Next Article in Journal
IR Thermography for Non-Destructive Monitoring of Moisture in Cultural Heritage
Previous Article in Journal
Multivariate Method to Analyze Archaeol in Cattle Feces
 
 
Font Type:
Arial Georgia Verdana
Font Size:
Aa Aa Aa
Line Spacing:
Column Width:
Background:
Proceeding Paper

Laser Thermography: An Investigation of Test Parameters on Detection and Quantitative Assessment in a Finite Crack †

by
Giuseppe Danilo Addante
,
Giuseppe Dell’Avvocato
*,
Francesco Bisceglia
,
Ester D’Accardi
,
Davide Palumbo
and
Umberto Galietti
Department of Mechanics, Mathematics and Management, Polytechnic University of Bari, 70125 Bari, Italy
*
Author to whom correspondence should be addressed.
Presented at the 17th International Workshop on Advanced Infrared Technology and Applications, Venice, Italy, 10–13 September 2023.
Eng. Proc. 2023, 51(1), 7; https://doi.org/10.3390/engproc2023051007
Published: 25 October 2023

Abstract

:
This preliminary study investigates the influence of test parameters on the detection and quantitative assessment of cracks using laser thermography. Cracks pose significant material design and analysis concerns, compromising the structural strength and durability of structures. Traditional crack detection methods have limitations, motivating the exploration of laser thermography. A finite element model (FEM) was developed and validated using finite thickness and surface cracks. Experimental tests were conducted, and the relative position between the laser spot and crack was investigated. The results showed the potential influence of the laser spot size and position on the crack detectability. This research contributes to advancing crack detection using non-destructive laser thermography techniques.

1. Introduction

Detecting and evaluating cracks is of great importance to ensure the safety and reliability of structures and components. This detection can be achieved through various methods, among which the most common ones are penetrants testing, magnetic particle inspection, and X-ray techniques [1]. However, these methods have several disadvantages, including the need for contact with the component, long inspection times, and difficulties in automation [1].
Thermography, which has already been widely used for mechanical and thermophysical characterization [2,3,4,5], also finds numerous applications as a non-destructive testing (NDT) technique for composites and metals [6,7]. Laser flying spot thermography (LFST) is particularly interesting and promising for crack detection because it allows for rapid inspection and is suitable for inline production or with relative motion between the source and the component [8,9]. Several authors investigated this method in the past, confirming its potential for crack detection [8,9]. A group from Bilbao has conducted several studies on the related model and quantitative analysis of cracks, evaluating the behavior of an inclined and finite crack within the thickness [10,11].
The aim of this preliminary study is developing a validated finite element model (FEM) to investigate the influence of specific test parameters on the detectability of cracks, considering both finite thickness and surface cracks. This research will further advance the understanding of crack detection using laser thermography and provide valuable insights for practical applications in NDT.

2. Materials and Methods

As previously mentioned, the capability of LFST to detect cracks was evaluated in the present study. Several studies have investigated this aspect, focusing on an infinite or semi-infinite crack, often employing FEM models [10,11].
This work aims to analyze the detectability of a finite crack using laser thermography, considering the relative position between the laser spot and the crack. To accomplish this evaluation, a FEM model was developed by COMSOL® v 6.0, which was preliminarily validated with experimental tests. Subsequently, an experimental test was conducted, followed by the development of the model and a preliminary study on the detectability of the crack considering the relative position between the spot and the crack.

2.1. Specimens

A Fe 360 B (UNI 7070-72) specimen with the geometry depicted in Figure 1 was considered for the investigation. The image shows that the specimen contains several open notches created by electrical discharge machining, simulating known thickness open cracks. Specifically, the focus was on the crack with dimensions 5 mm × 0.5 mm.

2.2. Experimental Set-Up and Data Analysis

The described specimen was heated using an Ytterbium laser with a nominal power of 50 W through a moving spot of diameter ~10 mm at a speed of approximately 0.5 m/s. To record the temperature distribution on the heated surface (reflection setup), a FLIR LW thermal camera equipped with a cooled sensor was used. The framerate was 1.92 kHz, with a spatial resolution of 0.31 mm/pixel and the calibration was of −10 °C to 55 °C.
The test was carried out in two scenarios: one where the laser does not encounter cracks and another where it does (sound region).

2.3. FEM Model

A 3D thermal model was developed in COMSOL® v 6.0 to simulate a moving laser source on the specimen. The discretization was performed using a tetrahedral mesh, as shown in Figure 2, to achieve a fine mesh in areas with high thermal gradients and a coarser mesh in less critical regions.
To simulate the laser spot movement, an incoming surface heat flux with a Gaussian distribution was considered, moving in a uniform rectilinear motion at a velocity of 0.5 m/s in the x direction. The nominal power of the laser was considered, with a multiplicative constant between 0 and 1 to account for absorptivity and emissivity. The thermophysical properties of material were obtained from literature sources.
The laser heating was then simulated on a region without cracks and on a region with a crack geometry matching that of the described specimen. The crack modelling was implemented by considering two contacting surfaces with a thermal resistance (Rth) modelled as a resistive layer with a thickness equal to the nominal crack size. This type of modelling, as reported in other studies [10,11], dramatically reduces computational costs by avoiding excessive refinement of elements near the crack.
For the validation of the numerical model, a comparison was made with experimental data of the temperature curves obtained in both the inspected regions. The accuracy and reliability of the numerical model were assessed by comparing the numerical results with the corresponding experimental data.
Previous studies have shown that detecting defects is related to the temperature difference observed in the surface temperature distribution at the crack interface [10,11]. As a result, we evaluated the impact of specific parameters on this temperature difference. We first examined the ratio of the laser spot diameter (a) to the crack length (L). Next, we assessed the effect of the relative position between the crack and the laser trajectory, considering whether the laser passes through the center of the crack, half of the length, and the tip. A summary of all the analyzed cases is presented in Table 1.

3. Results

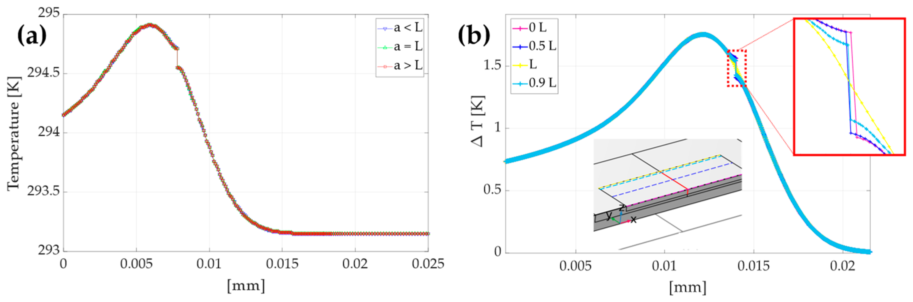
In Figure 3a, the curves depict the temperature profile detected along a region of interest (ROI) corresponding to the axis passing through the center of the crack, obtained for different values of the a/L ratio. It can be observed that there is a drastic decrease in the local temperature at the crack location, which remains relatively constant for each investigated ratio.
On the other hand, Figure 3b displays the curves obtained with a fixed a/L ratio along the direction of the laser motion but at different positions relative to the crack. A slight variation in ΔT can be noticed at the crack location as the distance between the axis passing through the center of the crack and the laser advancement direction changes.

4. Discussion

From the results shown in Figure 3a, it can be observed that the a/L ratio does not significantly influence the ΔT at the crack, at least when considering the central axis. This result may be attributed to the modelling of the crack as a Rth between the two surfaces. In this assumption, there may not be significant differences in that direction. However, this might change for the experimental case, which requires further investigation.
On the other hand, the curves in Figure 3b demonstrate a variation in ΔT depending on the relative position between the laser advancement direction and the axis passing through the crack. This variation is due to considering a finite crack, which introduces lateral flows that affect the ΔT near the crack tips. As a result, the ΔT is lower compared to the case of an infinite crack along the plane.

5. Conclusions

In conclusion, this work presented a preliminary study on the influence of the laser–crack relative position and laser spot size on the detectability of the crack, expressed as ΔT in the spatial temperature profile, using the FSLT.
A FEM model was developed, which was validated through an experimental comparison of a LFST test, and the crack was modelled as a Rth.
The preliminary analysis was conducted by varying the a/L ratio to assess its influence on the ΔT at the crack location on different ROIs parallel to the crack axis. The results showed little to no influence, possibly due to the crack modelling approach used.
A second preliminary analysis was performed by varying the distance between the crack axis and the laser advancement direction, which demonstrated the influence of this parameter on ΔT. Specifically, when the laser advancement direction intersected the crack plane near the crack tip, the resulting ΔT decreased due to lateral flows.
Further in-depth experimental analysis is needed to verify the independence of ΔT from the a/L ratio, followed by a structured and comprehensive study on the influence of the LFST test parameters on the crack detectability. The final aim is to develop a quantitative procedure for obtaining crack geometry using NDT inspections.

Author Contributions

Conceptualization, G.D. and D.P.; methodology, G.D., D.P. and G.D.A.; software, G.D.A., F.B. and G.D.; validation, G.D.A. and F.B.; formal analysis, F.B.; investigation G.D.A. and F.B.; resources, U.G.; data curation, F.B. and G.D.; writing—original draft preparation, G.D.; writing—review and editing, G.D., D.P, E.D. and U.G.; visualization, G.D.A. and G.D.; supervision, D.P., G.D. and U.G.; project administration, U.G.; funding acquisition, U.G. All authors have read and agreed to the published version of the manuscript.

Funding

This research received no external funding.

Institutional Review Board Statement

Not applicable.

Informed Consent Statement

Not applicable.

Data Availability Statement

Data will be available on request.

Conflicts of Interest

The authors declare no conflict of interest. The funders had no role in the design of the study; in the collection, analyses, or interpretation of the data; in the writing of the manuscript; or in the decision to publish the results.

References

  1. Gupta, M.; Khan, M.A.; Butola, R.; Singari, R.M. Advances in Applications of Non-Destructive Testing (NDT): A Review. Adv. Mater. Process. Technol. 2022, 8, 2286–2307. [Google Scholar] [CrossRef]
  2. De Finis, R.; Palumbo, D.; Ancona, F.; Galietti, U. Fatigue Limit Evaluation of Various Martensitic Stainless Steels with New Robust Thermographic Data Analysis. Int. J. Fatigue 2015, 74, 88–96. [Google Scholar] [CrossRef]
  3. Salazar, A.; Colom, M.; Mendioroz, A. Laser-Spot Step-Heating Thermography to Measure the Thermal Diffusivity of Solids. Int. J. Therm. Sci. 2021, 170, 107124. [Google Scholar] [CrossRef]
  4. Bison, P.; Cernuschi, F.; Grinzato, E. In-Depth and in-Plane Thermal Diffusivity Measurements of Thermal Barrier Coatings by IR Camera: Evaluation of Ageing. Int. J. Thermophys. 2008, 29, 2149–2161. [Google Scholar] [CrossRef]
  5. Dell’Avvocato, G.; Gohlke, D.; Palumbo, D.; Krankenhagen, R.; Galietti, U. Quantitative Evaluation of the Welded Area in Resistance Projection Welded (RPW) Thin Joints by Pulsed Laser Thermography. In Thermosense: Thermal Infrared Applications XLIV; Avdelidis, N.P., Mendioroz, A., Eds.; SPIE: Orlando, FL, USA, 2022. [Google Scholar]
  6. D’Accardi, E.; Dell’Avvocato, G.; Palumbo, D.; Galietti, U. Limits and Advantages in Using Low-Cost Microbolometric IR-Camera in Lock-in Thermography for CFRP Applications. SPIE-Intl. Soc. Opt. Eng. 2021, 11743, 151–165. [Google Scholar]
  7. Vavilov, V.P.; Pawar, S.S. A Novel Approach for One-Sided Thermal Nondestructive Testing of Composites by Using Infrared Thermography. Polym. Test 2015, 44, 224–233. [Google Scholar] [CrossRef]
  8. Salazar, A.; Mendioroz, A.; Oleaga, A. Flying Spot Thermography: Quantitative Assessment of Thermal Diffusivity and Crack Width. J. Appl. Phys. 2020, 127, 131101. [Google Scholar] [CrossRef]
  9. Gaverina, L.; Bensalem, M.; Bedoya, A.; González, J.; Sommier, A.; Battaglia, J.L.; Salazar, A.; Mendioroz, A.; Oleaga, A.; Batsale, J.C.; et al. Constant Velocity Flying Spot for the Estimation of In-Plane Thermal Diffusivity on Anisotropic Materials. Int. J. Therm. Sci. 2019, 145, 106000. [Google Scholar] [CrossRef]
  10. Javier, R.A.; Arantza, M.; Agustin, S. Numerical Modeling of Static and Flying Spot Thermography for Narrow Crack Characterization. In Proceedings of the 2021 International Conference on Quantitative InfraRed Thermography, Paris, Fance, 8 July 2022. [Google Scholar]
  11. Rodríguez-Aseguinolaza, J.; Colom, M.; González, J.; Mendioroz, A.; Salazar, A. Quantifying the Width and Angle of Inclined Cracks Using Laser-Spot Lock-in Thermography. NDT E Int. 2021, 122, 102494. [Google Scholar] [CrossRef]
Figure 1. Experimental set-up adopted. White arrow represents the laser trajectory for the “sound” area and the yellow one the trajectory of the laser spot for “defected” area.
Figure 1. Experimental set-up adopted. White arrow represents the laser trajectory for the “sound” area and the yellow one the trajectory of the laser spot for “defected” area.
Engproc 51 00007 g001
Figure 2. (a) Mesh adopted for the model in the crack (red line) area. (b) Mesh in detail in the crack and in red, the surface with thermal resistance which simulates the crack.
Figure 2. (a) Mesh adopted for the model in the crack (red line) area. (b) Mesh in detail in the crack and in red, the surface with thermal resistance which simulates the crack.
Engproc 51 00007 g002
Figure 3. (a) The T distribution in center line of laser and crack with different a/L ratios. (b) The ΔT distribution at different distance between crack axes and laser direction.
Figure 3. (a) The T distribution in center line of laser and crack with different a/L ratios. (b) The ΔT distribution at different distance between crack axes and laser direction.
Engproc 51 00007 g003
Table 1. All the cases considered for the analysis.
Table 1. All the cases considered for the analysis.
1.11.21.32.12.22.3
a/L<11>1111
Positioncentralcentralcentralcentralhalftip
Disclaimer/Publisher’s Note: The statements, opinions and data contained in all publications are solely those of the individual author(s) and contributor(s) and not of MDPI and/or the editor(s). MDPI and/or the editor(s) disclaim responsibility for any injury to people or property resulting from any ideas, methods, instructions or products referred to in the content.

Share and Cite

MDPI and ACS Style

Addante, G.D.; Dell’Avvocato, G.; Bisceglia, F.; D’Accardi, E.; Palumbo, D.; Galietti, U. Laser Thermography: An Investigation of Test Parameters on Detection and Quantitative Assessment in a Finite Crack. Eng. Proc. 2023, 51, 7. https://doi.org/10.3390/engproc2023051007

AMA Style

Addante GD, Dell’Avvocato G, Bisceglia F, D’Accardi E, Palumbo D, Galietti U. Laser Thermography: An Investigation of Test Parameters on Detection and Quantitative Assessment in a Finite Crack. Engineering Proceedings. 2023; 51(1):7. https://doi.org/10.3390/engproc2023051007

Chicago/Turabian Style

Addante, Giuseppe Danilo, Giuseppe Dell’Avvocato, Francesco Bisceglia, Ester D’Accardi, Davide Palumbo, and Umberto Galietti. 2023. "Laser Thermography: An Investigation of Test Parameters on Detection and Quantitative Assessment in a Finite Crack" Engineering Proceedings 51, no. 1: 7. https://doi.org/10.3390/engproc2023051007

APA Style

Addante, G. D., Dell’Avvocato, G., Bisceglia, F., D’Accardi, E., Palumbo, D., & Galietti, U. (2023). Laser Thermography: An Investigation of Test Parameters on Detection and Quantitative Assessment in a Finite Crack. Engineering Proceedings, 51(1), 7. https://doi.org/10.3390/engproc2023051007

Article Metrics

Back to TopTop