Next Article in Journal
Enhanced Pedestrian Dead Reckoning Sensor Fusion for Firefighting
Previous Article in Journal
An Effective Network Intrusion Detection System Using Recursive Feature Elimination Technique
 
 
Font Type:
Arial Georgia Verdana
Font Size:
Aa Aa Aa
Line Spacing:
Column Width:
Background:
Proceeding Paper

Exploring the Contribution of PNT LEO Satellites to Precise Positioning Applications †

GMV, Madrid 28760, Spain
*
Author to whom correspondence should be addressed.
Presented at the European Navigation Conference 2023, Noordwijk, The Netherlands, 31 May–2 June 2023.
Eng. Proc. 2023, 54(1), 33; https://doi.org/10.3390/ENC2023-15426
Published: 29 October 2023
(This article belongs to the Proceedings of European Navigation Conference ENC 2023)

Abstract

:
Positioning services based on GNSS (Global Navigation Satellite Systems) have been using MEO satellites designed to guarantee Earth global coverage for decades. This satellite distribution is sometimes complemented with satellites in Inclined Geosynchronous (IGSO) and Geostationary (GEO) Orbits to improve satellite visibility in particular service areas. During recent years, with the advancements and reduction in costs in the deployment of LEO (Low Earth Orbit) constellations, the opportunity of using LEO satellites for PNT (Positioning, Navigation, and Timing) solutions is being studied. This concept opens the possibility to provide high accuracy positioning overcoming the typical drawbacks of RTK (Real-Time Kinematics) or PPP (Precise Point Positioning), such as the need for ground infrastructure or long convergence times. The high velocity dynamics of the low orbits can help to cancel the effect of the ionosphere in the signals to be processed at the user level. Therefore, the introduction of LEO satellites together with the classical MEO GNSS constellations could be a solution to reduce the dependency on dense station networks. The size of the LEO constellations and the design of their orbits are key factors to improve the PPP solution. Moreover, both the accuracy and the convergence time of the PPP solution depend also on the quality of the on-board equipment of the satellite, especially on the quality of the atomic clock in terms of stability and noise, and on the quality of the orbit and clock corrections sent to the PPP users. GMV has decades of experience in both GNSS and LEO precise orbit determination (POD) fields and in high-accuracy GNSS applications for different market domains. With this experience, several analyses have been carried out to assess the achievable performance when introducing the processing of LEO signals for high accuracy positioning solutions, contributing to the overall GNSS community. The objective of this paper is to describe the analysis run by GMV with the use of synthetic data simulating GNSS and LEO signals, showing results and the associated assessment of the achievable performance.

1. Introduction

The emergence of LEO constellations is transforming an industry that was previously dominated by space agencies and public institutions. These large satellite constellations aim to push beyond the limitations of public GNSS systems, and there is a growing need to anticipate the entry of third-party players in this market, in addition to the potential developments for systems such as BeiDou or Galileo. The demand for LEO satellite applications is rapidly increasing, with communication constellations like Iridium, Starlink, Kuiper, OneWeb, and Telesat, as well as Earth observation systems like Spire, Planet, and BlackSky. Various companies like Xona Space, Trustpoint, and Satelles are already working on providing solutions for future user navigation technologies.
This promising development is paving the way for the challenging task of ensuring user interoperability among all LEO PNT players. As the industry continues to evolve, it is becoming clear that LEO constellations will continue to play a significant role in shaping the future of PNT applications.
The use of LEO constellations for PNT applications has been gaining momentum in recent years, as the demand for high-accuracy positioning and timing services continues to grow [1]. One of the main advantages of LEO constellations is their ability to provide high-power signals that can be received by GNSS-enabled devices with low power requirements. This makes them particularly suitable for applications such as asset tracking, IoT, wearables, and other similar applications. In addition, LEO constellations can provide enhanced satellite availability at polar regions, where the geometry of MEO and GEO constellations is not optimal for PNT solutions [. This can enable navigation and other applications in these areas, where traditional GNSS signals may not be available or may be unreliable.
Another advantage of LEO constellations is their potential to improve PPP convergence. Standard PPP algorithms typically require between 30 and 40 min to achieve a fully converged solution [2]. However, by using LEO satellites within the GNSS constellations, this convergence time can be reduced significantly. LEO satellites are closer to the Earth and have faster evolution dynamics, which means that they can potentially enable more accurate positioning solutions with almost immediate convergence. On one hand, the proximity of these orbits increases the signal strength received by the user. On the other hand, the fast change in geometry helps improve the estimation of those parameters not related with geometry and is crucial for faster convergence such as the ionospheric delay or the ambiguity. Furthermore, LEO constellations can be used to enhance the Galileo OS by providing additional measurements that can be used to enhance the ODTS (Orbit Determination and Time Synchronization) process and provide better estimations of ionosphere delays for mono-frequency users. This can improve the overall performance of the GNSS system and enable new applications that require high-accuracy positioning and timing services.
High accuracy services have become increasingly important, and different types of applications have strengths and weaknesses that need to be considered. Two main groups of applications can be analyzed based on their time to converge to sub-decimeter position accuracy, the required ground infrastructure, and the required bandwidth. RTK applications, based on differential positioning, can converge almost instantaneously but require a maximum separation of 25 km between a rover and a reference station [3], resulting in high infrastructure costs. Standard PPP algorithms rely solely on orbit and clock information and require between 30 and 40 min to achieve a fully converged solution. Techniques such as PPP-RTK require additional processing of local ionosphere corrections, which may lose some of the advantages of RTK. MEO, IGSO, and GEO satellites are far away from the Earth, requiring several minutes to achieve centimeter-level accuracy, primarily due to solving the carrier-phase ambiguity values. By using LEO satellites within the GNSS constellations, these issues can be addressed, potentially removing the precise atmospheric corrections’ dependency for the RTK-PPP users. GMV has extensive experience in GNSS and LEO Precise Orbit Determination domains and high accuracy positioning user applications. This paper aims to bring these experiences together and validate the concept of the LEO PNT constellation’s contribution to the GNSS community in the future [4,5].
This paper focuses on the determination of the optimal constellation definition that improves performance and convergence time for a PPP solution using the GSharp product [6] from GMV. The definition of the constellation also includes an analysis on the maximum degradation of the orbits and clocks of the LEO satellites that PPP can manage without degrading performances and the convergence time. The methodology employed to simulate the data, the different configurations of the LEO constellations under study, and the strategy to analyze their impact into the positioning solution are explained. In Section 3, the results obtained following the defined approach are presented.

2. Methodology

2.1. Data Simulation

For this paper, GNSS observations for MEO (GPS + GAL) and LEO satellites were synthetically generated for a given static position, simulating a GNSS ground station [7]. Signals generated for all the constellations are in frequency band L1 and L5 of GPS. GNSS measurements were generated considering various factors such as models for the ionosphere and troposphere, the effects of tides, and a Gauss–Markov noise model for situations with degraded accuracy, including multipath and white noise. The study did not account for any errors in the positions of the satellites or in the synchronization of their clocks. Therefore, pseudorange and phase observations are as follows:
R = ρ + c   d t r c v d t s a t + T r + I + K p r e c K p s a t + ϵ R
Φ = ρ + c   d t r c v d t s a t + T r I + k L r e c k L s a t + λ N + ϵ L
where
ρ is the geometric range between Antenna Phase Centers of the satellite and receiver.
d t r e c and d t s a t are the clock offsets between the receiver/satellite and the GNSS time used as the reference time. In this paper, clocks are assumed to be synchronized, and these terms are equal to zero.
T r is the modelled tropospheric delay.
I is the modelled ionospheric delay.
K p r e c and K p s a t are the hardware delays of the receiver and satellite. This contribution to pseudorange measurement is assumed as zero for simplicity of the analysis performed in this paper.
λ N is the integer ambiguity of the phase measurement.
k L r e c and k L s a t are the instrumental delays of the phase measurement and are assumed zero for the same reason as pseudorange instrumental delays.
ϵ R and ϵ L are pseudorange and phase measurements noise, respectively.

2.2. LEO Constellations Analyzed

The analysis of a set of five different constellation configurations has been conducted, with the aim of achieving optimal visibility and ensuring the best possible geometry for users. In order to attain these objectives, a combination of polar and inclined orbits has been tested. It has been observed that the increased visibility for the final user, considering polar orbits geometry, is lower when the user is located close to the equator, while inclined orbits exhibit poor geometries in the vicinity of the poles [8]. Thus, the mixing (M) of both polar (85° inclination) and inclined (55° inclination) orbits has been found to be effective in improving the final geometry of users at any point on the Earth’s surface. By using a combination of polar and inclined orbits, it is possible to overcome the limitations of each type of orbit, thereby achieving a more robust and reliable solution for high-precision positioning and navigation applications.
For all the constellations studied, the orbital planes have an altitude of 1200 km. The near-polar orbits were simulated with 85° of inclination and the inclined orbits with 55° of inclination. The constellation tested are shown in Table 1.

2.3. PPP Performance and Convergence Analysis

The LEO constellations will be added to 24 GPS and 24 Galileo satellites. In order to verify the initial convergence improvement, the analysis will involve 20 Precise Point Positioning (PPP) executions using GMV GSharp HA solution and its online PPP service [9], each lasting 20 min. The convergence will be deemed successful when the horizontal positioning error achieves a stable accuracy of 0.1 m. To ensure the accuracy of the solutions, they will be compared with the PPPs obtained using only GPS and Galileo constellations, which will be used as reference points. The analysis has been performed in a simulated GNSS station located in Madrid, Spain.
This experiment aims to test the feasibility and efficiency of using multiple constellations to improve the PPP convergence. The addition of GPS and Galileo satellites to the existing constellations is expected to provide more precise positioning and navigation solutions. By comparing the solutions obtained using the new constellations with those using the reference constellations, the accuracy of the former can be evaluated. If the results show a significant improvement in accuracy and convergence time, it will demonstrate the potential of using multiple constellations for PPP and could pave the way for future developments in this field.

2.4. Orbits and Clocks Degradation Analysis

After selecting the optimal constellation configuration for the current case study, a thorough analysis of the 55° inclination and 400 satellite constellation’s degradation was conducted. The objective of this analysis was to evaluate the performance of the chosen constellation under various degraded orbits/clocks products.
To achieve this, the 55° inclination and 400 satellites constellation clocks were subjected to several degradation factors of a Gauss–Markov noise model to simulate degraded corrections. The objective of this analysis is to determine the maximum error in corrections that can be managed by the PPP algorithm without significant degradation of PPP performances in terms of error and convergence time. The different levels of noise added to the clock correction are shown in Table 2.
Once again, the analysis involved running simulations of 20 PPP executions, each lasting 20 min, to assess the 55-400 constellation’s convergence performance under degraded conditions. Convergence was considered to have been achieved when the horizontal positioning error reached a stable accuracy level of 0.1 m. The results of the simulations were then compared with those obtained from PPP executions without any degradation in orbits and clocks.

3. Results

3.1. Optimal Constellation Definition

Figure 1, Figure 2 and Figure 3 depict the horizontal error values obtained during the 20 convergence runs for each of the constellations under analysis, as well as for the reference scenario, which employed only GPS and GAL for PPP. To compare these results and select the most favorable configuration for the present case study, Table 3 presents the corresponding numerical outcomes, such as the RMS error and convergence time. The wave pattern shown in all the figures is due to the correlation between the different consecutive runs. Every run is only delayed 1 min with respect to the previous run, so the starting point is changing, but the measurements between different runs are correlated.
A significant bias can be seen in the results due to the synthetic simulated data. The mixed 85° and 55° degrees of inclination constellations show a greater bias, giving the highest RMS of all the solutions (including only MEO). However, the convergence time is reduced compared to the only MEO solution.

3.2. Orbits and Clocks Degradation Analysis

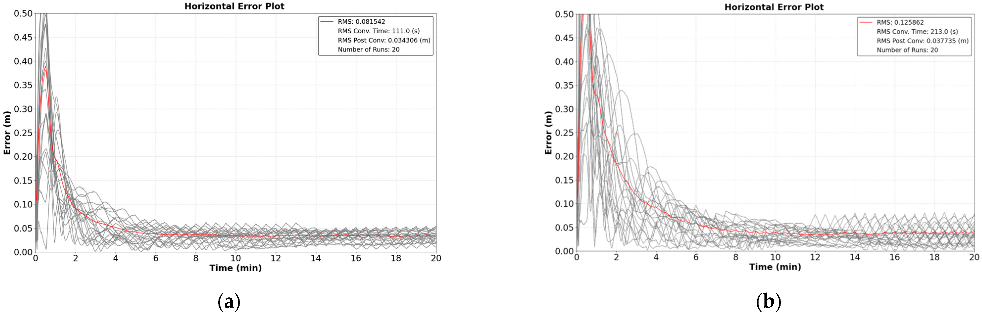
The horizontal errors for each of the degradation levels analyzed, as well as the reference scenario using 55-400 constellation + GPS + GAL for PPP, are presented in Figure 4, Figure 5 and Figure 6. Table 4 contains numerical data that compare the RMS error and convergence time for all the scenarios, which help in determining the largest error in orbits and clock products that PPP can manage for the current case study without degrading performances.

4. Conclusions

After reviewing several constellation configurations, it has been observed that the LEO + MEO satellite configuration provides the optimal results in terms of cold convergence. It has been observed that the utilization of mixed polar and inclined orbits in such a configuration yields superior performance. For mid-latitudinal regions such as Spain, the optimal constellation configuration consists of approximately 400 satellites, with a mixture of polar and inclined orbits.
This configuration not only ensures high accuracy positioning solutions but also reduces the dependency on dense station networks. The use of LEO satellites, with their high velocity dynamics and advanced onboard equipment, can effectively mitigate the effects of ionospheric interference in signals processed at the user level. This, in turn, enhances the accuracy and stability of the Positioning, Navigation, and Timing (PNT) solutions offered to users.
On the other hand, the impact of the clock noise stability has been assessed by simulating different levels of noise; validating the a priori assumption of the relative importance that good quality atomic clocks might have in the deployment of these kinds of constellations.
There are several opportunities for future work that can build upon the findings of this study. Firstly, it would be valuable to replicate this study for different latitudes to evaluate how well the LEO and MEO constellation configuration performs in different regions of the world. Secondly, it would be interesting to investigate the potential for precise orbit determination of LEO satellites using only ground-based observations, without relying on measurements from MEO satellites in an embedded receiver onboard. This would be a challenging task due to the low altitude of LEO satellites, which can result in limited visibility and make clock determination more difficult with sparse reference station networks. Therefore, future work could focus on developing new techniques and methodologies to overcome these challenges and improve the accuracy of clock determination in LEO satellite GNSS constellations.

Author Contributions

Conceptualization, E.C.; methodology, J.D.; software, D.S.; formal analysis, D.S.; resources, A.G.; writing—original draft preparation, D.S.; writing—review and editing, J.D.; supervision, D.C. and I.R.; project administration, D.C. All authors have read and agreed to the published version of the manuscript.

Funding

This research received no external funding.

Institutional Review Board Statement

Not applicable.

Informed Consent Statement

Not applicable.

Data Availability Statement

Data are unavailable due to privacy restrictions.

Conflicts of Interest

The authors declare no conflict of interest.

References

  1. Crapart, R.; Ahmad, R.A.; Lannelongue, S.; Rouanet-Labe, A.; Blaudin-De-The, Y.; Seco-Granados, G.; Fabra, F. PNT user-segment optimization integrating LEO components. In Proceedings of the ESA Workshop on Satellite Navigation User Equipment Technologies (NAVITEC), Online, 5–7 April 2022. [Google Scholar]
  2. Precise Point Positioning. Available online: https://gssc.esa.int/navipedia/index.php?title=Precise_Point_Positioning (accessed on 15 January 2023).
  3. Real-Time Kinematic (RTK). Available online: https://www.u-blox.com/en/technologies/rtk-real-time-kinematic (accessed on 15 January 2023).
  4. Su, M.; Su, X.; Zhao, Q. BeiDou Augmented Navigation from Low Earth Satellites. Sensors 2019, 19, 198. [Google Scholar] [CrossRef] [PubMed]
  5. Kulu, E. Satellite Constellations—2021 Industry Survey and Trends. In Proceedings of the [SSC21-XII-10] 35th Annual Small Satellite Conference, Logan, UT, USA, 7–12 August 2021. [Google Scholar]
  6. GSharp Webpage. Available online: https://www.gmv.com/en/products/space/gmv-gsharp (accessed on 20 March 2023).
  7. Focussuite Webpage. Available online: https://www.gmv.com/es-es/productos/espacio/focussuiter (accessed on 15 January 2023).
  8. González, A.; Tobías, M.; Rodriguez, I.; Navarro, P.; Sobrero, F.; Carbonell, E.; Calle, D.; Fernández, J. LEO Satellites for PNT, the Next Step for Precise Positioning Applications. In Proceedings of the 35th International Technical Meeting of the Satellite Division of The Institute of Navigation (ION GNSS+ 2022), Denver, CO, USA, 19–23 September 2022; pp. 2573–2581. [Google Scholar]
  9. magicPPP Webpage. Available online: https://www.gmv.com/en/Products/magicPPP/ (accessed on 15 January 2023).
Figure 1. Overlap of PPP convergences. (a) GPS + GAL. (b) GPS + GAL + M200.
Figure 1. Overlap of PPP convergences. (a) GPS + GAL. (b) GPS + GAL + M200.
Engproc 54 00033 g001
Figure 2. Overlap of PPP convergences. (a) GPS + GAL + 55-200. (b) GPS + GAL + 85-200.
Figure 2. Overlap of PPP convergences. (a) GPS + GAL + 55-200. (b) GPS + GAL + 85-200.
Engproc 54 00033 g002
Figure 3. Overlap of PPP convergences. (a) GPS + GAL + M400. (b) GPS + GAL + 55-400.
Figure 3. Overlap of PPP convergences. (a) GPS + GAL + M400. (b) GPS + GAL + 55-400.
Engproc 54 00033 g003
Figure 4. Overlap of PPP convergences. (a) No Error. (b) 2.5 cm error.
Figure 4. Overlap of PPP convergences. (a) No Error. (b) 2.5 cm error.
Engproc 54 00033 g004
Figure 5. Overlap of PPP convergences. (a) 5 cm error. (b) 10 cm error.
Figure 5. Overlap of PPP convergences. (a) 5 cm error. (b) 10 cm error.
Engproc 54 00033 g005
Figure 6. Overlap of PPP convergences. (a) 15 cm error. (b) 25 cm error.
Figure 6. Overlap of PPP convergences. (a) 15 cm error. (b) 25 cm error.
Engproc 54 00033 g006
Table 1. Definition of constellations tested.
Table 1. Definition of constellations tested.
NameNumber of SVsSats in Polar OrbitSats in Inclined Orbit Number Planes
M-20020010010020
55-200200020020
85-200200200020
M-40040020020040
55-400400040040
Table 2. Noise level used for the performance of degraded corrections scenarios.
Table 2. Noise level used for the performance of degraded corrections scenarios.
TestNoise Level
a2.5 cm
b5 cm
c10 cm
d15 cm
e25 cm
Table 3. RMS horizontal error and RMS of convergence time of different constellation configurations.
Table 3. RMS horizontal error and RMS of convergence time of different constellation configurations.
RMS Error (m)Convergence Time (s)
GPS + GAL0.066151
M2000.05750
55-2000.04118
85-2000.07548
M4000.0325
55-4000.0303
Table 4. RMS horizontal error and RMS of convergence time of different levels of correction degradation.
Table 4. RMS horizontal error and RMS of convergence time of different levels of correction degradation.
RMS Error (m)Convergence Time (s)
No error0.0303
2.5 cm0.0313
5 cm0.0323
10 cm 0.04044
15 cm0.082111
25 cm0.126213
Disclaimer/Publisher’s Note: The statements, opinions and data contained in all publications are solely those of the individual author(s) and contributor(s) and not of MDPI and/or the editor(s). MDPI and/or the editor(s) disclaim responsibility for any injury to people or property resulting from any ideas, methods, instructions or products referred to in the content.

Share and Cite

MDPI and ACS Style

Durán, J.; Socías, D.; Carbonell, E.; González, A.; Calle, D.; Rodríguez, I. Exploring the Contribution of PNT LEO Satellites to Precise Positioning Applications. Eng. Proc. 2023, 54, 33. https://doi.org/10.3390/ENC2023-15426

AMA Style

Durán J, Socías D, Carbonell E, González A, Calle D, Rodríguez I. Exploring the Contribution of PNT LEO Satellites to Precise Positioning Applications. Engineering Proceedings. 2023; 54(1):33. https://doi.org/10.3390/ENC2023-15426

Chicago/Turabian Style

Durán, Jorge, Damián Socías, Enrique Carbonell, Ana González, David Calle, and Irma Rodríguez. 2023. "Exploring the Contribution of PNT LEO Satellites to Precise Positioning Applications" Engineering Proceedings 54, no. 1: 33. https://doi.org/10.3390/ENC2023-15426

APA Style

Durán, J., Socías, D., Carbonell, E., González, A., Calle, D., & Rodríguez, I. (2023). Exploring the Contribution of PNT LEO Satellites to Precise Positioning Applications. Engineering Proceedings, 54(1), 33. https://doi.org/10.3390/ENC2023-15426

Article Metrics

Back to TopTop