A Novel Flavonoid Ester Derivative from the Ethyl Acetate Fraction of Nelsonia canescens: Isolation and Structural Elucidation Techniques †
Abstract
1. Introduction
2. Material and Method
2.1. General Experimental Procedures
2.2. Plant Material
2.3. Extraction and Purification
2.4. Isolation of Compound
2.4.1. Column Chromatography of Ethyl Acetate Fraction
2.4.2. Gel Filtration Chromatography of A1
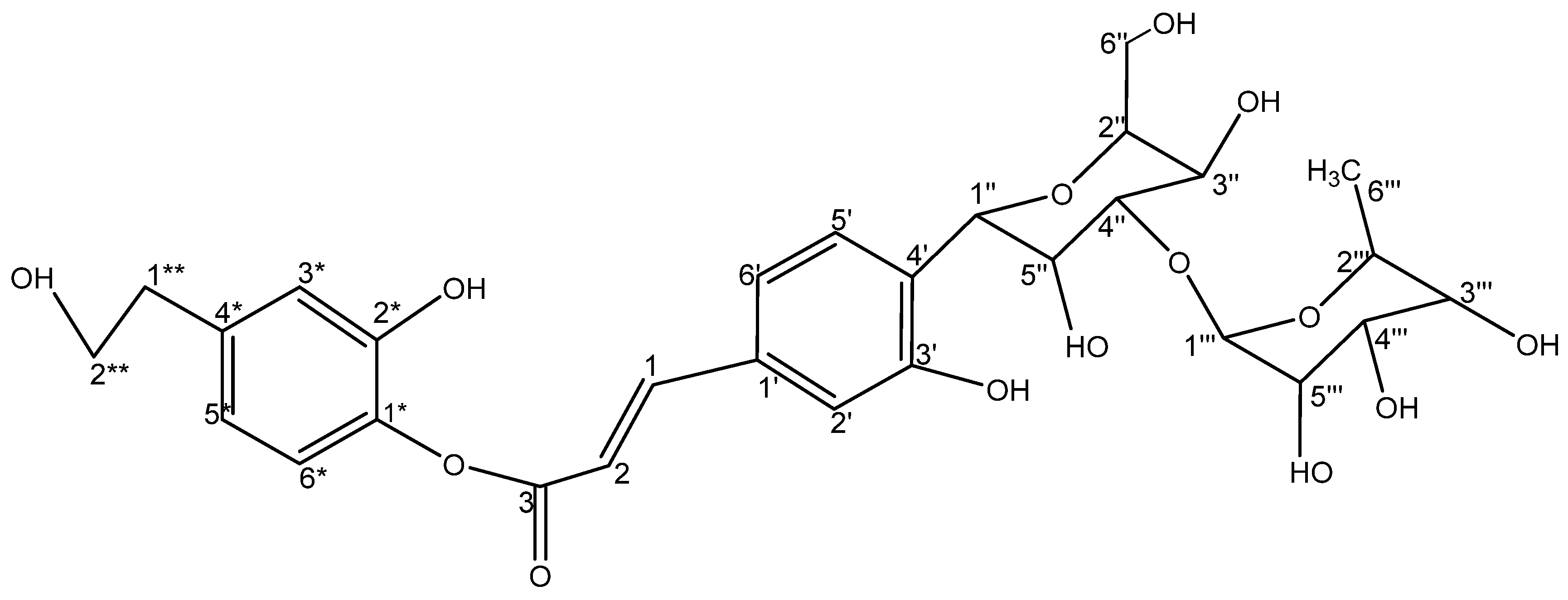
3. Results and Discussions
4. Conclusions
Author Contributions
Funding
Institutional Review Board Statement
Informed Consent Statement
Data Availability Statement
Conflicts of Interest
References
- Ezeonu, F.C.; Chidume, G.I.; Udedi, S.C. Insetici dal properties of volatile extracts of orange peels. Bioresour. Technol. 2001, 76, 273–274. [Google Scholar] [CrossRef] [PubMed]
- Koehn, F.E.; Carter, G.T. The evolving role of natural products in drug discovery. Nat. Rev. Drug Discov. 2005, 4, 206–220. [Google Scholar] [CrossRef] [PubMed]
- Balunas, M.J.; Kinghorn, A.D. Drug discovery from medicinal plants. Life Sci. 2005, 78, 431–441. [Google Scholar] [CrossRef] [PubMed]
- Jones, W.P.; Chin, Y.W.; Kinghorn, A.D. The role of pharmacognosy in modern medicine and pharmacy. Curr. Drug Targets 2006, 7, 247–264. [Google Scholar] [CrossRef] [PubMed]
- Drahl, C.; Cravatt, B.F.; Sorensen, E.J. Protein reactive natural products. Angew. Chem. Int. Ed. Engl. 2005, 44, 5788–5809. [Google Scholar] [CrossRef] [PubMed]
- Branco, A.; Pereira, A.S.; Cardoso, J.N.; Aquino Neto, F.R.; Pinto, A.C.; Braz-Filho, R. Further lipophilic flavonols in Vellozia graminifolia (Vellozia ceae) by high temperature gas chromatography: Quick de tectionofnewcompounds. Phytochem. Anal. 2001, 2, 266–270. [Google Scholar] [CrossRef] [PubMed]
- Oliveira, B.H.; Nakashima, T.; Souza Filho, J.D.; Frehse, F.L. HPLC analysis of flavonoids in Eupatorium littorale. J. Braz. Chem. Soc. 2001, 12, 243–246. [Google Scholar] [CrossRef]
- Gorripati, S.; Rajashekar, K.; Dasu, D.; Jupaka, A.; Thupurani, M.K. Bactericidal activity of Flavonoids isolated from Muntingia calabura. Int. J. Life Sci. Scienti. Res. 2018, 2455, 1716. [Google Scholar] [CrossRef]
- Grubben, G.J.H.; Denton, O.A. (Eds.) PROTA PROTA4U Web Database; Plant Resources of Tropical Africa: Wageningen, The Netherlands, 2014. [Google Scholar]
- Hussaini, I.; Yusuf, H.; Moki, E.C.; Owoyele, B.V. Quantitative Phytochemical and In-Vitro Antimicrobial Activity of Aqueous Leaves Extract of Blue Pussy leaf (Nelsonia canescens) (Lam.) Spreng. Greener J. Med. Sci. 2019, 9, 40–45. [Google Scholar] [CrossRef]
- Nabèrè, O.; Hilou, A.; Guenné, S.; Konaté, K.; Zerbo, P.; Meda, N.R.; Compaoré, M.; Kiendrébeogo, M.; Millogo, F.J.; Nacoulma, O.G. Antibacterial and Phytochemical studies of three Acanthaceae species used in Burkina Faso traditional medicine. J. Appl. Pharm. Sci. 2013, 3, 049–055. [Google Scholar]
- Dettweiler, M.; Marquez, L.; Bao, M.; Quave, C.L. Quantifying synergy in the bioassay-guided fractionation of natural product extracts. PLoS ONE 2020, 15, e0235723. [Google Scholar] [CrossRef]
- Garba, D.; Ali, B.H.; Bawa, B.; Sanusi, A.; Sani, Y.M.; Magaji, M.G.; Abdullahi, M.I.; Musa, A.M.; Sadiya, H.H. Isolation of secondary metabolites from leaves of Globimetula oreophila parasitizing Azadirachta indica: A spectroscopic study. Discov. Plants 2024, 1, 1–14. [Google Scholar] [CrossRef]
- Mabry, T.J.; Markham, K.R.; Thomas, M.B. The Systematic Identification of Flavonoids; Springer: Berlin/Heidelberg, Germany, 1970; pp. 261–294. [Google Scholar]
- Abdullahi, S.M.; Musa, A.M.; Abdullahi, M.I.; Sule, M.I.; Sani, Y.M. Isolation of lupeol from the stem bark of Lonchocarpus sericeus (Papilionaceae). Sch. Acad. J. Biosci. 2013, 1, 18–19. [Google Scholar]
- Zhang, X.F.; Hung, T.M.; Phuong, P.T.; Ngoc, T.M.; Min, B.S.; Song, K.S.; Seong, Y.H.; Bae, K.H. Anti-inflammatory activity of flavonoids from Populus davidiana. Arch. Pharmacal. Res. 2006, 29, 1102–1108. [Google Scholar] [CrossRef] [PubMed]
- Dauda, G.; Haruna, A.K.; Bila, H.; Sani, Y.M.; Haruna, A.; Musa, A.; Abdullahi, M. Prenylated quercetin from the leaves extract of Globimetula ore ophila (HOOK. K) Danser. Niger. J. Sci. Res. 2017, 16, 731–735. [Google Scholar]
- Lee, Y.-L.; Cesario, T.; Wang, Y.; Shanbrom, E.; Thrupp, L. Antibacterial activity of vegetables and juices. Nutrition 2003, 19, 994. [Google Scholar] [CrossRef] [PubMed]
- Salim, S.A.; Hassan, M.A.; Ibrahim, A.A. Analysis of 13C NMR Spectra of some phenyl acetates. J. Chem. Soc. Pak. 1981, 3, 2. [Google Scholar]

| Position | 1H, J(Hz) | 13C | DEPT | COSY | HMBC |
|---|---|---|---|---|---|
| 1 | 7.62(1H, d, J = 16 Hz) | 146.67 | CH | H-2 | C-2,3,6′ |
| 2 | 6.30(1H, d, J = 16 HZ) | 113.36 | CH | H-1 | C-1,1′ |
| 3 | 166.99 | ||||
| 1* | 143 | ||||
| 2* | 144.71 | ||||
| 3* | 6.70(2H, dd, J = 1.6, 8 Hz) | 115.29 | CH | H-5* | C-1*,4*6′ |
| 4* | 130.17 | ||||
| 5* | 6.59(1H, dd, J = 1.6, 8 Hz) | 119.95 | CH | H-6* | C-1*,2*3*6* |
| 6* | 6.70(2H, dd, J = 1.6, 8 Hz) | 115.29 | CH | H-5* | C-1*,4*6′ |
| 1** | 2.81(2H, t, J = 6.4, 12 Hz) | 35.16 | CH2 | H-2** | |
| 2** | 3.84(1H, t, J = 9.2, 18.4 Hz) | 70.96 | CH2 | H-1** | |
| 1′ | 126.31 | ||||
| 2′ | 7.09(1H, d, J = 1.6 Hz) | 113.95 | CH | H-6′ | C-1′,3′,4′ |
| 3′ | 145.41 | ||||
| 4′ | 148.37 | ||||
| 5′ | 6.81(1H, d, J = 8 Hz) | 115.01 | CH | H-6′ | C-1′,3,’4′ |
| 6′ | 6.98(1H, dd, J = 1.6, 8 Hz) | 121.88 | CH | H-2′ | C-2′,3′ |
| 1′′ | 4.39(1H, t, J = 8, 17.6 Hz) | 102.79 | CH | H-6′′ | |
| 2′′ | 4.07(1H, m, J = 8.4, 16 Hz) | 74.60 | CH | ||
| 3′′ | 4.07(1H, m, J = 8.4, 16 Hz) | 80.32 | CH | H-4′′ | |
| 4′′ | 3.36(2H, t, J = 6.4, 12 Hz) | 69.04 | CH | H-3′′ | |
| 5′′ | 3.36(2H, t, J = 6.4, 12 Hz) | 74.80 | CH | ||
| 6′′ | 3.84(1H, t, J = 9.2, 18.4 Hz) | 60.99 | CH2 | H-1′′ | |
| 1′′′ | 5.21(1H, s) | 101.63 | CH | ||
| 2′′′ | 3.66(1H, m, J = 2.4, 8 Hz) | 70.69 | CH | ||
| 3′′′ | 4.07(1H, m, J = 8.4, 16 Hz) | 70.87 | CH | ||
| 4′′′ | 3.36(2H, t, J = 6.4, 12 Hz) | 72.43 | CH | ||
| 5′′′ | 3.66(1H, m, J = 2.4, 8 Hz) | 69.24 | CH | ||
| 6′′′ | 1.12(3H, d, J = 6.4 Hz) | 17.08 | CH3 | H-3′′ |
Disclaimer/Publisher’s Note: The statements, opinions and data contained in all publications are solely those of the individual author(s) and contributor(s) and not of MDPI and/or the editor(s). MDPI and/or the editor(s) disclaim responsibility for any injury to people or property resulting from any ideas, methods, instructions or products referred to in the content. |
© 2025 by the authors. Licensee MDPI, Basel, Switzerland. This article is an open access article distributed under the terms and conditions of the Creative Commons Attribution (CC BY) license (https://creativecommons.org/licenses/by/4.0/).
Share and Cite
Abdullahi, A.A.; Garba, D.; Sani, Y.M.; Sule, M.I. A Novel Flavonoid Ester Derivative from the Ethyl Acetate Fraction of Nelsonia canescens: Isolation and Structural Elucidation Techniques. Chem. Proc. 2025, 18, 20. https://doi.org/10.3390/ecsoc-29-26863
Abdullahi AA, Garba D, Sani YM, Sule MI. A Novel Flavonoid Ester Derivative from the Ethyl Acetate Fraction of Nelsonia canescens: Isolation and Structural Elucidation Techniques. Chemistry Proceedings. 2025; 18(1):20. https://doi.org/10.3390/ecsoc-29-26863
Chicago/Turabian StyleAbdullahi, Abubakar Abdulhameed, Dauda Garba, Yahaya Mohammed Sani, and Mohammed Ibrahim Sule. 2025. "A Novel Flavonoid Ester Derivative from the Ethyl Acetate Fraction of Nelsonia canescens: Isolation and Structural Elucidation Techniques" Chemistry Proceedings 18, no. 1: 20. https://doi.org/10.3390/ecsoc-29-26863
APA StyleAbdullahi, A. A., Garba, D., Sani, Y. M., & Sule, M. I. (2025). A Novel Flavonoid Ester Derivative from the Ethyl Acetate Fraction of Nelsonia canescens: Isolation and Structural Elucidation Techniques. Chemistry Proceedings, 18(1), 20. https://doi.org/10.3390/ecsoc-29-26863

