Next Article in Journal
Bacterial Cellulose Purification with Non-Conventional, Biodegradable Surfactants
Next Article in Special Issue
Methyl Orange Adsorption Using Chitosan-Based Composite Aerogels Produced by Supercritical Gel Drying
Previous Article in Journal
Super Porous Carboxymethyl Cellulose–Tannic Acid (TA@CMC) Cryogels with Antioxidant, Antibacterial, and α-Glucosidase Enzyme Inhibition Abilities
Previous Article in Special Issue
Gelation and Cryogelation of Chitosan: Origin of Low Efficiency of Diglycidyl Ethers as Cross-Linkers in Acetic Acid Solutions
 
 
Font Type:
Arial Georgia Verdana
Font Size:
Aa Aa Aa
Line Spacing:
Column Width:
Background:
Article

Comparative Study on Polyelectrolyte Complex Formation of Chitosan and Pectin or PEMA: Effects of Molecular Weight and Mixing Speed

Leibniz-Institut für Polymerforschung Dresden e.V., Hohe Str. 6, 01069 Dresden, Germany
*
Author to whom correspondence should be addressed.
Polysaccharides 2024, 5(4), 842-856; https://doi.org/10.3390/polysaccharides5040052
Submission received: 22 October 2024 / Revised: 2 December 2024 / Accepted: 4 December 2024 / Published: 9 December 2024

Abstract

Polyelectrolyte complexes (PECs) have gained increasing attention in recent decades due to their importance in various applications, such as water treatment and paper processing. These complexes are formed by mixtures of polycations (n+) and polyanions (n−), known as polyelectrolytes (PEs). In this study, a series of PECs were prepared with different molar charge ratios (n−/n+) using biopolymers such as chitosan (lch) and pectin (p) at pH 5, in addition to the synthetic polymer poly(ethylene alt maleic acid) (PEMA) at the same pH. Two types of chitosan—low molecular weight chitosan (lch) and high molecular weight chitosan (hch)—were used as polycations, and these were mixed with two types of pectin with either a high esterification degree (hp) or a low esterification degree (lp), as well as PEMA as polyanions. These components interacted via electrostatic forces to form the following PEC combinations: (lch&lp), (lch&hp), (hch&hp), and (lch&PEMA). The charge density, turbidity, and particle size of the formed PECs were examined to evaluate the influence of molecular weight and mixing speed on the formation process.

1. Introduction

Polyelectrolyte complexes (PEC) have attracted significant interest due to their applications in various areas such as water treatment and paper processing [1]. These PECs are formed through electrostatic interactions between positively charged polyelectrolytes (PEs), known as polycations (n+) and negatively charged PEs, known as polyanions (n−) [2]. Additional interactions, such as hydrogen bonding, hydrophobic interactions, and van der Waals forces, can also contribute to their formation [3]. The interaction between synthetic and biopolymers has received considerable attention, particularly due to the stability of the resulting PECs with the aim of replacing synthetic polymers with biopolymers. Biopolymers like chitosan and pectin are widely used to prepare natural and biodegradable PECs, owing to their abundance, cost-effectiveness, and environmentally friendly properties.
Chitosan, a cationic PE comprising copolymers of glucosamine and N-acetylglucosamine, is linked via β1-4 glycosidic bonds [4].Chitosan is derived from chitin, one of the most abundant natural biopolymers in the world [5], and it is a bio-waste product [6] obtained from seafood products notably crustaceous, in the exoskeletons of crustacean [7]. Chitosan is used in many different applications, such as water treatment [8], medicine [9], biological system [10], and in the formation of PECs [11].
On the other hand, pectin, a polyanion present in the cell walls of higher plants, particularly in the middle lamella, is primarily composed of α-D-galacturonic acid. Its monomers are connected via α-1-4 linkages, interrupted by rhamnose units [12]. The copolymer poly(etylene alt maleic acid) (PEMA) is a synthetic, water-soluble polyanion consisting of a carboxylic and carboxylate groups with ethylene as a monomer unit [10]. Thus, PEC formation from chitosan, pectin, and PEMA is facilitated by the ionized amino groups of chitosan interacting with the carboxyl groups in pectin and PEMA. The chemical structures of the different polymers are shown in Figure 1.
PECs are classified into three main groups: Soluble PEC and macroscopically homogenous systems with small PEC aggregates are included in the first group. Turbid colloidal systems with suspended PEC particles in the phase separation transition area represent the second group of PECs. The last category consists of two-phase systems containing precipitated PEC and supernatant liquid that can be effectively divided and separated as a solid after drying and washing [13]. Several factors influence the properties of the PECs such as the degree of ionization and charge distribution on PE, density of the PE as well as their charges, concentration, strength of the ionic sites, mixing ratio, mixing order, mixing duration and intensity, nature of the ionic group, chain flexibility, molecular weight, polymer structure, hydrophobicity, temperature via the preparation of the PEC, degree of complexation, pH, and ionic strength [2,14,15].
This study investigated interactions between synthetic and natural PE with opposite charges. In a study conducted by Gudrun Petzold et al., PECs were formed from the interactions between poly(diallyldimethyammoniumchloride) and poly(maleic acid-co-a-methylstyrene) in the presence of cellulose. The resulting PECs were then used for surface modification [16]. Similarly, Buchhammer et al. prepared PECs from poly(diallyldimethylammonium chloride) and copolymers of maleic acid with propene or methylstyrene, investigating the influence of NaCl on the properties of interpolyelectrolyte complexes. They found that low salt concentrations allowed for stable dispersions of positively charged PEC particles [17]. In another study by Buchhammer et al. poly(diallyldimethylammoniumchloride) was combined with copolymers of acrylamide and sodium acrylate, as well as with poly(maleic acid-co-propene). These copolymers are different in their molecular weight, charge distance, and charge density. It was observed that the size of the complex particles increased without influencing the size distribution up to a critical polymer concentration [13]. Furthermore, Ferreira et al. studied the effects of chitosan to carboxymethylcellulose, depending on the mixing ratios, temperature, and pH, on obtaining macro- and micro-polyelectrolyte complexes. They found that macro-PECs had porous networks with vacuoles of varying sizes, whereas micro-PECs exhibited uniform structures [18].
In this study, we prepared a series of polyelectrolyte complexes (PECs) using polycationic chitosan (n+), low molecular weight chitosan (lch) and high molecular weight chitosan (hch), along with polyanionic pectin (lp and hp) or poly(ethylene-alt-maleic acid) (PEMA) (n−) at various molar charge ratios (n−/n+). We compared the combinations of pure biopolyelectrolytes (ch and p) with PECs formed from chitosan and the synthetic polymer PEMA. The effects of polyelectrolyte properties were analyzed by measuring charge density, particle size distribution, and turbidity. Finally, we investigated the influence of mixing speed on the formation and properties of the prepared PECs.

2. Materials and Methods

2.1. Materials

The index numbers (90, 200, 2000, and A1) refer to the degree of deacetylation in percentage, viscosity in mPas, and 1% ash content, respectively. While the exact molecular weights of lch and hch were not provided by the manufacturer BioLog Heppe® GmbH [19], their molecular weights were inferred based on viscosity, with higher viscosity (2000 mPas) corresponding to higher molecular weight hch and lower viscosity (200 mPas) corresponding to lower molecular weight lch, as supported by established correlations in the literature [20]. Poly(etylene alt maleic acid) (PEMA) (Mw = 100,000–500,000 g/mol) was purchased from Fa. Aldrich; two forms of pectins (lp) and (hp) were provided by the company Herbstreith & Fox (Neuenbürg/Württ, Germany). pH adjustment were performed via titration using HCl salt (0.1 M) and NaOH salt (0.1 M).

2.2. Methods

2.2.1. Preparation of PEC Series from Polycation and Polyanion

The PEC series were prepared at room temperature by mixing the aqueous solutions of the negatively charged pectin or PEMA and the positively charged PE chitosan, depending on the desired molar charge ratio n−/n+. An aqueous pectin or PEMA solution with a concentration of 5 × 10−3 mol/L and an aqueous chitosan solution with a concentration of 5 × 10−3 mol/L were prepared and stirred for 24 h. The pH value of the chitosan, pectin, and PEMA solution was adjusted to pH 5. After that, the polycation chitosan solution was divided into twelve 25 mL beakers and kept under constant stirring. The polyanion pectin or PEMA was varied corresponding to the desired n−/n+ and were added dropwise using a peristaltic pump at 80 rpm. After 20 min the complex formation reached the equilibrium. This method was used for the preparation of PEC (lch&lp), (lch&hp), (hch&hp), and (lch&PEMA).

2.2.2. Preparation of PEC Series from Polycation and Polyanion Using Rapid Addition

Based on the required molar charge ratio n−/n+, the negatively charged PE PEMA or pectin was combined with the positively charged PE chitosan to create the PEC series, which were then generated at room temperature. Pectin or PEMA solutions were prepared and stirred for 24 h, along with chitosan at a concentration of 5 × 10−3 mol/L. The pH values of both PE solutions were raised to pH 5. After that, the chitosan solution was split into twelve 25 mL beakers and continuously stirred. Using a peristaltic pump set to a higher speed of 800 rpm, the pectin or PEMA solution was introduced dropwise. Twenty minutes later, the created complex was at equilibrium. The PEC (lch&hp), (hch&lp), and (lch&PEMA) were prepared using this process.

2.2.3. pH Measurement

The pH of the samples was measured at room temperature using the Seven Excellence device (Mettler Toledo, Gießen, Germany).

2.2.4. Charge Density

The charge density was carried out with a Mütek™ particle charge detector PCD-04 from BTG instruments GmbH (Weßling, Germany). A total of 10 mL of each PEC solution was added in the measuring cell. After 5 min the samples were titrated against a negative PE poly-(ethylenesulfonate sodium) (PES-Na) solution (0.001 M) or positive PE (polydiallyldimethylammonium chloride) (PDADMAC) solution (0.001 M) until zero charge was achieved.

2.2.5. Streaming Potential Measurements

The streaming potential measurements depending on pH was carried out using a Mütek™ particle charge detector PCD-04 from BTG instruments GmbH, (Weßling, Germany). For each measurement, 1 mL of each PEC was added to 14 mL of ultrapure water in the measuring cell of the instrument; the measurement was performed by titration either to pH 3 using a HCl solution (0.1 M) or to pH 9 using a NaOH solution (0.1 M) from the initial pH.

2.2.6. Scanning Electron Microscopy (SEM)

A SEM Ultra Plus from Carl Zeiss Microscopy GmbH (Oberkochen, Germany) was used to investigate the morphology of the prepared PEC and the pure biopolymers. The samples were placed on an aluminum pin sample tray using double-sided sticky carbon tape. After that, N2 was streamed through the samples to extract just a thin layer of particles. Before the examination began, the samples were sputtered with 3 nm of platinum using a Sputter Coater SCD050 from Leica Microsystems (Wetzlar, Germany). At various magnifications, the tests were performed using an acceleration voltage of 3 keV.

2.2.7. Turbidity

To explore the PEC formation, turbidity measurements were carried out. The measurements of the supernatants were performed at room temperature with the nephelometric turbidity meter IS 2100 AN provided from Hach (Düsseldorf, Germany). About 4 mL of the supernatants from the samples was added into the turbidity tube. The turbidity value was recorded as nephelometric turbidity unit (NTU).

2.2.8. Dynamic Light Scattering (DLS)

A Zetasizer ZS device from Malvern Panalytical GmbH (Kassel, Germany) was used to measure dynamic light scattering (DLS) in order to determine the distribution of the particle size of the samples. About 1 mL of the different supernatants of the PECs dispersions was filled into the DLS cuvette, and DLS was measured.

3. Results and Discussion

3.1. Formation of PECs at Normal Mixing Speed

PEC are typically formed via dropwise addition of anionic PE to cationic PE in aqueous solution. During mixing, the primary electrostatic interactions between the oppositely charged PEs lead to the formation of a heterogeneous dispersion with aggregates of various shapes and sizes from the nanometer to the micrometer scale. In addition to electrostatic interactions, hydrogen bonding plays a crucial role as a secondary interaction, significantly contributing to the stability of the ion pairing between the functional groups of the polyanions and polycations. Although less important, hydrophobic interactions also contribute to PEC stabilization by promoting polyelectrolyte clustering [21]. The charge densities of the pure materials, including chitosan, pectin, and PEMA, were measured and presented in Table 1.
Viscosity is dependent on molecular weight and increases as molecular weight increases in solutions of identical ionic strength, such as in the case of chitosan and acetic acid [20]. This suggests that chitosan with higher viscosity corresponds to a higher molecular weight, whereas lower viscosity indicates a lower molecular weight. Both lch and hch exhibit nearly identical charge densities, indicating negligible differences in the number of amine groups within the outer part of chitosan structures because of the same degree of deacetylation of 90%.
In contrast, the charge densities of the bio-based anionic polysaccharide pectin and the synthetic anionic polymer PEMA, both containing carboxyl groups, show significant variations. Specifically, lp exhibits a higher charge density of −4.88 meq/g compared to hp −3.61 meq/g, which can be attributed to differences in the degree of esterification. The higher the OCH3 content, the lower the COOH content, leading to a decrease in charge density. PEMA, in comparison to lp and hp, shows the highest negative charge density at −7.07 meq/L. This suggests that the COOH groups on the outer part of the PEMA structure is greater than those in pectin.
The streaming potential depending the pH of the PEC formed from pectin and chitosan has already been studied and published in Boughanmi et al. [22]. In this study, PEMA as a polyanion was mixed with lch as a polycation, depending on the molar charge ratio (n−/n+) to form PEC.
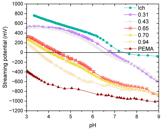
Figure 2 shows the streaming potential as a function of pH for pure lch, PEMA, and PECs (lch&PEMA). Chitosan exhibited a decrease in the streaming potential with an increase in pH, owing to the deprotonation of the amino groups, until it reached an isoelectric point (IEP) at pH 7.2. This was followed by a charge inversion from positive to negative and reached a plateau at pH 8. Due to the dissociation of the carboxylic groups, PEMA showed a decrease in negative streaming potential across the entire pH range from 3 to 9, until it reached a plateau at pH 6 with no IEP in the investigated pH range.
The results of PECs formed from chitosan and PEMA with different molar charge ratios (n−/n+) indicate a clear trend: As the proportion of PEMA increases in the mixture, the IEP of the resulting PEC decreases. The last PEC with molar charge ratio n−/n+ 0.94 displays the same curve progression as the pure PEMA, indicating that this PEC contains a higher amount of PEMA than chitosan. This suggests that higher concentrations of PEMA, the polyanionic PE, contribute to a greater negative charge density in the PEC, thereby shifting the IEP to a lower pH value.
To form PEC, it is necessary to first prepare pure material dispersions. Chitosan was dissolved in 1% v/v acetic acid. This step ensures the chitosan is fully dissolved and ready for the subsequent formation of the PEC. Pectin was stirred in ultrapure water to dissolve PEMA, then NaOH pellets were added. Because of the use of weak PE, the pH is important for charge and structure in the solution. All investigations were performed at a constant pH of 5. A series of PEC with stock solution of pure polymers were prepared, including the combinations lch&lp, lch&hp, lch&PEMA, and hch&hp. For lch&hp, lch&lp, and hch&lp the charge ratio n−/n+ ranged from 0.40 to 1.48. For lch&PEMA the charge ratios ranged from 0.20 to 1.22. The charge density, particle size, and turbidity of all prepared PEC dispersions were measured three times: on the first day, after one day, and after one week of preparation to observe the changes in the prepared PEC dispersions. The measurements taken on the first day were used to determine the initial characteristics and behavior of the PECs immediately after formation. This allowed us to observe the immediate physical and chemical modifications that took place during the early stages of PEC development, as well as to assess the system’s stability and structural integrity. Measurements taken after one day provided insights into any changes that occurred within the first 24 h. After one week, measurements to assess the long-term stability of the PECs, as well as any potential degradation, phase separation, or further evolution over time. This time point allowed us to assess the performance and durability of the PECs under experimental conditions over a longer period. The optical results of the prepared PEC dispersions are presented in Figure 3.
On the first preparation day of the PEC series with the desired molar charge ratios, it was observed that turbidity increased simultaneously with the increase in pectin or PEMA concentration in the dispersion of all four prepared PECs: lch&lp, lch&hp, lch&PEMA, and hch&hp, until the neutralization point was reached. Above the IEP, the PEC exhibited turbid dispersions with non-homogeneous distribution, characterized by the appearance of aggregates of non-uniform particle size. Notably, after one day, the positively charged PEC showed clear turbid dispersions with no significant differences compared to their appearance on the first day. After reaching the IEP, the negatively charged PEC exhibited two-phase systems, a clear supernatant and a PEC sediment. The supernatant is clearer compared to its appearance on the first day, indicating that the PECs have precipitated, leading to the formation of aggregates.
Interesting, the PECs made from lch&PEMA also showed the same results such as the positively charged PEC pure bio PEC in comparison to the negatively charged PEC. The figures for each PEC series, taken on the first day, after one day, and one week after preparation are illustrated in Tables S1–S4 in Supplementary Material.
The significant difference observed between the first day and one day after preparation of PEC can be attributed to the instability of the negatively charged PEC. The aggregates formed in PEC after the IEP tend to settle and precipitate, eventually reaching the bottom of the dispersions. The pH values and the conductivity of the PEC were measured and are presented in Tables S5–S8. It was found that an increase in the amount of pectin or PEMA in the PEC dispersions corresponded to higher conductivity, which is likely due to enhanced ionic interactions. Notably, the pH of the dispersions remained constant throughout the time.
The morphology and the macroscopic surface properties of the prepared PEC were examined using SEM and are depicted in Figure 4. The samples analyzed using SEM were initially in liquid form and were subsequently air-dried before imaging. The PECs prepared from chitosan and pectin were already presented in our previous work [22]. Figure 4 showed the SEM images of selected molar charge ratio n−/n+ = 0.31, n−/n+ = 0.65, and n−/n+ = 0.74 from lch&PEMA. The images reveal that both PEMA and chitosan individually exhibit a uniform and smooth structure, suggesting successful mixing in the PEC formation [22]. Specifically, the positively charged PEC with an n−/n+ ratio of 0.31 displays a notably high degree of homogeneity, indicating a uniform distribution of the PE facilitated by the use of a peristaltic pump, thus demonstrating good compatibility between PEMA and chitosan. We also confirmed these results by measuring the streaming potential. The streaming potential measurements provided additional proof of electrostatic interactions, confirming the ionic bonding between the COO carboxyl groups of PEMA and the NH3+ ammonium groups of chitosan.
The PEC with n−/n+ of 0.65 indicates the neutralization point showing a formation of small aggregates. The negatively charged PEC with an n−/n+ ratio of 0.74 showed a high formation of bigger aggregates.
For the quantitative analysis of changes in the surface charge of the PEC, the charge density depending the molar charge ratio n−/n+ was conducted, as depicted in Figure 5. The addition of increasing amounts of pectin to chitosan resulted in a decrease in the charge ratios of the PEC systems shown in Figure 5a,b. lch&hp, hch&hp, and lch&lp, showed IEP at n−/n+ ratios of 1.08, 1.14, and 1.08, respectively, indicating complete neutralization of the PEC at these molar ratios, accompanied by precipitation.
As more pectin was added, the charge density of the three PEC systems lch&hp, hch&hp, and lch&lp decreased, becoming negative. This phenomenon can be attributed to the carboxyl groups on the pectin chains forming complexes with the polycationic chains of chitosan, which contain a significant number of amine groups. Notably, a slight shift in the IEP to n−/n+ 1.14 was observed for the PEC system hch&hp in comparison to lch&hp and lch&lp. This suggests that longer chains facilitate more complexation between amino and carboxyl groups, until all the available amino groups on the chain are saturated. Subsequently, the presence of dissociated carboxyl groups in the dispersion leads to a negative charge. It is noteworthy that a synergistic effect was found between the polyionic substrates depending on the charge density. The turbidity measurements depending on the molar charge ratios were conducted to investigate the properties of the PEC, and the results are presented in Figure 5. Factors such as shape, concentration, and size significantly influence optical density [13]. After one day of preparation, the turbidity of the supernatants from lch&lp, lch&hp, and hch&hp demonstrated an expected increase in optical density with the increase in molar charge ratio. This increase continued up to a maximum n−/n+ ratio of 0.94, 1.08, 0.94, for lch&hp, hch&hp, and lch&lp, respectively, immediately before the IEP, where a sudden spike in turbidity was observed, followed by a sharp reduction. This behavior indicates the formation and subsequent stabilization or precipitation of aggregates up to the IEP. After the IEP, the negatively charged PEC exhibited significant variations in optical density, suggesting instability in these complexes. Interestingly, the turbidity of the supernatant of the negatively charged PECs is lower than that of the positively charged PECs across all four PEC systems. This difference in turbidity is attributed to the precipitation of the negative prepared PEC, which settle at the bottom of the dispersions.
Turbidity measurements conducted on the first day and one week after preparation are depicted in Figure S2 and revealed that the optical densities of the positively charged complexes remained steady with those observed initially, underscoring the stability of the aggregates formed up to the IEP. This stabilization is attributed to the adsorption of excess polyanion onto the initially formed positive aggregates. In contrast, the turbidity values of the negatively charged complex dispersions after one week decreased compared to measurements after one day. This trend confirmed our expectations, as illustrated in Figure S2 in SI. The turbidity of negatively charged PEC after one day, indicating precipitation of the aggregate particles to the bottom of the dispersion; this finding was further supported by particle size distribution measurements is presented in Figure S3.
The trends of the charge density observed in the lch&PEMA PEC systems in Figure 5c were remarkably similar to the other PEC, with increasing PEMA concentration; the charge density decreased until reaching the IEP at an n−/n+ ratio of 0.65. Although both PEMA and pectin contain carboxyl groups, the isoelectric point (IEP) of the PEC formed with PEMA is lower. This shift can be attributed to the differences in charge density between pectin and PEMA. Additionally, the reduction in the IEP for the PEMA system could be due to the presence of fewer hydrophobic groups compared to pectin. This decrease in hydrophobic interactions allows for more efficient electrostatic binding between PEMA and chitosan, resulting in a lower IEP.
As described earlier, the negative charge density of pectin is lower than that of PEMA, indicating that PEMA has a higher number of carboxyl groups. This higher carboxyl group content causes PEMA to reach the IEP more quickly compared to pectin. The charge density of the four studied PEC depending on time was examined and depicted in Figure S1. The diagrams at the different observed periods are almost same. The results on the first day, after one day, and after one week of preparation are congruent.
Notably, the PEC lch&PEMA exhibited almost identical optical densities as the purely biopolymer-based PEC. An initial increase in the polyanion concentration led to variations in optical density for PEC on the first day, which stabilized after one day due to aggregate precipitation. The hch&lp PEC was not prepared in this study because the expected results would be similar to those observed in the hch&hp PEC. When comparing lch&hp and hch&hp, the results indicated that, the main influence on the PEC chain comes from chitosan as evidenced by the slight shift in IEP when moving from low-chain chitosan lch to high-chain chitosan hch. Since the pectin remained constant in both cases, a similar shift in the IEP isoelectric point would be expected in high chain chitosan hch&lp.
The formation of various PECs with different molar charge ratios was carefully controlled by analyzing particle size distributions depending on molar charge ratio using DLS. The particle size of the PECs was determined by measuring the supernatants. Figure S3 illustrates the variation in particle size as a function of the molar charge ratio for the three biopolymer-based PEC and the hybrid PEC.
lch&lp demonstrated an increase in the particle size of the positively charged PEC relative to the system comprising lch&hp, where hp differs from lp in the degree of esterification. As anticipated, the increase in pectin amount lead to an increase in particle size of the non-stoichiometric PEC. Furthermore, the particle sizes of the negatively charged PEC in this system were larger compared to their positively charged counterparts, due to the higher pectin content. The IEP was consistently observed at an n−/n+ ratio of 1.14.
The hch&hp system exhibited a larger particle size than the previous systems, attributed to the use of long-chain chitosan. Moreover, the IEP has slightly raised n−/n+ ratio from 1.08 to 1.14, suggesting that the molecular weight can influence the increase in the particle size. This is in accordance with research performed by Hu et al. that showed a correlation between higher molecular weight and larger particle sizes. This is due to the enhanced complexing capability of long chains with large number of negatively charged polymer molecules [23].
lch&lp showed an increase in particle size from 378 nm at an n−/n+ ratio of 0.4 to 523 nm at an n−/n+ ratio of 0.81. This enlargement is attributed to the increased proportion of pectin within the complex. Interestingly, at an n−/n+ ratio of 0.94, just before reaching the IEP, the particle size significantly expanded, indicating the instability of the PEC at this charge ratio. At the IEP n−/n+ ratio of 1.08, it was not feasible to determine particle sizes due to the instability of the dispersion of the PEC. The PEC after the IEP showed an increase in particle sizes, correlating with the formation of negatively charged PEC, which contained a higher pectin amount compared to chitosan, explaining the larger particle sizes than those observed in positively charged PEC, owing to the formation of aggregates.
The PEC systems presented in Figure 6 exhibited a lower IEP compared to the biopolymer-based PEC system. The initial particle size for the PEC system lch&PEMA at an n−/n+ ratio of 0.20 was around 200 nm. The incorporation of additional PEMA led to an increase in particle size up to the IEP at an n−/n+ ratio of 0.64. The particle sizes of the negatively charged PECs were larger than those of the positively charged PECs. Throughout all four PEC systems, the negatively charged PECs were associated with precipitation within the dispersions, attributable to the instability of the polymers.

3.2. Influence of the Mixing Speed on the PECs Formation

The optical results of the prepared PEC dispersions are presented in Tables S9–S11. pH values and conductivity on the first day, after one day, and one week after preparation for lch&hp, hch&hp, and lch&PEMA depending on n−/n+ via rapid addition are presented in Tables S12–S14.
Figure 7 present the charge density and the turbidity of PEC formed after increasing the mixing speed. The mixing technique significantly affects PEC formation. The lch&hp, hch&hp, and lch&PEMA systems were selected to study the influence of mixing speed by increasing the drop speed 10-fold compared to the normal mixing speed. PECs were formed by adding aqueous solutions of polyanionic pectin and PEMA to a constantly stirred aqueous chitosan solution. For this study, charge density, particle size, and turbidity were examined.
The charge density of PEC lch&hp shows a gradual decrease, with the IEP remaining constant at n−/n+ 1.08, followed by a plateau. Interestingly, the particle size of PEC decreased compared to those prepared via normal mixing speed presented in Figure 5. After the IEP, the particle size of negatively charged PEC formed via rapid mixing increased. The turbidity increased, suggesting that smaller particles generally cause higher turbidity. The hch&hp system, containing high molecular weight chitosan, showed similar charge density to PEC prepared at normal mixing speeds. The particle size also decreased, leading to a slight increase in optical density, as shown in Figure S4. No changes were observed in the charge density diagram of lch&PEMA, with the IEP remaining constant. The particle size distribution depending on the molar charge ratio also increased as presented in Figure 8. The particle size shows a regular distribution diagram compared to pure biopolymer systems, as presented in Figure S6, attributed to the influence of the synthetic polyanion. Forming non-stoichiometric, pure bio-PEC with a regular pattern is generally challenging. The turbidity increased due to the formation of small particles. This reduction in the size of all PEC systems formed is due to the faster rate of PEC formation achieved via the rapid addition of the polyanion, resulting in numerous tiny particles of PEC. When many small PECs form simultaneously, there is less time and material available for the growth of the individual small PEC, resulting in smaller PEC particles overall. Rapid addition can lead to strong electrostatic interactions between the polyanion and the polycation, resulting in rapid formation of PEC particles. At the point of addition, high local concentrations of polyanion and polycation promote rapid complex formation, which can lead to smaller, more densely packed PEC particles.
In this study, we selected specific PEC combinations rather than preparing all possible PEC combinations to investigate the effect of rapid addition of polyions on the main properties, including charge density, turbidity, and particle size. Results across the three selected PECs—lch&hp, hch&lp, and lch&PEMA—showed that the charge density and IEP remained constant with those of the PECs prepared using normal mixing speeds. However, the rapid addition of the polyanion led to a decrease in particle size for both the PECs formed from pure biopolymers and the hybrid PECs formed from a combination of biopolymers and synthetic polymers. This indicates that the use of synthetic polymers has a similar effect as the pure bio-PECs.
Despite the change in particle size, the turbidity values remained nearly identical to those observed with standard mixing. This consistent trend across the selected PECs suggests that mixing conditions primarily affects particle size, making it unnecessary to repeat the process for all PEC combinations. These findings align with the work of Buchhamer et al. [13].

4. Conclusions

In this study, we prepared a series of PEC by combining the biopolymer lch and hch, serving as a polycations, with either a biopolymer polyanion such as lp and hp or a synthetic polyanion such as PEMA, both containing carboxyl groups as functional groups. The PECs were formed through electrostatic interactions between the ammonium groups (NH3+) of chitosan and the carboxylate groups (COO) of the polyanions. We used PEMA, and two types of pectin differing in their degree of esterification, along with two different types of chitosan, one with high molecular weight and one with low molecular weight, to study the effect of molecular weight on PEC formation.
The polyanions were added dropwise to a constant aqueous solution of chitosan according to a desired molar charge ratio (n−/n+). The PEC systems lch&lp, lch&hp, hch&hp, and lch&PEMA were formed, and their charge density, particle size distribution, and turbidity were analyzed as functions of n−/n+. The study found that the PEC systems formed stable positively charged particles. Negative PECs formed after the IEP showed high instability depending on time. Interestingly, the IEP of lch&lp and lch&hp remained the same at an n−/n+ of 1.08, while an increase in molecular weight resulted in a slight increase in the IEP to an n−/n+ of 1.14. PECs formed from the synthetic and bio-based lch&PEMA exhibited a lower IEP compared to the pure PEC systems, likely due to PEMA’s higher charge density and the presence of fewer hydrophobic groups compared to pectin. This reduction in hydrophobic interactions allowed for more efficient electrostatic binding between PEMA and chitosan, resulting in a lower IEP.
The optical density of the positively charged PEC increased with the rise in n−/n+ until it reached the IEP. Negatively charged PEC demonstrated a decrease in turbidity of the supernatant due to the precipitation of formed aggregates. Additionally, the effect of a 10-fold increase in mixing speed on lch&hp, hch&hp, and lch&PEMA PEC systems was studied. Both the IEP and turbidity showed no significant changes compared to PECs prepared with normal mixing speeds; however, the particle size distribution decreased.

Supplementary Materials

The following supporting information can be downloaded at the following website: https://www.mdpi.com/article/10.3390/polysaccharides5040052/s1, Figure S1. Charge density depends on charge ratio n−/n+ at the first day of preparation (dash), after one day of preparation (line), and after one week of preparation (short dot) of (a) lch&hp (b) hch&hp (c) lch&lp (d) lch&PEMA at pH 5 at room temperature with an initial concentration of pectin, PEMA, and chitosan of 5 × 10−3. Figure S2. Turbidity depends on charge ratio n−/n+ on the first day of preparation (dash), after one day of preparation (line), and after one week of preparation (short dot) of (a) lch&hp (b) hch&hp (c) lch&lp (d) lch&PEMA at pH 5 at room temperature with an initial concentration of pectin, PEMA, and chitosan of 5 × 10−3 mol/L. Figure S3. Particle size depends on charge ratio n−/n+ after one day of preparation of (a) lch&hp (orange), hch&hp (green), and (b) lch&lp (pink) at pH 5 at room temperature with an initial concentration of pectin, PEMA, and chitosan of 5 × 10−3 mol/L. Figure S4. Charge density depends on charge ratio n−/n+ on the first day of preparation (dash), after one day of preparation (line), and after one week of preparation (short dot) of (a) lch&hp, (b) hch&hp and (c) lch&PEMA at pH 5 and room temperature with an initial concentration of pectin, PEMA, and chitosan of 5 × 10−3 mol/L. Figure S5. Charge density depends on the charge ratio of n−/n+ on the first day of preparation (dash), after one day of preparation (line), and after one week of preparation (short dot) of (a) lch&hp, (b) hch&hp and (c) lch&PEMA at pH 5 and room temperature with an initial concentration of pectin, PEMA, and chitosan of 5 × 10−3 mol/L. Figure S6. Particle size depends on charge ratio n−/n+ after one day of preparation lch&hp (lila), and hch&hp (green) at pH 5 and room temperature with an initial concentration of pectin, and chitosan of 5 × 10−3 mol/L. Table S1. Optical results of lch&lp at the first day, one day, and 1.5 week after preparation depends on n−/n+ = 0.4, 0.54, 0.74, 0.81, 0.94, 1.08, 1.14, 1.21, 1.35, 1.48. Table S2. Optical results of lch&hp at the first day, after 30 min, one day, and one week after preparation depends on n−/n+ = 0.4, 0.54, 0.74, 0.81, 0.94, 1.08, 1.14, 1.21, 1.35, 1.48. Table S3. Optical results of hch&hp on the first day, one day, and one week after preparation depends on n−/n+ = 0.4, 0.54, 0.74, 0.81, 0.94, 1.08, 1.14, 1.21, 1.35, 1.48. Table S4. Optical results of lch&PEMA on the first day, after one day, and one week after preparation in depends on n−/n+ = 0.20, 0.25, 0.31, 0.35, 0.43, 0.59, 0.65, 0.70, 0.74, 0.81, 0.94, 1.05, 1.14, 1.22. Table S5. pH values and conductivity on the first day, after one day, and one week after preparation for PEC lch&lp depends on n−/n+. Table S6. pH values and conductivity on the first day, one day, and one week after preparation for PEC lch&hp depends on n−/n+. Table S7. pH values and conductivity on the first day, one day, and one week after preparation for PEC hch&hp depends on n−/n+. Table S8. pH values and conductivity on the first day, after one day, and one week after preparation for PEC lch&PEMA depends on n−/n+. Table S9. Optical results of lch&hp on the first day, after 30 min, after one day, and one week after preparation depends on n−/n+ = 0.4, 0.54, 0.74, 0.81, 0.94, 1.08, 1.14, 1.21, 1.35, 1.48. Table S10. Optical results of hch&hp on the first day, after one day, and one week after preparation depends on n−/n+ = 0.4, 0.54, 0.74, 0.81, 0.94, 1.08, 1.14, 1.21, 1.35, 1.48. Table S11. Optical results of lch&PEMA on the first day, one day, and one week after preparation depends on n−/n+ = 0.20, 0.25, 0.31, 0.35, 0.43, 0.59, 0.65, 0.70, 0.74, 0.81, 0.94, 1.05, 1.14, 1.22. Table S12. pH values and conductivity on the first day, after one day, and one week after preparation for PEC lch&hp depends on n−/n+. Table S13. pH values and conductivity on the first day, after one day, and one week after preparation for PEC hch&hp depends on n−/n+. Table S14. pH values and conductivity on the first day, after one day, and one week after preparation for PEC lch&PEMA depends on n−/n+.

Author Contributions

Methodology, M.O., C.S., and R.B.; formal analysis, M.O., C.S., and R.B.; investigation, C.S. and R.B.; writing—original draft preparation, writing—review and editing, R.B. and S.S.; visualization, R.B., C.S., M.O., and S.S.; supervision, S.S. All authors have read and agreed to the published version of the manuscript.

Funding

This research received no external funding.

Institutional Review Board Statement

Not applicable.

Data Availability Statement

Data from this research is available from the Leibniz Institute for Polymer Research Dresden e.V. and can be provided by Dr. Simona Schwarz, Group Leader of Polyelectrolytes for Environmental Protection.

Acknowledgments

BioLog Heppe® GmbH from Landsberg, Germany, and Herbstreith & Fox from Werder (Havel), Germany, for the support of the materials.

Conflicts of Interest

The authors declare that this study received materials as support from BioLog Heppe® GmbH from Landsberg, Germany, and Herbstreith & Fox. These two companies were not involved in the study design, collection, analysis, interpretation of data, the writing of this article or the decision to submit it for publication.

References

  1. Buchhammer, H.M.; Petzold, G.; Lunkwitz, K. The Interaction between Oppositely Charged Polyelectrolytes in the Presence of Solid Surfaces. Colloids Surf. A Physicochem. Eng. Asp. 1993, 76, 81–85. [Google Scholar] [CrossRef]
  2. Meka, V.S.; Sing, M.K.G.; Pichika, M.R.; Nali, S.R.; Kolapalli, V.R.M.; Kesharwani, P. A Comprehensive Review on Polyelectrolyte Complexes. Drug Discov. Today 2017, 22, 1697–1706. [Google Scholar] [CrossRef] [PubMed]
  3. Van Le, H.; Dulong, V.; Picton, L.; Le Cerf, D. Polyelectrolyte Complexes of Hyaluronic Acid and Diethylaminoethyl Dextran: Formation, Stability and Hydrophobicity. Colloids Surf. A Physicochem. Eng. Asp. 2021, 629, 127485. [Google Scholar] [CrossRef]
  4. Weißpflog, J.; Boldt, R.; Kohn, B.; Scheler, U.; Jehnichen, D.; Tyrpekl, V.; Schwarz, S. Investigation of Mechanisms for Simultaneous Adsorption of Iron and Sulfate Ions onto Chitosan with Formation of Orthorhombic Structures. Colloids Surf. A Physicochem. Eng. Asp. 2020, 592, 124575. [Google Scholar] [CrossRef]
  5. Komoto, D.; Furuike, T.; Tamura, H. Preparation of Polyelectrolyte Complex Gel of Sodium Alginate with Chitosan Using Basic Solution of Chitosan. Int. J. Biol. Macromol. 2019, 126, 54–59. [Google Scholar] [CrossRef]
  6. Ishihara, M.; Kishimoto, S.; Nakamura, S.; Sato, Y.; Hattori, H. Polyelectrolyte Complexes of Natural Polymers and Their Biomedical Applications. Polymers 2019, 11, 672. [Google Scholar] [CrossRef]
  7. Gerente, C.; Lee, V.K.C.; Le Cloirec, P.; McKay, G. Application of Chitosan for the Removal of Metals from Wastewaters by AdsorptionMechanisms and Models Review. Crit. Rev. Environ. Sci. Technol. 2007, 37, 41–127. [Google Scholar] [CrossRef]
  8. Yadav, D.; Dutta, J. A Systematic Review on Recent Development of Chitosan/Alginate-Based Polyelectrolyte Complexes for Wastewater Treatment. Int. J. Environ. Sci. Technol. 2024, 21, 3381–3406. [Google Scholar] [CrossRef]
  9. Mustafa, A.; Cadar, E. Pharmaceutical Uses of Chitosan in the Medical Field. Eur. J. Interdiscip. Stud. 2015, 3, 35. [Google Scholar] [CrossRef][Green Version]
  10. Rivas, B.L.; Pooley, S.A.; Pereira, E.; Montoya, E.; Cid, R. Poly(Ethylene-Alt-Maleic Acid) as Complexing Reagent to Separate Metal Ions Using Membrane Filtration. J. Appl. Polym. Sci. 2006, 101, 2057–2061. [Google Scholar] [CrossRef]
  11. Luo, Y.; Wang, Q. Recent Development of Chitosan-Based Polyelectrolyte Complexes with Natural Polysaccharides for Drug Delivery. Int. J. Biol. Macromol. 2014, 64, 353–367. [Google Scholar] [CrossRef] [PubMed]
  12. Thakur, B.R.; Singh, R.K.; Handa, A.K.; Rao, M.A. Chemistry and Uses of Pectin—A Review. Crit. Rev. Food Sci. Nutr. 2009, 37, 47–73. [Google Scholar] [CrossRef] [PubMed]
  13. Buchhammer, H.M.; Mende, M.; Oelmann, M. Formation of Mono-Sized Polyelectrolyte Complex Dispersions: Effects of Polymer Structure, Concentration and Mixing Conditions. Colloids Surf. A Physicochem. Eng. Asp. 2003, 218, 151–159. [Google Scholar] [CrossRef]
  14. Kulkarni, A.D.; Vanjari, Y.H.; Sancheti, K.H.; Patel, H.M.; Belgamwar, V.S.; Surana, S.J.; Pardeshi, C.V. Polyelectrolyte Complexes: Mechanisms, Critical Experimental Aspects, and Applications. Artif. Cells Nanomed. Biotechnol. 2016, 44, 1615–1625. [Google Scholar] [CrossRef] [PubMed]
  15. Bediako, J.K.; Mouele, E.S.M.; El Ouardi, Y.; Repo, E. Saloplastics and the Polyelectrolyte Complex Continuum: Advances, Challenges and Prospects. Chem. Eng. J. 2023, 462, 142322. [Google Scholar] [CrossRef]
  16. Petzold, G.; Schwarz, S.; Buchhammer, H.M.; Lunkwitz, K. A Very Effective Method for the Cationic Modification of Cellulose. Angew. Makromol. Chem. 1997, 253, 1–15. [Google Scholar] [CrossRef]
  17. Buchhammer, H.M.; Petzold, G.; Lunkwitz, K. Salt Effect on Formation and Properties of Interpolyelectrolyte Complexes and Their Interactions with Silica Particles. Langmuir 1999, 15, 4306–4310. [Google Scholar] [CrossRef]
  18. Ferreira, D.C.M.; Ferreira, S.O.; de Alvarenga, E.S.; Soares, N.d.F.F.; Coimbra, J.S.d.R.; de Oliveira, E.B. Polyelectrolyte Complexes (PECs) Obtained from Chitosan and Carboxymethylcellulose: A Physicochemical and Microstructural Study. Carbohydr. Polym. Technol. Appl. 2022, 3, 100197. [Google Scholar] [CrossRef]
  19. BioLog Heppe® GmbH. Chitosan Lieferprogramm. Available online: https://www.biolog-heppe.de/chitosan-als-rohstoff/lieferprogramm/ (accessed on 22 November 2024).
  20. Ofori-Kwakye, K.; Fell, J.T.; Kipo, S.L. Effect of PH of Medium and Molecular Weight on Polyelectrolyte Complex Formatiom between Pectin and Chitosan. J. Sci. Technol. 2006, 26, 66–73. [Google Scholar]
  21. Rashidova, S.S.; Milusheva, R.Y.; Semenova, L.N.; Mukhamedjanova, M.Y.; Voropaeva, N.L.; Vasilyeva, S.; Faizieva, R.; Ruban, I.N. Characteristics of Interactions in the Pectin-Chitosan System. Chromatographia 2004, 59, 779–782. [Google Scholar] [CrossRef]
  22. Boughanmi, R.; Oelmann, M.; Steinbach, C.; Schwarz, S. Sustainable Polyelectrolyte Complexes of Pectin and Chitosan as Adsorbents for Heavy Metal Ions from Surface Water. J. Polym. Sci. 2024, 1. [Google Scholar] [CrossRef]
  23. Hu, Y.; Yang, T.; Hu, X. Novel Polysaccharides-Based Nanoparticle Carriers Prepared by Polyelectrolyte Complexation for Protein Drug Delivery. Polym. Bull. 2012, 68, 1183–1199. [Google Scholar] [CrossRef]
Figure 1. Chemical structures of the used polymers chitosan, pectin, and PEMA for the preparation of PEC.
Figure 1. Chemical structures of the used polymers chitosan, pectin, and PEMA for the preparation of PEC.
Polysaccharides 05 00052 g001
Figure 2. Streaming potential depends on the pH of lch, PEMA, and PEC from lch&PEMA with n−/n+ = 0.31, n−/n+ = 0.43, n−/n+ = 0.65, n−/n+ = 0.70, and n−/n+ = 0.94.
Figure 2. Streaming potential depends on the pH of lch, PEMA, and PEC from lch&PEMA with n−/n+ = 0.31, n−/n+ = 0.43, n−/n+ = 0.65, n−/n+ = 0.70, and n−/n+ = 0.94.
Polysaccharides 05 00052 g002
Figure 3. Optical results of the different prepared PEC on the first day and after one day of preparation with (a) lch&lp with n−/n+ = 0.4, 0.54, 0.74, 0.81, 0.94, 1.08, 1.14, 1.21, 1.35, and 1.48; (b) lch&hp with n−/n+ = 0.4, 0.54, 0.74, 0.81, 0.94, 1.08, 1.14, 1.21, 1.35, and 1.48; (c) lch&PEMA with n−/n+ = 0.20, 0.25, 0.31, 0.35, 0.43, 0.59, 0.65, 0.70, 0.74, 0.81, 0.94, 1.05, 1.14, and 1.22; and (d) hch&hp with n−/n+ = 0.4, 0.54, 0.74, 0.81, 0.94, 1.08, 1.14, 1.21, 1.35, and 1.48.
Figure 3. Optical results of the different prepared PEC on the first day and after one day of preparation with (a) lch&lp with n−/n+ = 0.4, 0.54, 0.74, 0.81, 0.94, 1.08, 1.14, 1.21, 1.35, and 1.48; (b) lch&hp with n−/n+ = 0.4, 0.54, 0.74, 0.81, 0.94, 1.08, 1.14, 1.21, 1.35, and 1.48; (c) lch&PEMA with n−/n+ = 0.20, 0.25, 0.31, 0.35, 0.43, 0.59, 0.65, 0.70, 0.74, 0.81, 0.94, 1.05, 1.14, and 1.22; and (d) hch&hp with n−/n+ = 0.4, 0.54, 0.74, 0.81, 0.94, 1.08, 1.14, 1.21, 1.35, and 1.48.
Polysaccharides 05 00052 g003
Figure 4. SEM images of the prepared PEC lch&PEMA with selected molar charge ratios (a) n−/n+ = 0.31; (b) n−/n+ = 0.65; and (c) n−/n+ = 0.74.
Figure 4. SEM images of the prepared PEC lch&PEMA with selected molar charge ratios (a) n−/n+ = 0.31; (b) n−/n+ = 0.65; and (c) n−/n+ = 0.74.
Polysaccharides 05 00052 g004
Figure 5. Charge density (red line), and turbidity (blue dot) of the PEC depends on the charge ratio of (a) lch&hp and hch&hp with n/n+ = 0.4, 0.54, 0.74, 0.81, 0.94, 1.08, 1.14, 1.21, 1.35, and 1.48; (b) lch&lp with n−/n+ = 0.4, 0.54, 0.74, 0.81, 0.94, 1.08, 1.14, 1.21, 1.35, and 1.48; and (c) lch&PEMA with n−/n+ = 0.20, 0.25, 0.31, 0.35, 0.43, 0.59, 0.65, 0.70, 0.74, 0.81, 0.94, 1.05, 1.14, and 1.22 at pH 5 at room temperature with an initial concentration of pectin, PEMA, and chitosan of 5 × 10−3 mol/L.
Figure 5. Charge density (red line), and turbidity (blue dot) of the PEC depends on the charge ratio of (a) lch&hp and hch&hp with n/n+ = 0.4, 0.54, 0.74, 0.81, 0.94, 1.08, 1.14, 1.21, 1.35, and 1.48; (b) lch&lp with n−/n+ = 0.4, 0.54, 0.74, 0.81, 0.94, 1.08, 1.14, 1.21, 1.35, and 1.48; and (c) lch&PEMA with n−/n+ = 0.20, 0.25, 0.31, 0.35, 0.43, 0.59, 0.65, 0.70, 0.74, 0.81, 0.94, 1.05, 1.14, and 1.22 at pH 5 at room temperature with an initial concentration of pectin, PEMA, and chitosan of 5 × 10−3 mol/L.
Polysaccharides 05 00052 g005
Figure 6. Particle size distribution of PEC depends on the charge ratio of lch&PEMA with n−/n+ = 0.20, 0.25, 0.31, 0.35, 0.43, 0.59, 0.65, 0.70, 0.74, 0.81, 0.94, 1.05, 1.14, and 1.22 at pH 5 at room temperature with an initial concentration of pectin, PEMA, and chitosan of 5 × 10−3 mol/L. Points between the lines cannot be evaluated due to the beginning of precipitation of aggregates.
Figure 6. Particle size distribution of PEC depends on the charge ratio of lch&PEMA with n−/n+ = 0.20, 0.25, 0.31, 0.35, 0.43, 0.59, 0.65, 0.70, 0.74, 0.81, 0.94, 1.05, 1.14, and 1.22 at pH 5 at room temperature with an initial concentration of pectin, PEMA, and chitosan of 5 × 10−3 mol/L. Points between the lines cannot be evaluated due to the beginning of precipitation of aggregates.
Polysaccharides 05 00052 g006
Figure 7. Charge density (red line), and turbidity (blue dot) of (a) lch&hp, hch&hp and (b) lch&PEMA depending on the charge ratio of n−/n+ from 0.2 to 1.6 after one day of preparation at pH 5 at room temperature with an initial concentration of pectin and chitosan of 5 × 10−3 mol/L.
Figure 7. Charge density (red line), and turbidity (blue dot) of (a) lch&hp, hch&hp and (b) lch&PEMA depending on the charge ratio of n−/n+ from 0.2 to 1.6 after one day of preparation at pH 5 at room temperature with an initial concentration of pectin and chitosan of 5 × 10−3 mol/L.
Polysaccharides 05 00052 g007
Figure 8. Particle size distribution of (a) lch&hp and hch&hp with n/n+ = 0.4, 0.54, 0.74, 0.81, 0.94, 1.08, 1.14, 1.21, 1.35, and 1.48; and (b) lch&PEMA with n/n+ = 0.20, 0.25, 0.31, 0.35, 0.43, 0.59, 0.65, 0.70, 0.74, 0.81, 0.94, 1.05, 1.14, and 1.22 at pH 5 at room temperature with an initial concentration of pectin, PEMA, and chitosan of 5 × 10−3 mol/L. Points between the lines cannot be evaluated due to the beginning of precipitation of aggregates.
Figure 8. Particle size distribution of (a) lch&hp and hch&hp with n/n+ = 0.4, 0.54, 0.74, 0.81, 0.94, 1.08, 1.14, 1.21, 1.35, and 1.48; and (b) lch&PEMA with n/n+ = 0.20, 0.25, 0.31, 0.35, 0.43, 0.59, 0.65, 0.70, 0.74, 0.81, 0.94, 1.05, 1.14, and 1.22 at pH 5 at room temperature with an initial concentration of pectin, PEMA, and chitosan of 5 × 10−3 mol/L. Points between the lines cannot be evaluated due to the beginning of precipitation of aggregates.
Polysaccharides 05 00052 g008
Table 1. Parameters of the different studied samples such as the esterification degree of pectin, the viscosity and degree of deacetylation of chitosan, and charge density calculated in (meq/g) at pH 5. For PEMA, only the charge density was determined. The charge density was calculated from the titration values of chitosan and pectin.
Table 1. Parameters of the different studied samples such as the esterification degree of pectin, the viscosity and degree of deacetylation of chitosan, and charge density calculated in (meq/g) at pH 5. For PEMA, only the charge density was determined. The charge density was calculated from the titration values of chitosan and pectin.
Sample* Degree of Esterification (%)* Viscosity (mPas)* Degree of Deacetylation (%)* Average MwCharge Density (meq/g)
lch-20090-5.15
hch-200090-5.11
lp5---−4.88
hp7.6---−3.61
PEMA---10,000–50,000−7.07
* According to the purchasing company.
Disclaimer/Publisher’s Note: The statements, opinions and data contained in all publications are solely those of the individual author(s) and contributor(s) and not of MDPI and/or the editor(s). MDPI and/or the editor(s) disclaim responsibility for any injury to people or property resulting from any ideas, methods, instructions or products referred to in the content.

Share and Cite

MDPI and ACS Style

Boughanmi, R.; Oelmann, M.; Steinbach, C.; Schwarz, S. Comparative Study on Polyelectrolyte Complex Formation of Chitosan and Pectin or PEMA: Effects of Molecular Weight and Mixing Speed. Polysaccharides 2024, 5, 842-856. https://doi.org/10.3390/polysaccharides5040052

AMA Style

Boughanmi R, Oelmann M, Steinbach C, Schwarz S. Comparative Study on Polyelectrolyte Complex Formation of Chitosan and Pectin or PEMA: Effects of Molecular Weight and Mixing Speed. Polysaccharides. 2024; 5(4):842-856. https://doi.org/10.3390/polysaccharides5040052

Chicago/Turabian Style

Boughanmi, Rahma, Marina Oelmann, Christine Steinbach, and Simona Schwarz. 2024. "Comparative Study on Polyelectrolyte Complex Formation of Chitosan and Pectin or PEMA: Effects of Molecular Weight and Mixing Speed" Polysaccharides 5, no. 4: 842-856. https://doi.org/10.3390/polysaccharides5040052

APA Style

Boughanmi, R., Oelmann, M., Steinbach, C., & Schwarz, S. (2024). Comparative Study on Polyelectrolyte Complex Formation of Chitosan and Pectin or PEMA: Effects of Molecular Weight and Mixing Speed. Polysaccharides, 5(4), 842-856. https://doi.org/10.3390/polysaccharides5040052

Article Metrics

Back to TopTop