Film Properties of Heparin Cross-Linked with Epichlorohydrin in Absence or Presence of Imidazole
Abstract
1. Introduction
2. Materials and Methods
2.1. Materials
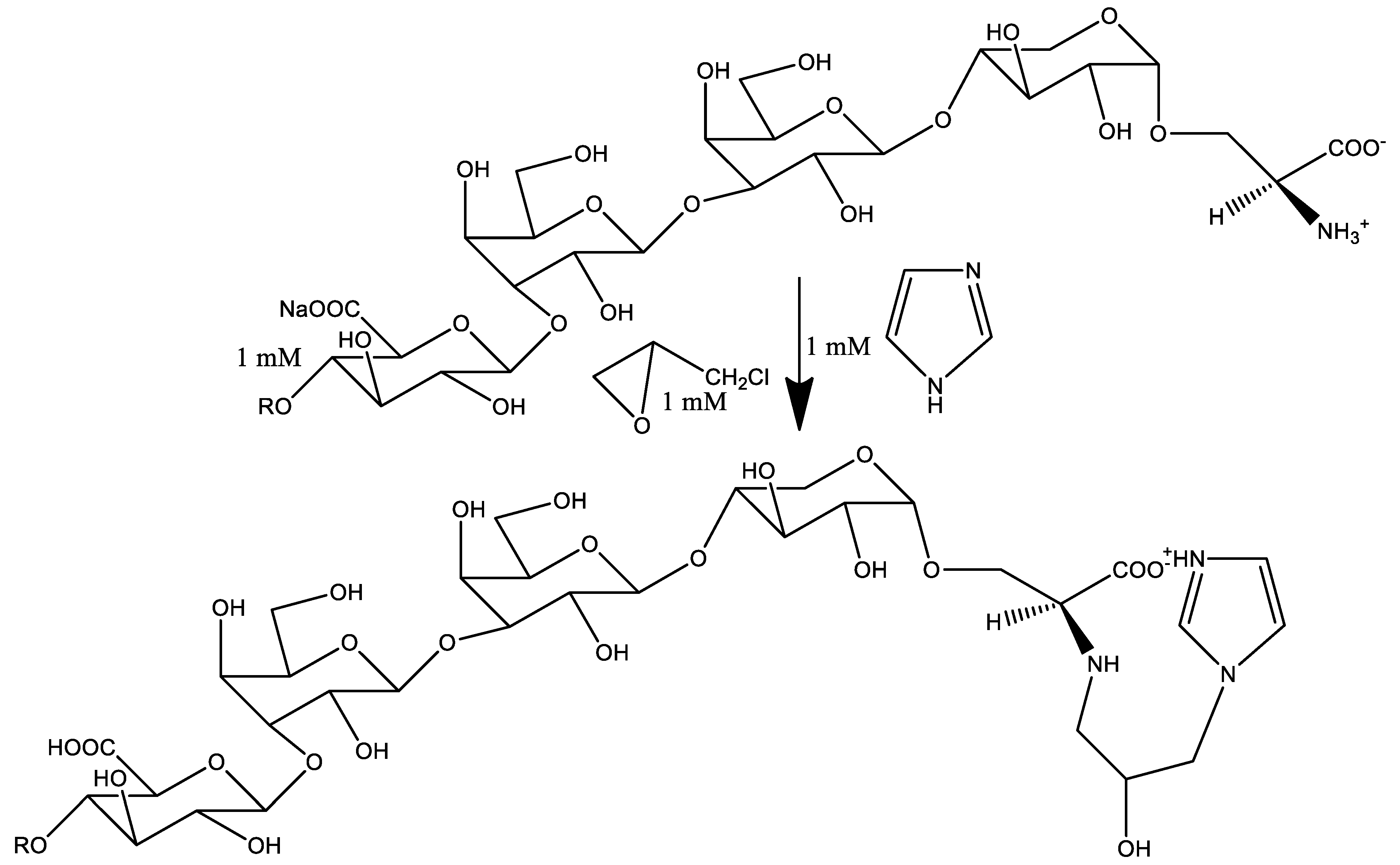
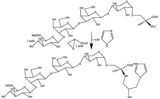
2.2. Cross-Linking of H with E
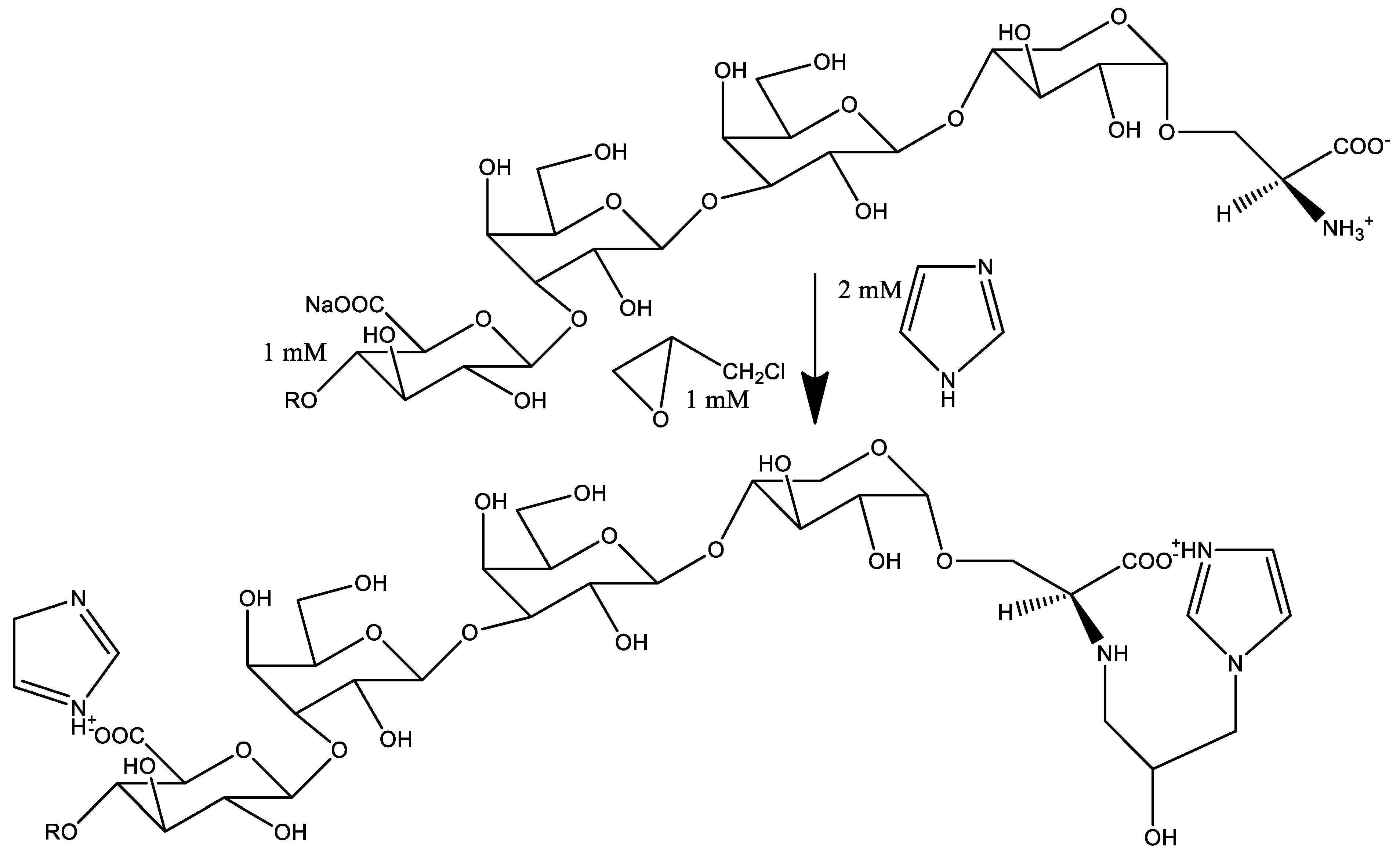
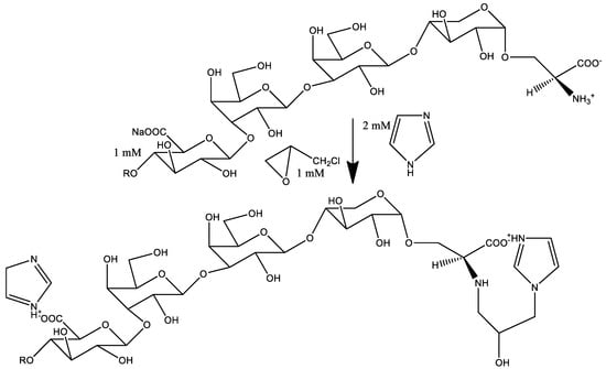
2.3. Cross-Linking of H with E in the Presence of I
2.4. Analytical Methods
3. Results and Discussion
3.1. Cross-Linking
3.2. NMR Analysis
3.3. SEC-MALS Analysis
3.4. XRD Analysis of Films
3.5. AFM and PF-QNM Analysis
4. Conclusions
Author Contributions
Funding
Institutional Review Board Statement
Data Availability Statement
Conflicts of Interest
References
- Liu, L.; Huan, Y.; Wang, L.; Zhao, D.; Duan, X.; Zhang, X.; Yin, J.; Luan, S.; Shi, H. Heparin-network-mediated long-lasting coatings on intravascular catheters for adaptive antithrombosis and antibacterial infection. Nat. Commun. 2024, 15, 107. [Google Scholar] [CrossRef] [PubMed]
- Šimkovic, I. Unexplored possibilities of all-polysaccharide composites. Carbohydr. Polym. 2013, 95, 697–715. [Google Scholar] [CrossRef] [PubMed]
- Malsch, R.; Guerrini, M.; Torri, G.; Löhr, G.; Casu, B.; Harenberg, J. Synthesis of N’-alkylamine anticoagulant active low-molecular-mass heparin for radioactive and fluorescent labelling. Anal. Biochem. 1994, 217, 255–267. [Google Scholar] [CrossRef]
- Šimkovic, I.; Mendichi, R.; Kelnar, I.; Filip, J.; Hricovíni, M. Cationization of heparin for film applications. Carbohydr. Polym. 2015, 115, 551–558. [Google Scholar] [CrossRef]
- Muir, V.G.; Burdik, J.A. Chemically modified biopolymers for the formation of biomedical hydrogels. Chem. Rev. 2021, 121, 10908–10949. [Google Scholar] [CrossRef] [PubMed]
- Šimkovic, I.; Laszlo, J.A. Preparation of ion exchangers from bagasse by crosslinking with epichlorohydrin-NH4OH or epichlorohydrin-imidazole. J. Appl. Polym. Sci. 1997, 64, 2561–2566. [Google Scholar]
- Šimkovic, I.; Hricovíni, M.; Šoltés, L.; Mendichi, R. Preparation of water-soluble/insoluble derivatives of hyaluronic acid by cross-linking with epichlorohydrin in aqueous NaOH/NH4OH solution. Carbohydr. Polym. 2000, 41, 9–14. [Google Scholar] [CrossRef]
- Šimkovic, I.; Mlynár, J.; Alföldi, J.; Micko, M.M. New aspects in cationization of lignocellulose materials. XI. Modification of bagasse with quaternary ammonium groups. Holzfroschung 1990, 44, 113–116. [Google Scholar] [CrossRef]
- Šimkovic, I.; Mlynár, J.; Alföldi, J. Modification of corn cob meal with quaternary ammonium groups. Carbohydr. Polym. 1992, 17, 285–288. [Google Scholar] [CrossRef]
- Mauri, L.; Boocardi, G.; Torri, G.; Karfunkle, M.; Macchi, E.; Muzi, L.; Kaire, M. Qualification of HSQC methods for quantitative composition of heparin and low molecular weight heparins. J. Pharm. Biomed. Anal. 2017, 136, 92–105. [Google Scholar] [CrossRef]
- Perez, S.; Makshakova, O.; Angulo, J.; Bedini, E.; Bisio, A.; de Paz, J.L.; Fadda, E.; Guerrini, M.; Hricovíni, M.; Hricovíni, M.; et al. Glycosaminoglycans: What remains to be deciphered? J. Amer. Chem. Soc. Au 2023, 3, 628–656. [Google Scholar] [CrossRef] [PubMed]
- Su, L.; Feng, Y.; Wei, K.; Xu, X.; Liu, R.; Chen, G. Carbohydrate-based macromolecular biomaterials. Chem. Rev. 2021, 121, 10950–11029. [Google Scholar] [CrossRef] [PubMed]
- Murugesan, S.; Mousa, S.; Vijayaraghavan, A.; Ajayan, P.M.; Linhardt, R.J. Ion liquid-derived blood-compatible composite membranes for kidney dialysis. J. Biomed. Mater. Res. B Appl. Biomater. 2006, 79B, 298–304. [Google Scholar] [CrossRef] [PubMed][Green Version]
- Kozlowski, J.A.; Dinu, V.; MacCalman, T.; Smith, A.M.; Roubroeks, J.P.; Yates, E.A.; Harding, S.E.; Morris, G.A. Heparin in acid and Alkaline environments – a study of the correlations between hydrodynamic properties and desulphation. Polysaccharides 2023, 4, 349–355. [Google Scholar]
- Nosov, D.R.; Loyinskaya, E.I.; Antonov, D.Y.; Ponkratov, D.O.; Tyutyunov, A.A.; Eddine, M.A.; Plesse, C.; Schmidt, D.F.; Shaplov, A.S. Design of highly conductive PILs by simple modification of poly(epichlorhydrin-co-ethylene oxide) with monosubstituted imidazole. ACS Polym. Au. 2024. [Google Scholar] [CrossRef]
- Nguyen, K.; Rabenstein, D.L. Determination of the primary structure and carboxyl pKAs of heparin-derived oligosaccharides by band-selective homonuclear-decoupled two-dimensional 1H NMR. Analytical. Bioanal. Chem. 2011, 399, 663–671. [Google Scholar] [CrossRef]
- Šimkovic, I.; Gucmann, F.; Hricovíni, M.; Mendichi, R.; Giacometti Schieroni, A.; Piovani, D.; Zappia, S.; Dobročka, E.; Filip, J.; Hricovíni, M. Properties of quaternized and crosslinked carboxymethilcellulose films. Cellulose 2023, 30, 2023–2036. [Google Scholar] [CrossRef]
- Sader, J.E.; Sanelli, J.A.; Adamson, B.D.; Monty, J.P.; Wei, X.; Crawford, S.A.; Friend, J.R.; Marusic, I.; Mulvaney, P.; Bieske, E.J. Calibration of rectangular atomic force microscope cantilevers. Rev. Sci. Instrum. 2012, 83, 103705. [Google Scholar] [CrossRef]
- Butt, H.J.; Cappella, B.; Kappl, M. Force measurements with the atomic force microscope: Technique, interpretation and applications. Surf. Sci. Rep. 2005, 59, 1–152. [Google Scholar]
- Muller, V.M.; Derjaguin, B.V.; Toporov, Y.P. On two methods of calculation of the force of sticking of an elastic sphere to a rigid plane. Colloids. Surf. 1983, 7, 251–259. [Google Scholar] [CrossRef]
- Keire, D.A.; Buhse, L.F.; al-Hakim, A. Characterization of currently marketed heparin products: Composition analysis by 2D-NMR. Anal. Meth. 2015, 5, 2984–2994. [Google Scholar] [CrossRef]
- Jogala, S.; Rachamalla, S.S.; Aukunuru, J. Development of subcutaneous sustained release nanoparticles encapsulating low molecular weight heparin. J. Adv. Pharm. Technol. Res. 2015, 6, 58–64. [Google Scholar] [PubMed]
- Maurier, P.; Anger, P.; Martinez, C.; Herman, F.; Viskov, C. Quantitative compositional analysis of heparin using exhaustive heparinase digestion and strong anion exchange chromatography. Anal. Chem. Res. 2015, 3, 46–53. [Google Scholar] [CrossRef]
- Meng, N.; Zhou, N.L. Synthesis and properties of PDMS/montmorillonite-cetyltrimethylammonium bromide-heparin films. Carbohydr. Polym. 2014, 105, 70–74. [Google Scholar] [CrossRef]
- Urbaniak, T.; Garcia-Briones, G.S.; Zhigunov, A.; Hladysh, S.; Adrian, E.; Lobaz, V.T.; Krunclová, T.; Janoušková, O.; Pop-Gegorgievski, O.; Kubies, D. Quaternized Chitosan/Heparin polyelectrolyte multilayer films for protein delivery. Biomacromolecules 2022, 23, 4734–4748. [Google Scholar] [CrossRef]
- Šimkovic, I.; Gucmann, F.; Mendichi, R.; Giacometti Schieroni, A.; Piovani, D.; Dobročka, E.; Hricovíni, M. Extraction and characterization of polysaccharide films from Furcellaria lumbricalis and Gigartina skottsbergii seaweeds. Cellulose 2021, 28, 9567–9588. [Google Scholar] [CrossRef]









Disclaimer/Publisher’s Note: The statements, opinions and data contained in all publications are solely those of the individual author(s) and contributor(s) and not of MDPI and/or the editor(s). MDPI and/or the editor(s) disclaim responsibility for any injury to people or property resulting from any ideas, methods, instructions or products referred to in the content. |
© 2024 by the authors. Licensee MDPI, Basel, Switzerland. This article is an open access article distributed under the terms and conditions of the Creative Commons Attribution (CC BY) license (https://creativecommons.org/licenses/by/4.0/).
Share and Cite
Šimkovic, I.; Gucmann, F.; Hricovíni, M.; Mendichi, R.; Dobročka, E.; Schieroni, A.G.; Piovani, D.; Zappia, S.; Hricovíni, M. Film Properties of Heparin Cross-Linked with Epichlorohydrin in Absence or Presence of Imidazole. Polysaccharides 2024, 5, 715-730. https://doi.org/10.3390/polysaccharides5040045
Šimkovic I, Gucmann F, Hricovíni M, Mendichi R, Dobročka E, Schieroni AG, Piovani D, Zappia S, Hricovíni M. Film Properties of Heparin Cross-Linked with Epichlorohydrin in Absence or Presence of Imidazole. Polysaccharides. 2024; 5(4):715-730. https://doi.org/10.3390/polysaccharides5040045
Chicago/Turabian StyleŠimkovic, Ivan, Filip Gucmann, Michal Hricovíni, Raniero Mendichi, Edmund Dobročka, Alberto Giacometti Schieroni, Daniele Piovani, Stefania Zappia, and Miloš Hricovíni. 2024. "Film Properties of Heparin Cross-Linked with Epichlorohydrin in Absence or Presence of Imidazole" Polysaccharides 5, no. 4: 715-730. https://doi.org/10.3390/polysaccharides5040045
APA StyleŠimkovic, I., Gucmann, F., Hricovíni, M., Mendichi, R., Dobročka, E., Schieroni, A. G., Piovani, D., Zappia, S., & Hricovíni, M. (2024). Film Properties of Heparin Cross-Linked with Epichlorohydrin in Absence or Presence of Imidazole. Polysaccharides, 5(4), 715-730. https://doi.org/10.3390/polysaccharides5040045

