Enhancing GNSS Robustness in Automotive Applications with Supercorrelation: Experimental Results in Urban Scenarios †
Abstract
1. Introduction
2. S-GNSS Background and Operation
3. FPP S-GNSS Receiver Architecture
4. Demonstrator
5. Test Setup
6. Results
6.1. Interesting Case Studies
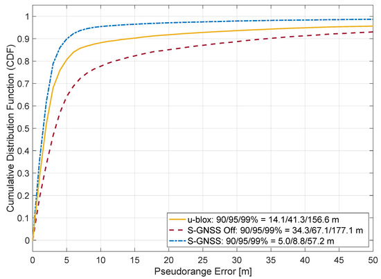
6.2. Pseudorange Error Analysis
6.3. Positioning Error Analysis
7. Conclusions
Author Contributions
Funding
Institutional Review Board Statement
Informed Consent Statement
Data Availability Statement
Conflicts of Interest
Abbreviations
| carrier-to-noise density ratio | |
| ADAS | Advanced Driver-Assistance System |
| CDF | Cumulative Distribution Function |
| COTS | Commercial-Off-The-Shelf |
| DLSU | Inertial Sensor Data Logging and Streaming Unit |
| ESA | European Space Agency |
| FPP | Focal Point Positioning |
| GNSS | Global Navigation Satellite System |
| GTS | Ground Truth System |
| IMU | Inertial Measurement Unit |
| LOS | Line-Of-Sight |
| NLOS | Non-Line-Of-Sight |
| NUC | Next Unit of Computing |
| PC | Personal Computer |
| PPP | Precise Point Positioning |
| PVT | Position, Velocity, and Time |
| RFFE | Radio-Frequency Front-End |
| RTK | real-time kinematic |
| S-GNSS | Supercorrelating Global Navigation Satellite System |
| SDR | Software-Defined Radio |
References
- Kaplan, E.D.; Hegarty, C.J. Understanding GPS: Principles and Applications, 2nd ed.; Artech House mobile communications series; Artech House: London, UK, 2006. [Google Scholar]
- Groves, P.D. Principles of GNSS, Inertial, and Multisensor Integrated Navigation Systems, 2nd ed.; Artech House: London, UK, 2013. [Google Scholar]
- Kuusniemi, H.; Wieser, A.; Lachapelle, G. User-level reliability and quality monitoring in urban personal navigation. GPS Solut. 2004, 8, 249–260. [Google Scholar]
- Zhu, N.; Marais, J.; Bétaille, D.; Berbineau, M. GNSS Position Integrity in Urban Environments: A Review of Literature. IEEE Trans. Intell. Transp. Syst. 2018, 19, 2762–2778. [Google Scholar] [CrossRef]
- Baselga, S.; García-Asenjo, L. Multipath Mitigation by Global Robust Estimation. J. Navig. 2008, 61, 385–392. [Google Scholar] [CrossRef]
- Reid, T.G.R.; Neish, A.M.H.; Walter, T.B.; Enge, P.K. Positioning, navigation, and timing for autonomous vehicles. IEEE Signal Process. Mag. 2018, 35, 42–53. [Google Scholar]
- Hsu, L.T. A survey on positioning techniques for autonomous driving. Robotics 2018, 7, 47. [Google Scholar]
- Pendão, C.; Silva, I.; Botelho, F.; Silva, H. GNSS Simulation for Automotive: Introducing 3D Scene-Dependent Multipath With CARLA. IEEE Access 2025, 13, 35376–35386. [Google Scholar] [CrossRef]
- Liu, C.; Gao, W.; Liu, T.; Wang, D.; Yao, Z.; Gao, Y.; Nie, X.; Wang, W.; Li, D.; Zhang, W.; et al. Design and implementation of a BDS precise point positioning service. Navig. J. Inst. Navig. 2020, 67, 875–891. [Google Scholar] [CrossRef]
- Suzuki, T. GNSS positioning using a 3D map. IEEE Trans. Intell. Transp. Syst. 2017, 18, 209–219. [Google Scholar]
- Yozevitch, R.; Ben-Moshe, B.; El-Shimoni, B. NLOS classification and mitigation in a dense urban area using a machine learning algorithm. Sensors 2016, 16, 2097. [Google Scholar]
- Bassma, G.; Tayeb, S.; Hassan, E.G.; Serge, R.; Esmail, A. A Map-Matching Based Approach to Compute and Modelize NLOS and Multipath Errors for GNSS Positioning in Hard Areas. J. Mob. Multimed. 2017, 13, 256–269. [Google Scholar]
- Zhang, T.; Zhou, L.; Feng, X.; Shi, J.; Zhang, Q.; Niu, X. INS-Aided GNSS Pseudo-Range Error Prediction Using Machine Learning for Urban Vehicle Navigation. IEEE Sensors J. 2024, 24, 9135–9147. [Google Scholar] [CrossRef]
- Ziedan, N.I. Optimized Position Estimation in Mobile Multipath Environments Using Machine Learning. Navig. J. Inst. Navig. 2023, 70, 1–20. [Google Scholar] [CrossRef]
- Garcia, J.G.; van der Merwe, J.R.; Esteves, P.; Jamal, D.; Benmendil, S.; Higgins, C.; Grey, R.; Coetzee, E.; Faragher, R. Development of a Custom GNSS Software Receiver Supporting Supercorrelation. Eng. Proc. 2023, 54, 9. [Google Scholar] [CrossRef]
- Inside GNSS. GNSS Supercorrelation to Increase Accuracy Is Basis of New Partnership of u-blox, Focal Point. Available online: https://insidegnss.com/gnss-supercorrelation-to-increase-accuracy-is-basis-of-new-partnership-of-u-blox-focal-point/ (accessed on 29 August 2025).
- Focal Point Positioning. Supercorrelation Technical Overview White Paper. 2022. Available online: https://focalpointpositioning.com/ASSETS/IMG/header-img/FOCALPOINT_Supercorrelation_Technical_Overview.pdf (accessed on 29 August 2025).
- Pany, T.; Riedl, B.; Winkel, J. The vector-DLL: A new tracking loop for high-dynamics and weak-signal applications. In Proceedings of the 18th International Technical Meeting of the Satellite Division of The Institute of Navigation (ION GNSS 2005), Long Beach, CA, USA, 13–16 September 2005; pp. 2577–2586. [Google Scholar]
- Caizzone, S.; Circiu, M.S.; Elmarissi, W.; Enneking, C.; Rippl, M.; Sgammini, M. The Role of Antennas on GNSS Pseudorange and Multipath Errors and Their Impact on DFMC Multipath Models for Avionics. Navig. J. Inst. Navig. 2022, 69, 1–26. [Google Scholar] [CrossRef]
- Jia, Q.; Hsu, L.T.; Xu, B.; Wu, R. A cost-effective beam forming structure for global navigation satellite system multipath mitigation and its assessment. J. Navig. 2021, 74, 425–445. [Google Scholar] [CrossRef]
- Wang, J.J.H. Antennas for Global Navigation Satellite System (GNSS). Proc. IEEE 2012, 100, 2349–2355. [Google Scholar] [CrossRef]
- Wieser, A.; Brunner, F.K. An antenna-based multipath mitigation technique. GPS Solut. 2002, 6, 84–96. [Google Scholar]
- Scire-Scappuzzo, F.; Makarov, S.N. A Low-Multipath Wideband GPS Antenna With Cutoff or Non-Cutoff Corrugated Ground Plane. IEEE Trans. Antennas Propag. 2009, 57, 33–46. [Google Scholar] [CrossRef]
- Jafarnia-Jahromi, A.; Broumandan, A.; Nielsen, J.; Lachapelle, G. GNSS software defined receiver capabilities in jamming and interference environments. Sensors 2012, 12, 16569–16592. [Google Scholar]
- Closas, P.; Fernández-Prades, C. Bayesian signal processing for GNSS. IEEE Signal Process. Mag. 2018, 35, 119–132. [Google Scholar]
- Kong, S.H. SDHT for Fast Detection of Weak GNSS Signals. IEEE J. Sel. Areas Commun. 2015, 33, 2366–2378. [Google Scholar] [CrossRef]
- Cortes Vidal, I.; Dietmayer, K.; Garzia, F.; Toca, C.; Overbeck, M.; Felber, W. Adaptive Ultra-Tight Integration Architecture for Robust GNSS Tracking. In Proceedings of the 2024 International Technical Meeting of The Institute of Navigation, Long Beach, CA, USA, 23–25 January 2024; pp. 964–986. [Google Scholar] [CrossRef]
- Faragher, R. Robust Positioning for Autonomous Systems in Cities. In Proceedings of the 33rd International Technical Meeting of the Satellite Division of The Institute of Navigation (ION GNSS+ 2020), online, 21–25 September 2020; pp. 2372–2388. [Google Scholar] [CrossRef]
- Lindstrom, C.; Christensen, R.; Gunther, J.; Jenkins, S. GPS-Denied Navigation Aided by Synthetic Aperture Radar Using the Range-Doppler Algorithm. Navig. J. Inst. Navig. 2022, 69, 1–29. [Google Scholar] [CrossRef]
- Groves, P.D.; Zhong, Q.; Faragher, R.; Esteves, P. Combining Inertially-aided Extended Coherent Integration (Supercorrelation) with 3D-Mapping-Aided GNSS. In Proceedings of the 33rd International Technical Meeting of the Satellite Division of The Institute of Navigation (ION GNSS+ 2020), online, 21–25 September 2020; pp. 2327–2346. [Google Scholar] [CrossRef]
- Faragher, R. Ubiquitous Navigation using S-GPS and D-Tail. In Proceedings of the 30th International Technical Meeting of the Satellite Division of The Institute of Navigation (ION GNSS+ 2017), Portland, OR, USA, 25–29 September 2017; pp. 328–344. [Google Scholar] [CrossRef]
- Faragher, R.; Powe, M.; Esteves, P.; Couronneau, N.; Crockett, M.; Martin, H.; Ziglioli, E.; Higgins, C. Supercorrelation as a Service: S-GNSS Upgrades for Smartdevices. In Proceedings of the 32nd International Technical Meeting of the Satellite Division of The Institute of Navigation (ION GNSS+ 2019), Miami, FL, USA, 16–20 September 2019; pp. 2372–2388. [Google Scholar] [CrossRef]
- Focal Point Positioning. Announcing Strategic Investment from GM Ventures and Collaboration with General Motors on Integration of Next Generation GPS Technologies. 2023. Available online: https://focalpointpositioning.com/insights/focalpoint-collab-with-general-motors-on-integration-of-next-generation-gps-technologies (accessed on 5 January 2023).
- Zhong, Q.; Groves, P.D. Multi-Epoch 3D-Mapping-Aided Positioning using Bayesian Filtering Techniques. Navig. J. Inst. Navig. 2022, 69, 1–36. [Google Scholar] [CrossRef]









Disclaimer/Publisher’s Note: The statements, opinions and data contained in all publications are solely those of the individual author(s) and contributor(s) and not of MDPI and/or the editor(s). MDPI and/or the editor(s) disclaim responsibility for any injury to people or property resulting from any ideas, methods, instructions or products referred to in the content. |
© 2025 by the authors. Licensee MDPI, Basel, Switzerland. This article is an open access article distributed under the terms and conditions of the Creative Commons Attribution (CC BY) license (https://creativecommons.org/licenses/by/4.0/).
Share and Cite
Garcia, J.G.; van der Merwe, J.R.; Mwenegoha, H.; Esteves, P.; Benmendil, S.; Coetzee, E.; Ellis, J.; Eriksson-Martin, H.; Grey, R.; Higgins, C.; et al. Enhancing GNSS Robustness in Automotive Applications with Supercorrelation: Experimental Results in Urban Scenarios. Eng. Proc. 2025, 88, 75. https://doi.org/10.3390/engproc2025088075
Garcia JG, van der Merwe JR, Mwenegoha H, Esteves P, Benmendil S, Coetzee E, Ellis J, Eriksson-Martin H, Grey R, Higgins C, et al. Enhancing GNSS Robustness in Automotive Applications with Supercorrelation: Experimental Results in Urban Scenarios. Engineering Proceedings. 2025; 88(1):75. https://doi.org/10.3390/engproc2025088075
Chicago/Turabian StyleGarcia, Javier Gonzalo, Johannes Rossouw van der Merwe, Hery Mwenegoha, Paulo Esteves, Samir Benmendil, Eugene Coetzee, James Ellis, Henry Eriksson-Martin, Rose Grey, Chris Higgins, and et al. 2025. "Enhancing GNSS Robustness in Automotive Applications with Supercorrelation: Experimental Results in Urban Scenarios" Engineering Proceedings 88, no. 1: 75. https://doi.org/10.3390/engproc2025088075
APA StyleGarcia, J. G., van der Merwe, J. R., Mwenegoha, H., Esteves, P., Benmendil, S., Coetzee, E., Ellis, J., Eriksson-Martin, H., Grey, R., Higgins, C., Jamal, D., Kokradi, S., Kurt, O., Faragher, R., & Crockett, M. (2025). Enhancing GNSS Robustness in Automotive Applications with Supercorrelation: Experimental Results in Urban Scenarios. Engineering Proceedings, 88(1), 75. https://doi.org/10.3390/engproc2025088075

