ADRC-Based UAV Control Scheme for Automatic Carrier Landing †
Abstract
:1. Introduction
2. Mathematical Model
2.1. Fixed-Wing UAV Model
2.2. Disturbance Model
3. ADRC Control Scheme Design
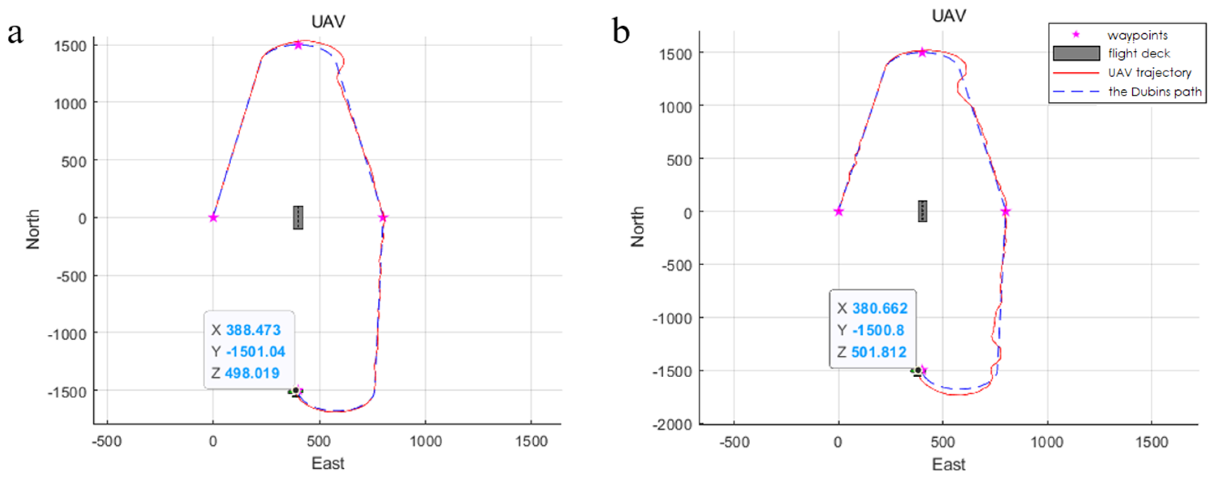
4. Simulation Results
5. Conclusions and Future Work
- The controller design and parameter tuning processes for ADRC are much easier than for PID;
- The ADRC control system has excellent robustness and accuracy even in the presence of intense disturbances.
Author Contributions
Funding
Institutional Review Board Statement
Informed Consent Statement
Data Availability Statement
Conflicts of Interest
Abbreviations
| ADRC | Active disturbance rejection control |
| LADRC | Linear active disturbance rejection control |
| LTD | Linear tracking differentiator |
| LSEF | Linear state error feedback control law |
| LESO | Linear extended state observer |
References
- Hess, R.A. Analysis of the Aircraft Carrier Landing Task, Pilot + Augmentation/Automation. In 2019 IFAC-PapersOnLine; Elsevier: Amsterdam, The Netherlands, 2019; pp. 359–365. [Google Scholar]
- Zhang, L.; Wang, S.; Selezneva, M.S.; Neusypin, K.A. A new adaptive Kalman filter for navigation systems of carrier-based aircraft. Chin. J. Aeronaut. 2022, 35, 416–425. [Google Scholar] [CrossRef]
- Zhang, L. Flight Control Quality Assessment of Carrier-Based Aircraft Using Degree of Controllability Criterion. Aerosp. Instrum. 2021, 12, 10–18. [Google Scholar]
- Shen, K.; Zhang, L.; Selezneva, M.S.; Neusypin, K.A. Modification of federated Kalman filter in the correction scheme of aircraft carrier navigation systems. Autom. Mod. Technol. 2020, 73, 177–180. [Google Scholar]
- Zhou, R.; Neusypin, K.A. Model predictive control for automatic carrier landing considering ship motion. J. Phys. Conf. Ser. 2022, 2235, 012005. [Google Scholar] [CrossRef]
- Zhen, Z.; Miao, P.; Xue, Y.; Jiang, S. Robust preview control and autoregressive prediction for aircraft automatic carrier landing. IEEE Access 2019, 7, 18273–18283. [Google Scholar] [CrossRef]
- Yu, Y.; Wang, H.; Shao, X.; Huang, Y. The attitude control of UAV in carrier landing based on ADRC. In Proceedings of the 2016 IEEE Chinese Guidance, Navigation and Control Conference (CGNCC), Nanjing, China, 12–14 August 2016; pp. 832–837. [Google Scholar]
- Randal, W.B.; Timothy, W.M. Small Unmanned Aircraft: Theory and Practice; Princeton University Press: Princeton, NI, USA, 2012. [Google Scholar]
- Gao, Z. Scaling and Bandwidth-Parameterization Based Controller Tuning. In Proceedings of the 2003 American Control Conference, Denver, CO, USA, 4–6 June 2003; pp. 4989–4996. [Google Scholar]







| Object | North Coordinate (m) | East Coordinate (m) | Altitude (m) | Course Angle (deg) | Velocity (m/s) |
|---|---|---|---|---|---|
| UAV | 0 | 0 | 500 | 0 | 35 |
| Carrier | 1000 | 0 | 5 | 0 | 0 |
Disclaimer/Publisher’s Note: The statements, opinions and data contained in all publications are solely those of the individual author(s) and contributor(s) and not of MDPI and/or the editor(s). MDPI and/or the editor(s) disclaim responsibility for any injury to people or property resulting from any ideas, methods, instructions or products referred to in the content. |
© 2023 by the authors. Licensee MDPI, Basel, Switzerland. This article is an open access article distributed under the terms and conditions of the Creative Commons Attribution (CC BY) license (https://creativecommons.org/licenses/by/4.0/).
Share and Cite
Zhou, R.; Neusypin, K.A. ADRC-Based UAV Control Scheme for Automatic Carrier Landing. Eng. Proc. 2023, 33, 66. https://doi.org/10.3390/engproc2023033066
Zhou R, Neusypin KA. ADRC-Based UAV Control Scheme for Automatic Carrier Landing. Engineering Proceedings. 2023; 33(1):66. https://doi.org/10.3390/engproc2023033066
Chicago/Turabian StyleZhou, Ruiyang, and Konstantin A. Neusypin. 2023. "ADRC-Based UAV Control Scheme for Automatic Carrier Landing" Engineering Proceedings 33, no. 1: 66. https://doi.org/10.3390/engproc2023033066
APA StyleZhou, R., & Neusypin, K. A. (2023). ADRC-Based UAV Control Scheme for Automatic Carrier Landing. Engineering Proceedings, 33(1), 66. https://doi.org/10.3390/engproc2023033066
