Applying Ultrasonic-Assisted Incremental Sheet Forming to Al 5052 Aluminum Alloy †
Abstract
:1. Introduction
2. Materials and Method
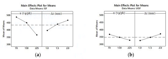
3. Results and Discussion
4. Conclusions
Author Contributions
Funding
Institutional Review Board Statement
Informed Consent Statement
Data Availability Statement
Acknowledgments
Conflicts of Interest
References
- Ajay; Mittal, R.K. Incremental Sheet Forming Technologies: Principles, Merits, Limitations and Applications, 1st ed.; CRC Press: Boca Raton, FL, USA, 2020. [Google Scholar] [CrossRef]
- Uheida, E.H.; Oosthuizen, G.A.; Dimitrov, D.M. Toward understanding the process limits of incremental sheet forming of titanium alloys. In Proceedings of the Competitive Manufacturing, International Conference on Competitive Manufacturing (COMA’16), Stellenbosch, South Africa, 27–29 January 2016. [Google Scholar]
- Pérez-Santiago, R.; Bagudanch, I.; Garcia-Romeu, M.L. Incremental Sheet Forming. In Modern Manufacturing Processes; Özel, M.K.a.T., Ed.; John Wiley & Sons, Inc.: Hoboken, NJ, USA, 2019; pp. 47–63. [Google Scholar] [CrossRef]
- Bagudanch, I.; Centeno, G.; Vallellano, C.; Garcia-Romeu, M.L. Towards the Manufacturing of near Net Shape Medical Prostheses in Polymeric Sheet by Incremental Sheet Forming. In Materials Forming, Machining and Tribology; Springer: Cham, Switzerland, 2019; pp. 1–33. [Google Scholar] [CrossRef]
- Hagan, E.; Jeswiet, J. Analysis of surface roughness for parts formed by computer numerical controlled incremental forming. Proc. Inst. Mech. Eng. Part B J. Eng. Manuf. 2004, 218, 1307–1312. [Google Scholar] [CrossRef]
- Cheng, R.; Wiley, N.; Short, M.; Liu, X.; Taub, A. Applying ultrasonic vibration during single-point and two-point incremental sheet forming. Procedia Manuf. 2019, 34, 186–192. [Google Scholar] [CrossRef]
- Bai, L.; Li, Y.; Yang, M.; Yao, Z.; Yao, Z. Influences of Process Parameters and Vibration Parameters on the Forming Force in the Ultrasonic-Assisted Incremental Forming Process. Adv. Mater. Sci. Eng. 2018, 2018, 5726845. [Google Scholar] [CrossRef]
- Amini, S.; Hosseinpour Gollo, A.; Paktinat, H. An investigation of conventional and ultrasonic-assisted incremental forming of annealed AA1050 sheet. Int. J. Adv. Manuf. Technol. 2017, 90, 1569–1578. [Google Scholar] [CrossRef]
- Ho, K.-T.; Nguyen, B.-H.; La, N.-T.; Le, T.-S.; Pham, V.-T. An Experimental Study on the Tensile Strength of Friction Stir Welded AA5052 Aluminum Alloy. In Proceedings of the 5th International Conference on Advances in Manufacturing and Materials Engineering, Kuala Lumpur, Malaysia, 9–10 August 2022; pp. 389–395. [Google Scholar]





| No | Input Parameters | Fzmax (N) | Reduction Ratio | ||
|---|---|---|---|---|---|
| n (rpm) | Δz (mm) | UISF | ISF | (Fz(ISF) − Fz(UISF))/Fz(ISF) (%) | |
| 1 | 70 | 1.0 | 359.1 | 466.4 | 23.01% |
| 2 | 70 | 1.5 | 361.9 | 488.2 | 25.87% |
| 3 | 70 | 2.0 | 387.6 | 512.5 | 24.37% |
| 4 | 130 | 1.0 | 323.3 | 425.3 | 23.98% |
| 5 | 130 | 1.5 | 347.8 | 457.5 | 23.98% |
| 6 | 130 | 2.0 | 375.7 | 467.7 | 19.67% |
| 7 | 225 | 1.0 | 297.6 | 301.2 | 1.20% |
| 8 | 225 | 1.5 | 336.6 | 378.0 | 10.95% |
| 9 | 225 | 2.0 | 353.5 | 421.4 | 16.11% |
Disclaimer/Publisher’s Note: The statements, opinions and data contained in all publications are solely those of the individual author(s) and contributor(s) and not of MDPI and/or the editor(s). MDPI and/or the editor(s) disclaim responsibility for any injury to people or property resulting from any ideas, methods, instructions or products referred to in the content. |
© 2023 by the authors. Licensee MDPI, Basel, Switzerland. This article is an open access article distributed under the terms and conditions of the Creative Commons Attribution (CC BY) license (https://creativecommons.org/licenses/by/4.0/).
Share and Cite
Ho, K.-T.; La, N.-T.; Chu, N.-H.; Vu, N.-H.; Mai, T.-L. Applying Ultrasonic-Assisted Incremental Sheet Forming to Al 5052 Aluminum Alloy. Eng. Proc. 2023, 45, 8. https://doi.org/10.3390/engproc2023045008
Ho K-T, La N-T, Chu N-H, Vu N-H, Mai T-L. Applying Ultrasonic-Assisted Incremental Sheet Forming to Al 5052 Aluminum Alloy. Engineering Proceedings. 2023; 45(1):8. https://doi.org/10.3390/engproc2023045008
Chicago/Turabian StyleHo, Ky-Thanh, Ngoc-Tuan La, Ngoc-Hung Chu, Nhu-Huynh Vu, and Tat-Loi Mai. 2023. "Applying Ultrasonic-Assisted Incremental Sheet Forming to Al 5052 Aluminum Alloy" Engineering Proceedings 45, no. 1: 8. https://doi.org/10.3390/engproc2023045008
APA StyleHo, K.-T., La, N.-T., Chu, N.-H., Vu, N.-H., & Mai, T.-L. (2023). Applying Ultrasonic-Assisted Incremental Sheet Forming to Al 5052 Aluminum Alloy. Engineering Proceedings, 45(1), 8. https://doi.org/10.3390/engproc2023045008

