Effect of EM Sandwich Compost on the Enzymatic Activities of the Soil Planted with Bok Choy (Brassica rapa subsp. chinensis) †
Abstract
:1. Introduction
2. Materials and Methods
2.1. Study Site
2.2. Treatments
2.3. Soil Analysis
2.4. Statistical Analysis
3. Results and Discussion
3.1. Soil pH
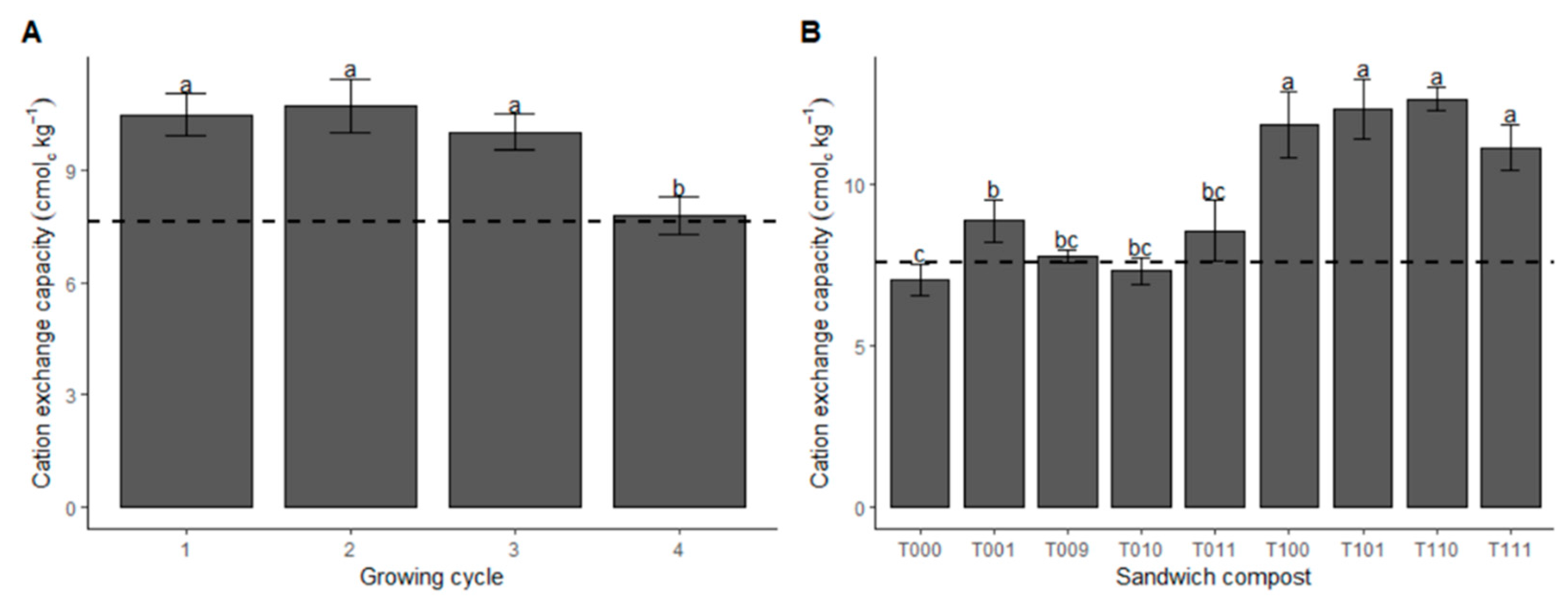
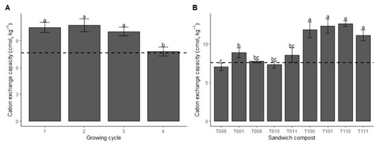
3.2. Cation Exchange Capacity
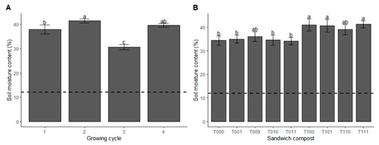
3.3. Soil Moisture Content
3.4. Soil Aggregate Stability
3.5. Soil Catalase Activity
3.6. Soil Urease Activity
4. Conclusions
Supplementary Materials
Author Contributions
Funding
Institutional Review Board Statement
Informed Consent Statement
Data Availability Statement
Acknowledgments
Conflicts of Interest
References
- Shaw, L.J.; Burns, R.G. Microbiological Methods for Assessing Soil Quality; Bloem, J., Hopkins, D.W., Benedetti, A., Eds.; CABI: Wallingford, UK, 2005; ISBN 9780851990989. [Google Scholar]
- Guan, S. Soil Enzymes and Their Research Methods; Agricultural Press: Beijing, China, 1986; ISBN 16144-3123. [Google Scholar]
- Bautista-Cruz, A.; Domínguez, C.; Mendoza, R.; de las Nieves, M.; Pacheco, P. Revista de la Facultad de Ciencias Agrarias. Ciencias Agrar. 2014, 46, 181–193. [Google Scholar]
- Sodhi, G.P.S.; Beri, V.; Benbi, D.K. Soil aggregation and distribution of carbon and nitrogen in different fractions under long-term application of compost in rice–wheat system. Soil Tillage Res. 2009, 103, 412–418. [Google Scholar] [CrossRef]
- Cosentino, D.; Chenu, C.; Le Bissonnais, Y. Aggregate stability and microbial community dynamics under drying–wetting cycles in a silt loam soil. Soil Biol. Biochem. 2006, 38, 2053–2062. [Google Scholar] [CrossRef]
- Haynes, R.J. Interactions between soil organic matter status, cropping history, method of quantification and sample pretreatment and their effects on measured aggregate stability. Biol. Fertil. Soils 2000, 30, 270–275. [Google Scholar] [CrossRef]
- Pertanian, P. Panduan Penanaman Sawi. 2021. Available online: http://www.pertanianperak.gov.my/images/PakejTeknologi/sawi.pdf (accessed on 14 January 2022).
- Phooi, C.L.; Azman, E.A.; Ismail, R.; Shahruddin, S. Effect of Sandwich Compost Leachate on Allium Tuberosum Seed Germination. Pertanika J. Trop. Agric. Sci. 2022, 45, 481–490. [Google Scholar] [CrossRef]
- O’hare, T.J.; Wong, L.S.; Force, L.E.; Irving, D.E. Glucosinolate composition and anti-cancer potential of seed-sprouts from horticultural members of the brassicaceae. Acta Hortic. 2007, 744, 181–188. [Google Scholar] [CrossRef]
- Alias, N.S.B.; Billa, L.; Muhammad, A.; Singh, A. Priming and temperature effects on germination and early seedling growth of some Brassica spp. Acta Hortic. 2018, 1225, 407–414. [Google Scholar] [CrossRef]
- Olle, M.; Williams, I.H. Effective microorganisms and their influence on vegetable production—A review. J. Hortic. Sci. Biotechnol. 2013, 88, 380–386. [Google Scholar] [CrossRef]
- Xu, Z.; Zhang, T.; Wang, S.; Wang, Z. Soil pH and C/N ratio determines spatial variations in soil microbial communities and enzymatic activities of the agricultural ecosystems in Northeast China: Jilin Province case. Appl. Soil Ecol. 2020, 155, 103629. [Google Scholar] [CrossRef]
- Teh, C.; Talib, J. Bin. In Soil Physics Analyses; Universiti Putra Malaysia Press: Serdang, Malaysia, 2006; Volume I. [Google Scholar]
- Wei, T.; Simko, V.; Levy, M.; Xie, Y.; Jin, Y.; Zemla, J. R Package “Corrplot”: Visualization of a Correlation Matrix, Version 0.92; The R Foundation: Vienna, Austria, 2021.
- Qiu, L.; Zhang, X.; Li, L.; Gao, J. Changes in soil properties with vegetation types in highland grassland of the Loess Plateau, China. African J. Biotechnol. 2011, 10, 15977–15988. [Google Scholar] [CrossRef]
- Sharma, I.; Ahmad, P. Catalase: A Versatile Antioxidant in Plants. In Oxidative Damage to Plants: Antioxidant Networks and Signaling; Academic Press: Cambridge, MA, USA, 2014; pp. 131–148. ISBN 9780127999630. [Google Scholar]
- Udawatta, R.P.; Kremer, R.J.; Adamson, B.W.; Anderson, S.H. Variations in soil aggregate stability and enzyme activities in a temperate agroforestry practice. Appl. Soil Ecol. 2008, 39, 153–160. [Google Scholar] [CrossRef]
- Prayogo, C.; Ihsan, M. Utilization of LCC (Legume Cover Crop) and bokashi fertilizer for the efficiency of Fe and Mn uptake of former coal mine land. J. Degrad. Min. Lands Manag. 2018, 6, 1527–1537. [Google Scholar] [CrossRef]
- Mansoor, S.; Kour, N.; Manhas, S.; Zahid, S.; Wani, O.A.; Sharma, V.; Wijaya, L.; Alyemeni, M.N.; Alsahli, A.A.; El-Serehy, H.A.; et al. Biochar as a tool for effective management of drought and heavy metal toxicity. Chemosphere 2021, 271, 129458. [Google Scholar] [CrossRef] [PubMed]
- Ma, Q.; Cao, X.; Xie, Y.; Gu, Y.; Feng, Y.; Mi, W.; Yang, X.; Wu, L. Effect of PH on the Uptake and Metabolism of Glycine in Pak Choi (Brassica chinensis L.). Environ. Exp. Bot. 2017, 133, 139–150. [Google Scholar] [CrossRef]
- Xiaohou, S.; Min, T.; Ping, J.; Weiling, C. Effect of EM Bokashi application on control of secondary soil salinization. Water Sci. Eng. 2008, 1, 99–106. [Google Scholar] [CrossRef]
- Khan, N.; Bano, A.M.D.; Babar, A. Impacts of plant growth promoters and plant growth regulators on rainfed agriculture. PLoS ONE 2020, 15, e0231426. [Google Scholar] [CrossRef] [PubMed] [Green Version]
- Yu, Z.; Zheng, Y.; Zhang, J.; Zhang, C.; Ma, D.; Chen, L.; Cai, T. Importance of soil interparticle forces and organic matter for aggregate stability in a temperate soil and a subtropical soil. Geoderma 2020, 362, 114088. [Google Scholar] [CrossRef]
- Zaman, M.; Cameron, K.C.; Di, H.J.; Inubushi, K. Changes in mineral N, microbial biomass and enzyme activities in different soil depths after surface applications of dairy shed effluent and chemical fertilizer. Nutr. Cycl. Agroecosyst. 2002, 63, 275–290. [Google Scholar] [CrossRef]






| Treatment | 1 Sandwich Compost Substrate | 2 Sandwich Compost Leachate | 3 Sandwich Compost Leachate |
|---|---|---|---|
| T000 | 0 | 0 | 0 |
| T001 | 0 | 0 | 1 |
| T009 4 | 0 | 0 | 9 |
| T010 | 0 | 1 | 0 |
| T011 | 0 | 1 | 1 |
| T100 | 1 | 0 | 0 |
| T101 | 1 | 0 | 1 |
| T110 | 1 | 1 | 0 |
| T111 | 1 | 1 | 1 |
Publisher’s Note: MDPI stays neutral with regard to jurisdictional claims in published maps and institutional affiliations. |
© 2022 by the authors. Licensee MDPI, Basel, Switzerland. This article is an open access article distributed under the terms and conditions of the Creative Commons Attribution (CC BY) license (https://creativecommons.org/licenses/by/4.0/).
Share and Cite
Phooi, C.L.; Azman, E.A.; Ismail, R. Effect of EM Sandwich Compost on the Enzymatic Activities of the Soil Planted with Bok Choy (Brassica rapa subsp. chinensis). Chem. Proc. 2022, 10, 32. https://doi.org/10.3390/IOCAG2022-12197
Phooi CL, Azman EA, Ismail R. Effect of EM Sandwich Compost on the Enzymatic Activities of the Soil Planted with Bok Choy (Brassica rapa subsp. chinensis). Chemistry Proceedings. 2022; 10(1):32. https://doi.org/10.3390/IOCAG2022-12197
Chicago/Turabian StylePhooi, Chooi Lin, Elisa Azura Azman, and Roslan Ismail. 2022. "Effect of EM Sandwich Compost on the Enzymatic Activities of the Soil Planted with Bok Choy (Brassica rapa subsp. chinensis)" Chemistry Proceedings 10, no. 1: 32. https://doi.org/10.3390/IOCAG2022-12197
APA StylePhooi, C. L., Azman, E. A., & Ismail, R. (2022). Effect of EM Sandwich Compost on the Enzymatic Activities of the Soil Planted with Bok Choy (Brassica rapa subsp. chinensis). Chemistry Proceedings, 10(1), 32. https://doi.org/10.3390/IOCAG2022-12197

