Composite Films of Thermoplastic Starch and CaCl2 Extracted from Eggshells for Extending Food Shelf-Life
Abstract
1. Introduction
2. Materials and Methods
2.1. Materials
2.2. CaCl2 Extraction from Eggshell Waste
2.3. Composite Film Preparation and Characterization
2.3.1. Fourier Transform Infrared Spectroscopy (FTIR)
2.3.2. Differential Scanning Calorimetry (DSC)
2.3.3. Scanning Electron Microscopy Coupled with Energy Dispersive X-ray (SEM-EDX)
2.3.4. Tensile Testing
2.4. Physicochemical Analysis of the Fresh-Cut Apple Slices
2.4.1. Reducing Sugars
2.4.2. Antioxidant Activity
2.4.3. Colorimetry
2.5. Estimation of CaCl2 Release from Composite Films
2.6. Microbial Studies
2.6.1. Microbial Growth on Fresh-Cut Apple Slices
2.6.2. Antibacterial Activity of the TPS/CaCl2 Composite Films
2.7. Statistical Analysis
3. Results and Discussion
3.1. Starch-Eggshell Extract Composite Films Characterization
3.1.1. Chemical Interaction Mechanism between CaCl2 and TPS
3.1.2. The Effect of CaCl2 on the Thermal Behaviour of TPS
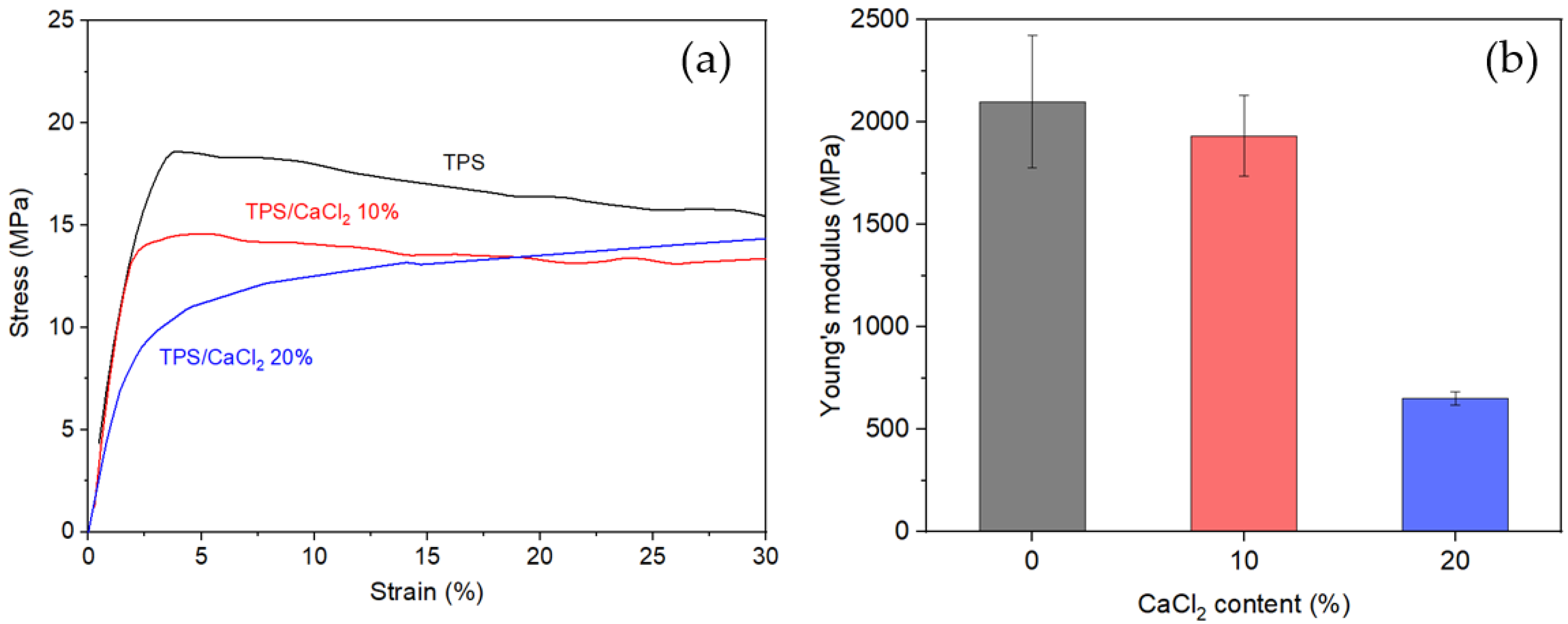
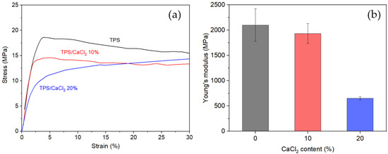
3.1.3. Mechanical Properties
3.1.4. The Effect of CaCl2 on the Morphology of TPS
3.2. Physicochemical Analysis and Colorimetry of the Fresh-Cut Apple Slices
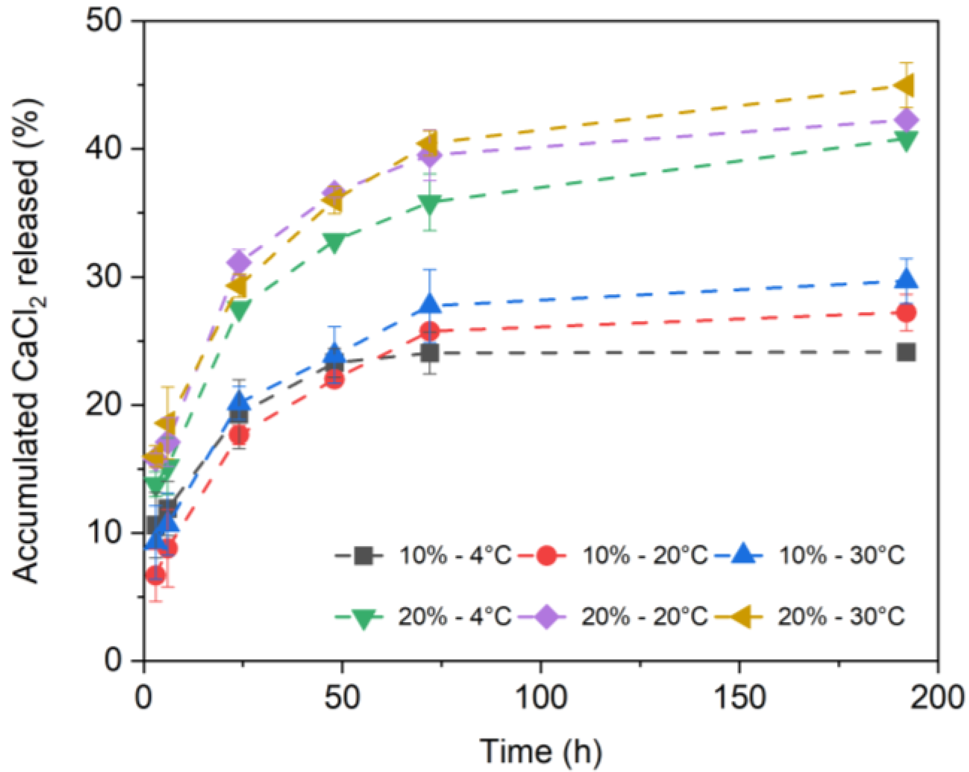
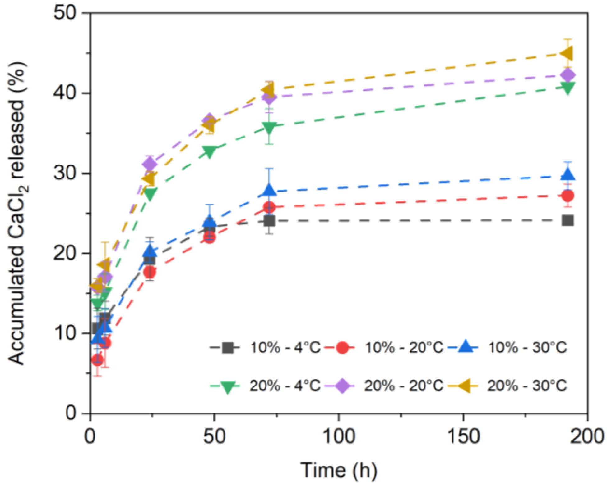
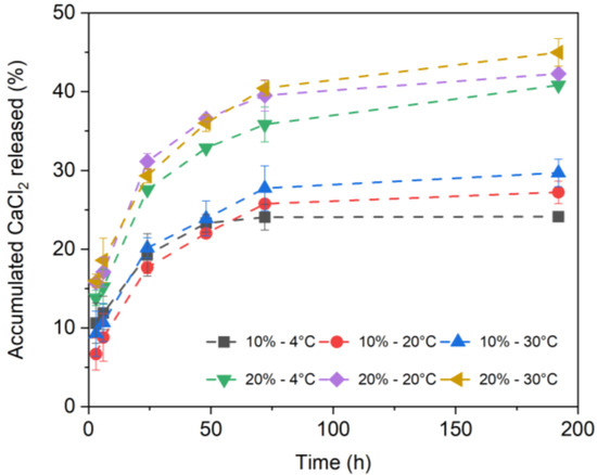
3.3. CaCl2 Release from Starch-Eggshell Extract Composite Films
3.4. Microbial Growth on Fresh-Cut Apple Slices
3.5. Antibacterial Activity of the TPS/CaCl2 Composite Films
4. Conclusions
Author Contributions
Funding
Acknowledgments
Conflicts of Interest
References
- Ramos, B.; Miller, F.A.; Brandão, T.R.S.; Teixeira, P.; Silva, C.L.M. Fresh fruits and vegetables—An overview on applied methodologies to improve its quality and safety. Innov. Food Sci. Emerg. Technol. 2013, 20, 1–15. [Google Scholar] [CrossRef]
- Najafi, M.B.H.; Khodaparast, M.H.H. Efficacy of ozone to reduce microbial populations in date fruits. Food Control 2009, 20, 27–30. [Google Scholar] [CrossRef]
- Vandekinderen, I.; Devlieghere, F.; de Meulenaer, B.; Ragaert, P.; van Camp, J. Optimization and evaluation of a decontamination step with peroxyacetic acid for fresh-cut produce. Food Microbiol. 2009, 26, 882–888. [Google Scholar] [CrossRef]
- Behlau, F.; Paloschi, A.; Marin, T.G.S.; Santos, T.A.; Ferreira, H.; Nascimento, L.M.d. Chlorine dioxide, peroxyacetic acid, and calcium oxychloride for post-harvest decontamination of citrus fruit against Xanthomonas citri subsp. citri, causal agent of citrus canker. Crop Prot. 2021, 146, 105679. [Google Scholar] [CrossRef]
- Chumyam, A.; Faiyue, B.; Saengnil, K. Reduction of enzymatic browning of fresh-cut guava fruit by exogenous hydrogen peroxide-activated peroxiredoxin/thioredoxin system. Sci. Hortic. 2019, 255, 260–268. [Google Scholar] [CrossRef]
- Pothimon, R.; Podjanee, U.; Krusong, W.; Thompson, A.K.; Massa, S. Inhibition of Pantoea agglomerans contamination of fresh-cut jackfruit by exposure to weak organic acid vapors. LWT 2021, 139, 110586. [Google Scholar] [CrossRef]
- Barberis, A.; Cefola, M.; Pace, B.; Azara, E.; Spissu, Y.; Serra, P.A.; Logrieco, A.F.; D’hallewin, G.; Fadda, A. Postharvest application of oxalic acid to preserve overall appearance and nutritional quality of fresh-cut green and purple asparagus during cold storage: A combined electrochemical and mass-spectrometry analysis approach. Postharvest Biol. Technol. 2019, 148, 158–167. [Google Scholar] [CrossRef]
- Thakur, R.J.; Shaikh, H.; Gat, Y.; Waghmare, R.B. Effect of calcium chloride extracted from eggshell in maintaining quality of selected fresh-cut fruits. Int. J. Recycl. Org. Waste Agric. 2019, 8, 27–36. [Google Scholar] [CrossRef]
- Aly, S.S.H.; Mohamed, E.N.; Abdou, E.S. Effect of Edible Coating on Extending the Shelf Life and Quality of Fresh Cut Taro. Am. J. Food Technol. 2017, 12, 124–131. [Google Scholar] [CrossRef][Green Version]
- Manzoor, S.; Gull, A.; Wani, S.M.; Ganaie, A.T.; Masoodi, F.A.; Bashir, K.; Malik, A.R.; Dar, B.N. Improving the shelf life of fresh cut kiwi using nanoemulsion coatings with antioxidant and antimicrobial agents. Food Biosci. 2021, 41, 101015. [Google Scholar] [CrossRef]
- Wang, D.; Li, W.; Li, D.; Li, L.; Luo, Z. Effect of high carbon dioxide treatment on reactive oxygen species accumulation and antioxidant capacity in fresh-cut pear fruit during storage. Sci. Hortic. 2021, 281, 109925. [Google Scholar] [CrossRef]
- Li, X.; Li, M.; Ji, N.; Jin, P.; Zhang, J.; Zheng, Y.; Zhang, X.; Li, F. Cold plasma treatment induces phenolic accumulation and enhances antioxidant activity in fresh-cut pitaya (Hylocereus undatus) fruit. LWT 2019, 115, 108447. [Google Scholar] [CrossRef]
- Avalos-Llano, K.R.; Martín-Belloso, O.; Soliva-Fortuny, R. Effect of pulsed light treatments on quality and antioxidant properties of fresh-cut strawberries. Food Chem. 2018, 264, 393–400. [Google Scholar] [CrossRef] [PubMed]
- Qiao, L.; Gao, M.; Zheng, J.; Zhang, J.; Lu, L.; Liu, X. Novel browning alleviation technology for fresh-cut products: Preservation effect of the combination of Sonchus oleraceus L. extract and ultrasound in fresh-cut potatoes. Food Chem. 2021, 348, 129132. [Google Scholar] [CrossRef] [PubMed]
- Wang, D.; Ma, Q.; Li, D.; Li, W.; Li, L.; Aalim, H.; Luo, Z. Moderation of respiratory cascades and energy metabolism of fresh-cut pear fruit in response to high CO2 controlled atmosphere. Postharvest Biol. Technol. 2020, 172, 111379. [Google Scholar] [CrossRef]
- Wu, L.-T.; Tsai, I.-L.; Ho, Y.-C.; Hang, Y.-H.; Lin, C.; Tsai, M.-L.; Mi, F.-L. Active and intelligent gellan gum-based packaging films for controlling anthocyanins release and monitoring food freshness. Carbohydr. Polym. 2020, 254, 117410. [Google Scholar] [CrossRef]
- Sportelli, M.C.; Izzi, M.; Volpe, A.; Lacivita, V.; Clemente, M.; Di Franco, C.; Conte, A.; Del Nobile, M.A.; Ancona, A.; Cioffi, N. A new nanocomposite based on LASiS-generated CuNPs as a preservation system for fruit salads. Food Packag. Shelf Life 2019, 22, 100422. [Google Scholar] [CrossRef]
- Fan, X.-J.; Zhang, B.; Yan, H.; Feng, J.-T.; Ma, Z.-Q.; Zhang, X. Effect of lotus leaf extract incorporated composite coating on the postharvest quality of fresh goji (Lycium barbarum L.) fruit. Postharvest Biol. Technol. 2018, 148, 132–140. [Google Scholar] [CrossRef]
- Ali, S.; Khan, A.S.; Nawaz, A.; Anjum, M.A.; Naz, S.; Ejaz, S.; Hussain, S. Aloe vera gel coating delays postharvest browning and maintains quality of harvested litchi fruit. Postharvest Biol. Technol. 2019, 157, 110960. [Google Scholar] [CrossRef]
- Poverenov, E.; Arnon-Rips, H.; Zaitsev, Y.; Bar, V.; Danay, O.; Horev, B.; Bilbao-Sainz, C.; McHugh, T.; Rodov, V. Potential of chitosan from mushroom waste to enhance quality and storability of fresh-cut melons. Food Chem. 2018, 268, 233–241. [Google Scholar] [CrossRef] [PubMed]
- SHELLBRANE Project, “Separating Eggshell and Its Membrane to Turn Eggshell Waste into Valuable Source Materials”, Eu-ropean Commission 7th Framework Programme (FP7). Project No. 286910. Available online: https://web.archive.org/web/20190721001656/http://shellbrane.eu/ (accessed on 29 July 2021).
- Winkler, A.; Knoche, M. Calcium uptake through skins of sweet cherry fruit: Effects of different calcium salts and surfactants. Sci. Hortic. 2020, 276, 109761. [Google Scholar] [CrossRef]
- Diyana, Z.; Jumaidin, R.; Selamat, M.; Ghazali, I.; Julmohammad, N.; Huda, N.; Ilyas, R. Physical Properties of Thermoplastic Starch Derived from Natural Resources and Its Blends: A Review. Polymers 2021, 13, 1396. [Google Scholar] [CrossRef]
- Maniruzzaman, M. Practical Guide to Hot-Melt Extrusion: Continuous Manufacturing and Scale-Up; Smithers Rapra: Shrewsbury, UK, 2015. [Google Scholar]
- Bashir, H.A.; Abu-Goukh, A.-B.A. Compositional changes during guava fruit ripening. Food Chem. 2003, 80, 557–563. [Google Scholar] [CrossRef]
- Issa, M.; Karabet, F.; Aljoubbeh, M. Total polypheonls, flavonoid content, kaempferol concentration and antioxidant activity of two onion Syrian (spring and white). Int. J. ChemTech Res. 2013, 5, 2375–2380. [Google Scholar]
- University of Canterbury. Determination of Calcium Ion Concentration. Christchurch. Available online: www.outreach.canterbury.ac.nz (accessed on 21 April 2021).
- CLSI. Methods for Dilution Antimicrobial Susceptibility Tests for Bacteria That Grow Aerobically. In Approved Standard–Tenth Edition; CLSI Document M07-A10; Clinical and Laboratory Standards Institute: Wayne, PA, USA, 2015. [Google Scholar]
- Karunadasa, S. Dehydration of Calcium Chloride as Examined by High-temperature X-ray Powder Diffraction. Int. Multidiscip. Res. J. 2019, 4, 37–43. [Google Scholar]
- Lopez, O.; Garcia, M.; Villar, M.; Gentili, A.; Rodriguez, M.; Albertengo, L. Thermo-compression of biodegradable thermoplastic corn starch films containing chitin and chitosan. LWT 2014, 57, 106–115. [Google Scholar] [CrossRef]
- Zhang, Y.; Han, J.H. Plasticization of Pea Starch Films with Monosaccharides and Polyols. J. Food Sci. 2006, 71, E253–E261. [Google Scholar] [CrossRef]
- Jiang, X.; Jiang, T.; Gan, L.; Zhang, X.; Dai, H.; Zhang, X. The plasticizing mechanism and effect of calcium chloride on starch/poly(vinyl alcohol) films. Carbohydr. Polym. 2012, 90, 1677–1684. [Google Scholar] [CrossRef]
- Sin, L.T.; Rahman, W.; Rahmat, A.; Samad, A. Computational modeling and experimental infrared spectroscopy of hydrogen bonding interactions in polyvinyl alcohol–starch blends. Polymer 2010, 51, 1206–1211. [Google Scholar] [CrossRef]
- Liu, W.; Wang, Z.; Liu, J.; Dai, B.; Hu, S.; Hong, R.; Xie, H.; Li, Z.; Chen, Y.; Zeng, G. Preparation, reinforcement and properties of thermoplastic starch film by film blowing. Food Hydrocoll. 2020, 108, 106006. [Google Scholar] [CrossRef]
- Mano, J.F.; Koniarova, D.; Reis, R.L. Thermal properties of thermoplastic starch/synthetic polymer blends with potential biomedical applicability. J. Mater. Sci. Mater. Electron. 2003, 14, 127–135. [Google Scholar] [CrossRef]
- Hanna, A.; Basta, A.; El Saied, H.; Abadir, I.F. Thermal properties of cellulose acetate and its complexes with some transition metals. Angew. Makromol. Chem. 1998, 260, 1–4. [Google Scholar] [CrossRef]
- Mark, J.E. Polymer Data Handbook; Oxford University Press: New York, NY, USA, 1999. [Google Scholar]
- Menčík, P.; Přikryl, R.; Stehnová, I.; Melčová, V.; Kontárová, S.; Figalla, S.; Alexy, P.; Bočkaj, J. Effect of Selected Commercial Plasticizers on Mechanical, Thermal, and Morphological Properties of Poly(3-hydroxybutyrate)/Poly(lactic acid)/Plasticizer Biodegradable Blends for Three-Dimensional (3D) Print. Materials 2018, 11, 1893. [Google Scholar] [CrossRef] [PubMed]
- Marquis, D.M.; Guillaume, E.; Chivas-Joly, C. Properties of Nanofillers in Polymer. In Nanocomposites and Polymers with Analytical Methods; InTech: Rijeka, Croatia, 2011; pp. 261–284. [Google Scholar]
- Silva, K.D.S.; Fernandes, M.A.; Mauro, M. Effect of calcium on the osmotic dehydration kinetics and quality of pineapple. J. Food Eng. 2014, 134, 37–44. [Google Scholar] [CrossRef]
- Gao, Q.; Tan, Q.; Song, Z.; Chen, W.; Li, X.; Zhu, X. Calcium chloride postharvest treatment delays the ripening and softening of papaya fruit. J. Food Process. Preserv. 2020, 44, e14604. [Google Scholar] [CrossRef]
- Xu, C.; Li, X.; Zhang, L. The Effect of Calcium Chloride on Growth, Photosynthesis, and Antioxidant Responses of Zoysia japonica under Drought Conditions. PLoS ONE 2013, 8, e68214. [Google Scholar] [CrossRef]
- Ashebir, D.; Jezik, K.; Weingartemann, H.; Gretzmacher, R. Change in color and other fruit quality characteristics of tomato cultivars after hot-air drying at low final-moisture content. Int. J. Food Sci. Nutr. 2009, 60, 308–315. [Google Scholar] [CrossRef] [PubMed]
- Longano, D.; Ditaranto, N.; Cioffi, N.; Di Niso, F.; Sibillano, T.; Ancona, A.; Conte, A.; Del Nobile, M.A.; Sabbatini, L.; Torsi, L. Analytical characterization of laser-generated copper nanoparticles for antibacterial composite food packaging. Anal. Bioanal. Chem. 2012, 403, 1179–1186. [Google Scholar] [CrossRef]
- Palza, H.; Quijada, R.; Delgado, K. Antimicrobial polymer composites with copper micro- and nanoparticles: Effect of particle size and polymer matrix. J. Bioact. Compat. Polym. 2015, 30, 366–380. [Google Scholar] [CrossRef]
- Asif, A.; Mohsin, H.; Tanvir, R.; Rehman, Y. Revisiting the Mechanisms Involved in Calcium Chloride Induced Bacterial Transformation. Front. Microbiol. 2017, 8, 2169. [Google Scholar] [CrossRef]






| Apple Slices | Colourimetry | pH Value | Weight Loss % | Reducing Sugar % | Antioxidant Activity % | |||
|---|---|---|---|---|---|---|---|---|
| L1 | a2 | b3 | c4 | |||||
| Fresh-cut (day 0) | 82.66 ± 0.86 | 1.09 ± 0.08 | 18.76 ± 0.47 | 18.79 ± 0.48 | 4.41 ± 0.32 | N/A | 0.21 ± 0.02 | 28.1 ± 3.4 |
| 14 days on TPS | 72.97 ± 2.34 | 5.43 ± 0.98 | 24.8 ± 2.3 | 25.41 ± 2.15 | 3.42 ± 0.08 | 28 ± 2.2 | 0.58 ± 0.03 | 20.9 ± 1.6 |
| 14 days on TPS/CaCl2 20 wt% | 76.07 ± 1.34 | 4.13 ± 0.78 | 25.44 ± 2.53 | 25.77 ± 2.6 | 3.91 ± 0.1 | 32.7 ± 1.01 | 1.05 ± 0.26 | 24.8 ± 3.5 |
| Time (h) | TPS/CaCl2 10 wt% | TPS/CaCl2 20 wt% | ||||
|---|---|---|---|---|---|---|
| 4 °C | 20 °C | 30 °C | 4 °C | 20 °C | 30 °C | |
| 3 | 1.08 ± 0.03 | 0.68 ± 0.01 | 0.97 ± 0.03 | 2.86 ± 0.03 | 3.32 ± 0.01 | 3.27 ± 0.03 |
| 6 | 1.30 ± 0.03 | 0.92 ± 0.03 | 1.14 ± 0.03 | 3.12 ± 0.07 | 3.68 ± 0.07 | 3.94 ± 0.11 |
| 24 | 2.05 ± 0.06 | 1.87 ± 0.01 | 2.14 ± 0.03 | 5.73 ± 0.01 | 6.76 ± 0.07 | 6.16 ± 0.06 |
| 48 | 2.47 ± 0.03 | 2.29 ± 0.01 | 2.50 ± 0.06 | 6.87 ± 0.01 | 7.57 ± 0.03 | 7.74 ± 0.08 |
| 72 | 2.54 ± 0.04 | 2.71 ± 0.01 | 2.91 ± 0.08 | 7.49 ± 0.17 | 8.38 ± 0.17 | 8.57 ± 0.08 |
| 192 | 2.60 ± 0.01 | 2.93 ± 0.04 | 3.16 ± 0.06 | 8.45 ± 0.01 | 8.84 ± 0.01 | 9.49 ± 0.17 |
| Colony Forming Units·mL−1 | ||||||||
|---|---|---|---|---|---|---|---|---|
| Total Mesophilic Bacteria | Coliforms | Staphylococcus aureus | Yeasts/Moulds | |||||
| Day | TPS | TPS/CaCl2 20 wt% | TPS | TPS/CaCl2 20 wt% | TPS | TPS/CaCl2 20 wt% | TPS | TPS/CaCl2 20 wt% |
| 2 | 0 ± 0 | 0 ± 0 | 0 ± 0 | 0 ± 0 | 0 ± 0 | 0 ± 0 | 0 ± 0 | 0 ± 0 |
| 7 | 0 ± 0 | 0 ± 0 | 0 ± 0 | 0 ± 0 | 0 ± 0 | 0 ± 0 | 0 ± 0 | 0 ± 0 |
| 9 | 0 ± 0 | 0 ± 0 | 0 ± 0 | 0 ± 0 | 0 ± 0 | 0 ± 0 | 0 ± 0 | 0 ± 0 |
| 14 | 0 ± 0 | 0 ± 0 | 0 ± 0 | 0 ± 0 | 0 ± 0 | 0 ± 0 | 0 ± 0 | 0 ± 0 |
| 16 | 0 ± 0 | 0 ± 0 | 0 ± 0 | 0 ± 0 | 0 ± 0 | 0 ± 0 | 0 ± 0 | 0 ± 0 |
| 21 | 0 ± 0 | 0 ± 0 | 0 ± 0 | 0 ± 0 | 0 ± 0 | 0 ± 0 | 445 ± 770 | 0 ± 0 |
| 23 | 0 ± 0 | 0 ± 0 | 0 ± 0 | 0 ± 0 | 0 ± 0 | 0 ± 0 | 879 ± 826 | 0 ± 0 |
| 28 | 0 ± 0 | 0 ± 0 | 0 ± 0 | 0 ± 0 | 0 ± 0 | 0 ± 0 | 843 ± 67 | 0 ± 0 |
Publisher’s Note: MDPI stays neutral with regard to jurisdictional claims in published maps and institutional affiliations. |
© 2021 by the authors. Licensee MDPI, Basel, Switzerland. This article is an open access article distributed under the terms and conditions of the Creative Commons Attribution (CC BY) license (https://creativecommons.org/licenses/by/4.0/).
Share and Cite
Araujo, J.A.; Cortese, Y.J.; Mojicevic, M.; Brennan Fournet, M.; Chen, Y. Composite Films of Thermoplastic Starch and CaCl2 Extracted from Eggshells for Extending Food Shelf-Life. Polysaccharides 2021, 2, 677-690. https://doi.org/10.3390/polysaccharides2030041
Araujo JA, Cortese YJ, Mojicevic M, Brennan Fournet M, Chen Y. Composite Films of Thermoplastic Starch and CaCl2 Extracted from Eggshells for Extending Food Shelf-Life. Polysaccharides. 2021; 2(3):677-690. https://doi.org/10.3390/polysaccharides2030041
Chicago/Turabian StyleAraujo, Jeovan A., Yvonne J. Cortese, Marija Mojicevic, Margaret Brennan Fournet, and Yuanyuan Chen. 2021. "Composite Films of Thermoplastic Starch and CaCl2 Extracted from Eggshells for Extending Food Shelf-Life" Polysaccharides 2, no. 3: 677-690. https://doi.org/10.3390/polysaccharides2030041
APA StyleAraujo, J. A., Cortese, Y. J., Mojicevic, M., Brennan Fournet, M., & Chen, Y. (2021). Composite Films of Thermoplastic Starch and CaCl2 Extracted from Eggshells for Extending Food Shelf-Life. Polysaccharides, 2(3), 677-690. https://doi.org/10.3390/polysaccharides2030041

