Abstract
Improvements in quality of life, new technologies and population growth have significantly increased energy consumption in Brazil and around the world. The Paris Agreement aims to limit global warming and promote sustainable development, making green hydrogen a fundamental option for industrial decarbonization. Green hydrogen, produced through the electrolysis of water using renewable energy, is gaining traction as a solution to reducing carbon emissions, with the global hydrogen market expected to grow substantially. This study applies the method to evaluate the cross-correlation between the green hydrogen market and various financial assets, including the URTH ETF, Bitcoin, oil futures, and commodities, revealing some strong positive correlations. It highlights the interconnection of the green hydrogen market with developed financial markets and digital currencies. The cross-correlation between the green hydrogen market and the index representing global financial markets presented a value close to 0.7 for small and large time scales, indicating a strong cross-correlation. The green hydrogen market and Bitcoin also presented a cross-correlation value of 0.4. This study provides valuable information for investors and policymakers, especially those concerned with achieving sustainability goals and environmental-social governance compliance and seeking green assets to protect and diversify various traditional investments.
1. Introduction
Improvements in quality of life, new technologies, and population growth have led to a significant increase in energy consumption in Brazil and worldwide. Since the 1992 United Nations Conference on Environment and Development, also known as Eco-92, held in Rio de Janeiro, Brazil’s energy production and consumption have increased reaching tons of oil equivalent in 2024.
The Paris Agreement, which took place in 2015, among other events, established the limitation of global warming below 2 °C to 1.5 °C and other restrictions for global warming, considering the risks of climate change that could cause greater problems for humanity. As a result, the environment is a highly important for preservation in a globalized world. Thus, the Paris Agreement aims at sustainable development and a reduction in greenhouse gas (GHG) emissions. The objective is to maintain the global average temperature well below 2 °C of preindustrial levels and to make efforts to limit the increase to 1.5 °C [1].
Notably, green hydrogen is considered one of the best options for more sustainable industrial production [2]. It is produced via water electrolysis powered by renewable energy sources and represents a promising solution to decarbonize the global economy [3,4]. Given the increasing discussion about the importance of reducing carbon emissions, there is an increasing search for viable options to replace fossil fuels. In this sense, green hydrogen has become a predominant trend because it offers a solution for reducing carbon emissions in the sector [5,6].
Hydrogen is the third most abundant element on the planet. It is not possible to find it isolated in the environment in its pure form. Moreover, since it is lighter than air, it is impossible to extract and store it. Interestingly, one way to capture hydrogen is through electrolysis, which splits water into hydrogen and oxygen. Indeed, this physical–chemical process can use any energy source to artificially create the environment necessary for the chemical process to occur [7].
Green hydrogen, with all its properties and characteristics, is important for achieving the Sustainable Development Goals (SDGs), especially in the topics of energy, climate change, technological innovation, and responsible consumption. Green hydrogen contributes to SDG 7 (Affordable and Clean Energy), in some way, in this SDG, green hydrogen can be considered one of the pillars of a more sustainable energy system thanks to its carbon neutrality compared to conventional hydrogen. Moreover, the International Energy Agency (IEA) also highlights that green hydrogen has the potential to play a very important role in the decarbonization of sectors that are difficult to electrify, such as heavy industry and long-range transport [8].
Green hydrogen can also help complete SDG 13 (Action Against Global Climate Change). For instance, the European Commission stated that, if implemented properly, it can reduce and mitigate the emission of greenhouse gases, especially in industrial sectors. and transport. Importantly, creating clean energy, such as solar and wind energy, will help to meet the goals set in the Paris Agreement for decarbonization by 2050 [9]. The International Energy Agency has established the key role of green hydrogen in the future of clean energy in the world [10]. It has been predicted by 2050, the H2V market could be worth around US $1.4 trillion annually [11].
When produced from different sources, such as natural gas, petroleum, renewable nuclear energy and renewable energy, hydrogen has the potential to solve a variety of energy problems. In addition, it can be used in a variety of ways, including residential and industrial transportation and supply. The production of chemical products, long-distance transportation and the steel industry are examples of sectors in which it is difficult to decarbonize emissions through this application. Hydrogen can also improve energy security and air quality.
When produced from different sources, such as natural gas, petroleum, renewable nuclear energy and renewable energy, hydrogen can potentially solve various energy problems. In addition, it can be used in a variety of ways, including residential and industrial transportation and supply. However, the production of chemical products, long-distance transportation and the steel industry are examples of sectors in which it is challenging to decarbonize emissions through this application. Hydrogen can also improve energy security and air quality [6].
In 2018, the global hydrogen demand was 115 million tons (Mt), with 73 Mt of pure hydrogen and 42 Mt of hydrogen combined with other gases. Ninety-six percent of the pure hydrogen was used in petroleum refining and ammonia production for fertilizers [12]. The demand for mixed hydrogen is notable in the methanol industry. According to Reuters, this new global hydrogen market will require an investment of US $15 trillion up to 2025 [13].
The agreement represents an alliance developed over time, officially tied to pre-existing environmental accords, and establishes global goals, such as temperature mitigation limits and climate subsidies to support developing countries. It also sets targets to limit greenhouse gas emissions for all nations. Essentially, the agreement serves as a roadmap for reorienting the global economy toward decarbonization. While it was well received, it is widely understood that the real work begins now. Achieving its goals and preventing climate chaos will require pacts far more robust than those announced by countries before COP 21. Furthermore, financial literature can play a pivotal role in mitigating greenhouse gas emissions through studies focusing on energy, green bonds, and green cryptocurrencies.
In this article we will use the method proposed by who created a method to investigate the cross-correlation power laws between two simultaneous and non-stationary time series called Detended Cross-Correlation Analysis (DCCA). It combined Detended Cross Correlation Analysis (DCCA) [14] and Detented Fluctuation Analysis (DFA) [15] to construct what quantifies the cross-correlation between two asymptotically non-stationary series. The values vary between −1 and 1. When this value is equal to 1 the series are perfectly correlated, when it is −1 the series are anti-correlated and it is zero when there is no correlation.
In this article, we used the Detended Cross-Correlation Analysis Coefficient (DCCA) method [16], that was created to evaluate the cross-correlation power laws between two simultaneous and non-stationary time series. This approach combined DCCA [14] and Detented Fluctuation Analysis (DFA) [15] to construct what quantifies the cross-correlation between two asymptotically non-stationary series. The values vary between −1 and 1. When this value equals to 1, the series are perfectly correlated, when it is −1, the series are anti-correlated, and it is zero when there is no correlation. Wang et al. combined DCCA and random matrix theory to investigate the cross-correlations of daily closing prices of 462 constituent stocks in the S&P 500 index [17].
Similarly, Wang et al. [18] applied the minimum spanning tree and DCCA methods to analyze statistical properties of the foreign exchange network to several countries from 2007 to 2012, finding the cross-correlation coefficient in the foreign exchange market that presents a distribution with a long base and a predominance of the dollar and euro. Furthermore, ref. [19] generalized the Minimum Spanning Tree (MST) concept by introducing the family of q-dependent minimum spanning trees. This method allowed working with data ranging from one minute to one month, in addition to using the value of the coefficients and , the latter being more satisfactory.
Wang et al. (2017) calculated the cross-correlation using the wavelet cross-correlation and the Pearson correlation analyzing 457 shares listed on the SP 500 during the period from 2005 to 2012, finding a fat-tailed distribution with wavelet with clusters formed by the following sectors: Financial, Material and Industrial [20]. Rather than using Pearson’s correlation, which is a linear measure of correlation between two series, considering a given data sample, an alternative way to calculate the correlation between nodes in a network is by using multiscale methods.
Multi-scale methods allow the analysis of different networks for different time scales, allowing the identification of different behaviors for each scale. They could be used, for example, to differentiate between the behavior of networks in the short- or long-term (considering, for example, lower or higher time scales). In addition to the possibility of using combined with network theory, there are other model variations. Moreover, Zebende and da Silva Filho [21] proposed the multiple that makes it possible to calculate the cross-correlation between several variables. A dynamic or time-varying version of was proposed by Guedes and Zebende [22]. Using Okorie and Lin [23] detected a contagion effect in international financial markets during the Covid pandemic. Another analysis using to identify the effects of contagion between financial markets was carried out by [24].
In the financial literature, the analysis of correlations between the energy market and other assets began with studies on co-movements in the oil market [25,26,27,28,29]. Oil, being the most influential commodity in the energy market, has fluctuations that can impact other commodities, including financial markets. Regarding correlations between energy markets and other assets, an important area of interest is the co-movement in the clean energy market. In this context, Nasreen et al. [30] identified a co-movement between the oil market, the clean energy market, and technology companies. The study revealed that fluctuations in the oil market predominantly affect clean energy companies. Similarly, Farid et al. [31] found comparable results when analyzing the co-movements between the clean energy market and conventional energy markets during the COVID-19 pandemic crisis, observing weak links between clean energy and the dirty energy market in the short term. From another perspective, several studies have focused on the return transfer processes between green bond markets and global financial markets. Specifically, numerous studies have examined the connections between the green bond market and other asset classes [32,33,34,35].
A recent study reviewed the interconnectedness between hydrogen and other assets under normal and extreme market conditions [36]. The study revealed that economic and financial analytical approaches have been increasingly applied to assess the associations between green assets and traditional financial instruments [34,37,38]. The use of wavelet coherence analysis has revealed correlations between green bonds, equities, commodities, and other conventional financial assets within the US and EU markets [34]. Moreover, time-varying spillover models have provided insights into the interactions between clean energy stocks and assets associated with fossil fuels [38]. Research exploring the risk profile of hydrogen relative to key asset classes revealed that most assets exhibited weak to moderate positive correlations with hydrogen, whereas the volatility index presented a moderate negative correlation. Furthermore, the study highlighted that extreme market conditions, such as those experienced during the COVID-19 pandemic, could substantially influence the interconnections between hydrogen and other financial assets [36].
Despite its importance to the financial market, the exploration of the connectedness between hydrogen and other asset classes under extreme economic conditions has been an underexplored area of research [36]. This study aims to empirically investigate whether the hydrogen exchange-traded fund (ETF) is cross-correlated relative to other conventional financial assets, in different time scales.
2. Materials and Methods
The primary index analyzed in this study is the Global X Hydrogen ETF (HYDR). This ETF focuses on investing in companies anticipated to benefit from the expansion of the global hydrogen sector. These companies are involved in several process, such as hydrogen production, the integration of hydrogen into energy systems, and the development and manufacturing of hydrogen-related technologies such as fuel cells, electrolyzers, and other hydrogen energy solutions. As of 27 June 2024, the top five holdings within HYDR include BLOOM ENERGY CORP-A (BE), NEL ASA (NEO), PLUG POWER INC (PLUG), BALLARD POWER SYSTEMS INC (BLPD), and DOOSAN FUEL CELL CO LTD. For comparative analysis, HYDR was evaluated against four additional financial indices:
- iShares MSCI World ETF (URTH): An ETF designed to replicate the performance of an index comprising equities from developed markets.
- West Texas Intermediate Light Sweet Crude Oil Futures (CL=F): A grade of crude oil serving as one of the principal benchmarks in oil pricing, alongside Brent and Dubai Crude.
- S&P GSCI Futures (GD=F): A widely recognized commodity index that is both broad-based and production-weighted and is designed to reflect the global commodity market’s beta.
- Bitcoin USD (BTC-USD): The end-of-day price for Bitcoin, the most prominent and widely adopted cryptocurrency, first introduced in 2009.
The data related to these assets were analyzed from 14 July 2021, to 10 February 2025, based on the launch of HYDR. The cross-correlation was calculated using the logarithmic return (Equation (1)) based on the return of the daily closing prices for these assets.
To avoid a biased analysis due to the short timescale of the HYDR dataset, only during and after the COVID-19 pandemic, we conducted an analysis of the cross-correlations of the closing price returns of BE, NEO, PLUG, and BLPD against URTH and BTC-USD from 1 August 2018, to 10 February 2025. The raw data is available at https://doi.org/10.7910/DVN/6EYG5D (accessed on 24 February 2025).
where, RLt is the return, ln(Pt + 1) is the logarithm and a subsequent price, ln(Pt) is the logarithm of the price. In Figure 1, some returns on the assets analyzed can be seen.
Figure 1.
Returns series of the BE, BLPD, NEO, PLUG, HYDR and BTC-USD closing prices.
Detrended Cross-Correlation Analysis
According to Mantegna and Stanley [39] financial markets can be analyzed with tools derived from complex systems. Thus, in this analysis, we used the proposed by [16], who measures the cross-correlation between two paired time series.
The calculation is performed according to the five following steps:
- Consider two time series, and where (N is the total number of elements in the time series). Obtain two new series as shown in Equation (2).
- Divide the new time series, and , into overlapping boxes of equal length s, with boxes and .
- Calculate the local trend of each box, by adjusting each series’ least squares, and . Then, compute the covariance of the residuals in each box as computed by Equation (3).
- Calculate the average of the covariance over all overlapping boxes using Equation (4).
- Finally, determine using Equation (5).
Here, is determined by the method of Podobnik and Stanley [14]. and is determined by Peng et al. [15] method.
The coefficient is a dimensionless measure applied across multiple scales, with its values raging from to 1. A value of 1 signifies a perfect positive cross-correlation. A value of represents a perfect negative cross-correlation and zero means no cross-correlation condition [40]. Compared with Pearson’s method, coefficient is more robust to contaminated noise and less sensitive to the amplitude ratio between slow and fast components [41]. This method efficiently estimates correlations between non-stationary time series. The method also follows the procedure of Podobnik et al. [42] to test the significance of the correlation and calculate the 95% Confidence Intervals for non-significant results.
The has been applied in several interdisciplinary fields, such as mobility [43], epidemics [44] and to finance [17,18,45]. For example, the was used to analyze the correlation between the prices of oil and renewable energy sources. For this purpose, composite indices of renewable energy sources in the USA and Europe from 2006 to 2015 were used. Notably, there are strong correlations between oil and the onset of renewable energy over long time intervals during the worst period of the economic crisis (2008–2012) [46]. Another example is the analysis of the contagion effect between oil prices and the stock exchanges of the G-20 countries before and after the 2008 crisis.
3. Results
Figure 2 shows the DCCA coefficient between HYDR and the other assets (URTH, BTC-USD, CL=F and GD=F) for the period analyzed. The ordinate axis represents the values and the abscissa axis represents the time scale s, in days. The lines remain red and orange representing the significance test of [42].
Figure 2.
DCCA coefficient between HYDR and the other assets for the analyzed period, with s being the time scale (in days). The red and orange lines represent the upper and lower critical values, respectively, for the test with the H0 hypothesis: and H1: .
The correlation between HYDR and URTH slightly increases over time, starting from 0.5948 and reaching 0.7044 over a 91-day scale. The correlation with BTC-USD increases for larger time scales, initially remaining in the statistically non-significant zone up to a 20-day scale, after which it becomes statistically significant, peaking at 0.3990. The correlation between HYDR and CL=F starts at 0.1328 for small time scales and reaches a peak of 0.1852 at the 13-day scale. However, after this peak, the correlation gradually declines and becomes statistically non-significant for . Similarly, the correlation between HYDR and GD=F starts at 0.1687 and increases to a peak of 0.2277 at the 38-day scale. After this point, the correlation declines, becoming statistically non-significant from onward. These results indicate that HYDR has weak or insignificant correlations with CL=F and GD=F, with statistical significance only in shorter time scales. The findings reinforce that HYDR exhibits a stronger cross-correlation with URTH and BTC-USD than with CL=F and GD=F from July 2021 to February 2025.
It can be observed that the hydrogen market showed strong positive cross-correlations with the URTH, higher than 0.59 for all time scales. This result indicated that movements in developed financial markets are correlated with the green hydrogen market. As of 29 July 2024, 22.4% of the URTH holdings are from the information technology sector (APPLE INC, MICROSOFT CORP, NVIDIA CORP and BROADCOM INC), consumer discretionary sector (AMAZON COM INC and TESLA INC) and communication sector (META PLATFORMS INC CLASS A, ALPHABET INC CLASS A and ALPHABET INC CLASS C). All these companies share a common characteristic: they are developing and utilizing large Artificial Intelligence (AI) models. The more powerful the AI, the greater the energy consumption. Determining the electrical consumption of an AI model is not straightforward, as it involves analyzing the energy required to produce the hardware and developing and executing the model [47]. For instance, an experiment conducted in 2020 at the Microsoft datacenter revealed that the energy consumption for training GPT-3 was 1287 MWh [48]. Finally, when implemented, larger AI models require much more energy to be used. Since AI language models are increasingly incorporated into search engines and the popularity of chatbots and image generators increases, companies such as Google and Microsoft may face an exponential increase in daily queries [49]. Indeed, NVIDIA’s new AI servers are projected to consume more energy than Argentina and Sweden combined by 2027 [50].
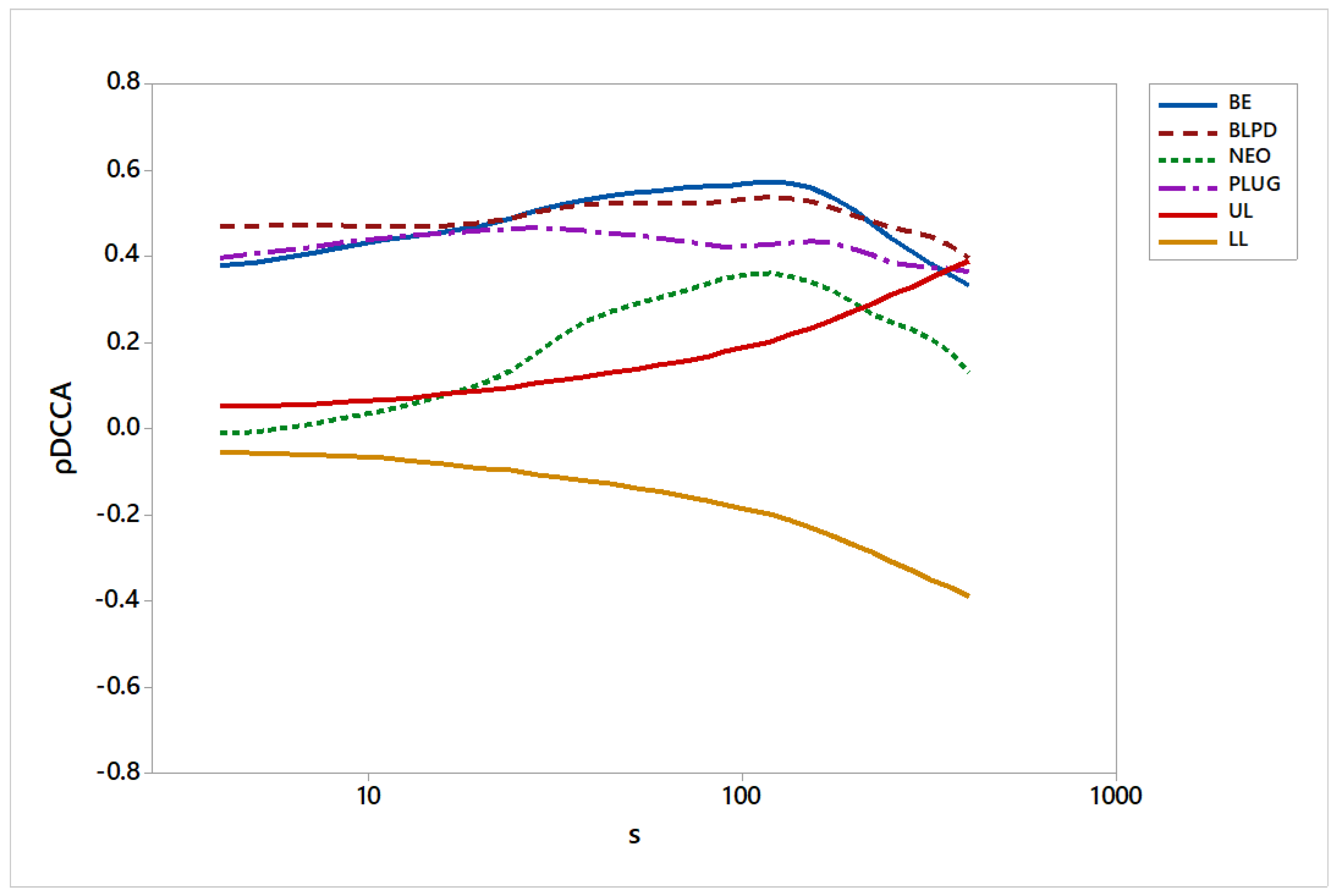
The analysis of the correlations between stock closing prices and the URTH, from August 2018 to February 2025, shows that BE, BLPD and PLUG exhibit consistently positive correlations across all time scales. BE starts with a correlation of 0.3805 at the 4-day scale and reaches its peak at 0.5719 at the 119-day scale, maintaining statistical significance throughout. Similarly, BLPD follows a comparable trend, beginning at 0.4701, peaking at 0.5382, and gradually declining over longer time scales. PLUG shows a moderate positive correlation, beginning at 0.3971, peaking at 0.4659, and then gradually declining while remaining statistically significant. These results suggest that the stock prices of BE, BLPD and PLUG closely follow the movements of the global financial market as represented by the cross-correlations between HYDR and URTH. On the other hand, NEO initially has a statistically non-significant correlation with URTH, but it increases over time, becoming statistically significant at and reaching a peak of 0.3604 at 119-day scale, and becoming non-significant again at . Meanwhile, across all stocks, the correlations tend to peak around (Figure 3).
Figure 3.
DCCA coefficient between URTH and BE, BLPD, NEO, PLUG, with s being the time scale (in days). The red and orange lines represent the upper and lower critical values, respectively, for the test with the H0 hypothesis: and H1: .
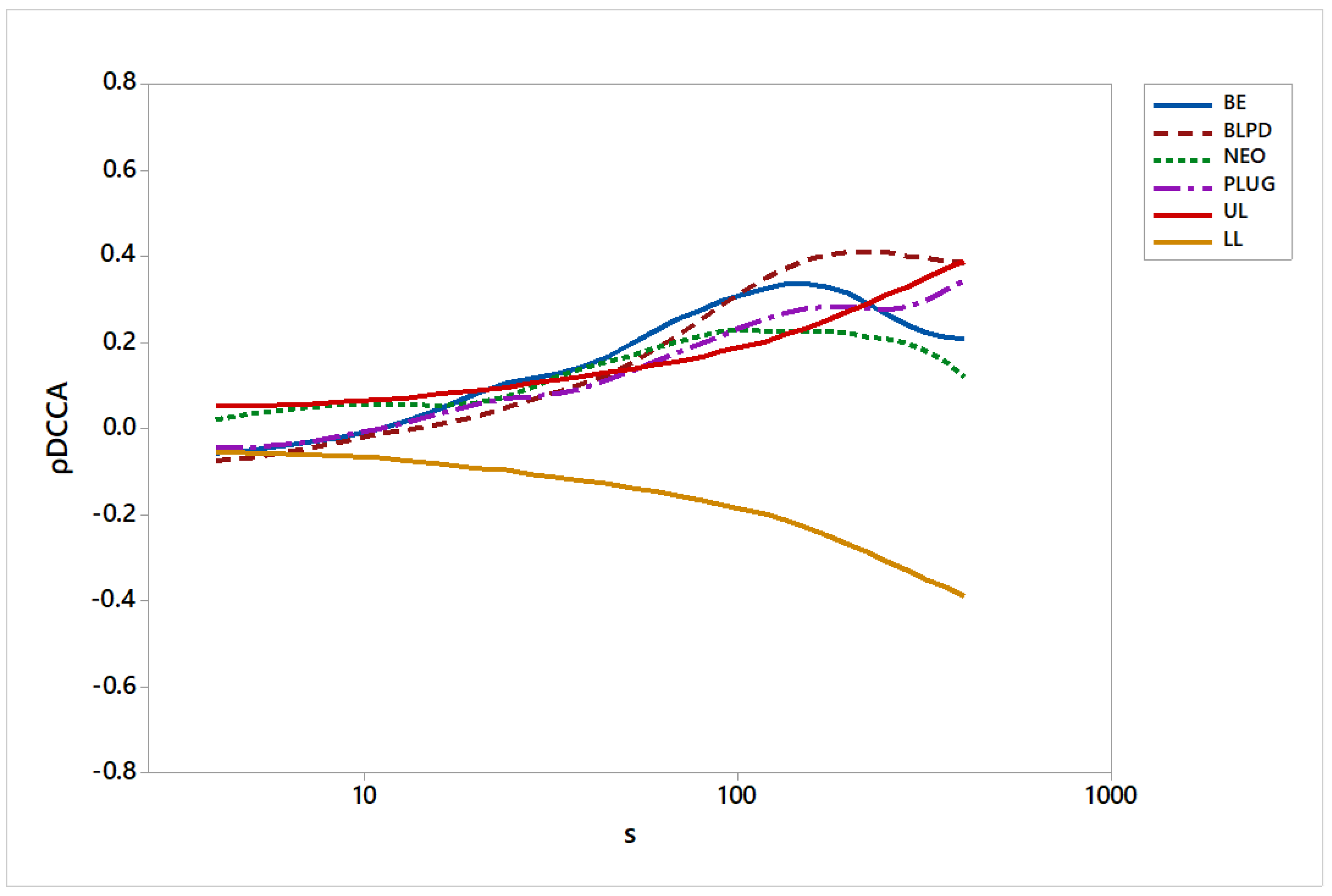
The analysis of correlations between stock closing prices and BTC-USD reveals similar trends among the studied companies. All the stocks exhibit a positive and increasing correlation with BTC-USD over time (Figure 4). The results are statistically non-significant for both short- and long-term time scales. For example, BE presents a weak but significant cross-correlation between and , and PLUG between and . Finally, these stocks exhibit a similar behavior to the co-movement between HYDR and BTC-USD, as shown in Figure 2.
Figure 4.
DCCA coefficient between BTC-USD and BE, BLPD, NEO, PLUG, with s being the time scale (in days). The red and orange lines represent the upper and lower critical values, respectively, for the test with the H0 hypothesis: and H1: .
4. Discussion
Green hydrogen can accelerate decarbonization, as its commercialization may surpass that of liquefied natural gas by 2030, thus creating a market worth USD 1.4 trillion annually by 2050. Moreover, it contributes to aligning countries with the goals established in the Paris Agreement—to limit global warming to well below 2 °C and preventing it from exceeding 1.5 °C. In this context, analyzing the correlations of the green hydrogen market with other financial assets can contribute to understanding the green hydrogen market and also help reduce the allocation of financial assets by hedge funds and multi-market funds [51,52].
Green hydrogen presents a significant opportunity for sustainable growth in developing countries, especially in Brazil, where most of the energy produced is renewable. Meanwhile, the Northeast of Brazil, a poor area, shows great potential for sustainable growth promoted by the green hydrogen market, because the region has large sources of renewable energy, that is, wind and solar. Given the importance of the green hydrogen market, this article examined the correlation of the green hydrogen market with other assets. The high correlation with the ETF representing global financial markets, URTH, shows that the green hydrogen market behaves like any financial asset that follows the movements of global financial markets.
This result demonstrates a dynamic correlation between the price of green hydrogen and traditional markets. However, the statistically significant co-movement between the green hydrogen markets and Bitcoins, for long-time scales, was an interesting result given that the cryptocurrency is related to the digital market without such an apparent relationship. It is worth noting that the ETF represents a fund with a portfolio made up of companies operating in the green hydrogen market. Therefore, the ETF positively correlated with global financial markets or Bitcoin may represent that companies operating in the hydrogen market have fluctuations similar to those of traditional and digital assets. As financial markets, especially Bitcoin, are subject to fluctuations and volatility, companies operating in the green hydrogen market may be subject to fluctuations. We highlight that the cross-correlation coefficient between HYDR and BTC-USD is weaker than that between HYDR and URTH ETFs.
This result also verifies of the correlation between the green hydrogen market and other cryptocurrencies, particularly green cryptocurrencies that are designed to have a minimal environmental impact since they use less energy during their creation and operation than traditional cryptocurrencies, such as Bitcoin. Sustainable operations involving green hydrogen and green cryptocurrencies could verify this possible correlation. In this context, the green hydrogen market may becomes an ally in reducing the mitigation of carbon emissions by using renewable energy for its production. However, the correlation between the green hydrogen market and the financial markets and Bitcoin could harm investments in the sector in the medium and long term. If the financial markets and Bitcoin fall, this could indicate that the value of companies operating in the green hydrogen market could also fall. This situation may discourage investment by companies operating in the hydrogen sector and green hydrogen fuel production.
5. Conclusions
In this study, we examined the cross-correlation of the green hydrogen market represented by the HYDR and other important financial assets representing the world financial markets, such as Bitcoin, oil futures and commodities. For this purpose, the cross-correlation coefficient was used to measure the degree of co-movement. We found statistically positive correlations between HYDR and all evaluated financial assets. The results are useful for energy policymakers and hedge fund investors and contribute to the knowledge of fluctuations in the green hydrogen market.
The analysis reveals significant insights into the correlations between the green hydrogen market and several financial assets. Remarkably, the strong positive correlation with the URTH ETF, which is consistently above 0.59 across all time scales, indicates that the green hydrogen market has co-movements with the developed financial markets. This relationship is particularly interesting given the substantial energy consumption associated with large AI models used by the companies with the higher stock percentiles in the URTH holdings, such as Apple, Microsoft, NVIDIA, Amazon, Tesla, Meta, and Alphabet. As these companies increasingly adopt and deploy AI technologies, their energy demands, and consequently, their influence on the green hydrogen market, are likely to increase.
We proposed that future studies analyze the correlations between the hydrogen market and other assets, such as cryptoactives, commodities and/or green bonds. Furthermore, different models for calculating correlation can be used to find connectivity between companies operating in the green hydrogen market. Studies can also be carried out involving indicators referring to other types of hydrogen.
The present study provides information about the movements in the green hydrogen market and provides insights into this market, mainly for investors in hedge funds, energy markets and hedge funds. The correlation between the green hydrogen market and Bitcoins provides insights for future studies involving the green hydrogen market and cryptocurrencies, especially green cryptocurrencies.
Author Contributions
Conceptualization, E.J.A.L.P. and L.S.A.; methodology, E.J.A.L.P., D.Q. and P.F.; validation, E.J.A.L.P. and T.B.M.; formal analysis, D.Q. and P.F.; investigation, E.J.A.L.P., G.E., L.S.A. and T.B.M.; resources, E.J.A.L.P.; data curation, E.J.A.L.P. and D.Q.; writing—original draft preparation, E.J.A.L.P. and T.B.M.; writing—review and editing, E.J.A.L.P., D.Q., P.F., G.E. and T.B.M.; visualization, E.J.A.L.P., L.S.A., D.Q., P.F., G.E. and T.B.M.; supervision, E.J.A.L.P.; project administration, E.J.A.L.P. All authors have read and agreed to the published version of the manuscript.
Funding
Paulo Ferreira acknowledges the financial support of Fundação para a Ciência e a Tecnologia (grant UIDB/05064/2020).
Data Availability Statement
The original data presented in the study is openly available in https://doi.org/10.7910/DVN/6EYG5D (accessed on 24 February 2025).
Conflicts of Interest
The authors declare no conflicts of interest.
References
- Agreement, P. Paris agreement. In Report of the Conference of the Parties to the United Nations Framework Convention on Climate Change (21st Session, 2015: Paris); HeinOnline: Getzville, NY, USA, 2015; Volume 4, p. 2. [Google Scholar]
- Oliveira, A.M.; Beswick, R.R.; Yan, Y. A green hydrogen economy for a renewable energy society. Curr. Opin. Chem. Eng. 2021, 33, 100701. [Google Scholar] [CrossRef]
- Kovač, A.; Paranos, M.; Marciuš, D. Hydrogen in energy transition: A review. Int. J. Hydrogen Energy 2021, 46, 10016–10035. [Google Scholar] [CrossRef]
- Squadrito, G.; Maggio, G.; Nicita, A. The green hydrogen revolution. Renew. Energy 2023, 216, 119041. [Google Scholar] [CrossRef]
- Bezerra, F.D. Hidrogênio Verde: Nasce um Gigante no Setor De Energia; Banco do Nordeste: Fortaleza, Brazil, 2021. [Google Scholar]
- Guarieiro, L.L.; Anjos, J.P.d.; Silva, L.A.d.; Santos, A.Á.; Calixto, E.E.; Pessoa, F.L.; Almeida, J.L.d.; Andrade Filho, M.; Marinho, F.S.; Rocha, G.O.d.; et al. Technological perspectives and economic aspects of green hydrogen in the energetic transition: Challenges for chemistry. J. Braz. Chem. Soc. 2022, 33, 844–869. [Google Scholar] [CrossRef]
- Dawood, F.; Anda, M.; Shafiullah, G. Hydrogen production for energy: An overview. Int. J. Hydrogen Energy 2020, 45, 3847–3869. [Google Scholar] [CrossRef]
- Hassan, Q.; Sameen, A.Z.; Salman, H.M.; Jaszczur, M.; Al-Jiboory, A.K. Hydrogen energy future: Advancements in storage technologies and implications for sustainability. J. Energy Storage 2023, 72, 108404. [Google Scholar] [CrossRef]
- Lambert, M. Eu Hydrogen Strategy: A Case for Urgent Action Towards Implementation; Oxford Institute for Energy Studies: Oxford, UK, 2020. [Google Scholar]
- Biggins, F.; Kataria, M.; Roberts, D.; Brown, S. Green hydrogen investments: Investigating the option to wait. Energy 2022, 241, 122842. [Google Scholar] [CrossRef]
- Jornal da USP. Mercado de Hidrogênio Verde: Entre Oportunidade e Submissão. 2023. Available online: https://jornal.usp.br/radio-usp/mercado-de-hidrogenio-verde-entre-oportunidade-e-submissao/ (accessed on 21 October 2024).
- Empresa de Pesquisa Energética. Bases para a Consolidação da Estratégia Brasileira do Hidrogênio; EPE-DEA-NT-003/2021; Empresa de Pesquisa Energética: Rio de Janeiro, Brazil, 2021. [Google Scholar]
- Chestney, N. $15 Trillion Global Hydrogen Investment Needed to 2050-Research. Available online: https://www.thestar.com.my/business/business-news/2021/04/27/15-trillion-global-hydrogen-investment-needed-to-2050-research (accessed on 16 November 2024).
- Podobnik, B.; Stanley, H.E. Detrended cross-correlation analysis: A new method for analyzing two nonstationary time series. Phys. Rev. Lett. 2008, 100, 084102. [Google Scholar] [CrossRef]
- Peng, C.K.; Buldyrev, S.V.; Havlin, S.; Simons, M.; Stanley, H.E.; Goldberger, A.L. Mosaic organization of DNA nucleotides. Phys. Rev. E 1994, 49, 1685. [Google Scholar] [CrossRef] [PubMed]
- Zebende, G.F. DCCA cross-correlation coefficient: Quantifying level of cross-correlation. Phys. A Stat. Mech. Its Appl. 2011, 390, 614–618. [Google Scholar] [CrossRef]
- Wang, G.J.; Xie, C.; Chen, S.; Yang, J.J.; Yang, M.Y. Random matrix theory analysis of cross-correlations in the US stock market: Evidence from Pearson’s correlation coefficient and detrended cross-correlation coefficient. Phys. A Stat. Mech. Its Appl. 2013, 392, 3715–3730. [Google Scholar] [CrossRef]
- Wang, G.J.; Xie, C.; Chen, Y.J.; Chen, S. Statistical properties of the foreign exchange network at different time scales: Evidence from detrended cross-correlation coefficient and minimum spanning tree. Entropy 2013, 15, 1643–1662. [Google Scholar] [CrossRef]
- Kwapień, J.; Oświęcimka, P.; Forczek, M.; Drożdż, S. Minimum spanning tree filtering of correlations for varying time scales and size of fluctuations. Phys. Rev. E 2017, 95, 052313. [Google Scholar] [CrossRef] [PubMed]
- Wang, G.J.; Xie, C.; Chen, S. Multiscale correlation networks analysis of the US stock market: A wavelet analysis. J. Econ. Interact. Coord. 2017, 12, 561–594. [Google Scholar] [CrossRef]
- Zebende, G.; da Silva Filho, A. Detrended multiple cross-correlation coefficient. Phys. A Stat. Mech. Its Appl. 2018, 510, 91–97. [Google Scholar] [CrossRef]
- Guedes, E.; Zebende, G. DCCA cross-correlation coefficient with sliding windows approach. Phys. A Stat. Mech. Its Appl. 2019, 527, 121286. [Google Scholar] [CrossRef]
- Okorie, D.I.; Lin, B. Stock markets and the COVID-19 fractal contagion effects. Financ. Res. Lett. 2021, 38, 101640. [Google Scholar] [CrossRef]
- Wang, G.J.; Xie, C.; Lin, M.; Stanley, H.E. Stock market contagion during the global financial crisis: A multiscale approach. Financ. Res. Lett. 2017, 22, 163–168. [Google Scholar] [CrossRef]
- Jones, C.M.; Kaul, G. Oil and the stock markets. J. Financ. 1996, 51, 463–491. [Google Scholar] [CrossRef]
- Sadorsky, P. Oil price shocks and stock market activity. Energy Econ. 1999, 21, 449–469. [Google Scholar] [CrossRef]
- Cong, R.G.; Wei, Y.M.; Jiao, J.L.; Fan, Y. Relationships between oil price shocks and stock market: An empirical analysis from China. Energy Policy 2008, 36, 3544–3553. [Google Scholar] [CrossRef]
- Filis, G.; Degiannakis, S.; Floros, C. Dynamic correlation between stock market and oil prices: The case of oil-importing and oil-exporting countries. Int. Rev. Financ. Anal. 2011, 20, 152–164. [Google Scholar] [CrossRef]
- Ghosh, S.; Kanjilal, K. Co-movement of international crude oil price and Indian stock market: Evidences from nonlinear cointegration tests. Energy Econ. 2016, 53, 111–117. [Google Scholar] [CrossRef]
- Nasreen, S.; Tiwari, A.K.; Eizaguirre, J.C.; Wohar, M.E. Dynamic connectedness between oil prices and stock returns of clean energy and technology companies. J. Clean. Prod. 2020, 260, 121015. [Google Scholar] [CrossRef]
- Farid, S.; Karim, S.; Naeem, M.A.; Nepal, R.; Jamasb, T. Co-movement between dirty and clean energy: A time-frequency perspective. Energy Econ. 2023, 119, 106565. [Google Scholar] [CrossRef]
- Reboredo, J.C. Green bond and financial markets: Co-movement, diversification and price spillover effects. Energy Econ. 2018, 74, 38–50. [Google Scholar] [CrossRef]
- Reboredo, J.C.; Ugolini, A. Price connectedness between green bond and financial markets. Econ. Model. 2020, 88, 25–38. [Google Scholar] [CrossRef]
- Reboredo, J.C.; Ugolini, A.; Aiube, F.A.L. Network connectedness of green bonds and asset classes. Energy Econ. 2020, 86, 104629. [Google Scholar] [CrossRef]
- Yousaf, I.; Mensi, W.; Vo, X.V.; Kang, S.H. Dynamic spillovers and connectedness between crude oil and green bond markets. Resour. Policy 2024, 89, 104594. [Google Scholar] [CrossRef]
- Lucey, B.; Yahya, M.; Khoja, L.; Uddin, G.S.; Ahmed, A. Interconnectedness and risk profile of hydrogen against major asset classes. Renew. Sustain. Energy Rev. 2024, 192, 114223. [Google Scholar] [CrossRef]
- Hunt, J.D.; Nascimento, A.; Nascimento, N.; Vieira, L.W.; Romero, O.J. Possible pathways for oil and gas companies in a sustainable future: From the perspective of a hydrogen economy. Renew. Sustain. Energy Rev. 2022, 160, 112291. [Google Scholar] [CrossRef]
- Saeed, T.; Bouri, E.; Alsulami, H. Extreme return connectedness and its determinants between clean/green and dirty energy investments. Energy Econ. 2021, 96, 105017. [Google Scholar] [CrossRef]
- Mantegna, R.N.; Stanley, H.E. Introduction to Econophysics: Correlations and Complexity in Finance; Cambridge University Press: Cambridge, UK, 1999. [Google Scholar]
- Machado Filho, A.; Da Silva, M.; Zebende, G. Autocorrelation and cross-correlation in time series of homicide and attempted homicide. Phys. A Stat. Mech. Its Appl. 2014, 400, 12–19. [Google Scholar] [CrossRef]
- Piao, L.; Fu, Z. Quantifying distinct associations on different temporal scales: Comparison of DCCA and Pearson methods. Sci. Rep. 2016, 6, 36759. [Google Scholar] [CrossRef]
- Podobnik, B.; Jiang, Z.Q.; Zhou, W.X.; Stanley, H.E. Statistical tests for power-law cross-correlated processes. Phys. Rev. E 2011, 84, 066118. [Google Scholar] [CrossRef] [PubMed]
- Azevedo, G.A.; Sampaio, R.R.; Filho, A.S.N.; Moret, M.A.; Murari, T.B. Sustainable urban mobility analysis for elderly and disabled people in São Paulo. Sci. Rep. 2021, 11, 791. [Google Scholar] [CrossRef]
- Oliveira, J.B.; Murari, T.B.; Nascimento Filho, A.S.; Saba, H.; Moret, M.A.; Cardoso, C.A.L. Paradox between adequate sanitation and rainfall in dengue fever cases. Sci. Total Environ. 2023, 860, 160491. [Google Scholar] [CrossRef]
- Kristoufek, L. Measuring correlations between non-stationary series with DCCA coefficient. Phys. A Stat. Mech. Its Appl. 2014, 402, 291–298. [Google Scholar] [CrossRef]
- Paiva, A.S.S.; Rivera-Castro, M.A.; Andrade, R.F.S. DCCA analysis of renewable and conventional energy prices. Phys. A Stat. Mech. Its Appl. 2018, 490, 1408–1414. [Google Scholar] [CrossRef]
- Alzoubi, Y.I.; Mishra, A. Green artificial intelligence initiatives: Potentials and challenges. J. Clean. Prod. 2024, 468, 143090. [Google Scholar] [CrossRef]
- Patterson, D.; Gonzalez, J.; Le, Q.; Liang, C.; Munguia, L.M.; Rothchild, D.; So, D.; Texier, M.; Dean, J. Carbon emissions and large neural network training. arXiv 2021, arXiv:2104.10350. [Google Scholar]
- Saenko, K. A Computer Scientist Breaks Down Generative AI’s Hefty Carbon Footprint. Available online: https://www.scientificamerican.com/article/a-computer-scientist-breaks-down-generative-ais-hefty-carbon-footprint/ (accessed on 24 November 2024).
- Xing, E.; Monck, A. AI Emissions Are Fueling a New Doomerism. This Time It’s Climate Change. Available online: https://fortune.com/2023/12/12/ai-emissions-doomerism-climate-change-environment-tech/ (accessed on 24 November 2024).
- Poter, S.; Helmi, T.; Tuff, G.; Lorentz, B. Pathways to Decarbonization|Hydrogen. 2023. Available online: https://www.deloitte.com/global/en/issues/climate/pathways-to-decarbonization-hydrogen.html (accessed on 24 November 2024).
- Truby, J.; Philip, P.; Lorentz, B. Green Hydrogen: Energizing the Path to Net Zero. 2023. Available online: https://www.deloitte.com/global/en/issues/climate/green-hydrogen.html (accessed on 24 November 2024).
Disclaimer/Publisher’s Note: The statements, opinions and data contained in all publications are solely those of the individual author(s) and contributor(s) and not of MDPI and/or the editor(s). MDPI and/or the editor(s) disclaim responsibility for any injury to people or property resulting from any ideas, methods, instructions or products referred to in the content. |
© 2025 by the authors. Licensee MDPI, Basel, Switzerland. This article is an open access article distributed under the terms and conditions of the Creative Commons Attribution (CC BY) license (https://creativecommons.org/licenses/by/4.0/).



