Next Article in Journal
Experimental Study of Amorphous Photovoltaic Systems in Indoor Performance with Different Coolants
Previous Article in Journal
Microstructural and Mechanical Analysis of Aluminum Joints Under Varying Rotational Speeds in Friction Welding with Post-Quenching
 
 
Font Type:
Arial Georgia Verdana
Font Size:
Aa Aa Aa
Line Spacing:
Column Width:
Background:
Proceeding Paper

Risk Mitigation Analysis for Tofu Production Process to Minimize Product Defects Using House of Risk Approach †

Department of Industrial Engineering, School of Industrial Engineering, Telkom University, Bandung 40257, Indonesia
*
Author to whom correspondence should be addressed.
Presented at the 8th Mechanical Engineering, Science and Technology International Conference, Padang Besar, Perlis, Malaysia, 11–12 December 2024.
Eng. Proc. 2025, 84(1), 19; https://doi.org/10.3390/engproc2025084019
Published: 28 January 2025

Abstract

Enhancing the sustainability of manufacturing systems requires reducing product defects through effective management of risks that impact product quality. A crucial component in minimizing defects is the adoption of robust risk management strategy. This study examines risk mitigation in the tofu production process to reduce product defects, by employing the House of Risk (HOR) framework to prioritize mitigation efforts. Data were collected through observations, in depth interviews, and focus group discussions, following the two-step HOR methodology. The analysis identified 12 risk events and seven risk agents, along with six prioritized mitigation strategies, based on the Aggregate Risk Potential (ARP) ranking of the identified risk agents. The highest-priority strategy involves developing standardized work instructions for the tofu production process. This study offers practical insights for companies seeking to lower defect rates, thereby supporting the sustainability of their manufacturing systems.

1. Introduction

In the era of Industry 4.0, company management is tasked with achieving sustainable production, which emphasizes reducing waste, minimizing pollution, and mitigating other adverse environmental impacts [1,2]. Sustainable production not only aligns with global environmental objectives but also significantly enhances the operational efficiency and long-term viability of manufacturing companies [3]. Improving sustainability in manufacturing systems can be effectively realized by minimizing product defects and reducing production disruptions, both of which contribute to reducing the environmental footprint associated with manufacturing activities [4].
The MD Tofu Factory, located in West Bandung and specializing in the production of yellow tofu, faces a persistent challenge of high defect rates in its production process. Data collected from 1 April to 20 April 2024, revealed a total of 6404 defective pieces, far exceeding the factory’s tolerance limits. As despicted in Figure 1, the defect rate surpasses the company’s acceptable thresholds, resulting in non-compliance with established product standards [5,6]. Such non-conformance indicates that products are not consistently meeting customer expectations, thereby impacting customer satisfaction and potentially leading to financial losses. In light of these challenges, it is essential to identify and address the root risk factors contributing to quality defects within the production process [7].
Several risks have been identified as directly impacting product quality. Previous research has highlighted that various risk factors in production processes can lead to defects in the final product [8,9]. A significant challenge for MD Tofu Factory lies in the absence of a comprehensive risk management strategy designed specifically for the tofu production process. Without an effective risk mitigation framework, the factory continues to encounter quality-related issues, further undermining its operational efficiency and product reliability.
The high defect rate at MD Tofu Factory poses a significant threat to production efficiency, customer satisfaction, and overall competitiveness. Continued production inefficiencies stemming from defects and quality inconsistencies can lead to financial losses and reputational damage [10]. In line with the factory’s objectives to achieve operational sustainability and adopt Industry 4.0 practices, there is an urgent need to implement a strategic approach to risk mitigation in the tofu production process. Promptly addressing this issue is crucial to ensuring product quality, reducing production costs, and enhancing customer satisfaction.
Based on ISO 31000:2018, risk management aims to increase the likelihood of success in managing projects and developing products [11]. Effective risk management involves identifying, analyzing, and controlling risks to protect workers, the environment, and the community. Additionally, it implements risk mitigation strategies aimed at minimizing both the likelihood and impact of the identified risks [12,13]. Risk mitigation, as a critical component of this process, involves making decisions based on comprehensive risk and exposure assessments to minimize the probability of risk occurrence and/or mitigate their negative impacts [13].
To prioritize risk mitigation actions, this research utilizes the house of risk (HOR) approach. The HOR method has been chosen for this study due to its structured framework for identifying and prioritizing risk mitigation actions. The HOR method integrates aspects of failure mode and effect analysis (FMEA) with elements of the house of quality (HOQ), making it particularly well-suited for comprehensive risk analysis and the strategic prioritization of preventive measures [14]. Its systematic approach to identifying and ranking risk agents based on their impact ensures a focused strategy for addressing risks that contribute to product defects [15]. Previous applications of the HOR method in contexts such as risk mitigation for hijab production [16] and reducing rework in the furniture industry [14] further demonstrate its versatility and effectiveness.
This study aims to provide essential insights and practical solutions reduce defect rates at the MD Tofu Factory. By identifying critical risk factors and developing targeted mitigation strategies, this research offers actionable recommendations to enhance product quality, reduce waste, and improve operational consistency. These advancements support the factory’s sustainability objectives and align with the broader goals of Industry 4.0, fostering efficient and environmentally friendly production practices.
The primary goal of this study is to analyze and implement risk mitigation strategies for the tofu production process, with the aim of minimizing product defects and supporting sustainable manufacturing practices. The HOR framework will be utilized to prioritize risk mitigation actions according to their potential impact. Expert input from company stakeholders with in-depth knowledge of tofu production will be incorporated into the analysis, ensuring that the proposed strategies are practical, effective, and aligned with the operational goals of MD Tofu Factory.
The findings of this study highlight key risk agents contributing to defects and present prioritized mitigation strategies, including the development of standardized work instructions and process improvements. The paper is organized as follows: Section 2 provides a comprehensive literature review and theoretical background, Section 3 outlines the research methodology, Section 4 presents the results and discusses the key findings, and Section 5 concludes the study.

2. Literature Review

The concept of sustainable production is increasingly important in the context of Industry 4.0, which emphasizes digital transformation, automation, and interconnected systems [17]. Sustainable production seeks to minimize environmental impact through resource optimization, waste reduction, and energy efficiency while maintaining profitability and operational effectiveness [18,19]. Research shows that minimizing product defects and enhancing process stability are key to achieving sustainability goals in manufacturing [20]. For instance, reducing production waste directly reduces costs and resource consumption, improving both ecological and economic outcomes [21]. This study applies sustainable production principles to reduce defects in tofu manufacturing, aligning with broader environmental and economic objectives.
Tofu production is a delicate process that can be significantly affected by various factors such as raw material variability, processing conditions, and human error [22]. Quality defects in tofu, such as inconsistencies in texture, color, and taste, can adversely affect consumer satisfaction and product marketability [22]. Previous studies have highlighted that effective quality control and robust risk management strategies are essential for maintaining product consistency [23]. The high defect rate at the MD Tofu Factory highlights deficienciesin its current quality management practices, necessitating a focused risk mitigation approach to improve production outcomes [24].
Risk management, as outlined in ISO 31000:2018, involves systematically identifying, assessing, and mitigating risks to enhance project success and operational efficiency [25]. Key components of this framework include risk identification, risk analysis, and the development of mitigation strategies to minimize both the likelihood and impact of risks [26]. Effective risk management protects workers, the environment, and stakeholders by proactively addressing potential threats [27]. This study leverages ISO 31000:2018 principles to guide the identification and prioritization of risks in tofu production.
The HOR methodology combines components of FMEA and the HOQ, offering a systematic framework for effective risk management [14,15]. The HOR approach comprises two main phases: (1) identifying risk events and their corresponding risk agents and (2) formulating prioritized mitigation strategies based on the aggregated risk priority (ARP) scores [28]. By combining risk analysis with strategic prioritization, HOR enables decision-makers to allocate resources effectively and focus on the most critical risk agents [28]. Previous studies have demonstrated the effectiveness of the HOR approach in managing risks across various sectors, including the food industry [29], textile production [30], and manufacturing operations [15]. This study applies HOR to identify and mitigate risks in tofu production, thereby improving quality consistency and reducing defect rates.
Research on HOR applications highlights its versatility in addressing complex production risks. Armala et al. (2024) used HOR to develop risk mitigation strategies for hijab production, resulting in significant reductions in production defects [16]. Winarso and Jufriyanto (2020) employed HOR to minimize rework and quality costs in the furniture manufacturing process [14]. These cases demonstrate the potential of HOR to systematically prioritize and mitigate risks in diverse manufacturing contexts, reinforcing its suitability for this study’s objectives.
Despite the demonstrated effectiveness of the HOR methodology, there is limited research applying this framework specifically to tofu production. This study fills this gap by analyzing risk factors and developing mitigation strategies tailored to the unique challenges of tofu manufacturing. By improving product quality and reducing defects, the study offers practical recommendations that contribute to the operational sustainability of tofu producers and align with the broader goals of Industry 4.0.

3. Research Methodology

This study employed a combination of observational data collection, in-depth interviews, and focus group discussions to identify and analyze the risks and processes involved in tofu production at MD Tofu Factory. Data were collected from three expert respondents—the director, head of production, and a production operator—who were selected due to their comprehensive knowledge of the tofu production process. The study utilized the HOR framework as a risk assessment tool to determine and prioritize actions for risk mitigation. The HOR framework is comprised of two main stages, HOR 1 and HOR 2, as shown in Figure 2 [31].
The HOR 1 stage focuses on identifying and assessing risks within the production process. Expert began by identifying critical production processes that significantly impact the quality of tofu. They then identified potential risk events, assigning each a severity rating ( S i ) to reflect the impact on production quality. Subsequently, they identified risk agents—the underlying causes or triggers of these risk events—and rated their occurrence levels ( O j ) to indicate how frequently they arise. This step aimed to determine the frequency of risk agent occurrences. To assess the influence of risk agents on risk events, the correlation ( R i j ) between the two was assessed using a scoring system: 0 for no correlation, 1 for low correlation, 3 for medium correlation, and 9 for high correlation [32]. Table 1 presents the criteria used to rate the severity of risk events and the occurrence frequency of risk agents. The aggregate risk priority (ARP) score was then calculated using the equation:
A R P j = O j S i R i j
In the HOR 2 stage, the focus shifts to developing and prioritizing risk mitigation strategies. Experts utilized Pareto analysis to identify and rank significant risk agents based on their contribution to the overall ARP score. Potential mitigation actions were then proposed to address each prioritized risk agent. The degree of difficulty ( D k ) associated with implementing each mitigation action was assessed on a scale of 3 (easy to apply), 4 (somewhat easy to apply), or 5 (difficult to apply) [33]. The correlation between risk mitigation actions and corresponding risk agents ( E j k ) was then scored using the same system as in HOR 1 [33]. To measure the overall impact of each proposed action, the total effectiveness ( T E k ) was calculated using:
T E k = A R P j E j k
Finally, the effectiveness-to-difficulty ( E T D k ) ratio was calculated to prioritize risk mitigation actions based on their relative effectiveness and ease of implementation, using the formula:
E T D k = T E k D k
This methodological approach ensures a systematic and practical way to identify, prioritize, and implement risk mitigation strategies, leveraging expert insights and the structured HOR framework to improve production processes and reduce defects.

4. Result and Discussion

The findings of the study are presented in this section, focusing on the identification of critical processes, risk events, and agents, as well as the formulation of effective risk mitigation strategies for MD Tofu Factory using the HOR methodology.
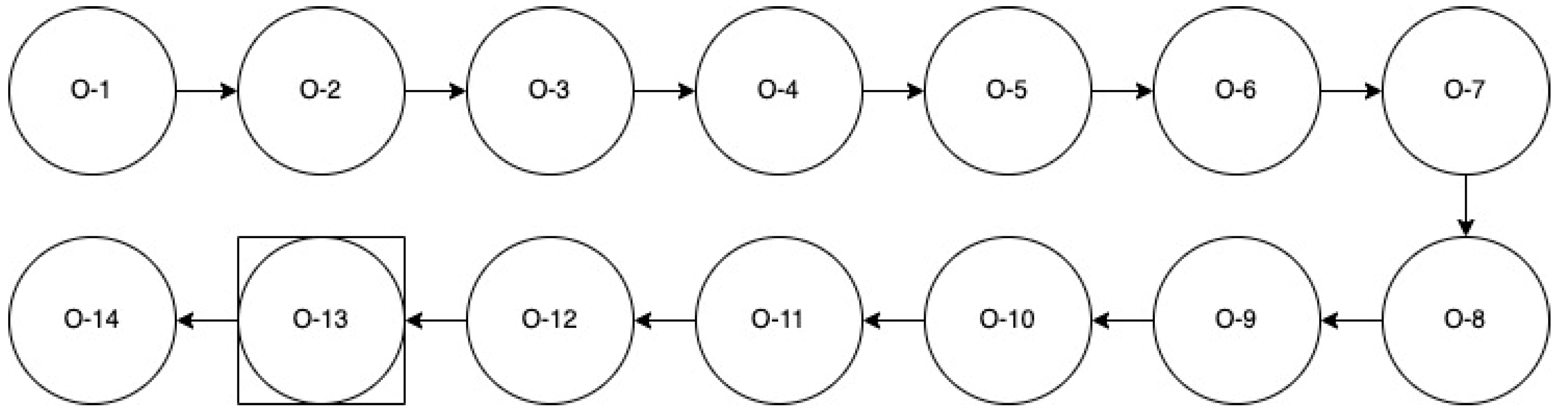
Based on observational data, Figure 3 depicts the operation chart of the tofu production process, while Table 2 outlines the key activities. A critical process is defined as any process that significantly impacts product quality and determines whether the product meets established standards. Through in-depth interviews with expert respondents, this study identified 14 operation processes, of which 11 were deemed critical. The O-13 activity represents a process in which operations and inspections are conducted simultaneously.
Table 3 presents the identified risk events for each critical process, along with their severity ratings based on established criteria. Meanwhile, Table 4 lists the risk agents, along with their occurrence levels. The HOR method allows one risk agent to contribute to multiple risk events, reflecting its complex impact within the production process.
Table 5 illustrates the calculation of the ARP. The correlation between risk events and risk agents ( R i j ) was assessed by the experts, using a scale to indicate the strength of their relationship (0 for no correlation, 1 for low, 3 for medium, and 9 for high correlation). For example, the relationship between the risk agent “operator error” (A1) and the risk event “measurement error” (E1) was deemed highly correlated. Risk agents were ranked based on their ARP scores, with “operator error” (A1) emerging as a top priority.
The Pareto diagram, shown in Figure 4, was employed as a statistical tool to prioritize the most impactful risk agents. The results indicate that risk agents A1 (operator error), A3, and A7 are the most critical and should be prioritized for mitigation efforts.
Table 6 outlines the top three risks and their corresponding mitigation strategies (preventive action/ P A k ), derived through discussions with expert respondents. Each risk agent may necessitate one or more preventive measures to effectively mitigate associated risks.
The degree of difficulty for implementing each preventive action and the calculation of the effectiveness-to-difficulty (ETD) ratio are presented in Table 7. First, experts evaluated the correlation between risk mitigation measures and risk agents ( E j k ). For instance, there was a strong correlation between “operator error” (A1) and the development of work instructions. The total effectiveness ( T E k ) was calculated for each mitigation strategy. Experts then evaluated the degree of difficulty ( D k ) for each action based on company conditions, using a scale where 3 represented “easy to apply”, 4 indicated “somewhat easy”, and 5 denoted “difficult”. For instance, creating a new tool (PA5) was rated as difficult due to budgetary constraints. Risk mitigation measures were then ranked based on their ETD scores.
The results indicate that creating work instructions for each process, including inspection procedures, is the most effective risk mitigation strategy. Work instructions serve as detailed, step-by-step guides, enabling operators to perform their tasks correctly and safely. Previous studies have demonstrated that well designed work instructions significantly reduce defects and enhance operational consistency [34]. Thus, developing and implementing detailed work instructions was selected as a primary mitigation measure for minimizing defects.
In comparing the existing and proposed solutions, four key defects were identified as critical to quality (CTQ) for the MD Tofu Factory’s production process: excessively thin product width, stained products, fragile texture, and unpleasant odor. The most common production failures led to defects related to product width and texture. During data collection from 1 April to 20 April 2024, a total of 6404 defective products were recorded. Given an estimated loss of IDR 500 per defective unit, this equates to a total financial impact of IDR 3,202,000 over 20 days.
To mitigate these issues, this study proposed the development of a standard operating procedure (SOP) focused on equipment maintenance and process improvement. By addressing two out of the four CTQs, the proposed SOP is expected to reduce defect occurrences by up to 50%, translating to cost savings of approximately IDR 1,601,000. This reflects a notable reduction in defect-related costs and an improvement in operational efficiency.
The economic viability of the proposed solution was assessed through a benefit–cost ratio (BCR) analysis. Implementation costs include a fee of IDR 300,000 for outsourced technician services and IDR 1,100,000 for part maintenance and repairs, resulting in a total cost of IDR 1,400,000. The BCR calculation yields a ratio of 1.143 (1,400,000/1,601,000), indicating that the anticipated benefits surpass the associated costs, confirming the economic value of the proposed SOP as a cost-effective measure to reduce defects and enhance product quality.
This study employed the HOR framework to prioritize risk mitigation efforts. HOR combines the methodologies of FMEA and the HOQ, making it a systematic and adaptable tool for risk management across various types of organizations. Although the types of risks, agents, and mitigation measures may vary, the procedure remains consistent, allowing for broad applicability [35]. However, HOR has limitations such as its reliance on accurate data for identifying and analyzing risks, as well as the time-consuming nature of expert consultations during data collection and risk evaluation.
Risk management is an ongoing, dynamic process that must adapt to new risk events as they arise [36]. Organizations should periodically review and update their risk management strategies to ensure alignment with current operational objectives [37]. The integration of HOR with technological tools can further enhance the risk management process, as demonstrated by studies such as those by Salma et al. [38]. Consequently, this study recommends that MD Tofu Factory regularly reassess and update its risk mitigation strategies, leveraging technological advancements to enhance the process.

5. Conclusions

This study analyzed risk mitigation strategies in the tofu production process minimize product defects. The HOR framework was employed to prioritize mitigation actions, identifying 12 risk events and seven risk agents. The findings revealed that the most effective strategy is the creation of detailed work instructions for each process, including inspection procedures. These instructions aim to guide operators in performing their tasks accurately and safely, a practice supported by previous research as a means to significantly reduce defects and improve operational consistency.
In comparison to the existing processes, the study identified four CTQ defects—excessively thin product width, stained products, fragile texture, and unpleasant odor. These defects were primarily linked to product width and texture. To address these issues, the study proposes a SOP focused on equipment maintenance and process improvements, expected to reduce defects by up to 50%. A BCR analysis confirmed the economic viability of the SOP, showing that the benefits outweigh the implementation costs, demonstrating its effectiveness and economic feasibility.
While the HOR framework provided valuable insights, it has some limitations, such as its reliance on accurate data and the time-consuming nature of expert consultations during risk evaluation. Nonetheless, HOR remains a useful tool for systematic risk management, and this study recommends that MD Tofu Factory periodically review and update its risk mitigation strategies. Incorporating technological innovations into the risk management process could further enhance its effectiveness.

Author Contributions

Conceptualization, H.S. and S.A.S.; methodology, S.A.S.; software, H.R.; validation, H.S., S.A.S. and H.R.; formal analysis, H.S.; investigation, S.A.S.; resources, H.R.; data curation, H.R. and S.A.S.; writing—original draft preparation, S.A.S.; writing—review and editing, H.S.; visualization, H.R.; supervision, H.S. and S.A.S.; project administration, S.A.S.; funding acquisition, H.S. All authors have read and agreed to the published version of the manuscript.

Funding

This research received no external funding. The APC was funded by Universitas Telkom.

Institutional Review Board Statement

Not applicable.

Informed Consent Statement

Not applicable.

Data Availability Statement

Data are contained within the article.

Acknowledgments

The authors are grateful to MD Tofu in Bandung City for providing the opportunity to conduct this research. Special thanks go to the owner and staff of MD Tofu for their professional expertise, extensive knowledge of the tofu production process, and support during the interview process. The authors also express their gratitude to the committee of the International Conference on Engineering Technology and Industrial Application (ICETIA) 2024 for the opportunity to present this study. Furthermore, the authors extend their appreciation to the Directorate of Research and Community Service at Telkom University for supporting the administrative processes.

Conflicts of Interest

The authors declare no conflicts of interest.

References

  1. Fadia, R.N.; Dwi, R.; Anisa, A. Risk mitigation of sustainable supply chain for food product based on apple commodity. Russ. J. Agric. Socio-Econ. Sci. 2019, 96, 60–68. [Google Scholar]
  2. Koska, A.; Erdem, M.B. Performance analysis of manufacturing waste using SWARA and VIKOR methods: Evaluation of Turkey within the scope of the circular economy. Sustainability 2023, 15, 12110. [Google Scholar] [CrossRef]
  3. Buitrago-Leiva, J.N.; Camps, A.; Moncada Niño, A. Considerations for Eco-LeanSat Satellite Manufacturing and Recycling. Sustainability 2024, 16, 4933. [Google Scholar] [CrossRef]
  4. Psarommatis, F.; Sousa, J.; Mendonça, J.P.; Kiritsis, D. Zero-defect manufacturing the approach for higher manufacturing sustainability in the era of industry 4.0: A position paper. Int. J. Prod. Res. 2022, 60, 73–91. [Google Scholar] [CrossRef]
  5. Qatrunnada, H.; Lubis, M.Y.; Salma, S.A. Perancangan Tempat Penyimpanan Jarum untuk Meminimasi Defect Produk Celana Jeans pada Proses Sewing di PT XYZ Menggunakan Metode QFD. J. Pendidik. Dan Konseling 2022, 4, 4168–4182. [Google Scholar]
  6. Faza, M.T.; Sutari, W.; Amalia, S. Perancangan Perbaikan Pada Mesin Slicer Untuk Meminimasi Jumlah Defect Pada Proses Slicing di Perusahaan Meat Processing Menggunakan Metode QFD. Ranah Res. J. Multidiscip. Res. Dev. 2024, 6, 197–207. [Google Scholar] [CrossRef]
  7. Neumann, W.P.; Winkelhaus, S.; Grosse, E.H.; Glock, C.H. Industry 4.0 and the human factor—A systems framework and analysis methodology for successful development. Int. J. Prod. Econ. 2021, 233, 107992. [Google Scholar] [CrossRef]
  8. Reiman, A.; Kaivo-oja, J.; Parviainen, E.; Takala, E.-P.; Lauraeus, T. Human factors and ergonomics in manufacturing in the industry 4.0 context—A scoping review. Technol. Soc. 2021, 65, 101572. [Google Scholar] [CrossRef]
  9. Nurfadillah, S.; Budiraharjo, K.; Roessali, W. Prioritas dan strategi penanganan risiko produksi pada industri tahu di kabupaten grobogan. Agritech J. Fak. Pertan. Univ. Muhammadiyah Purwok. 2020, 22. [Google Scholar] [CrossRef]
  10. Anderson, D.M. Design for Manufacturability: How to Use Concurrent Engineering to Rapidly Develop Low-Cost, High-Quality Products for Lean Production; Productivity Press: New York, NY, USA, 2020. [Google Scholar]
  11. Oliva, F.L. A maturity model for enterprise risk management. Int. J. Prod. Econ. 2016, 173, 66–79. [Google Scholar] [CrossRef]
  12. Ahmed, A.; Kayis, B.; Amornsawadwatana, S. A review of techniques for risk management in projects. Benchmarking Int. J. 2007, 14, 22–36. [Google Scholar] [CrossRef]
  13. Bruinen De Bruin, Y.; Lahaniatis, M.; Papameletiou, D.; Del Pozo, C.; Reina, V.; Van Engelen, J.; Heinemeyer, G.; Viso, A.C.; Rodriguez, C.; Jantunen, M. Risk management measures for chemicals in consumer products: Documentation, assessment, and communication across the supply chain. J. Expo. Sci. Environ. Epidemiol. 2007, 17, S55–S66. [Google Scholar] [CrossRef] [PubMed]
  14. Winarso, K.; Jufriyanto, M. Rework Reduction and Quality Cost Analysis of Furniture Production Processes Using the House of Risk (HOR). J. Phys. Conf. Ser. 2020, 1569, 032022. [Google Scholar] [CrossRef]
  15. Meilina, N.S. Designing Risk Mitigation in Supply Chain Management with Supply Chain Operations Reference (SCOR) Approach Using House of Risk (Hor) Method (Case Study: Pt. Tamura Air Conditioning Indonesia); Universitas Islam Indonesia: Yogyakarta, Indonesia, 2024. [Google Scholar]
  16. Armala, S.P.; Safrudin, Y.N.; Susanto, H. Usulan Mitigasi Risiko Menggunakan Metode House of Risk (HOR) pada Divisi Produksi UMKM Odelia Hijab. Ranah Res. J. Multidiscip. Res. Dev. 2024, 6, 1529–1536. [Google Scholar] [CrossRef]
  17. Enyoghasi, C.; Badurdeen, F. Industry 4.0 for sustainable manufacturing: Opportunities at the product, process, and system levels. Resour. Conserv. Recycl. 2021, 166, 105362. [Google Scholar] [CrossRef]
  18. Tang, C.S.; Zhou, S. Research advances in environmentally and socially sustainable operations. Eur. J. Oper. Res. 2012, 223, 585–594. [Google Scholar] [CrossRef]
  19. Yu, V.F.; Aloina, G.; Susanto, H.; Effendi, M.K.; Lin, S.-W. Regional location routing problem for waste collection using hybrid genetic algorithm-simulated annealing. Mathematics 2022, 10, 2131. [Google Scholar] [CrossRef]
  20. Rodriguez Delgadillo, R.; Medini, K.; Wuest, T. A DMAIC framework to improve quality and sustainability in additive manufacturing—A case study. Sustainability 2022, 14, 581. [Google Scholar] [CrossRef]
  21. Ekins, P.; Hughes, N.; Brigenzu, S.; Arden Clark, C.; Fischer-Kowalski, M.; Graedel, T.; Hajer, M.; Hashimoto, S.; Hatfield-Dodds, S.; Havlik, P. Resource efficiency: Potential and economic implications; United Nations Environment Program (UNEP): Paris, France, 2016. [Google Scholar]
  22. Zheng, L.; Regenstein, J.M.; Teng, F.; Li, Y. Tofu products: A review of their raw materials, processing conditions, and packaging. Compr. Rev. Food Sci. Food Saf. 2020, 19, 3683–3714. [Google Scholar] [CrossRef]
  23. Qamar, S.Z.; Al-Hinai, N.; Márquez, F.P.G. Quality Control and Quality Assurance: Techniques and Applications; BoD–Books on Demand: Hamburg, Germany, 2024. [Google Scholar]
  24. Munir, M.; Jajja, M.S.S.; Chatha, K.A.; Farooq, S. Supply chain risk management and operational performance: The enabling role of supply chain integration. Int. J. Prod. Econ. 2020, 227, 107667. [Google Scholar] [CrossRef]
  25. Parviainen, T.; Goerlandt, F.; Helle, I.; Haapasaari, P.; Kuikka, S. Implementing Bayesian networks for ISO 31000: 2018-based maritime oil spill risk management: State-of-art, implementation benefits and challenges, and future research directions. J. Environ. Manag. 2021, 278, 111520. [Google Scholar] [CrossRef] [PubMed]
  26. Chandani, P.; Gupta, C. A Systematic Literature Review on Risk Assessment and Mitigation Approaches in Requirement Engineering. Res. Anthol. Agil. Softw. Softw. Dev. Test. 2022, 2082–2104. [Google Scholar] [CrossRef]
  27. Goni, K.M.; Mohammed, A.; Sundararajan, S.; Kassim, S.I. Proactive Risk Management in Smart Manufacturing: A Comprehensive Approach to Risk Assessment and Mitigation. In Artificial Intelligence Solutions for Cyber-Physical Systems; Auerbach Publications: New York, NY, USA, 2024; pp. 139–164. [Google Scholar]
  28. Meshram, S.N.; Rajiv, B. Implementation of Quality Risk Management by Application of HOR Method in Drug Development Process. In Proceedings of the 2nd Indian International Conference on Industrial Engineering and Operations Management Warangal, Telangana, India, 16–18 August 2022. [Google Scholar]
  29. Wahyuni, D.; Nasution, A.; Budiman, I.; Arfidhila, N. Halal risk analysis at Indonesia slaughterhouses using the supply chain operations reference (SCOR) and house of risk (HOR) methods. J. Phys. Conf. Ser. 2020, 1542, 012001. [Google Scholar] [CrossRef]
  30. Khairika, R. Risk Management Analysis at The Sewing Department Using the House Of Risk (HOR) Method (Case Study: PT. Sandang Asia Maju Abadi); Universitas Islam Indonesia: Yogyakarta, Indonesia, 2024. [Google Scholar]
  31. Lestari, F.; Mas’ari, A.; Meilani, S.; Riandika, I.N.; Hamid, A.B.A. Risk mitigation via integrating house of risk and probability impact matrix in halal food supply chain. J. Tek. Ind. 2021, 22, 138–154. [Google Scholar] [CrossRef]
  32. Tang, L.-L.; Chen, S.-H.; Lin, C.-C. Integrating fmea and the Kano model to improve the service quality of logistics centers. Processes 2020, 9, 51. [Google Scholar] [CrossRef]
  33. Shahin, A. Integration of FMEA and the Kano model: An exploratory examination. Int. J. Qual. Reliab. Manag. 2004, 21, 731–746. [Google Scholar] [CrossRef]
  34. Kraiger, K.; Ford, J.K. The science of workplace instruction: Learning and development applied to work. Annu. Rev. Organ. Psychol. Organ. Behav. 2021, 8, 45–72. [Google Scholar] [CrossRef]
  35. Nyoman Pujawan, I.; Geraldin, L.H. House of risk: A model for proactive supply chain risk management. Bus. Process Manag. J. 2009, 15, 953–967. [Google Scholar] [CrossRef]
  36. Rosenberg, L.; Gallo, A.; Parolek, F. Continuous risk management structure of functions at NASA. In Proceedings of the Space Technology Conference and Exposition, Albuquerque, NM, USA, 28–30 September 1999; p. 4455. [Google Scholar]
  37. Khairunnisa, A.; Salma, S.A.; Susanto, H. Designing a Risk Register Dashboard using the Human Centered Design Method to Increase the Risk Management Effectiveness. JRSI J. Rekayasa Sist. Dan Ind. 2024, 11, 69–74. [Google Scholar]
  38. Salma, S.A.; Safrudin, Y.N.; Budiasih, E. A Conceptual Design for Smart Risk Assessment. E3S Web Conf. 2024, 517, 05020. [Google Scholar] [CrossRef]
Figure 1. Defect rate.
Figure 1. Defect rate.
Engproc 84 00019 g001
Figure 2. Methodology of research.
Figure 2. Methodology of research.
Engproc 84 00019 g002
Figure 3. Operation chart.
Figure 3. Operation chart.
Engproc 84 00019 g003
Figure 4. Pareto diagram.
Figure 4. Pareto diagram.
Engproc 84 00019 g004
Table 1. Description of activities [33].
Table 1. Description of activities [33].
RatingSeverity CriteriaOccurrence Criteria
1NoAlmost Never
2Very SlightRemote
3SlightVery Slight
4MinorSlight
5ModerateLow
6SignificantMedium
7MajorModerately High
8ExtremeHigh
9SeriousVery High
10HazardousAlmost Certain
Table 2. Detail of activities (based on operation chart).
Table 2. Detail of activities (based on operation chart).
CodeDescriptionCritical Process (Yes/No)
O-1Measuring the weight of soybean raw materialsYes
O-2Soaking soybean seedsYes
O-3Grinding soybeans using a machineYes
O-4Adding water to the milling machineNo
O-5Transferring the grinding results to the boiling placeYes
O-6Boiling soybean seeds with firewoodNo
O-7Filtering the boiled product to another place (barrel)No
O-8Adding soybean juice with vinegarYes
O-9Shaping the tofuYes
O-10Compacting/pressing tofuYes
O-11Cutting tofu into small piecesYes
O-12Boiling tofu with natural coloring or turmeric waterYes
O-13Draining, cooling and inspecting yellow tofuYes
O-14PackagingYes
Table 3. Risk event identification.
Table 3. Risk event identification.
ActivityRisk EventCode Severity   ( S i )
Measuring the weight of soybean raw materialsMeasurement error E16
Soaking soybean seedsSoybeans soaked for too long, potentially causing unpleasant scentE28
Soaking water contaminated with rainwaterE38
Grinding soybeans using a machineThe milling machine is broken, which causing a pile-up of previous workstationsE410
Transferring the grinding results to the boiling placeProducts contaminated with foreign objectsE56
Adding soybean juice with vinegarIncorrect dosage of vinegarE69
Shaping the tofuProducts contaminated with saliva and sweatE710
Compacting/pressing tofuWhen the coagulation process is not perfect, and the tofu is destroyed when pressedE810
Cutting tofu into small piecesErrors in cutting tofu so that it becomes wasteE98
Boiling tofu with natural coloring or turmeric waterErrors in the dosage of coloring in the boiling water so that the color of the tofu is too paleE106
Draining, cooling, and inspecting yellow tofuTofu is destroyed in the process of being transferred to the shelfE119
PackagingPackaging leaks or does not meet standardsE129
Table 4. Risk agent identification.
Table 4. Risk agent identification.
Risk AgentCode Occurence   ( S i )
Operators are not careful A110
Rainwater enters the soybean seed soaking placeA26
Operators do not perform maintenance on the machine properlyA310
Operators do not maintain the cleanliness of raw materialsA46
Operators do not measure properlyA56
Operators do not use mouth guardsA68
Inspection process is not carried out before the pressing process is carried outA710
Table 5. Calculation of ARP scores.
Table 5. Calculation of ARP scores.
Risk AgentRisk EventOccurrence RatingARPRanking
E1E2E3E4E5E6E7E8E9E10E11E12
A19900333099991048901
A200900000000064326
A3000900000000109002
A400009000000063247
A590000900000068104
A600000090000087205
A7000000090000109003
Severity Rating688106910108699
Table 6. Risk mitigation.
Table 6. Risk mitigation.
Risk AgentCodeRisk MitigationCode
Operators are not careful (operator error)A1Create work instructions for each processPA1
Provide trainingPA2
Operators do not perform maintenance on the machine properlyA3Create SOP for machine maintenancePA3
Create routine machine maintenance schedulesPA4
Inspection process is not carried out before the pressing process is carried outA7Create tools to help in the pressing processPA5
Create inspection work instructionsPA6
Table 7. Calculation of ETD.
Table 7. Calculation of ETD.
Risk AgentPreventive Action (Risk Mitigation)ARP
PA1PA2PA3PA4PA5PA6
A19910994890
A3139900900
A7930099900
Total Effectiveness53,01049,41012,990810052,11052,110
Degree of Difficulty343353
ETD17,67012,352.54330270010,42217,370
Ranking135642
Disclaimer/Publisher’s Note: The statements, opinions and data contained in all publications are solely those of the individual author(s) and contributor(s) and not of MDPI and/or the editor(s). MDPI and/or the editor(s) disclaim responsibility for any injury to people or property resulting from any ideas, methods, instructions or products referred to in the content.

Share and Cite

MDPI and ACS Style

Susanto, H.; Salma, S.A.; Rahmani, H. Risk Mitigation Analysis for Tofu Production Process to Minimize Product Defects Using House of Risk Approach. Eng. Proc. 2025, 84, 19. https://doi.org/10.3390/engproc2025084019

AMA Style

Susanto H, Salma SA, Rahmani H. Risk Mitigation Analysis for Tofu Production Process to Minimize Product Defects Using House of Risk Approach. Engineering Proceedings. 2025; 84(1):19. https://doi.org/10.3390/engproc2025084019

Chicago/Turabian Style

Susanto, Hadi, Sheila Amalia Salma, and Hanifa Rahmani. 2025. "Risk Mitigation Analysis for Tofu Production Process to Minimize Product Defects Using House of Risk Approach" Engineering Proceedings 84, no. 1: 19. https://doi.org/10.3390/engproc2025084019

APA Style

Susanto, H., Salma, S. A., & Rahmani, H. (2025). Risk Mitigation Analysis for Tofu Production Process to Minimize Product Defects Using House of Risk Approach. Engineering Proceedings, 84(1), 19. https://doi.org/10.3390/engproc2025084019

Article Metrics

Back to TopTop