Century: Lessons Learned and Future Challenges; IOS Press: Amsterdam, The Netherlands, 2019; pp. 2439–2444. [Google Scholar] [CrossRef]
- Zahermand, S.; Vafaeian, M.; Bazyar, M.H. Analysis of the physical and chemical properties of soil contaminated with oily (petroleum) hydrocarbons. Earth Sci. Res. J. 2020, 24, 163–168. [Google Scholar] [CrossRef]
- Celin, S.M.; Sahai, S.; Kalsi, A.; Bhanot, P. Environmental monitoring approaches used during bioremediation of soils contaminated with hazardous explosive chemicals. Trends Environ. Anal. Chem. 2020, 26, e00088. [Google Scholar] [CrossRef]
- Timmer, N.; Gore, D.; Sanders, D.; Gouin, T.; Droge, S.T. Application of seven different clay types in sorbent-modified biodegradability studies with cationic biocides. Chemosphere 2020, 245, 125643. [Google Scholar] [CrossRef]
- Filho, A.C.C.; Penn, C.J.; Crusciol, C.A.; Calonego, J.C. Lime and phosphogypsum impacts on soil organic matter pools in a tropical Oxisol under long-term no-till conditions. Agric. Ecosyst. Environ. 2017, 241, 11–23. [Google Scholar] [CrossRef]
- Robles, G.; Méndez, J.; Solorza, O.; Barrera, J. Funcionalización de Ácidos Húmicos para el Atrapamiento de Hidrocarburos Policíclicos Aromáticos. Rev. Mex. Agroecosistemas 2016, 3, 156–164. [Google Scholar]
- Klučáková, M. Size and Charge Evaluation of Standard Humic and Fulvic Acids as Crucial Factors to Determine Their Environmental Behavior and Impact. Front. Chem. 2018, 6, 235. [Google Scholar] [CrossRef]
- Deng, Y.; Shi, X.; Revil, A.; Wu, J.; Ghorbani, A. Complex conductivity of oil-contaminated clayey soils. J. Hydrol. 2018, 561, 930–942. [Google Scholar] [CrossRef]
- Di Salvo, L.P.; Escobar Ortega, J.S.; García, I.E. Ecología microbiana del proceso de compostaje de suelo con-taminado con petróleo. In Biorremediación de Los Recursos Naturales (INTA Edi-Ciones); Brutti, L., Beltrán, M., García, I., Eds.; Instituto de Suelos, Centro de Investigación de Recursos Naturales: Buenos Aires, Argentina, 2018. [Google Scholar]
- Liu, X.; Ge, W.; Zhang, X.; Chai, C.; Wu, J.; Xiang, D.; Chen, X. Biodegradation of aged polycyclic aromatic hydrocarbons in agricultural soil by Paracoccus sp. LXC combined with humic acid and spent mushroom substrate. J. Hazard. Mater. 2019, 5, 120820. [Google Scholar] [CrossRef]
- Rice, E.; Baird, R.; Eaton, A. 2510 Method, Conductivity. In Standard Methods for the Examination of Water and Wastewader, 23rd ed.; American Public Health Association, American Water Works Association, Water Environment Federation: Washington, DC, USA, 2017; pp. 56–58. [Google Scholar]
- US EPA. Method 9045D. Soil and Waste pH (Revision 4); United States Environmental Protection Agency: Washington, DC, USA, 2004.
- FAO. Soil description. In Guidelines for Soil Description, 4th ed.; Food and Agriculture Organization of the United Nations: Roma, Italy, 2006; pp. 21–66. [Google Scholar]
- ASTM C830-00. Standard Test Methods for Apparent Porosity, Liquid Absorption, Apparent Specific Gravity, and Bulk Density of Refractory Shapes by Vacuum Pressure; ASTM International: West Conshohocken, PA, USA, 2006; Volume 15.01. [Google Scholar]
- ASTM C136/C136M-19. Standard Test Method for Sieve Analysis of Fine and Coarse Aggregates; ASTM International: West Conshohocken, PA, USA, 2019; Volume 04.02. [Google Scholar]
- ASTM D2216-98. Standard Test Method for Laboratory Determination of Water (Moisture) Content of Soil and Rock by Mass; ASTM International: West Conshohocken, PA, USA, 1998. [Google Scholar]
- ASTM F1647-11. Standard Test Methods for Organic Matter Content of Athletic Field Rootzone Mixes; ASTM International: West Conshohocken, PA, USA, 2018. [Google Scholar]
- US EPA. Method 9080. Cation-Exchange Capacity of Soils (Ammonium Acetate) (Revision 0); United States Environmental Protection Agency: Washington, DC, USA, 1986.
- ISO 19822:2018. Fertilizers and Soil Conditioners-Determination of Humic and Hydrphobic Fulvic Acids Concentratios in Fertilizer Materials, 1st ed.; ISO: Geneva, Switzerland, 2018. [Google Scholar]
- Jarukas, L.; Ivanauskas, L.; Kasparaviciene, G.; Baranauskaite, J.; Marksa, M.; Bernatoniene, J. Determination of Organic Compounds, Fulvic Acid, Humic Acid, and Humin in Peat and Sapropel Alkaline Extracts. Molecules 2021, 26, 2995. [Google Scholar] [CrossRef] [PubMed]
- US EPA. Method 6020B. EPA Method 6020B (SW-846): Inductively Coupled Plasma; Mass Spectrometry: Washington, DC, USA, 2014.
- HACH Method 8038. Nitrogen, Ammonia Editión 9. 2017.
- U.S. EPA Method 8015D. EPA Method 8015D (SW-846): Nonhalogenated Organics Using GC/FID, Revision 4. Washington, DC, USA. 2003.
- US EPA. Method 1664. Method 1664, Revision B: N-Hexane Extractable Material (HEM; Oil and Grease) and Silica Gel Treated n-Hexane Extractable Material (SGT-HEM; Non-polar Material) by Extraction and Gravimetry. Washington, DC, USA. 2010.
- AOAC. Method 2007.01. Pesticide Residues in Foods by Acetonitrile Extraction and Partitioning with Magnesium Sulfate; AOAC International: Rockville, MD, USA, 2005. [Google Scholar]
Publisher’s Note: MDPI stays neutral with regard to jurisdictional claims in published maps and institutional affiliations. |
© 2022 by the authors. Licensee MDPI, Basel, Switzerland. This article is an open access article distributed under the terms and conditions of the Creative Commons Attribution (CC BY) license (https://creativecommons.org/licenses/by/4.0/).




