Enhanced Pedestrian Dead Reckoning Sensor Fusion for Firefighting †
Abstract
:1. Introduction
2. Sensor Data Processing Algorithms
2.1. Step-Length Estimation
2.2. Sensor Data Fusion
3. Enhanced Pedestrian Dead Reckoning System
3.1. Robust Step-Length Estimation and Secondary Sensor Setup
3.2. Sensor Fusion Algorithm
3.3. Sensor Hardware Assembly
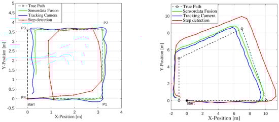
4. Results
5. Conclusions
Author Contributions
Funding
Institutional Review Board Statement
Informed Consent Statement
Data Availability Statement
Conflicts of Interest
References
- Atemschutzunfälle.eu. Unfälle in Amerika. 2023. Available online: https://www.atemschutzunfaelle.de/unfaelle/amerika/ (accessed on 21 December 2023).
- Damaševicius, R.; Bacanin, N.; Misra, S. From Sensors to Safety: Internet of Emergency Services (IoES) for Emergency Response and Disaster Management. J. Sens. Actuator Netw. 2023, 12, 41. [Google Scholar] [CrossRef]
- Lu, C.; Uchiyama, H.; Thomas, D.; Shimada, A.; Taniguchi, R.-I. Indoor positioning system based on chest-mounted IMU. Sensors 2019, 19, 420. [Google Scholar] [CrossRef] [PubMed]
- Wang, Q.; Luo, H.; Zhao, F.; Shao, W. An indoor self-localization algorithm using the calibration of the online magnetic fingerprints and indoor landmarks. In Proceedings of the 2016 International Conference on Indoor Positioning and Indoor Navigation (IPIN), Alcala de Henares, Spain, 4–7 October 2016. [Google Scholar]
- Arumugam, D.D.; Littlewood, P.; Peng, N.; Mishra, D. Long-Range Through-the-Wall Magnetoqua sistatic Coupling and Application to Indoor Position Sensing. IEEE Antennas Wirel. Propag. Lett. 2020, 19, 507–511. [Google Scholar] [CrossRef]
- Cong, L.; Tian, J.; Qin, H. Practical Step Length Estimation Combining FM Radio Signal and Accelerometer. IEEE Trans. Instrum. Meas. 2023, 72, 1–13. [Google Scholar] [CrossRef]
- Hou, X.; Bergmann, J. Pedestrian Dead Reckoning with Wearable Sensors: A Systematic Review. IEEE Sens. J. 2021, 21, 143–152. [Google Scholar] [CrossRef]
- Shin, S.H.; Park, C.G.; Kim, J.W.; Hong, H.S.; Lee, J.M. Adaptive Step Length Estimation Algorithm Using Low-Cost MEMS Inertial Sensors. In Proceedings of the 2007 IEEE Sensors Applications Symposium, San Diego, CA, USA, 6–8 February 2007. [Google Scholar]
- Zhao, Y.; Wang, J.; Duan, C. Design and application research of mine underground disaster relief personnel positioning system based on MEMS sensor. In Proceedings of the International Conference on Neural Networks, Information, and Communication Engineering (NNICE 2022), Qingdao, China, 25–27 March 2022; SPIE: Bellingham, WA, USA, 2022; Volume 12258, pp. 695–704. [Google Scholar]
- NIST SEMATECH. NIST/SEMATECH e-Handbook of Statistical Methods. 2012. Available online: https://www.itl.nist.gov/div898/handbook/ (accessed on 21 December 2023).
- Weinberg, H. Using the ADXL202 in Pedometer and Personal Navigation Applications. 2002. Available online: https://www.analog.com/media/en/technical-documentation/application-notes/513772624an602.pdf (accessed on 21 December 2023).
- Hajati, N.; Rezaeizadeh, A. A Wearable Pedestrian Localization and Gait Identification System Using Kalman Filtered Inertial Data. IEEE Trans. Instrum. Meas. 2021, 70, 2507908. [Google Scholar] [CrossRef]
- Petukhov, N.I.; Zamolodchikov, V.N.; Malyshev, A.P.; Brovko, T.A.; Serov, S.A.; Korogodin, I.V. Synthesis of PDR Algorithm and Experimental Estimation of Accuracy of Step Length Estimation Methods. In Proceedings of the 2022 4th International Youth Conference on Radio Electronics, Electrical and Power Engineering (REEPE), Moscow, Russia, 17–19 March 2022. [Google Scholar]
- Zhao, T.; Ahamed, M.J. Pseudo-Zero Velocity Re-Detection Double Threshold Zero-Velocity Update (ZUPT) for Inertial Sensor-Based Pedestrian Navigation. IEEE Sens. J. 2021, 21, 13772–13785. [Google Scholar] [CrossRef]
- Zizzo, G.; Ren, L. Position Tracking During Human Walking Using an IntegratedWearable Sensing System. Sensors 2017, 27, 2866. [Google Scholar] [CrossRef] [PubMed]
- Chui, C.K.; Chen, G. Kalman Filtering: With Real-Time Applications, 4th ed.; Springer: Berlin/Heidelberg, Germany, 2009. [Google Scholar]
- Welch, G.; Bishop, G. An Introduction to the Kalman Filter. 2006. Available online: https://www.cs.unc.edu/~welch/media/pdf/kalman_intro.pdf (accessed on 21 December 2023).
- Zaarane, A.; Slimani, I.; Al Okaishi, W.; Atouf, I.; Hamdoun, A. Distance measurement system for autonomous vehicles using stereo camera. Array 2020, 5, 100016. [Google Scholar] [CrossRef]
- Caron, F.; Duflos, E.; Pomorski, D.; Vanheeghe, P. GPS/IMU data fusion using multisensor Kalmanfiltering: Introduction of contextual aspects. Inf. Fusion 2006, 7, 221–230. [Google Scholar] [CrossRef]
- Sadruddin, H.; Mahmoud, A.; Atia, M.M. Enhancing Body-Mounted LiDAR SLAM using an IMU-based Pedestrian Dead 278 Reckoning (PDR) Model. In Proceedings of the 2020 IEEE 63rd International Midwest Symposium on Circuits and Systems (MWSCAS), Springfield, MA, USA, 9–12 August 2020; pp. 901–904. [Google Scholar]



| Estimation Method | P1 | P2 | P3 | P4 |
|---|---|---|---|---|
| Step-detection | 1.60 m | 2.45 m | 2.44 m | 1.80 m |
| Sensor data Fusion | 0.28 m | 0.42 m | 0.27 m | 0.32 m |
| Low tracking confidence S.F | 0.66 m | 0.68 m | 0.76 m | 0.54 m |
| Tracking Camera only | 0.27 m | 0.43 m | 0.24 m | 0.29 m |
Disclaimer/Publisher’s Note: The statements, opinions and data contained in all publications are solely those of the individual author(s) and contributor(s) and not of MDPI and/or the editor(s). MDPI and/or the editor(s) disclaim responsibility for any injury to people or property resulting from any ideas, methods, instructions or products referred to in the content. |
© 2023 by the authors. Licensee MDPI, Basel, Switzerland. This article is an open access article distributed under the terms and conditions of the Creative Commons Attribution (CC BY) license (https://creativecommons.org/licenses/by/4.0/).
Share and Cite
Augustin, T.; Ossmann, D. Enhanced Pedestrian Dead Reckoning Sensor Fusion for Firefighting. Eng. Proc. 2023, 58, 24. https://doi.org/10.3390/ecsa-10-16032
Augustin T, Ossmann D. Enhanced Pedestrian Dead Reckoning Sensor Fusion for Firefighting. Engineering Proceedings. 2023; 58(1):24. https://doi.org/10.3390/ecsa-10-16032
Chicago/Turabian StyleAugustin, Tobias, and Daniel Ossmann. 2023. "Enhanced Pedestrian Dead Reckoning Sensor Fusion for Firefighting" Engineering Proceedings 58, no. 1: 24. https://doi.org/10.3390/ecsa-10-16032
APA StyleAugustin, T., & Ossmann, D. (2023). Enhanced Pedestrian Dead Reckoning Sensor Fusion for Firefighting. Engineering Proceedings, 58(1), 24. https://doi.org/10.3390/ecsa-10-16032

