Next Article in Journal
Study on the Effect of Applying Benzimidazole–Ethanol Solution as a Film–Forming Corrosion Inhibitor on the Surface of Aluminium Alloy 2024-T3
Previous Article in Journal
Synthesis and Antimicrobial Screening of Some New Thiazole Substituted 1,3,4-Oxadiazole Derivatives
 
 
Font Type:
Arial Georgia Verdana
Font Size:
Aa Aa Aa
Line Spacing:
Column Width:
Background:
Proceeding Paper

Synthesis, Characterization, and Preliminary Chemosensory Ability of a Novel 2,4,5-Tri(Hetero)Arylimidazole Based on an 8-Hydroxy-Quinoline Group †

by
Odília M. P. F. Luís
,
Nuna L. P. Ramos
,
Susana P. G. Costa
and
Maria Manuela M. Raposo
*
Centre of Chemistry, Campus of Gualtar, University of Minho, 4710-057 Braga, Portugal
*
Author to whom correspondence should be addressed.
Presented at the 25th International Electronic Conference on Synthetic Organic Chemistry, 15–30 November 2021; Available online: https://ecsoc-25.sciforum.net/.
Chem. Proc. 2022, 8(1), 15; https://doi.org/10.3390/ecsoc-25-11748
Published: 14 November 2021

Abstract

:
2,4,5-Trisubstituted imidazole derivatives with heteroaromatic groups are versatile heterocyclic compounds exhibiting a wide range of biological activities, as well as very interesting thermal, optical, electronic, and redox properties. In recent years, this type of imidazole derivatives has been explored as colorimetric and fluorimetric chemosensors due to their ability to coordinate with ions of biological and environmental relevance. In order to continue the work developed by the research group, we report the synthesis and characterization using usual spectroscopic techniques (NMR, absorption and emission spectroscopies) of a new imidazole derivative, substituted at position 2 of the imidazole with an 8-hydroxy-quinoline group. Furthermore, to complement the characterization of the synthesized imidazole, a preliminary study as an optical chemosensor was carried out in acetonitrile in the presence of ions with biological, medicinal, and environmental relevance.

1. Introduction

Many heterocyclic compounds substituted by electron donor and/or acceptor groups have played an important role in several areas, including environmental, biological, medicinal, industrial, and waste management, due to their optical properties, high thermal and chemical stability, good transparency, easy synthetic methodology, etc. These derivatives are used in the most varied applications, such as nonlinear optics, optical chemosensors, fluorescent probes for bioimaging, organic light-emitting diodes (OLEDs), and photodynamic therapy (PDT), among others [1,2,3,4,5,6,7].
The recognition and selective detection of biologically and environmentally important anions and cations leads to the development of organic compounds containing functional groups with heterocyclic rings that have binding sites and that can behave as selective and effective ion receptor systems. In this context, imidazoles and their derivatives, due to their structure and easily tune optical properties, become versatile systems for multiple applications, such as optical chemosensors of ions and neutral molecules, as well as fluorescent probes for the detection of cells in vivo [1,4,5,7].
The imidazole ring is present in several bioactive compounds that have antiviral, anticancer, antihypertensive, antifungal, antibacterial properties, among others [8]. This heterocycle is an excellent hydrogen bond donor fraction in anion receiving systems and the acidity of the NH proton can be modulated by modifying the electronic properties of the imidazole derivatives. Additionally, due to the presence of a pyridine-type nitrogen, imidazole derivatives are able to selectively bind to cationic species [2,3,4,5,7].
This work reports the synthesis and spectroscopic characterization, as well as the evaluation of the chemosensory capacity of an imidazole derivative substituted at positions 2, 4, and 5 by heterocyclic moieties.

2. Material and Methods

Commercial reagents were supplied by Sigma-Aldrich, Acros, Fluka, Panreac, Liofilchem and used as received. The ion salts used (in the form of tetrabutylammonium salts for anions and perchlorate for cations, except for Cu(I), Pd(II), and Li(II), in the form of tetrafluoroborate and Sn(II) in the form of chloride) and the solvents are from Sigma-Aldrich, Acros and Fluka and were used as received.
Thin layer chromatography (TLC) was performed on silica gel 60 plates with fluorescence indicator F254 (Macherey-Nagel). The 1H nuclear magnetic resonance spectra were recorded using a Bruker Avance III device at 400 MHz, using the solvent peak as an internal reference. The solvent was DMSO-d6 with a 99.9% deuteration degree, containing 0.1% v/v tetramethylsilane from Sigma-Aldrich.
The UV-visible absorption spectra were made using a Shimadzu UV/2501PC spectrophotometer and the fluorescence emission spectra using a FluoroMax-4 (HORIBA) spectrofluorometer.

2.1. Synthesis and Spectroscopic Characterization of Imidazole Derivative 1

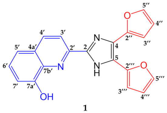
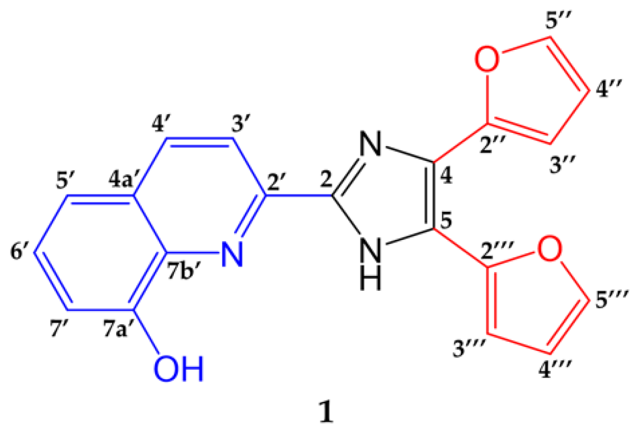
8-Hydroxy-quinoline-2-carbaldehyde (1 mmol), furil (1 mmol), ammonium acetate (20 mmol) and iodine (5 mol%) were dissolved in ethanol (5 mL), followed by stirring and heating at reflux for 4 h. The reaction was monitored by performing a TLC, using DCM/methanol (9:1) as eluent. The reaction mixture was cooled to room temperature, a small amount of solid sodium thiosulfate dissolved in 15 mL of water was added, causing the formation of a precipitate, which was then filtered under vacuum. The crude product was purified by SiO2 column chromatography using DCM/methanol (10:1) to obtain compound 1 (Figure 1).
1H NMR (400 MHz, DMSO-d6): δ = 6.6.2–6.2.3 (m, 1H, H4′′′), 6.72–6.73 (m, 1H, H4′′), 6.82 (d, J = 2.8 Hz, 1H, H3′′′), 7.08 (d, J = 3.6 Hz, 1H, H3′′), 7.13 (d, J = 6.4 Hz, 1H, H7′), 7.40–7.47 (m, 2H, H3′ + H6′), 7.77 (s, 1H, H5′′′), 7.90 (s, 1H, H5′′), 8.19 (d, J = 8.8 Hz, 1H, H5′), 8.42 (d, J = 8,4 Hz, 1H, H4′), 13.35 (s, 1H, NHimid). The signal of OH was not visualized.

2.2. Preliminary Chemosensing Studies of Imidazole Derivative 1

The solutions of compound 1 and ions were prepared with concentrations of 1 × 10−5 and 1 × 10−2 mol/dm3, respectively, in ACN. Then, 50 equivalents of each ion were added to 1 mL of solution of compound 1. Taking into account these results, it was decided to carry out a new preliminary test in some cases. This consisted of preparing the same solutions of the compound and the ions, with equal concentrations, but a mixture of ACN/water (75:25) was used as solvent. Similarly, 50 equivalents of each ion were added to the imidazole 1 solution.

3. Results and Discussion

3.1. Synthesis and Spectroscopic Characterization of Imidazole Derivative 1

The synthesis of imidazole derivative 1 was performed in ethanol, using 8-hydroxy-quinoline-2-carbaldehyde (I), furil (II), ammonium acetate and iodine, as catalyst (Scheme 1). After purifying the product by chromatography, using DCM/methanol (10:1) as eluent, the pure derivative 1 was obtained in the form of a dark green solid in 25% yield.
The photophysical properties of imidazole derivate 1 were studied in ACN solution. The compound showed an intense absorption band (log ε = 3.9) at 376 nm and an emission band at 499 nm. The Stoke’s shift was 123 nm. The relative fluorescence quantum yield, determined by using 9,10-diphenyl anthracene in ethanol as fluorescence standard [3], was found to be 0.26.

3.2. Preliminary Studies of the Sensing Capacity of the Imidazole Derivative 1

A preliminary sensing study was carried out at room temperature, in order to check if there were variations in color and fluorescence of the imidazole derivative 1 solution in the presence of selected ions. Thus, the visualization of the solutions, after addition of 50 equivalents of the studied ions, was performed through “naked eye” detection and in a UV-Vis chamber, under ultraviolet light at 365 nm.

3.2.1. Sensing Capacity of Imidazole Derivative 1, in ACN

Regarding the interaction of compound 1 with anions (Figure 2), no color changes were observed (Figure 2A). In case of fluorescence response (Figure 2B), the imidazole derivative showed a partial quenching of fluorescence in the presence of AcO and changes in λem of fluorescence (from green to orange), upon the interaction with CN and F.
In case of the interaction of compound 1 with cations (Figure 3), no color changes were observed (Figure 3A). With incidence of ultraviolet radiation (Figure 3B), it was observed a quenching of fluorescence for Hg2+, Co2+, Pb2+, Mn2+, Fe2+, Ni2+, Cu2+, Pd2+, Sn2+, Fe3+, and Al3+ ions. There was also a change in λem in the presence of TBT+, Zn2+, and Cd2+ accompanied by a change from green to red color (for TBT+ and Zn2+) and orange (for Cd2+). Finally, it was possible to visualize an enhancement of fluorescence upon the interaction with Ca2+.

3.2.2. Sensing Capacity of Imidazole Derivative 1, in ACN/Water (75:25)

In order to see the potential biological and environmental application of this heterocyclic receptor, the chemosensory studies were also performed in ACN/water (75:25) solutions. Regarding the interaction of compound 1 with anions (Figure 4), no color changes were observed (Figure 4A). In case of fluorescence response (Figure 4B), the imidazole derivative showed a quenching of fluorescence in the presence of ClO4.
In case of the interaction of compound 1 with cations (Figure 5), no color changes were observed (Figure 5A). With incidence of ultraviolet radiation (Figure 5B), it was observed a quenching of fluorescence of 1 in the presence of Na+, Cu+, Hg2+, Co2+, Pb2+, Ni2+, Cd2+, Cu2+, and Pd2+ ions. There was also a change in λem accompanied by a change from green to red color in the presence of TBT+.

4. Conclusions

A novel 2,4,5-trisubstituted imidazole derivative with heteroaromatic groups was synthesized, through a simple method. The new compound was characterized by 1H NMR, UV-Vis absorption, and fluorescence spectroscopies.
Considering the structure of imidazole 1 with various potential binding groups, a preliminary chemosensory study was undertaken in ACN and ACN/water solutions in the presence of relevant ions with biological, medicinal, and environmental relevance showing that this heterocyclic receptor has a potential application as a colorimetric/fluorimetric chemosensor. A more detailed study concerning the interaction of imidazole 1 with the ions that gave the most interesting results will be undertaken through spectrophotometric and spectrofluorimetric titrations.

Author Contributions

Conceptualization, M.M.M.R.; methodology, M.M.M.R. and S.P.G.C.; validation, M.M.M.R. and S.P.G.C.; formal analysis, O.M.P.F.L., N.L.P.R., M.M.M.R. and S.P.G.C.; investigation, O.M.P.F.L., N.L.P.R.; resources, M.M.M.R. and S.P.G.C.; writing—original draft preparation, O.M.P.F.L.; N.L.P.R.; writing—review and editing, O.M.P.F.L., N.L.P.R., M.M.M.R., S.P.G.C.; supervision, M.M.M.R. and S.P.G.C.; project administration, M.M.M.R.; funding acquisition, M.M.M.R. and S.P.G.C.; All authors have read and agreed to the published version of the manuscript.

Funding

This research was funded by the Foundation for Science and Technology (FCT) for financial support to CQ/UM (UID/QUI/00686/2020). Thanks are also due to FCT for financial support to the Portuguese NMR Network (PTNMR, Bruker Avance III 400-Univ. Minho).

Institutional Review Board Statement

Not applicable.

Informed Consent Statement

Not applicable.

Data Availability Statement

Not applicable.

Conflicts of Interest

The authors declare no conflict of interest.

References

  1. Pina, J.; Seixas de Melo, J.S.; Batista, R.M.F.; Costa, S.P.G.; Raposo, M.M.M. Synthesis and characterization of the ground and excited states of tripodal-like oligothienyl-imidazoles. J. Phys. Chem. B 2010, 114, 4964–4972. [Google Scholar] [CrossRef] [PubMed] [Green Version]
  2. Molina, P.; Tárraga, A.; Otón, F. Imidazole derivatives: A comprehensive survey of their recognition properties. Org. Biomol. Chem. 2012, 10, 1711–1724. [Google Scholar] [CrossRef] [PubMed]
  3. Ferreira, R.C.M.; Costa, S.P.G.; Gonçalves, H.; Belsley, M.; Raposo, M.M.M. Fluorescent phenanthroimidazoles functionalized with heterocyclic spacers: Synthesis, optical chemosensory ability and two-photon absorption (TPA) properties. New J. Chem. 2017, 41, 12866–12878. [Google Scholar] [CrossRef]
  4. Okda, H.E.; El Sayed, S.; Ferreira, R.C.M.; Costa, S.P.G.; Raposo, M.M.M.; Martínez-Máñez, R.; Sancenón, F. 4-(4,5-Diphenyl-1H-imidazole-2-yl)-N,N-dimethylaniline-Cu(II) complex, a highly selective probe for glutathione sensing in water-acetonitrile mixtures. Dyes Pigm. 2018, 159, 45–48. [Google Scholar] [CrossRef]
  5. Okda, H.E.; Sayed, S.E.; Ferreira, R.C.M.; Otri, I.; Costa, S.P.G.; Raposo, M.M.M.; Martínez-Máñez, R.; Sancenón, F. A simple and easy-to-prepare imidazole-based probe for the selective chromofluorogenic recognition of biothiols and Cu(II) in aqueous environments. Dyes Pigm. 2019, 162, 303–308. [Google Scholar] [CrossRef]
  6. Moreira, X.; Santos, P.; Faustino, M.A.F.; Raposo, M.M.M.; Costa, S.P.G.; Moura, N.M.M.; Gomes, A.T.P.C.; Almeida, A.; Neves, M.G.P.M.S. An insight into the synthesis of cationic porphyrin-imidazole derivatives and their photodynamic inactivation efficiency against Escherichia coli. Dyes Pigm. 2020, 178, 108330. [Google Scholar] [CrossRef]
  7. Sousa, R.P.C.L.; Figueira, R.B.; Gomes, B.; Costa, S.P.G.; Azenha, M.; Pereira, R.P.C.L.; Raposo, M.M.M. Organic-inorganic hybrid sol-gel materials doped with a fluorescent triarylimidazole derivative. RSC Adv. 2021, 11, 24613–24623. [Google Scholar] [CrossRef]
  8. Bellina, F.; Cauteruccio, S.; Rossi, R. Synthesis and biological activity of vicinal diaryl-substituted 1H-imidazoles. Tetrahedron 2007, 63, 4571–4624. [Google Scholar] [CrossRef]
Figure 1. Structure of imidazole derivative 1.
Figure 1. Structure of imidazole derivative 1.
Chemproc 08 00015 g001
Scheme 1. Synthesis of imidazole derivative 1.
Scheme 1. Synthesis of imidazole derivative 1.
Chemproc 08 00015 sch001
Figure 2. Solutions of compound 1, in ACN, after adding 50 equivalents of anions, under natural light (A) and UV radiation at 365 nm (B).
Figure 2. Solutions of compound 1, in ACN, after adding 50 equivalents of anions, under natural light (A) and UV radiation at 365 nm (B).
Chemproc 08 00015 g002
Figure 3. Solutions of compound 1, in ACN, after adding 50 equivalents of cations, under natural light (A) and UV radiation at 365 nm (B).
Figure 3. Solutions of compound 1, in ACN, after adding 50 equivalents of cations, under natural light (A) and UV radiation at 365 nm (B).
Chemproc 08 00015 g003
Figure 4. Solutions of compound 1, in ACN/water (75:25), after adding 50 equivalents of anions, under natural light (A) and UV radiation at 365 nm (B).
Figure 4. Solutions of compound 1, in ACN/water (75:25), after adding 50 equivalents of anions, under natural light (A) and UV radiation at 365 nm (B).
Chemproc 08 00015 g004
Figure 5. Solutions of compound 1, in ACN/water (75:25), after adding 50 equivalents of cations, under natural light (A) and UV radiation at 365 nm (B).
Figure 5. Solutions of compound 1, in ACN/water (75:25), after adding 50 equivalents of cations, under natural light (A) and UV radiation at 365 nm (B).
Chemproc 08 00015 g005
Publisher’s Note: MDPI stays neutral with regard to jurisdictional claims in published maps and institutional affiliations.

Share and Cite

MDPI and ACS Style

Luís, O.M.P.F.; Ramos, N.L.P.; Costa, S.P.G.; Raposo, M.M.M. Synthesis, Characterization, and Preliminary Chemosensory Ability of a Novel 2,4,5-Tri(Hetero)Arylimidazole Based on an 8-Hydroxy-Quinoline Group. Chem. Proc. 2022, 8, 15. https://doi.org/10.3390/ecsoc-25-11748

AMA Style

Luís OMPF, Ramos NLP, Costa SPG, Raposo MMM. Synthesis, Characterization, and Preliminary Chemosensory Ability of a Novel 2,4,5-Tri(Hetero)Arylimidazole Based on an 8-Hydroxy-Quinoline Group. Chemistry Proceedings. 2022; 8(1):15. https://doi.org/10.3390/ecsoc-25-11748

Chicago/Turabian Style

Luís, Odília M. P. F., Nuna L. P. Ramos, Susana P. G. Costa, and Maria Manuela M. Raposo. 2022. "Synthesis, Characterization, and Preliminary Chemosensory Ability of a Novel 2,4,5-Tri(Hetero)Arylimidazole Based on an 8-Hydroxy-Quinoline Group" Chemistry Proceedings 8, no. 1: 15. https://doi.org/10.3390/ecsoc-25-11748

APA Style

Luís, O. M. P. F., Ramos, N. L. P., Costa, S. P. G., & Raposo, M. M. M. (2022). Synthesis, Characterization, and Preliminary Chemosensory Ability of a Novel 2,4,5-Tri(Hetero)Arylimidazole Based on an 8-Hydroxy-Quinoline Group. Chemistry Proceedings, 8(1), 15. https://doi.org/10.3390/ecsoc-25-11748

Article Metrics

Back to TopTop