Abstract
The role of keystone species in maintaining ecosystem stability is a crucial aspect of ecology. Identifying key mammalian species within an ecosystem requires a systematic approach, utilizing criteria and indicators derived from species characteristic variables. This study presents a framework to identify key mammalian species based on various ecological, structural, and functional factors. By developing a mechanistic model of energy flow in food webs and trophic levels, the model aims to pinpoint each species’ role in the stability and sustainability of biomass flow within the ecosystem. Known as KVT version 1.0, the model explains the role of each characteristic variable of mammalian species, predicts population growth, elucidates species interactions at trophic levels, and assesses species-specific dietary compositions, including food requirements, reproduction, and activity. Factor analysis of model outputs has produced equations to determine the value of keystone species (Kv), indicating the role of mammalian species in the stability and sustainability of biomass flow in the ecosystem. Keystone species, as identified by this model, are primarily small mammals of the families Muridae, Sciuridae, Tupaiidae, Ptilocercidae, Hystricidae, Viverridae, and Herpestidae, demonstrating omnivorous and herbivorous trophic levels. This model can serve as a valuable framework for conservation management of biodiversity in an ecosystem, with potential for expansion to include characteristics of non-mammalian species in future research.
1. Introduction
Ecosystem stability is a critical concept that denotes an ecosystem’s capacity to uphold its functions and structure in the face of internal and external disturbances. The stability of an ecosystem hinges on its resistance and resilience to changes and disturbances. In a stable ecosystem, various species coexist, interact closely, and maintain complex and intricate relationships, although these interactions often involve dynamics between predators and prey, parasites and hosts, and herbivores and plants that may not always be harmonious. Conversely, an unstable ecosystem is highly responsive to changes and can undergo sudden and unforeseeable shifts [1]. Stability in an ecosystem is recognized when species diversity remains relatively constant, while significant fluctuations in diversity characterize instability [2,3,4]. Additionally, assessing ecosystem stability involves considering the sources of ecological pressure. Ecological stress can arise from various factors, such as environmental changes, human disturbances, competition between species, or changes in resource availability [5,6].
In this study, “ecological stress” (ES) refers to a state where the available biomass within the ecosystem is inadequate to support the growth of mammalian species populations. Understanding changes in ecosystem stability requires analyzing variables such as food availability and energy flow within food chains and trophic cascades. These analyses can also reveal species diversity, population size changes, and extinction risks for specific species within an ecosystem [7,8]. Each species will demonstrate different physiological and ecological responses based on its adaptive capabilities, thereby altering its patterns of interaction with other organisms and its habitat, ultimately changing the structure and function of the ecosystem [9]. While the direct impacts of these changes may occur at the producer level, their consequences can affect multiple trophic levels through the trophic cascade, thereby altering biodiversity. The significance of changes in the ecosystem can be assessed by examining the effects of keystone species, which play a crucial role in maintaining the balance of the food web.
Understanding keystone species is a crucial aspect of maintaining ecosystem stability. The loss of keystone species can lead to significant changes within the ecosystem and affect the existence of other species [10,11,12]. Keystone species play essential roles in ecological communities and ecosystem functions by interacting directly or indirectly with other species [13]. Identifying keystone species in an ecosystem remains challenging and poses issues in conservation management [10,14,15] despite the concept being well established in ecological literature for several decades. Several studies have attempted to identify keystone species based on morphological, ecological, or functional attributes, but a consistent and widely adoptable approach is still lacking. Experimental approaches, comparative studies, and historical observations have been conducted, for instance, on theories of keystone species roles in ecosystems [10,12,16,17,18], mass balance in food webs [11,15,19,20], trophic levels [21,22,23,24,25], and ecological network theories [26]. Keystone species in complex food webs can exist at any trophic level, including producers, herbivorous consumers, omnivores, or carnivores. An ecosystem may have more than one keystone species. The complexity of this system can be represented by the presence of keystone species, including mammals.
Determining keystone mammal species for the stability of an ecosystem requires a systematic and measurable approach with clear criteria and indicators. Quantitative approaches through stochastic or mechanistic models can be used for such assessments [15,27]. Stochastic models and data mining can provide a quantitative explanation of current biodiversity status and facilitate learning for future predictions [28,29]. Mechanistic models can simplify and elucidate the processes and dynamics of biodiversity based on species physiology and energy flow between trophic levels [30], and they can also be used for future state predictions. Both dynamic and static variables are used as input data for the models. These two modeling approaches can be developed within the framework of microecology, based on specific ecosystem types, or macroecology, encompassing various ecosystem types within a broader region.
This study proposes a framework for suggesting keystone mammal species within terrestrial ecosystems based on various ecological, structural, and functional factors by developing a trophic-level food web model. This model, referred to as the KVT v.1.0, is a quantitative ecological model designed to serve as an instrument for identifying the variables that determine the role of mammalian species in ecosystem stability and keystone mammal species.
2. Materials and Methods
This study utilizes both primary and secondary data. The primary data consist of survey results on mammal species presence and ecosystem types conducted between 2011 and 2021 at 78 locations in Borneo, Indonesia (Tables S1–S3). The secondary data include maps, tabular data, and results from previous biodiversity surveys and studies (Table 1). These data and information are organized into a geodatabase, ensuring each dataset has georeferenced values. The geodatabase is structured into a data grid with a spatial resolution of 10 × 10 km (10,000 ha). Each grid cell has unique attributes: species presence, land cover, ecosystem type, species distribution, and biophysical conditions (Figure 1). The tools used to develop the geodatabase include MSQL and ArcGIS 10.1. These attributes are grouped using cluster analysis with the k-means algorithm. This analysis was conducted using Minitab version 20. The programming language used to develop the model application is Visual Studio 2019, while statistical analyses were performed using Minitab version 20.
Table 1.
The data used in the study.
Figure 1.
The spatial and tabular data structure, with red dots indicating the locations of mammal species surveys.
2.1. Mechanistic Trophic Cascade Model Design
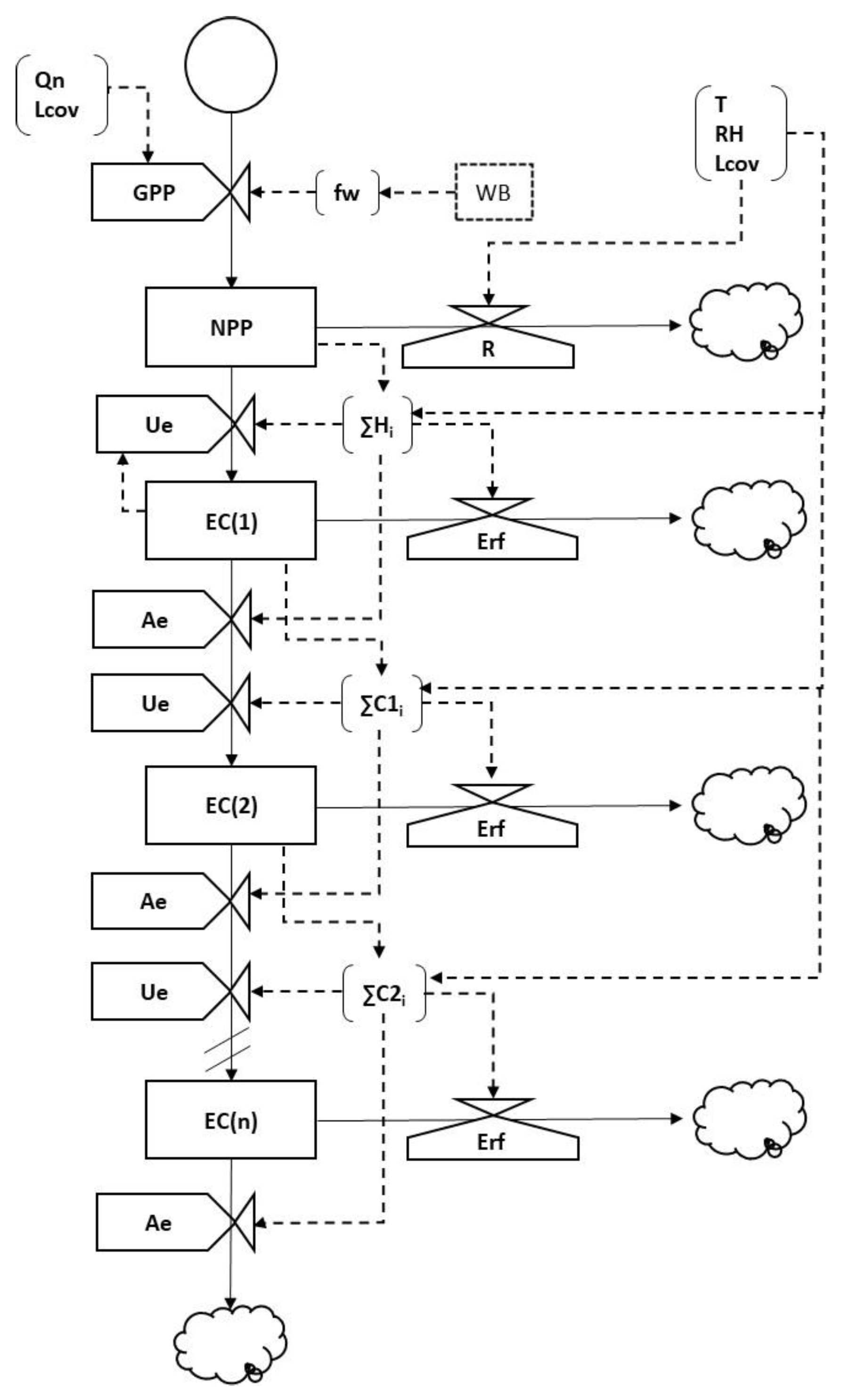
This study uses Forrester diagrams (DFs) as a graphical representation to design and construct the logic flow of the mechanistic and dynamic system models [31,32,33]. The dynamic system symbols include sources, sinks, state variables, rate/change variables, auxiliary variables, external system variables, energy or mass flows, and information or equation flows (Figure 2). The assumptions used to develop the mechanistic trophic cascade model for mammalian species are as follows: (i) the food chain balance with the population of each species in equilibrium is based on the phenology and mass of each species at each trophic level, (ii) the initial state of species presence is based on survey data from 76 locations, both within forest areas and other land use areas, and (iii) the relationships between variables are schematically illustrated using a Forrester diagram. Each symbol and relationship in the DF has interconnected mathematical equations (Table S4).
Figure 2.
Forrester diagram of the Trophic Cascade Model KVT v1.0 (description: GPP: Gross Primary Production; NPP: net primary production; EC(1): available energy for consumer (1): herbivore; EC(2): available energy for consumer (2): carnivora-1; EC(n): available energy for consumer (n): carnivora-n; Ue: utilization efficiency; Ae: assimilate efficiency; R: autotrophic respiration; Erf: energy loss (respiration and feces); Hi: number of herbivore species; C1i: number of carnivore species-1; C2i: number of carnivore species-2; fw: water factor; Qn: Net Radiation; T: air temperature; RH: relative humidity; Lcov: land vegetation cover; WB: Water Balance Model.
2.2. Look up Table of Characteristic Variables of Mammal Species
This model uses mammalian species characteristics as variables influencing species behavior and interactions with available food resources within the ecosystem. The data on mammalian species characteristics are organized into a database within the model, functioning as a metadata search look up table (LuT). Each mammalian species has a table containing its characteristic information (Table S5). All species characteristics are used as variables in the model’s mathematical equations (Table 2).
Table 2.
Look up table of characteristic variables of mammal species.
2.3. Model Calibration and Validation
Calibration of the mechanistic trophic cascade model is performed by optimizing the constants’ values. The optimization method employed in this study includes the solver algorithm and backpropagation method. These algorithms will generate random numbers as substitutes for the constant values, particularly the results derived from integrating differential equations used in the model. The objective of model calibration is to obtain logical and valid values for each dependent variable result in this model, such as NPP growth, NPP allocation for each trophic level, species population growth, predation relationships, and respiration. This research defines validation as determining whether the conceptual simulation model accurately represents the real-world system [34]. Model validation can be performed using three approaches based on data availability: (i) no actual data, (ii) only output data, and (iii) both input and output data [35]. In this investigation, model validation is conducted using the approach without actual data and utilizing only the model output data.
Model validation without actual data aims to obtain simulation values by adjusting some variables to align with the theories and concepts developed in this research. The lowest level of validation without actual data involves simulating changes in influential variables affecting state variables. This validation employs regression analysis and analysis of variance (ANOVA) to compare the response of changes in state variables or estimated transformation of input–output (I/O) model simulation results. The state variables of this model are the availability of energy and biomass at each trophic level from producers to consumer level n.
Validation with output data involves comparing the model output data with reference values. This study employs four methods: Relative Error (RE) [36,37,38,39], Root Mean Squared Error (RMSE) [40,41], Mean Absolute Percentage Error (MAPE) [42,43], and Nash–Sutcliffe Efficiency Coefficient (NSE) [44,45]. This validation compares the population density data of species (j) at level i (Dm,j) from the model with reference data or field research data (Dr,j) (Table S6). Population density is a crucial parameter in ecology and conservation, and population density estimates are required for various basic and applied ecological applications [40]. The population density of mammalian taxa exhibits variability due to methodological diversity and natural influencing factors [40,46,47]. Several ecological models utilize population density as model output influenced by independent variables such as land cover and prey species distribution [48,49].
2.4. Cluster Analysis of Survey Locations
The model was executed independently for each survey location, and cluster analysis was applied to group these locations based on land cover diversity and the presence of mammalian species. This analysis aimed to simplify the interpretation of model results by identifying groups of locations with similar ecosystem characteristics. The K-means clustering method was implemented using Minitab 20, with cluster separation based on the K-means algorithm to ensure optimal cluster formation. This approach facilitates comparisons among ecosystems and provides a clearer context for the overall interpretation of the model results.
2.5. Selection of Characteristic Variables of Mammalian Species
The selection of characteristic variables in mammalian species for determining keystone species uses perturbation analysis. This analysis tests the sensitivity of changes in independent variables to the model output. Mathematically, this can be expressed simply as:
Equations (5) and (6) show that Xi is the status-i variable or the model output, t is the time or iteration t, and θj is the independent variable of model-j. The context of the model output to be tested involves changes in ecosystem biomass allocation for mammals (rDm) and species population dynamics within the ecosystem. Population dynamics are expressed in the changes in the Shannon–Wiener diversity index (H′). The independent variables consist of characteristics of mammalian species, including social group size (Sgs), body weight (Bm), basal metabolic rate (Bmr), home range (Hr), diet (Dt), number of offspring per female individual birth (Ls), average age at sexual maturity (Asm), biological age (Ub), arboreal habitat preference (Pha), and ground surface preference (Phg). Furthermore, using the first-order Taylor expansion of the function f concerning θj around the baseline value, we find:
Here, ∂f/∂θ is the gradient of f with respect to the variable θj. Equation (7) is used to evaluate changes in the status variable or model output (Xi) for each change in θj. Evaluation of the initial differential equations using Taylor expansion can be utilized to obtain the first approximation of the change in Xi with respect to the change in θ.
The equation above provides an estimate of the sensitivity of Xi to changes in θ. Sensitivity estimates are computed in series due to the nonlinear relationship between the variable θ and the model output. The magnitude of sensitivity will depend on the interactions between variables and mammalian species within the ecosystem. The mean absolute value and the minimum and maximum range of differences between (∂Xi)/∂t and ∂f/(∂θj) will be used to compare the sensitivity magnitude for each variable.
Factor analysis is used to establish criteria and indicators for keystone species. The variables used are the deviation values of the perturbation results of the variable θj at time t. This analysis can identify mammalian species characteristics that significantly influence the diversity of biomass allocation as variables shaping the population of each species. Data standardization for the dependent variable of biomass allocation for mammalian species (∆DM) in factor analysis is carried out by converting the deviation values between the standard variable and the perturbation variable into change ratio values of biomass allocation (rDM) (Equation (9)).
A correlation matrix between all variables is required to assess multicollinearity of the data, and data reliability is tested with a limit of Cronbach’s α value ≥ 0.7 [50,51]. The number of selected factors is determined using the criteria of eigenvalues ≥ 1. Factor extraction is performed using the principal component analysis (PCA) method with varimax rotation so that the factor structure can be interpreted more clearly. The interpreted factor values include factor loadings and communalities for each variable. Additionally, scree plots further confirmed the retention of factors as being salient, supporting our selection criteria.
The values obtained from factor analysis are used to form equations for keystone species values (Kv(i)). Kv serves as a measure to identify keystone species in an ecosystem. Characteristic variables of mammalian species that have factor loading values > 0.5 are selected as variables (θj) forming the equations for keystone species. Proportional values of factor diversity are used as weights for each factor (β), and the coefficient values of variables in each selected factor are used as variable constants (ρ). The relative proportion of individual species-i (φi) is also used as a weight to determine the value of Kv (Equation (10)).
Differences in variable scales require data normalization. The maximum–minimum method is used for normalization (Equation (11)). The normalized variable results are used to calculate Kv.
3. Results
3.1. Data Clustering of Mammal Species Surveys
Cluster analysis of land cover across all locations resulted in four groups consisting of locations with dominant land cover of plantations and industrial forest plantation (K1), shrubs and bushes (K2), forests (K3), and balanced land cover among the three types of land cover, referred to as mixed land cover (K4) (Figure 3). The number of mammal species found in each location within a cluster exhibits high diversity (Table S7), hence necessitating grouping. The diversity of species numbers reinforces findings indicating a greater diversity of mammal species in logged forests and shrublands than in other land covers [52,53]. The number of mammal species influences competition in resource utilization within each cluster. Different numbers within each cluster will result in different competition patterns [54,55]. Each cluster, K1, K2, K3, and K4, consists of three, three, one, and three groups based on the number of mammal species found in survey locations (Table 3).
Figure 3.
Diversity of land cover in each cluster (K1, K2, K3, K4) (note: LU1: forest, LU2: shrub, LU3: plantation and industrial plantation, LU4: agricultural land, LU5: settlement, LU6: water body). *: The size limit uses a body weight of less than 5 kg/ind for small mammals and vice versa for large mammals.
Table 3.
Number of locations and mammal species in each cluster.
3.2. Model Validation
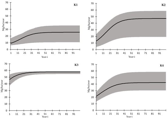
The validation results indicate that the trophic level model can evaluate the role of each characteristic variable of mammal species in the ecosystem. Differences influence biomass transformation at the producer level in input diversity of land cover, which is divided into four clusters (K1, K2, K3, and K4). Vegetation (producer) biomass growth reaches a maximum limit after the n-year. The rate of biomass addition tends to decrease, and biomass provision for the first consumer becomes constant (Figure 4). Theoretically, vegetation will reach a climax growth level after several years [59,60,61]. After its climax phase, the biomass produced from photosynthesis is only used for maintenance respiration; thus, growth tends to approach zero [62]. The initial land cover condition will determine the growth rate and the amount of producer biomass in the first year. The shrubland composition in K2 and K4 leads to a higher biomass growth rate than K1 and K2.
Figure 4.
Response to transformation of biomass availability at the producer trophic level according to differences in land cover groups (K1, K2, K3, and K4).
The biomass flow at each trophic level indicates that this model provides different responses for each land cover cluster. The amount of biomass at the producer level determines the allocation at the next trophic level. The biomass of K3 at the producer and herbivore levels provides the most significant biomass availability for the omnivore and carnivore levels. At the omnivore level, biomass input is obtained from producers and herbivores, while at the carnivore level, it is only obtained from herbivores and omnivores. This is one reason biomass amounts overlap in each cluster at the omnivore and carnivore levels. The overlap in biomass distribution between clusters is most significant at the carnivore level. The higher the trophic level, the more significant the overlap in biomass allocation (Figure 5). Characteristic variables of species in the ecosystem, such as species number, body weight, BMR, and diet type of each species used in this model, influence biomass allocation at each trophic level [63,64].
Figure 5.
Distribution of biomass allocation at each trophic level at each location in clusters K1, K2, K3, and K4. * is the symbol for outlier data.
Validation based on the output of species individuals shows that the model can respond to differences in land cover and initial species presence in each cluster. The number of large mammal species in K3 in the first year is more significant than in other clusters. In the initial years, the number of individuals in K3 is more significant than in other clusters, but it is later surpassed by clusters K4 and K2. The number of large mammal individuals in K4 surpasses all clusters after the 22nd year. Cluster K2 surpasses K3 after 40 years. Meanwhile, the number in K1 is always below other clusters. Unlike large mammals, the number of small mammals in K3 is more significant than in other clusters (Figure 6). Climax forests limit food availability and reduce habitat suitability for large mammal species [65], while food availability is more significant for small mammals, especially for seed and fruit eaters. Shrublands and young regeneration forests produce biomass growth that can provide more food than old forests for large mammals [66]. A more significant number of species also leads to competition among individuals and species, thus hindering the development of each species [67].
Figure 6.
The average development of the number of big mammals (right) and small mammals (left) in each cluster (K1, K2, K3, and K4).
Validation of model output against reference values indicates that the model can predict population density values for most species at each location. The tested output dataset is the population density of each species at each sampled location simulated over a series of 100 years. The testing of error values is conducted against n datasets of population density per year for each mammal species in each cluster. The number of datasets for each cluster K1, K2, K3, and K4 is 84,700, 79,800, 5600, and 28,300, respectively. The average relative frequency distribution RE< 60% for all clusters is 69% ± 3%. RMSE has an average relative frequency distribution for RMSE values < 2 ind/km2 of 45 ± 3% for all clusters. This relative frequency distribution value increases significantly up to 70 ± 3% when RMSE < 6 ind/km2. The average relative frequency distribution MAPE for all clusters at a model-worthy level (MAPE ≤ 50%) is 63 ± 3%. At a very good level, it is 21± 1%, and good is 41 ± 3%. Validation using NSE shows that 69.2% of the overall model results have values between 0.8 and 1. This means that the model output values approximate and/or equal the reference values (Figure 7).
Figure 7.
The relative frequency distribution of each validation value of the results of the models K1, K2, K3, and K4: (a) KR, (b) RMSE, (c) MAPE, and (d) NSE.
3.3. The Role of Mammal Species Characteristic Variables in the Stability of Energy Availability in Ecosystems
The model can demonstrate the role of mammal species characteristics in the mechanism of energy flow from producer to tertiary consumer levels. The dependent variable for assessing this role is the initial time of occurrence of ecological stress (ES) and its frequency. ES can arise from various sources, including environmental changes, human disturbance, interspecies competition, or changes in resource availability [5,6]. In this study, ES represents a condition where the amount of biomass available as a resource in the ecosystem cannot support the growth of mammal species populations. The model results show that each ecosystem produces outputs of varying initial times and frequencies of ES occurrences (Figure 8). The diversity within each group is caused by the diversity of characteristics among mammal species.
Figure 8.
Initial year diversity and frequency of ecological stress events according to the number of species diversity in each ecosystem group and subgroup. * is the symbol for outlier data.
Each characteristic variable of mammal species plays a role in ecosystem stability. The quantification of variable roles is assessed based on their influence on the availability of ecosystem biomass that can support all mammal species living within it. This study employs regression analysis with 95% and 90% confidence intervals. The null hypothesis (H0) is that species characteristics do not play a role in the occurrence of ES, while the alternative hypothesis (H1) suggests significant involvement. In addition to the significance of the relationship between independent and dependent variables, the trends formed by the regression equations are also used to explain these relationships (Table S8).
3.4. Changes in Ecosystem Biomass Allocation and Mammal Species Diversity
Perturbations in the KVT v1.0 model variables yield varying results with diverse deviations from their normal values. From the overall model results, changes in all dependent variables can be synthesized into two variables: the allocation of ecosystem biomass for mammalian species across all trophic levels and the Shannon–Wiener diversity index (H’). These two variables also illustrate species population dynamics resulting from model variable perturbations.
Changes in biomass allocation for species will serve as the basis for determining the characteristic variables of mammalian species that will be used as criteria and indicators for key species (Table 4 and Figure 9). The most significant changes in biomass allocation occur in the K3 ecosystem (forest), while carnivores exhibit the most changes according to their trophic levels. The biomass growth rate in forest ecosystems is relatively lower than other ecosystems, which is a major cause of these significant changes. Carnivores in all ecosystem types experience greater changes than herbivores and omnivores. This substantial change is due to their dependence on prey availability from other mammalian species. These can be observed from the perturbation results of the variable Ls, which represents the number of offspring per year and shows the most significant change compared to other variables. The number of offspring is an indicator of prey availability. The value of this change is further depicted as the ratio of the change between the normal variable value and the perturbed variable.
Table 4.
Average absolute percentage change in ecosystem biomass allocation to mammal species due to model variable perturbations (%).
Figure 9.
Changes in ecosystem biomass allocation to mammals due to the perturbation of mammal species characteristic variables in the model in each ecosystem (K1: plantations and industrial forest plantation, K2: shrubs, K3: forests, and K4: mixed).
Changes in ecosystem biomass allocation for the mammalian species inhabiting them also trigger population dynamics and shifts in community diversity. The KVT 1.0 model demonstrates that the population dynamics of different mammalian species in each ecosystem influence changes in the Shannon–Wiener index (H′) over time. The K2 ecosystem, characterized by shrubland, exhibits the highest range of changes compared to other ecosystems (Figure 10). Changes in H’ in the K2 ecosystem are influenced by the shrubland ecosystem’s relatively higher biomass growth rate than others. The changes caused by differences in variable perturbations according to trophic levels and ecosystems show similar absolute mean values but with different patterns. These changes have hidden patterns, necessitating factor analysis to determine the proportion of influence each variable has on the ecosystem biomass allocation for mammalian species within it.
Figure 10.
Changes in the Shannon–Wiener diversity index (H′) with normal variables vs. perturbations of mammalian characteristic variables (K1: plantations and industrial forest plantation, K2: shrubs, K3: forests, and K4: mixed).
3.5. Formulating Criteria and Indicators for Key Mammalian Species
Factor analysis of the model results with perturbations of species characteristic variables on mammal biomass allocation yielded several variables that play a more significant role than others. All ecosystems (K1, K2, K3, and K4) produced two factors with eigenvalues > 1, namely, factor-1 and factor-2 (Figure 11). The important variables forming factors in each ecosystem show similarities explained by commonalities, factor loadings, and variable coefficients. The commonalities of each variable across all ecosystems were also high. Factor analysis also indicated that all the variables’ variability can be well explained, with values > 0.6. This means that all mammalian species characteristic variables have a role in ecosystem biomass allocation for mammalian species (Table 5, Table 6, Table 7 and Table 8).
Figure 11.
Scree plot of ecosystem biomass allocation factor analysis for mammal species in each ecosystem (K1: plantation and tree plantation, K2: shrubland, K3: forest, and K4: mixed).
Table 5.
Rotated factor loads, communalities, and coefficients of each variable in the K1 ecosystem (plantation forests and plantations).
Table 6.
Rotated factor loads, communalities, and coefficients of each variable in the K2 ecosystem (shrub dominance).
Table 7.
Rotated factor loads, communalities, and coefficients of each variable in the K3 ecosystem (forest).
Table 8.
Rotated factor loads, communalities, and coefficients of each variable in the K4 ecosystem (mixed land).
Factor loadings greater than 0.5 in the K1 ecosystem are indicated by the variables Bmr, Ls, and Hr on factor-1 and Bm, Dt, Hr, and Ams on factor-2 (Table 5). These results show that biomass allocation on factor-1 is determined by metabolism, reproductive size, and species activity, which have a positive relationship. Factor-2 is influenced by body size, diet diversity, activity, and age of maturity for reproduction, which have a negative relationship. A positive relationship indicates an increasing ratio of mammal ecosystem biomass allocation, while a negative relationship indicates the opposite.
In the K2 ecosystem, the factor loadings for factor-1 greater than 0.5 are similar to those in the K1 ecosystem but differ for factor-2 (Table 6). The variables Dt, Ams, and Pha on factor-2 are related to diet diversity, age of reproduction, and arboreal habitat preference. These variables have a negative relationship, meaning that any increase in these variable values will decrease the ecosystem biomass allocation for the mammals inhabiting it.
In the K3 ecosystem, the variables with factor loadings influencing factor-1 are Dt, Ams, and Hr, while for factor-2, they are Bmr and Ls. Factor-1 is related to diet diversity, age of reproduction, and activity range, with a positive relationship with mammal biomass allocation. The variable Bmr on factor-2 is related to metabolic capacity and activity, while Ls is related to the number of offspring per birth. An increase in the values of these two variables in factor-2 has a negative relationship, causing a decrease in the average biomass allocation for mammals in the K3 ecosystem.
The number of variables forming factor-1 in the K4 ecosystem with high factor loadings is more significant than in other ecosystems. These variables are Bm, Bmr, Ls, Hr, and Phg. Bm and Bmr are related to body weight, metabolism, and activity. The variable Ls is related to reproductive capacity, the litter size, and the variables Hr and Phg are related to activity and habitat preferences on the ground surface. Factor-2 in the K4 ecosystem is only formed by two dominant variables, namely, Dt, related to diet diversity, and Ams, indicating reproductive age.
The results of factor analysis of mammalian species characteristic variables influencing changes in biomass allocation for mammals are used to develop criteria and indicators for key species in the ecosystem. The interpretation of this factor analysis is supplemented with a review of previous research literature. Each characteristic variable of mammalian species that serves as input for the KVT v.1 model and is selected in the factor analysis is compiled as a characteristic variable of key species. Below are several criteria and indicators for key species that can be fulfilled by the characteristic variables of mammalian species (Table 9). This table will reference each characteristic of mammalian species to be used as variables for these criteria and indicators.
Table 9.
Criteria and indicators for determining key mammal species from the KVT v.1 model.
Each indicator within the key species criteria can be integrated into a single value Kv for each species. The Kv value in each ecosystem is formed by variables and constants specific to each ecosystem. The formulation of the Kv value is calculated from two factors with eigenvalues > 1. From these two factors, variables with factor loadings > 0.5 are selected, while the constant values are derived from the coefficient values of each variable factor. Their populations also determine key species in one ecosystem community [80]. Each ecosystem generates different variables and constant values. The two factors used to form the equation of Kv values for each ecosystem can explain data variability by 74.7%, 76.0%, 77.4%, and 85.4% for ecosystems K1, K2, K3, and K4, respectively. To standardize the Kv values and ensure normal data distribution, a logarithmic transformation is applied to the final results after multiplication by the population variable of species output from the model (φi). The factor-1 variables (θj) used in the equation are Bmr, Ls, and Hr for ecosystems K1 and K2, Dt, Ams, and Hr for K3, and Bm, Bmr, Ls, Hr, and Phg for K4. The factor-2 variables (θk) are Bm, Ams, and Hr for ecosystems K1, Dt, Ams, and Hr for K2, Bmr and Ls for K3, and Dt and Ams for K4. Below are the equations for calculating Kv in each ecosystem.
3.6. Key Mammalian Species of the Ecosystem
Key mammalian species can be determined based on the Kv value. This value indicates the stability of biomass allocation at each trophic level in the ecosystem. The ecosystem biomass allocation ensures the sustainability of mammalian species diversity [81]. However, to maintain biomass and ecosystem functions, diversity protection within them is required [82,83]. Each ecosystem will have different key species based on biomass availability and the presence of species numbers. In all types of ecosystems, key species are dominated by small mammals, such as the families Muridae, Sciuridae, Tupaiidae, Ptilocercidae, Hystricidae, Viverridae, and Herpestidae, with omnivorous and herbivorous trophic levels. In addition to the forest ecosystem (K3), key species from the family Emballonuridae, namely, Emballonura alecto, are also produced. These small mammalian species numerically dominate ecosystems among mammals, with more than 20 mammalian species present; however, this dominance does not extend to all organisms, which include bacteria, protists, insects, etc. Meanwhile, in ecosystems with fewer than 20 species present, several larger herbivorous and omnivorous mammalian species exist in the families Tragulidae, Cervidae, Suidae, and Cercopithecidae. Table 10 shows the top five key species based on the Kv value, and more details for all species are provided in Table S9.
Table 10.
The top five keystone species guarantee the sustainability of biomass allocation for mammal species diversity.
Overall, small mammalian species are essential in maintaining ecosystem stability through interactions with other biotic components such as plants, predators, and insect feeders. Their ability to disperse seeds can be indicated by dietary variables with high diversity in food types. These variables are also related to their ability to prey on insects, which affects plant community structure. The presence of small mammalian species tends to increase ecosystem biomass [84]. Their relationship with predation is related to population and reproductive variables such as the number of offspring per year and short sexual maturity age. Their presence ensures food availability for predators.
Specifically, for Viverridae and Herpestidae, such as Paradoxurus hermaphroditus, Viverra tangalunga, and Herpestes brachyurus, their dietary variables play a role in maintaining populations of rodents and insects within the ecosystem. Their activities in consuming rodents and insects can limit prey populations, which in turn affect the overall structure of the ecosystem. Their presence as key species in the ecosystems tested in this study also explains why carnivorous mammalian species were not selected as key species. P. hermaphroditus can survive in fragmented forests and play a significant role in restoring degraded fragments in the landscape as seed dispersers [85,86].
These results indicate that small mammals with diverse diets play a crucial role in maintaining the organization and diversity of their ecological communities. The abundance of these species ensures the sustainability of the ecosystem by stabilizing the food chain and the presence of predator species. The abundance of small mammal species is positively correlated with the presence of predator species [80]. The presence of some carnivorous and omnivorous mammalian predator species also declines when the presence of small mammals decreases. The total density and biomass of small mammals in a community are essential foundations for the stability of predator presence, especially in ecosystems that have experienced disturbances [87]. The diversity of their diet also significantly influences the structure of primary producer communities, which in turn alters the community [88].
4. Discussion
This research has developed a trophic-level model that can be used to identify the roles and relationships of mammalian species’ characteristic variables that determine ecosystem stability, originating from ecological pressures due to interspecies competition and the limited availability of biomass resources within the ecosystem. This model is called the Trophic Model KVT v1.0 as an initial development.
Each type of ecosystem produces diverse ecological pressure events according to the availability of biomass and the characteristics of the mammalian species present. The significant impact of mammalian species characteristics on the K1 ecosystem (plantations and forest plantations) is due to the lower diversity of food types compared to other ecosystems. The K2 ecosystem is influenced by the low amount or accumulation of biomass despite having a high growth rate. The low growth rate of biomass influences the K3 ecosystem despite having a high biomass accumulation. The K4 ecosystem is more stable against ecological pressures caused by limited biomass resources. The availability of biomass in an ecosystem affects the biodiversity within it [89,90]. A stable ecosystem can be characterized by the sustained availability of biomass for the fauna species living within it.
The KVT Model v1.0 can demonstrate the roles and relationships of each mammalian species characteristic in relation to ecological pressure events and their frequency. Each characteristic variable contributes differently depending on the ecosystem type. The mammalian species characteristics used in this model can be utilized to establish criteria for key species within ecosystems. These criteria include (i) ecological role criteria related to energy and nutrient cycles and maintaining biodiversity, (ii) contribution criteria to ecosystem structure, and (iii) criteria for the ability to maintain species population balance within the ecosystem. Each of these criteria can be assessed for each species based on its characteristics with quantitatively measurable indicators.
Criteria and indicators for key mammal species within an ecosystem can be determined based on species characteristic variables. This research demonstrates that most criteria and indicators can be established using food requirements, reproduction, and activity variables. Variables related to food requirements include basal metabolic rate, diet or dietary diversity, and body weight. Variables related to reproduction include the number of offspring and sexual maturity age. Variables related to activity include home range and habitat preference.
Each ecosystem type has different characteristic species variables used to determine key species. The integration of mammalian species’ characteristic variables can be expressed as a key value equation. This value can illustrate the role of species in allocating ecosystem biomass for the mammal community within it. This biomass allocation determines the community structure of species within the ecosystem, referring to the organization and interaction patterns among various species, as well as determining their biodiversity.
In all ecosystem types, key species are dominated by small mammals such as the families Muridae, Sciuridae, Tupaiidae, Ptilocercidae, Hystricidae, Viverridae, and Herpestidae with trophic levels of omnivores and herbivores. The higher the mammalian species diversity in an ecosystem, the more the presence of small mammals acts as key species. Larger mammal species, such as the families Tragulidae, Cervidae, Suidae, and Cercopithecidae, are still present in ecosystems with low diversity. These species are top herbivores that control the biomass of primary producers. Overall, small mammal species are crucial in maintaining ecosystem stability through interactions with other biotic components.
This research can be used as a framework to identify key mammal species based on the Trophic Model KVT v1.0. The criteria and indicators derived from this research can serve as instruments to identify and assess the critical role of a species in maintaining ecosystem balance and function.
Supplementary Materials
The following supporting information can be downloaded at: https://www.mdpi.com/article/10.3390/ecologies5040035/s1, Table S1: Survey Locations; Table S2: Proportion of Land Cover Area at 78 Survey Locations (%); Table S3: Presence of Mammalian Species at Locations S01–S10 (1 = Present; 0 = Absent); Table S4: The General Equation Used in the Construction of the KVT Version 1.0 Model; Table S5: Look up Table (LuT) of Mammal Species Characteristics; Table S6: Population Density of Mammal Species; Table S7: Number of Locations and Mammal Species in Each Cluster; Table S8: Regression Analysis of Species Characteristic Variables vs. Initial Occurrence and Frequency of Ecological Stress; Table S9: Key Species Value (Kv) in Each Ecosystem.
Author Contributions
Conceptualization, I.R. and Y.S.; methodology, I.R.; software, I.R.; validation, I.R., Y.S., N.S. and A.S.; formal analysis, I.R. and Y.S.; investigation, I.R. and N.S.; resources, I.R.; data curation, I.R. and A.S.; writing—original draft preparation, I.R.; writing—review and editing, A.S.; visualization, I.R.; supervision, Y.S., N.S. and A.S.; project administration, I.R.; funding acquisition, I.R. All authors have read and agreed to the published version of the manuscript.
Funding
This research received no external funding.
Institutional Review Board Statement
Not applicable.
Informed Consent Statement
Not applicable.
Data Availability Statement
Data is contained within the article and Supplementary Material.
Acknowledgments
We sincerely thank the Graduate Study Program of Tropical Biodiversity Conservation, Faculty of Forestry and Environmental and Faculty of Math and Natural Science, IPB University. We appreciate the constructive feedback provided by the reviewers, which greatly improved the quality of this manuscript.
Conflicts of Interest
The authors declare no conflicts of interest.
References
- Lehman, C.L.; Tilman, D. Biodiversity, stability, and productivity in Competitive Communities. Am. Nat. 2000, 156, 534–552. [Google Scholar] [CrossRef]
- Loreau, M.; de Mazancourt, C. Biodiversity and ecosystem stability: A synthesis of underlying mechanisms. Ecol. Lett. 2013, 16, 106–115. [Google Scholar] [CrossRef] [PubMed]
- Ives, A.R.; Carpenter, S.R. Stability and Diversity of Ecosystems. Science 2007, 317, 58–62. [Google Scholar] [CrossRef] [PubMed]
- Tilman, D. Biodiversity: Population Versus Ecosystem Stability. Ecology 1996, 77, 350–363. [Google Scholar] [CrossRef]
- Alexander, D.E. Ecological stress. In Environmental Geology; Kluwer Academic Publishers: Dordrecht, The Netherlands, 1999; pp. 159–160. [Google Scholar]
- Freedman, B. Ecological Effects of Environmental Stressors. In Oxford Research Encyclopedia of Environmental Science; Oxford University Press: Oxford, UK, 2015. [Google Scholar]
- Gonzalez, A.; Rayfield, B.; Lindo, Z. The disentangled bank: How loss of habitat fragments and disassembles ecological networks. Am. J. Bot. 2011, 98, 503–516. [Google Scholar] [CrossRef] [PubMed]
- Banks-Leite, C.; Ewers, R.M.; Folkard-Tapp, H.; Fraser, A. Countering the effects of habitat loss, fragmentation, and degradation through habitat restoration. One Earth 2020, 3, 672–676. [Google Scholar] [CrossRef]
- Bongaarts, J. IPBES, 2019. Summary for policymakers of the global assessment report on biodiversity and ecosystem services of the Intergovernmental Science-Policy Platform on Biodiversity and Ecosystem Services. Popul. Dev. Rev. 2019, 45, 680–681. [Google Scholar] [CrossRef]
- Payton, I.J.; Fenner, M.; Lee, W.G. Keystone species: The concept and its relevance for conservation management in New Zealand. In Science for Conservation; Clelland, L., Ed.; New Zealand Department of Conservation: Wellington, New Zealand, 2002; Volume 1, pp. 5–29. [Google Scholar]
- Jordán, F. Keystone species and food webs. Philos. Trans. R. Soc. B Biol. Sci. 2009, 364, 1733–1741. [Google Scholar] [CrossRef]
- Libralato, S. Keystone species and keystoneness. In Encyclopedia of Ecology; Fath, B., Ed.; Elsevier: Oxford, UK, 2018; pp. 451–456. [Google Scholar]
- Wu, J.; Liu, Y.; Sui, H.; Xu, B.; Zhang, C.; Ren, Y.; Xue, Y. Using network analysis to identify keystone species in the food web of Haizhou Bay, China. Mar. Freshw. Res. 2020, 71, 469–481. [Google Scholar] [CrossRef]
- Hillebrand, H.; Blasius, B.; Borer, E.T.; Chase, J.M.; Downing, J.A.; Eriksson, B.K.; Filstrup, C.T.; Harpole, W.S.; Hodapp, D.; Larsen, S.; et al. Biodiversity change is uncoupled from species richness trends: Consequences for conservation and monitoring. J. Appl. Ecol. 2018, 55, 169–184. [Google Scholar] [CrossRef]
- Libralato, S.; Christensen, V.; Pauly, D. A method for identifying keystone species in food web models. Ecol. Modell. 2006, 195, 153–171. [Google Scholar] [CrossRef]
- Fleishman, E.; Murphy, D.D.; Brussard, P.F. A new method for selection of umbrella species for conservation planning. Ecol. Appl. 2000, 10, 569–579. [Google Scholar] [CrossRef]
- Nally, R.M.; Fleishman, E. Using “indicator” species to model species richness: Model development and predictions. Ecol. Appl. 2002, 12, 79–92. [Google Scholar] [CrossRef]
- Nally, R.M.; Fleishman, E. A successful predictive model of species richness based on indicator species. Conserv. Biol. 2004, 18, 646–654. [Google Scholar] [CrossRef]
- Berg, S.; Christianou, M.; Jonsson, T.; Ebenman, B. Using sensitivity analysis to identify keystone species and keystone links in size-based food webs. Oikos 2011, 120, 510–519. [Google Scholar] [CrossRef]
- Jiang, L.Q.; Zhang, W.J. Determination of keystone species in CSM food web: A topological analysis of network structure. Netw. Biol. 2015, 5, 13–33. [Google Scholar]
- Brodie, J.F.; Giordano, A. Lack of trophic release with large mammal predators and prey in Borneo. Biol. Conserv. 2013, 163, 58–67. [Google Scholar] [CrossRef]
- Moreira, X.; Mooney, K.A. Influence of plant genetic diversity on interactions between higher trophic levels. Biol. Lett. 2013, 9, 20130133. [Google Scholar] [CrossRef]
- Alaniz, A.J.; Carvajal, M.A.; Vergara, P.M.; Fierro, A.; Moreira-Arce, D.; Rojas-Osorio, A.; Soto, G.E.; Rodewald, A.D. Trophic behavior of specialist predators from a macroecological approach: The case of the magellanic woodpecker in south American temperate forests. Glob. Ecol. Conserv. 2020, 24, e01285. [Google Scholar] [CrossRef]
- Chen, H.; Hagerty, S.; Crotty, S.M.; Bertness, M.D. Direct and indirect trophic effects of predator depletion on basal trophic levels. Ecology 2016, 97, 338–346. [Google Scholar] [CrossRef]
- Galiana, N.; Arnoldi, J.F.; Barbier, M.; Acloque, A.; de Mazancourt, C.; Loreau, M. Can biomass distribution across trophic levels predict trophic cascades? Ecol. Lett. 2021, 24, 464–476. [Google Scholar] [CrossRef] [PubMed]
- Huaylla, C.A.; Nacif, M.E.; Coulin, C.; Kuperman, M.N.; Garibaldi, L.A. Decoding information in multilayer ecological networks: The keystone species case. Ecol. Modell. 2021, 460, 109734. [Google Scholar] [CrossRef]
- Pontarp, M.; Bunnefeld, L.; Cabral, J.S.; Etienne, R.S.; Fritz, S.A.; Gillespie, R.; Graham, C.H.; Hagen, O.; Hartig, F.; Huang, S.; et al. The Latitudinal Diversity Gradient: Novel Understanding through Mechanistic Eco-evolutionary Models. Trends Ecol. Evol. 2019, 34, 211–223. [Google Scholar] [CrossRef] [PubMed]
- Jahani, A.; Rayegani, B. Forest landscape visual quality evaluation using artificial intelligence techniques as a decision support system. Stoch. Environ. Res. Risk Assess. 2020, 34, 1473–1486. [Google Scholar] [CrossRef]
- Leote, P.; Cajaiba, R.L.; Cabral, J.A.; Brescovit, A.D.; Santos, M. Are data-mining techniques useful for selecting ecological indicators in biodiverse regions? Bridges between market basket analysis and indicator value analysis from a case study in the neotropics. Ecol. Indic. 2020, 109, 105833. [Google Scholar] [CrossRef]
- Bouchet, P.J.; Peterson, A.T.; Zurell, D.; Dormann, C.F.; Schoeman, D.; Ross, R.E.; Snelgrove, P.; Sequeira, A.M.M.; Whittingham, M.J.; Wang, L.; et al. Better Model Transfers Require Knowledge of Mechanisms. Trends Ecol. Evol. 2019, 34, 489–490. [Google Scholar] [CrossRef]
- Forrester, J.W. Principles of Systems; Productivity Press: Cambridge, MA, USA, 1968. [Google Scholar]
- Robinson, S. Simulation: The Practice of Model Development and Use Stewart Robinson; Palgrave Macmillan: New York, NY, USA, 2004. [Google Scholar]
- Jiménez, E.; Recalde, L.; Silva, M. Forrester diagrams and continuous Petri nets: A comparative view. IEEE Int. Conf. Emerg. Technol. Fact. Autom. ETFA 2001, 2, 85–94. [Google Scholar]
- Law, A.M.; Kelton, W.D. Simulation Modelling & Analysis, 2nd ed.; McGraw-Hill: New York, NY, USA, 1991; Volume 1. [Google Scholar]
- Kleijnen, J.P.C. Validation of Simulation, with and Without Real Data. Tilbg. Univ. 1998. (CentER Discussion Paper; Vol. 1998–22). Operations Research. Available online: https://www.researchgate.net/publication/4865681_Validation_of_simulation_with_and_without_real_data (accessed on 2 July 2023).
- Kunin, W.E.; Harte, J.; He, F.; Hui, C.; Jobe, R.T.; Ostling, A.; Polce, C.; Šizling, A.; Smith, A.B.; Smith, K.; et al. Upscaling biodiversity: Estimating the species–area relationship from small samples. Ecol. Monogr. 2018, 88, 170–187. [Google Scholar] [CrossRef]
- Jaillard, B.; Deleporte, P.; Loreau, M.; Violle, C. Correction: A combinatorial analysis using observational data identifies species that govern ecosystem functioning. PLoS ONE 2018, 13, e02036812018. [Google Scholar] [CrossRef]
- Jung, M. Predictability and transferability of local biodiversity environment relationships. PeerJ 2022, 10, e138722022. [Google Scholar] [CrossRef]
- Chiarucci, A.; Enright, N.J.; Perry, G.L.W.; Miller, B.P.; Lamont, B.B. Performance of nonparametric species richness estimators in a high diversity plant community. Divers. Distrib. 2003, 9, 283–295. [Google Scholar] [CrossRef]
- Santini, L.; Benítez-López, A.; Dormann, C.F.; Huijbregts, M.A.J.; Martins, I. Population density estimates for terrestrial mammal species. Glob. Ecol. Biogeogr. 2022, 31, 978–994. [Google Scholar] [CrossRef]
- Cohen, J.E.; Xu, M.; Schuster, W.S.F. Allometric scaling of population variance with mean body size is predicted from Taylor’s law and density-mass allometry. Proc. Natl. Acad. Sci. USA 2012, 109, 15829–15834. [Google Scholar] [CrossRef] [PubMed]
- Kim, S.; Kim, H. A new metric of absolute percentage error for intermittent demand forecasts. Int. J. Forecast. 2016, 32, 669–679. [Google Scholar] [CrossRef]
- de Myttenaere, A.; Golden, B.; Le Grand, B.; Rossi, F. Mean Absolute Percentage Error for regression models. Neurocomputing 2016, 192, 38–48. [Google Scholar] [CrossRef]
- Vis, M.; Knight, R.; Pool, S.; Wolfe, W.; Seibert, J. Model Calibration Criteria for Estimating Ecological Flow Characteristics. Water 2015, 7, 2358–2381. [Google Scholar] [CrossRef]
- Sedighkia, M.; Datta, B. Linking SVM based habitat model and evolutionary optimisation for managing environmental impacts of hydropower plants. River Res. Appl. 2023, 39, 897–910. [Google Scholar] [CrossRef]
- Oliver, T.; Gillings, S.; Girardello, M.; Rapacciuolo, G.; Brereton, T.; Siriwardena, G.; Roy, D.B.; Pywell, R.; Fuller, R. Population density but not stability can be predicted from species distribution models. J. Appl. Ecol. 2012, 49, 581–590. [Google Scholar] [CrossRef]
- Tucker, M.A.; Santini, L.; Carbone, C.; Mueller, T. Mammal population densities at a global scale are higher in human-modified areas. Ecography 2021, 44, 1–13. [Google Scholar] [CrossRef]
- Tian, Y.; Yue, T.; Zhu, L.; Clinton, N. Modeling population density using land cover data. Ecol. Modell. 2005, 189, 72–88. [Google Scholar] [CrossRef]
- Zhu, M.; Zaman, M.; Wang, M.; Vitekere, K.; Ma, J.; Jiang, G. Population Density and Driving Factors of North China Leopards in Tie Qiao Shan Nature Reserve. Animals 2021, 11, 429. [Google Scholar] [CrossRef] [PubMed]
- Kamranfar, S.; Damirchi, F.; Pourvaziri, M.; Abdunabi Xalikovich, P.; Mahmoudkelayeh, S.; Moezzi, R.; Vadiee, A. A Partial Least Squares Structural Equation Modelling Analysis of the Primary Barriers to Sustainable Construction in Iran. Sustainability 2023, 15, 13762. [Google Scholar] [CrossRef]
- Ren, J.; Su, K.; Chang, Y.; Wen, Y. Formation of Environmentally Friendly Tourist Behaviors in Ecotourism Destinations in China. Forests 2021, 12, 424. [Google Scholar] [CrossRef]
- Malhi, Y.; Riutta, T.; Wearn, O.R.; Deere, N.J.; Mitchell, S.L.; Bernard, H.; Majalap, N.; Nilus, R.; Davies, Z.G.; Ewers, R.M.; et al. Logged tropical forests have amplified and diverse ecosystem energetics. Nature 2022, 612, 707–713. [Google Scholar] [CrossRef] [PubMed]
- Ahumada, J.A.; Silva, C.E.F.; Gajapersad, K.; Hallam, C.; Hurtado, J.; Martin, E.; McWilliam, A.; Mugerwa, B.; O’Brien, T.; Rovero, F.; et al. Community structure and diversity of tropical forest mammals: Data from a global camera trap network. Philos. Trans. R. Soc. B Biol. Sci. 2011, 366, 2703–2711. [Google Scholar] [CrossRef]
- Prevedello, J.A.; Dickman, C.R.; Vieira, M.V.; Vieira, E.M. Population responses of small mammals to food supply and predators: A global meta-analysis. J. Anim. Ecol. 2013, 82, 927–936. [Google Scholar] [CrossRef] [PubMed]
- Nie, Y.; Zhou, W.; Gao, K.; Swaisgood, R.R.; Wei, F. Seasonal competition between sympatric species for a key resource: Implications for conservation management. Biol. Conserv. 2019, 234, 1–6. [Google Scholar] [CrossRef]
- Erena, M.G. Assessment of medium and large-sized mammals and their behavioral response toward anthropogenic activities in Jorgo-Wato Protected Forest, Western Ethiopia. Ecol. Evol. 2022, 12, e8529. [Google Scholar] [CrossRef]
- Liow, L.H.; Fortelius, M.; Bingham, E.; Lintulaakso, K.; Mannila, H.; Flynn, L.; Stenseth, N.C. Higher origination and extinction rates in larger mammals. Proc. Natl. Acad. Sci. USA 2008, 105, 6097–6102. [Google Scholar] [CrossRef]
- Morand, S.; Krasnov, B.R.; Poulin, R.; Degen, A.A. Micromammals and macroparasites: Who is who and how do they interact? In Micromammals and Macroparasites; Springer: Tokyo, Japan, 2006; pp. 3–9. [Google Scholar]
- Deng, C.; Froese, R.E.; Zhang, S.; Lu, Y.; Xu, X.; Li, Q. Development of improved and comprehensive growth and yield models for genetically improved stands. Ann. For. Sci. 2020, 77, 89. [Google Scholar] [CrossRef]
- McMahon, S.M.; Parker, G.G.; Miller, D.R. Evidence for a recent increase in forest growth. Proc. Natl. Acad. Sci. USA 2010, 107, 3611–3615. [Google Scholar] [CrossRef] [PubMed]
- Vanclay, J.K. Forest Growth and Yield Modeling. In Encyclopedia of Environmetrics; Wiley: Hoboken, NJ, USA, 2012. [Google Scholar]
- Li, C.; Barclay, H.; Roitberg, B.; Lalonde, R. Forest Productivity Enhancement and Compensatory Growth: A Review and Synthesis. Front. Plant Sci. 2020, 11, 575211. [Google Scholar] [CrossRef] [PubMed]
- Schneider, F.D.; Brose, U.; Rall, B.C.; Guill, C. Animal diversity and ecosystem functioning in dynamic food webs. Nat. Commun. 2016, 7, 12718. [Google Scholar] [CrossRef] [PubMed]
- Buzhdygan, O.Y.; Meyer, S.T.; Weisser, W.W.; Eisenhauer, N.; Ebeling, A.; Borrett, S.R.; Buchmann, N.; Cortois, R.; De Deyn, G.B.; de Kroon, H.; et al. Biodiversity increases multitrophic energy use efficiency, flow and storage in grasslands. Nat. Ecol. Evol. 2020, 4, 393–405. [Google Scholar] [CrossRef]
- Lindenmayer, D.B.; Laurance, W.F. The ecology, distribution, conservation and management of large old trees. Biol. Rev. 2017, 92, 1434–1458. [Google Scholar] [CrossRef]
- Galetti, M.; Giacomini, H.C.; Bueno, R.S.; Bernardo, C.S.S.; Marques, R.M.; Bovendorp, R.S.; Steffler, C.E.; Rubim, P.; Gobbo, S.K.; Donatti, C.I.; et al. Priority areas for the conservation of Atlantic forest large mammals. Biol. Conserv. 2009, 142, 1229–1241. [Google Scholar] [CrossRef]
- Uchmański, J. Can a More Variable Species Win Interspecific Competition? Acta Biotheor. 2021, 69, 591–628. [Google Scholar] [CrossRef]
- Sinclair, A.R.E. Mammal population regulation, keystone processes and ecosystem dynamics. Philos. Trans. R. Soc. London. Ser. B Biol. Sci. 2003, 358, 1729–1740. [Google Scholar] [CrossRef]
- Sinclair, A.R.E. the Role of Mammals As Ecosystem Landscapers. Alces 2003, 39, 161–176. [Google Scholar]
- Morellet, N.; Gaillard, J.; Hewison, A.J.M.; Ballon, P.; Boscardin, Y.; Duncan, P.; Klein, F.; Maillard, D. Indicators of ecological change: New tools for managing populations of large herbivores. J. Appl. Ecol. 2007, 44, 634–643. [Google Scholar] [CrossRef]
- Marques, F.C.; Bochio, G.M.; Lima, M.R.; Anjos, L.D. The selection of indicator species of birds and mammals for the monitoring of restoration areas in a highly fragmented forest landscape. An. Acad. Bras. Cienc. 2023, 95, e20200922. [Google Scholar] [CrossRef] [PubMed]
- Williams, D.A.; Wang, Y.; Borchetta, M.; Gaines, M.S. Genetic diversity and spatial structure of a keystone species in fragmented pine rockland habitat. Biol. Conserv. 2007, 138, 256–268. [Google Scholar] [CrossRef]
- Martínez-Jauregui, M.; Touza, J.; White, P.C.L.; Soliño, M. Choice of biodiversity indicators may affect societal support for conservation programs. Ecol. Indic. 2021, 121, 107203. [Google Scholar] [CrossRef]
- Delibes-Mateos, M.; Smith, A.T.; Slobodchikoff, C.N.; Swenson, J.E. The paradox of keystone species persecuted as pests: A call for the conservation of abundant small mammals in their native range. Biol. Conserv. 2011, 144, 1335–1346. [Google Scholar] [CrossRef]
- Shukla, I.; Gaynor, K.M.; Worm, B.; Darimont, C.T. The diversity of animals identified as keystone species. Ecol. Evol. 2023, 13, e10561. [Google Scholar] [CrossRef] [PubMed]
- Zook, D.P. Prioritizing Symbiosis to Sustain Biodiversity: Are Symbionts Keystone Species? In Symbiosis; Springer: Berlin/Heidelberg, Germany, 2001; pp. 3–12. [Google Scholar]
- Yoon, C.; Moon, S.; Lee, H. Symbiotic Relationships in Business Ecosystem: A Systematic Literature Review. Sustainability 2022, 14, 2252. [Google Scholar] [CrossRef]
- Blatrix, R.; McKey, D.; Born, C. Consequences of past climate change for species engaged in obligatory interactions. Comptes Rendus Geosci. 2013, 345, 306–315. [Google Scholar] [CrossRef]
- Hale, S.L.; Koprowski, J.L. Ecosystem-level effects of keystone species reintroduction: A literature review. Restor. Ecol. 2018, 26, 439–445. [Google Scholar] [CrossRef]
- Delibes-Mateos, M.; Redpath, S.M.; Angulo, E.; Ferreras, P.; Villafuerte, R. Rabbits as a keystone species in southern Europe. Biol. Conserv. 2007, 137, 149–156. [Google Scholar] [CrossRef]
- Brockerhoff, E.G.; Barbaro, L.; Castagneyrol, B.; Forrester, D.I.; Gardiner, B.; González-Olabarria, J.R.; Lyver, P.O.; Meurisse, N.; Oxbrough, A.; Taki, H.; et al. Forest biodiversity, ecosystem functioning and the provision of ecosystem services. Biodivers. Conserv. 2017, 26, 3005–3035. [Google Scholar] [CrossRef]
- Lefcheck, J.S.; Edgar, G.J.; Stuart-Smith, R.D.; Bates, A.E.; Waldock, C.; Brandl, S.J.; Kininmonth, S.; Ling, S.D.; Duffy, J.E.; Rasher, D.B.; et al. Species richness and identity both determine the biomass of global reef fish communities. Nat. Commun. 2021, 12, 6875. [Google Scholar] [CrossRef] [PubMed]
- Hooper, D.U.; Solan, M.; Symstad, A.; DiÁz, S.; Gessner, M.O.; Buchmann, N.; Degrange, V.; Grime, P.; Hulot, F.; Mermillod-Blondin, F.; et al. Species diversity, functional diversity, and ecosystem functioning. In Biodiversity and Ecosystem Functioning; Oxford University Press: Oxford, UK, 2002; pp. 195–208. [Google Scholar]
- Root-Bernstein, M.; Ebensperger, L.A. Meta-analysis of the effects of small mammal disturbances on species diversity, richness and plant biomass. Austral Ecol. 2013, 38, 289–299. [Google Scholar] [CrossRef]
- Mudappa, D.; Kumar, A.; Chellam, R. Diet and Fruit Choice of the Brown Palm Civet Paradoxurus Jerdoni, a Viverrid Endemic to the Western Ghats Rainforest, India. Trop. Conserv. Sci. 2010, 3, 282–300. [Google Scholar] [CrossRef]
- Dehaudt, B.; Amir, Z.; Decoeur, H.; Gibson, L.; Mendes, C.; Moore, J.H.; Nursamsi, I.; Sovie, A.; Luskin, M.S. Common palm civets Paradoxurus hermaphroditus are positively associated with humans and forest degradation with implications for seed dispersal and zoonotic diseases. J. Anim. Ecol. 2022, 91, 794–804. [Google Scholar] [CrossRef]
- Kalies, E.L.; Covington, W.W. Small mammal community maintains stability through compensatory dynamics after restoration of a ponderosa pine forest. Ecosphere 2012, 3, 1–11. [Google Scholar] [CrossRef]
- Lacher, T.E.; Davidson, A.D.; Fleming, T.H.; Gómez-Ruiz, E.P.; McCracken, G.F.; Owen-Smith, N.; Peres, C.A.; Vander Wall, S.B. The functional roles of mammals in ecosystems. J. Mammal. 2019, 100, 942–964. [Google Scholar] [CrossRef]
- Hooper, D.U.; Chapin, F.S.; Ewel, J.J.; Hector, A.; Inchausti, P.; Lavorel, S.; Lawton, J.H.; Lodge, D.M.; Loreau, M.; Naeem, S.; et al. Effects Of Biodiversity On Ecosystem Functioning: A Consensus Of Current Knowledge. Ecol. Monogr. 2005, 75, 3–35. [Google Scholar] [CrossRef]
- Wen, Z.; Pan, Q.; Li, R.; Yang, Y.; Jiang, Z.; Zheng, H.; Ouyang, Z. Species–size networks elucidate the effects of biodiversity on aboveground biomass in tropical forests. Ecol. Indic. 2022, 141, 109067. [Google Scholar] [CrossRef]
Disclaimer/Publisher’s Note: The statements, opinions and data contained in all publications are solely those of the individual author(s) and contributor(s) and not of MDPI and/or the editor(s). MDPI and/or the editor(s) disclaim responsibility for any injury to people or property resulting from any ideas, methods, instructions or products referred to in the content. |
© 2024 by the authors. Licensee MDPI, Basel, Switzerland. This article is an open access article distributed under the terms and conditions of the Creative Commons Attribution (CC BY) license (https://creativecommons.org/licenses/by/4.0/).










