Next Article in Journal
Analysis of Grid Disturbances Caused by Massive Integration of Utility Level Solar Power Systems
Previous Article in Journal
The Role of Hybrid Battery–SMES Energy Storage in Enriching the Permanence of PV–Wind DC Microgrids: A Case Study
 
 
Font Type:
Arial Georgia Verdana
Font Size:
Aa Aa Aa
Line Spacing:
Column Width:
Background:
Article

Influence of Internal Rubber Damper on Cable External Viscous Damper Effectiveness

1
JSTI Group Co., Ltd., Nanjing 211112, China
2
State Key Laboratory of Safety and Health for In-Service Long Span Bridges, Jiangsu Transportation Research Institute, Nanjing 211112, China
*
Author to whom correspondence should be addressed.
Eng 2022, 3(2), 224-235; https://doi.org/10.3390/eng3020017
Submission received: 26 January 2022 / Revised: 3 March 2022 / Accepted: 31 March 2022 / Published: 2 April 2022
(This article belongs to the Section Electrical and Electronic Engineering)

Abstract

:
In practice, the internal rubber dampers are widely installed inside the cable guide pipe between the external viscous damper and the cable anchorage. In order to study the effect of the internal damper on the performance of the external viscous damper, the theoretical analysis model of a taut cable with an internal rubber damper and an external viscous damper is established in this paper, where the internal damper is assumed to be a high damping rubber damper with a flexible support and the external damper is considered to be a linear viscous damper. Then, the numerical iterative formula and approximate solution expression for the cable modal damping ratio are derived. Based on the approximate solution, the parameters of the internal rubber damper are analyzed comprehensively, and its influence on the cable modal damping in cable multimode is studied as well. Results show that, except for the support flexibility of the internal rubber damper, other parameters will have a negative effect on external viscous damper effectiveness. From the perspective of cable multimode vibration control, the installation of an internal rubber damper significantly weakens the modal damping, and this effect is more pronounced in lower frequency modes.

1. Introduction

As an important force transmission member of the cable-stayed bridges, cable has the characteristics of light weight, high transverse flexibility and low intrinsic damping [1]. It is extremely easy to be excited by the various types of environmental disturbances to happen to different kinds of cable vibrations, such as rain-wind induced vibrations, vortex-induced vibrations and parametric resonance, etc. [2,3,4]. Meanwhile, as the length of the span of the cable-stayed bridge increases and the environment of the bridge site becomes more and more complicated, the cable becomes more sensitive to the effects of various loads and is prone to vibration problems. For cable vibration mitigation, there are many countermeasures that have been used in practice [5,6,7,8,9,10,11,12]. However, increasing cable damping by installing dampers is currently the most commonly used measure in real-world cable-stayed bridges [7,8].
The application of engineering has also promoted the research of cable-damper systems by worldwide scholars. Carne [13] and Kovacs [14] were among the first researchers to study cable-damper systems. Then, Pacheco et al. [15] developed universal design formulas for the cable attached to a linear viscous damper system by using the complex eigenanalysis method. Later, some scholars carried out more in-depth research; Xu and Yu [16], Tabatabai and Mehrabi [17], Krenk and his collaborators [18,19], Main and Jones [20,21], Zhou [22], and Chen et al. [23] studied the influence of cable sag, inclination angle, damper stiffness, cable bending stiffness, damper support stiffness and damper nonlinearity on the damping effect of the damper, and improved the design method of the cable damper in practical engineering. In recent years, negative stiffness dampers have also been widely studied [24,25]. In addition, cable equipped with multiple dampers was also found to be an effective method for cable multimode vibration control. Caracoglia and Main [26] studied the combined damping effect of a cable equipped with two linear viscous dampers. Hoang and Fujino [27] also carried out similar research and analyzed the installation of a viscous damper and high damping rubber damper at the opposite end of the cable. Cu et al. [28] investigated the damping of a cable equipped with two HDR dampers. Wang et al. [25] focused on the cable with two inertial damper systems. Recently, Di et al. [29] carried out theoretical and experimental research on the shallow cable with internal and external dampers installed on both the same cable end and the opposite ends. To control the low-mode rain-wind induced vibrations and the vortex-induced vibrations in high-frequency modes of the cable at the same time, they further investigated the multimode damping effects of a cable with two dampers by the theoretical analysis method [30]. Nguyen et al. [31] focused on improving the damping ratio of stay cables using a combination of two HDR (High damping rubber) dampers.
In practice, to reduce the excessive bending stress induced by cable large amplitude vibrations at the cable anchor point, rubber bushings are frequently installed at the cable end steel guide pipe as a cable vibration buffer device. Considering that rubber material has a certain energy dissipation capacity, the internal rubber bushings or other types are also called rubber dampers. Installing both an internal rubber damper and an external viscous damper is becoming more and more common, and relevant research work has also been carried out. Yoneda et al. [32] focused on a cable attached with two dampers at the same end and gave an equivalent replacement method to equate the two dampers to the cable with a single damper. Their research obtained a practical cable modal damping estimation method for stay cable with two dampers. Takano et al. [33] took the Tsurumi Tsubasa Bridge in Japan as an example and simplified the rubber damper installed at the cable guide pipe into a spring model. They theoretically analyzed the influence of the internal rubber damper on the external damper and also verified that the damping effect can meet the cable vibration reduction requirements after installing both an internal rubber damper and external viscous damper by field test. Main and Jones [34] established a cable (tensioned string)-internal ring rubber (linear spring)-external viscous damper (linear viscous damper) system model, and obtained an approximate analytical solution for the modal damping of the cable system. This approximate solution allows the design of the linear viscous damper to consider the influence of the stiffness of the internal rubber damper.
With the improvement of rubber materials, its energy dissipation capacity has been continuously enhanced. In previous studies, the energy dissipation of internal rubber dampers is usually ignored. In addition, the rubber damper is usually installed at the end of the steel guide pipe, and hence the damper support is relatively flexible. The influence of the damper support has not been considered in the existing literature. Therefore, this paper takes the loss factor and the support stiffness of the rubber damper into account, to establish a refined theoretical analysis model. Then, based on this model, various parameters of the internal rubber damper are analyzed in detail, and the influence of its parameters on the performance of the external damper is studied as well. Finally, from the perspective of the cable multimode vibration control, the multimode damping effect of a cable with a single external damper and with both an external viscous damper and internal rubber damper is analyzed.
The paper is structured as follows in subsequent sections. Section 2 presents the model of a cable equipped with two dampers and derives asymptotic solutions for cable modal damping ratios. Section 3 analyzes the influence of the parameters of the internal rubber damper on the cable modal damping based on asymptotic solutions. Section 4 discusses the cable multimode damping effect before and after the installation of the internal rubber damper. Finally, Section 5 concludes the paper.

2. Model of the Cable-Internal Rubber Damper-External Viscous Damper System

2.1. Model of Dampers

Considering that the bending stiffness of the guide pipe may be small, the support stiffness of the rubber damper is included in the rubber damper model, as shown in Figure 1a. The external viscous damper is considered an ideal linear viscous damper, as shown in Figure 1b.
In the rubber damper model, the loss factor and stiffness parameters of the damper are denoted as φ and K , respectively. The stiffness of the guide pipe is denoted as k s . For the model of viscous damper, c d is the damping coefficient. Then, the damping force of the rubber damper is in the form [35]:
f r t = k s v s t = K 1 + i φ v r t v s t
where v r t is the cable displacement at the rubber damper location, v s t is the displacement of the rubber damper support. In free vibration, the damping force can be rewritten to a frequency expression.
f ˜ r = K 1 + i φ 1 + K 1 + i φ / k s v ˜ r
In addition, the damping force of the viscous damper is:
f d = c d v ˙ d t
where v d is the displacement at the viscous damper. Similarly, in cable-free vibration, the preceding equation is written as:
f ˜ d = i ω c d v ˜ d

2.2. Formulation of Cable System

Considering that a cable is attached with two transversely dampers, this system can be modeled by a taut cable with two transverse forces, as depicted in Figure 2. A coordinate system is defined for cable with x starting from the left cable anchorage pointing rightwards along the cable, and v(x, t) is vertical dynamic displacement. The internal rubber damper and external viscous damper are at locations x 1 and x 2 , respectively, from the left cable end, and x 2 * = L x 2 . The cable length is denoted L , tension T , and mass per unit length is m . The sag, bending stiffness and inherent damping of cable are here not taken into account.
The equation of motion of the cable-dampers system is governed by the following partial differential equation, as [36]:
T 2 v x 2 m 2 v t 2 = f r t δ x x 1 + f d t δ x x 2
where δ · is the delta function, i.e., the effect of the damper is modeled as concentrated damping force f r t at x = x 1 and f d t at x = x 2 , respectively.
Under free vibration of cable, the displacement and the damping forces can be expressed as:
v x , t = v ˜ x e i ω t ,   f r t = f ˜ r e i ω t   and   f d t = f ˜ d e i ω t
where i = 1 , ω is the cable complex frequency, and v ˜ is the corresponding complex mode shape. The mode shape v ˜ is obtained by considering the cable as a multi-span structure connected at the damper locations, and v ˜ has the following form [27]:
v ˜ x = v ˜ r sin β x sin β x 1 ,                       0 x x 1 v ˜ r sin β x 2 x sin β x 2 x 1 + v ˜ d sin β x x 1 sin β x 2 x 1 ,   v ˜ d sin β x 2 * sin β x * ,           0 x * x 2 *     x 1 x x 2
where β is the complex wavenumber, β = ω m / T .   v ˜ r and v ˜ d are the mode shape amplitude at the internal rubber damper and the external viscous damper, respectively. At each damper location, there are continuity conditions.
T v x | x j + v x | x j = f j t ,     j = 1 , 2
Note that f 1 t = f r t and f 2 t = f d t .
Substituting Equation (7) into Equation (8), one finds
cot β x 1 + cot β x 2 x 1 v ˜ d v ˜ r 1 sin β x 2 x 1 = f ˜ r / T β v ˜ r v ˜ r v ˜ d 1 sin β x 2 x 1 + cot β x 2 x 1 + cot β x 2 * = f ˜ d / T β v ˜ d
Using Equation (9), the characteristic equation of the wavenumber β can be derived as:
cot β x 1 + f ˜ r / T β v ˜ r cot β x 2 * + f ˜ d / T β v ˜ d + cot β x 1 + f ˜ r / T β v ˜ r + cot β x 2 * + f ˜ d / T β v ˜ d cot β x 2 x 1 = 1

2.3. Asymptotic Solution

When the internal rubber damper and external viscous damper are installed at the same cable end and they are close to the cable end, i.e., x 1 and x 2 L . The wavenumber equation then reduces to:
tan β L / 2 0.5 sin 2 β x 1 Γ 1 + 0.5 sin 2 β x 2 Γ 2 0.5 sin β x 1 sin β x 2 x 1 sin β x 2 * Γ 1 Γ 2 1 + sin β x 1 cos 2 β x 1 / 2 Γ 1 + sin β x 2 cos 2 β x 2 / 2 Γ 2 + cos 2 β x 2 * / 2 sin β x 1 sin β x 2 x 1 Γ 1 Γ 2
where
Γ 1 = K ¯ + i φ K ¯ β L 1 + K ¯ k ¯ s + i φ K ¯ k ¯ s ,   Γ 2 = i η ,
and K ¯ = K L / T , k ¯ s = T / k s L and η = c / m T .
Equation (11) can be solved for β using numerical methods, such as the fixed-point iteration method.
The asymptotic solution is obtained by considering a small perturbation of the solution without damping. In the absence of damping, the wave numbers of the simply supported string are:
β n 0 = n π L ,   n = 1 , 2 ,
Then, Equation (11) leads to:
β n = 1 L β n 0 x 1 2 Γ 1 + β n 0 x 2 2 Γ 2 + β n 0 x 1 β n 0 x 2 x 1 β n 0 x 2 Γ 1 Γ 2 1 + β n 0 x 1 Γ 1 + β n 0 x 2 Γ 2 + β n 0 x 1 β n 0 x 2 x 1 Γ 1 Γ 2
Finally, the cable modal damping ratio can be obtained by [36].
ζ n = Im β n β n Im β n β n 0 ,   n = 1 , 2 ,

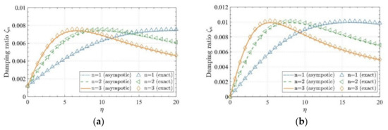
2.4. Comparison of Asymptotic and Numerical Solutions

In order to verify the accuracy of the approximate solution, this section compares the numerical solution with the approximate solution based on a typical case. In the following discussion, assume that the rubber damper parameters K ¯ = 300 ,   φ = 0.5 ,   x 1 / L = 0.01 ,   x 2 / L = 0.02 ,   k ¯ s = 0 ,   0.5 . Figure 3a,b shows the cable modal damping curves for the first three modes, with the rubber damper support flexibility coefficient k ¯ s = 0 , 0.5 , respectively. The abscissa is the damping coefficient of the external viscous damper   η = c / m T , and the ordinate is the modal damping ratio of the system. Note that, for the exact solutions, the fixed-point iteration method is used to solve Equation (11) for the complex wavenumber β n , and then the cable modal damping ratio ζ n is obtained by Equation (14). From Figure 3, it can be seen that the approximate solutions have a great agreement with the exact solutions, which verifies the correctness of the analytical formula for the system modal damping ratio. Therefore, the damping ratio asymptotic solutions will be used for the parametric analysis and optimal design of dampers in the following sections.

3. Influences of Internal Rubber Damper on External Viscous Damper

To understand the influence of the internal rubber damper on the external viscous damper, this section systematically investigates the influence of the stiffness, loss factor, support flexibility and the installation position of the internal rubber damper on the effectiveness of the external viscous damper, based on the asymptotic solutions.

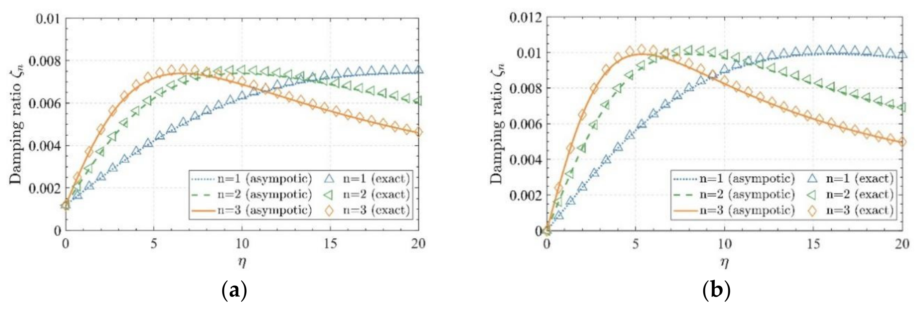
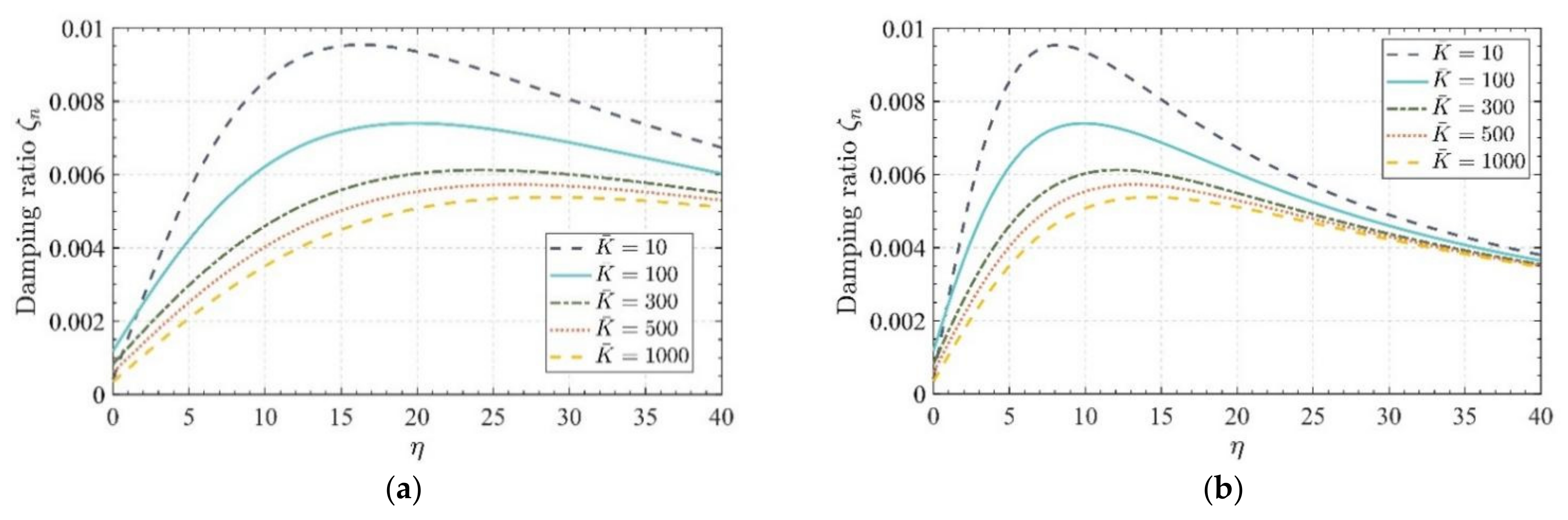
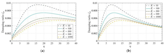
3.1. Impact of Stiffness ( K ¯ ) of Internal Rubber Damper

Firstly, the influence of the stiffness of the internal rubber damper on the damping effect of the cable is analyzed. In this case, suppose that the other relevant parameters of each damper are φ = 0.5 ,   k ¯ s = 0 ,   x 1 / L = 0.01 , x 2 / L = 0.02 . Figure 4a,b shows the cable modal damping curves when the internal rubber damper with different stiffness ( K ¯ = 10 ,   100 ,   300 ,   500   and   1000 ) for the first and second cable modes, respectively.
It can be seen from Figure 4 that the stiffness of the internal rubber damper has a significant effect on the cable modal damping. For example, when the internal rubber becomes nearly infinitely rigid, that is, K ¯ = 1000 , the cable modal damping ratio is reduced by nearly half of that without the additional rubber damper, owing to the rubber damper being installed at x 1 / L = 0.01 . Meanwhile, the cable is almost fixed at the location of the internal rubber damper, which is equivalent to reducing the installation height ratio ( x 2 / L ) of the external viscous damper from 0.02 to 0.01. The influence of the internal rubber damper stiffness on the external viscous damper is consistent with the law of reducing the installation height ( x 2 ) or increasing the intrinsic stiffness of the external viscous damper, which also verifies the rationality of the two equivalent replacement methods proposed by Yoneda et al. [32]. It is worth noting that the optimal damping coefficient of the external viscous damper for the maximum cable modal damping ratio increases as the increase of the internal damper stiffness, as shown in Figure 4. In addition, it can be seen from Figure 4 that the starting points of the damping curves are not all located at the zero point. The reason for this phenomenon is that the internal damper can also play a role in providing damping, due to the loss factor of the rubber damper being considered. When only an internal rubber damper is installed on the cable, an optimal stiffness value of the rubber damper exists for maximizing the cable modal damping ratio. For instance, in this case, the stiffness of the rubber damper K ¯ = 100 is better than other stiffness. With the increase of the viscous damper coefficient η , the negative effect of internal rubber damper on the external viscous damper is apparent, due to the large stiffness of the internal rubber damper.

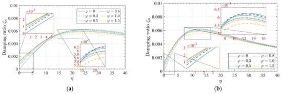
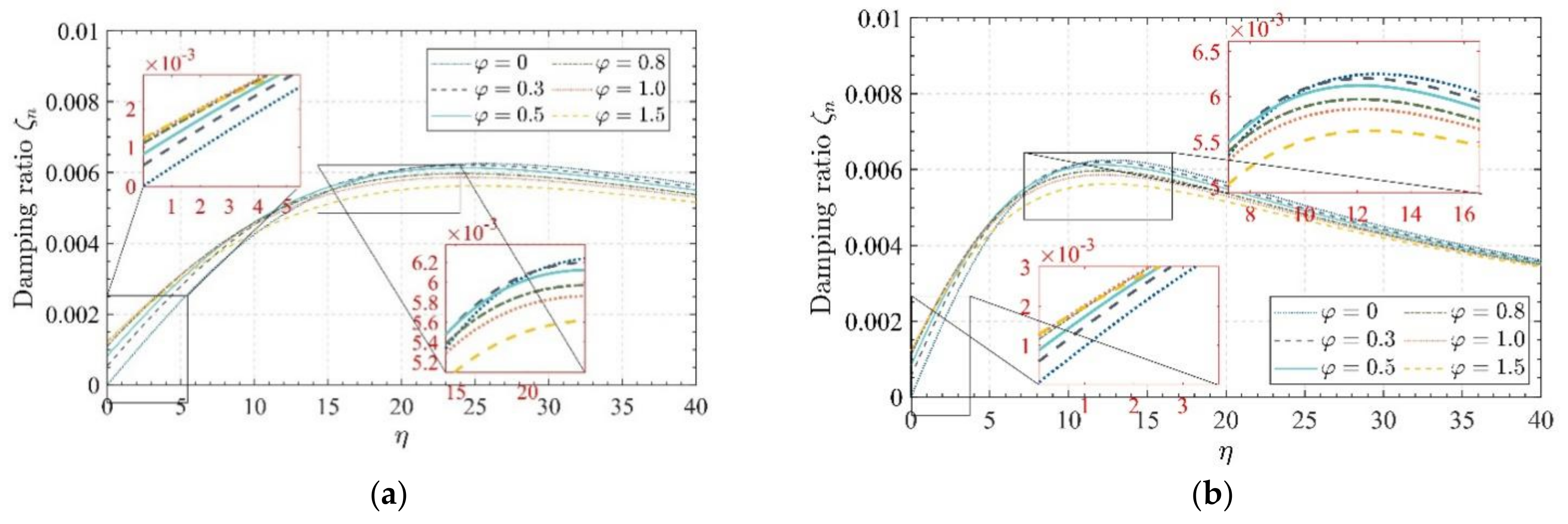
3.2. Impact of Loss Factor ( φ ) of Internal Rubber Damper

In this section, the effect of the loss factor of the internal rubber damper on the effectiveness of the external viscous damper is investigated. In this case, K ¯ = 300 ,   k ¯ s = 0 ,   x 1 / L = 0.01 ,   x 2 / L = 0.02 . Figure 5 shows the dependence of modal damping on the loss factor of the internal rubber damper for φ = 0 ,   0.3 ,   0.5 ,   0.8 ,   1.0   and   1.5 , respectively.
Compared with the internal rubber damper stiffness, the effect of the internal rubber damper loss factor is very small, as depicted by the close-up view in Figure 5. Interestingly, when the damping coefficient of the external viscous damper is relatively small, a larger loss factor can help to improve the cable modal damping. On the contrary, when the external viscous damper damping coefficient is larger, a larger loss factor is not conducive to improving the modal damping. The main reason is probably that, when the damping coefficient of the external viscous damper is small, the internal rubber damper plays a major role in the damping contribution of the system, and a larger loss factor is helpful to dissipate cable vibration energy and hence perform a larger cable modal damping. However, as the damping coefficient of the external viscous damper increases, the viscous damper temporarily takes a dominant position in the modal damping contribution. A larger loss factor of the rubber damper will limit the amplitude of the cable at the installation position of the external viscous damper, and then the effectiveness of the external damper will be weakened. Generally speaking, when the cable is attached with an internal rubber damper and an external viscous damper, the loss factor of the rubber damper has little influence on cable modal damping and can even be negligible in practice.

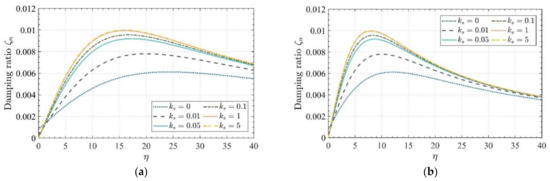
3.3. Impact of Support Flexibility ( k ¯ s ) of Internal Rubber Damper

This section discusses the impact of the internal rubber damper support flexibility on the effectiveness of the external viscous damper. In this case, K ¯ = 300 ,   φ = 0.5 ,   x 1 / L = 0.01 ,   x 2 / L = 0.02 . Figure 6 shows the damping curves along with the parameter η for various rubber damper support flexibility k ¯ s for the first two modes.
It can be seen from Figure 6 that, from the perspective of cable vibration mitigation, the larger the internal rubber damper support flexibility coefficient k ¯ s , the greater the maximum value that the cable modal damping can achieve. In other words, flexible rubber damper support is a benefit for the cable vibration control. Note that, when the damping coefficient η of the external viscous damper is very small, a large flexibility coefficient k ¯ s is not good for improving the damping of the system. The main reason for this phenomenon is that when the damping coefficient of the external viscous damper is very small, the internal rubber damper plays a leading role in damping contribution, and the internal rubber damper’s support flexibility will weaken its damping effect. As the damping coefficient increases, the external viscous damper becomes the dominant damping contribution. The inner rubber damper will weaken the damping effect of the external viscous damper, but the flexibility of the rubber damper support will reduce its negative effect on the outer viscous damper. Therefore, the greater the flexibility of the internal rubber damper support, the greater the maximum modal damping that the system can achieve.

3.4. Impact of Location ( x 1 / L ) of Internal Rubber Damper

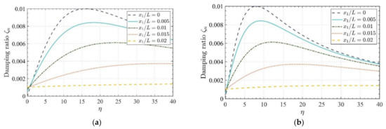
This section studies the influence of the installation position of the internal rubber damper on the damping effect of the external viscous damper. In this case, K ¯ = 300 ,   k ¯ s = 0 ,   φ = 0.5 ,   x 2 / L = 0.02 . Figure 7 shows the cable modal damping curves with the rubber damper installed at a different location x 1 / L = 0 ,   0.005 ,   0.01 ,   0.015   and   0.02 , respectively.
From Figure 7, it can be seen that with the external viscous damper with a small damping coefficient η , the larger installation height of the internal rubber damper is beneficial to the cable modal damping enhancement. However, with the external viscous damper coefficient increases, the closer the internal rubber damper is to the external viscous damper, the more obvious the damping effect of the external viscous damper will be weakened. When the installation position of the internal rubber damper coincides with the external viscous damper, i.e.,   x 1 / L = 0.02 , the damping curve becomes almost a horizontal line. In other words, the change of the damping coefficient of the external viscous damper cannot improve its damping effect. The main reason for this phenomenon is that the greater rigidity of the internal rubber damper restrains the cable vibration, which is equivalent to reducing the installation height of the external viscous damper. In addition, the closer the internal rubber damper is to the external viscous damper, the more significant this harmful effect will be.

4. Multimode Modal Damping Effect Analysis

In practical engineering, the design of a cable damper often neglects the effect of the internal rubber damper that is installed on the steel guide pipe inside the external damper. In order to quantitatively measure the influence of the internal rubber damper on the damping effect of the external viscous damper, a real cable is selected for analysis in this section. The cable parameters are listed in Table 1. Multimode damping of the cable with only external viscous damper and both the internal rubber damper and external damper are calculated separately.
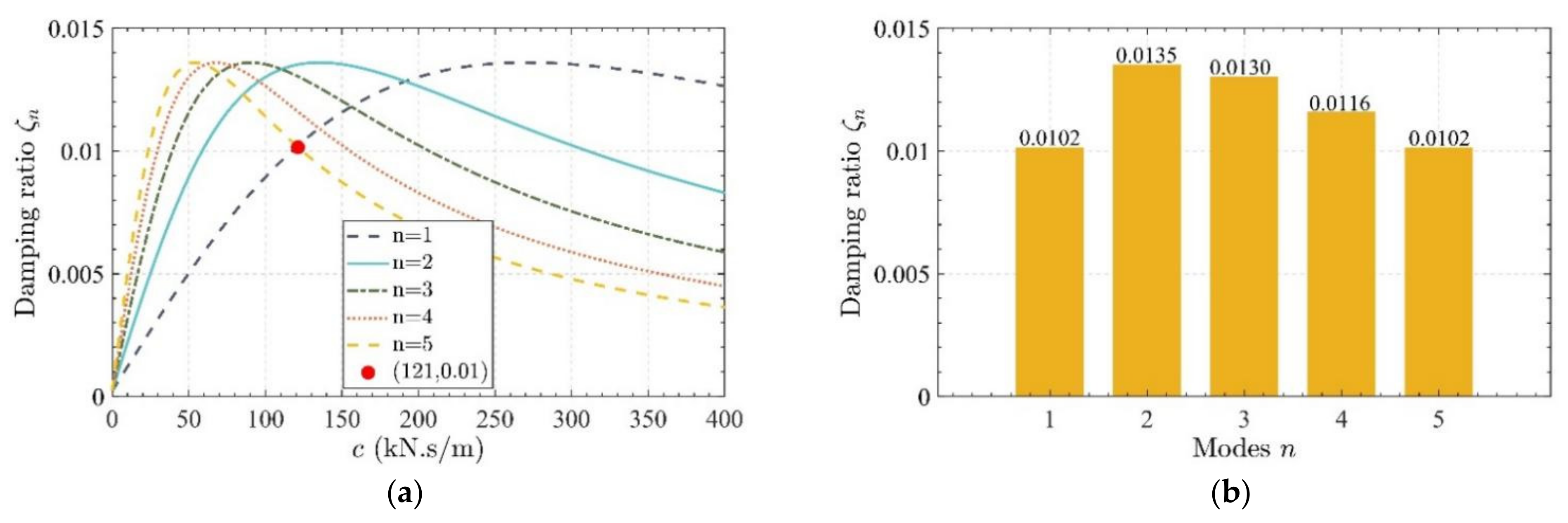
For cable multimode vibration control, the damper design needs to consider all possible modes that are prone to vibrations [37]. For this reason, it is necessary to study the cable multimode damping effect of installing both an internal rubber damper and an external viscous damper. The external viscous damper damping coefficient η is determined to control cable modes with a frequency within 3 Hz [8]. In addition, considering the requirements for controlling rain-wind induced vibration, the target damping ratio is set to 0.005, and a safety factor of two times is used herein, and then the damping ratio that the damper needs to provide should not be less than 0.01. The cable fundamental frequency is 0.59 Hz, as shown in Table 1; therefore, the first five modes are considered in the damper design.
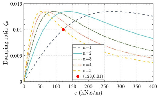
Figure 8 shows the optimization results of the viscous damper damping coefficient. Specifically, when the minimum damping ratio of the first five cable modes reaches the target damping ratio of 0.01, the installation height ratio ( x 2 / L ) of the viscous damper is 0.027, and then the optimal damping coefficient c opt = 123   kN · s / m . With the optimized damper parameters, the cable damping ratios in the first five modes are listed in Table 2. Assuming that a rubber damper is installed at the orifice of cable steel guide pipe inside the external viscous damper, and its parameters are set to K = 3000   kN / m ,   k s = 6000   kN / m ,   φ = 0.3 . Cable modal damping ratios in the first five modes, when the cable is attached with two dampers, are obtained by using Equation (14), and listed in Table 2. It can be found by comparison, as demonstrated in Table 2, the modal damping ratios of cable equipped with only external viscous damper evidently reduced with the presence of the internal rubber damper, and the maximum reduction reached 21.78%. It is worth noting that the internal rubber damper weakens the modal damping more significantly in the low-frequency modes. As the mode number increases, the negative effect of the rubber damper will decrease.
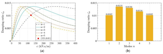
In order to meet the damping requirements of vibration reduction after installing the internal rubber damper, the installation height of the external viscous damper needs to be further increased. Figure 9 shows the optimization result of the external viscous damper, considering the installation of the internal rubber damper. In this case, the installation height of the external viscous damper needs to be increased to 0.031, and the optimal damper coefficient is c opt = 121   kN · s / m . The modal damping ratios of the first five modes are shown in Figure 9b; clearly, the modal damping ratio of each mode has reached the target requirement that the cable damping ratio is not less than 0.01.

5. Conclusions

In this paper, a taut cable was equipped with two dampers, i.e., an internal rubber damper and an external viscous damper. The system was studied in detail, in which the internal rubber damper was considered to be a rubber damper with flexible support and the external damper was regarded as an ideal linear viscous damper. Then, based on the asymptotic modal damping solutions derived in this paper, the influence of each parameter of the internal rubber damper on the performance of the external viscous damper was comprehensively analyzed. Finally, the damping effect was studied by considering an internal rubber damper for cable multimode vibration control. The following conclusions can be drawn:
1.
For the single-mode vibration of the cable, the stiffness of the internal rubber damper has a significant negative effect on the external viscous damper. In the design of the external viscous damper, the adverse effects of the stiffness of the internal rubber damper should be considered; enhancing the energy dissipation capacity of the internal rubber damper, i.e., increasing rubber damper loss factor   φ is not good for increasing the cable maximum modal damping. However, due to the small loss factor of the internal rubber damper in practice, its influence on the external damper is limited; the support flexibility of the internal rubber damper can reduce its negative impact on the external viscous damper; the internal rubber damper harms the performance of the external viscous damper, and its negative effects become more pronounced as the rubber damper location is close to the external viscous damper.
2.
From the perspective of multimode vibration control, the installation of an internal rubber damper can significantly weaken the cable modal damping in the first several modes, and hence the adverse effects of the internal rubber damper must be considered in the design of an external viscous damper. In addition, the negative effect of the internal rubber dampers on the cable modal damping is more significant in the low-frequency modes, and this adverse effect will be reduced as the mode order increases.

Author Contributions

C.L. carried out the studies, participated in the derivation and drafted the manuscript. J.P. and M.Z. carried out the numerical solution. Y.C. and C.Y. participated in the design of the study. Y.Z. conceived of the study and participated in its design and coordination, and helped to draft the manuscript. All authors have read and agreed to the published version of the manuscript.

Funding

This research is supported by the National Key Research and Development Program of China (No.: 2021YFB2601000), the Project of Industry Foresight and Key Core Technologies (Grant No. BE2021021), for which the authors are grateful.

Data Availability Statement

All data, models, and codes to support the findings of this study are available from the corresponding author upon request.

Conflicts of Interest

The authors declare no conflict of interest.

References

  1. Fujino, Y.; Kimura, K.; Tanaka, H. Cable vibrations and control methods. In Wind Resistant Design of Bridges in Japan; Springer: Tokyo, Japan, 2012; pp. 197–229. [Google Scholar]
  2. Zuo, D.; Jones, N.P. Interpretation of field observations of wind-and rain-wind-induced stay cable vibrations. J. Wind Eng. Ind. Aerod. 2012, 98, 73–87. [Google Scholar] [CrossRef]
  3. Matsumoto, M.; Shirato, H.; Yagi, T.; Goto, M.; Sakai, S.; Ohya, J. Field observation of the full-scale wind-induced cable vibration. J. Wind Eng. Ind. Aerod. 2003, 91, 13–26. [Google Scholar] [CrossRef]
  4. Gu, M. On wind–rain induced vibration of cables of cable-stayed bridges based on quasi-steady assumption. J. Wind Eng. Ind. Aerod. 2009, 97, 381–391. [Google Scholar] [CrossRef]
  5. Kleissl, K.; Georgakis, C.T. Aerodynamic control of bridge cables through shape modification: A preliminary study. J. Fluid. Struct. 2011, 27, 1006–1020. [Google Scholar] [CrossRef]
  6. Gu, M.; Du, X. Experimental investigation of rain–wind-induced vibration of cables in cable-stayed bridges and its mitigation. J. Wind Eng. Ind. Aerod. 2005, 93, 79–95. [Google Scholar] [CrossRef]
  7. Main, J.A.; Jones, N.P. Evaluation of viscous dampers for stay-cable vibration mitigation. J. Bridge Eng. 2001, 6, 385–397. [Google Scholar] [CrossRef]
  8. Chen, L.; Di, F.; Xu, Y.; Sun, L.; Xu, Y.; Wang, L. Multimode cable vibration control using a viscous-shear damper: Case studies on the Sutong Bridge. Struct. Control Health Monit. 2020, 27, e2536. [Google Scholar] [CrossRef]
  9. Caracoglia, L.; Jones, N.P. In-plane dynamic behavior of cable networks. Part 1: Formulation and basic solutions. J. Sound Vib. 2005, 27, 969–991. [Google Scholar] [CrossRef]
  10. Caracoglia, L.; Jones, N.P. In-plane dynamic behavior of cable networks. Part 2: Prototype prediction and validation. J. Sound Vib. 2005, 279, 993–1014. [Google Scholar] [CrossRef]
  11. Di, F.; Sun, L.; Chen, L. In-plane dynamic behaviors of two-cable networks with a pretensioned cross-tie. Struct. Control Health Monit. 2021, 28, e2755. [Google Scholar] [CrossRef]
  12. Di, F.; Sun, L.; Chen, L. Optimization of hybrid cable networks with dampers and cross-ties for vibration control via multi-objective genetic algorithm. Mech. Syst. Signal Process. 2022, 166, 108454. [Google Scholar] [CrossRef]
  13. TG, C. Guy Cable Design and Damping for Vertical Axis Wind Turbines; Report; Sandia National Laboratories: Albuquerque, NM, USA, 1980. [Google Scholar]
  14. Kovacs, I. Zur frage der seilschwingungen und der seildämpfung. Bautechnik 1982, 59, 325–332. [Google Scholar]
  15. Pacheo, B.M.; Fujino, Y.; Sulkh, A. Estimation curve for modal damping in stay cable with viscous damper. J. Struct. Eng. 1993, 119, 1961–1979. [Google Scholar] [CrossRef]
  16. Xu, Y.L.; Yu, Z. Mitigation of three-dimensional vibration of inclined sag cable using discrete oil dampers—II. Application. J. Sound Vib. 1998, 214, 675–693. [Google Scholar] [CrossRef]
  17. Tabatabai, H.; Mehrabi, A.B. Design of mechanical viscous dampers for stay cables. J. Bridge Eng. 2000, 5, 114–123. [Google Scholar] [CrossRef]
  18. Krenk, S.; Nielsen, S.R. Vibrations of a shallow cable with a viscous damper. Proc. R. Soc. A 2002, 458, 339–357. [Google Scholar] [CrossRef] [Green Version]
  19. Krenk, S.; Høgsberg, J.R. Damping of cables by a transverse force. J. Eng. Mech. 2005, 131, 340–348. [Google Scholar] [CrossRef]
  20. Main, J.A.; Jones, N.P. Free vibrations of taut cable with attached damper. I: Linear viscous damper. J. Eng. Mech. 2002, 128, 1062–1071. [Google Scholar] [CrossRef] [Green Version]
  21. Main, J.A.; Jones, N.P. Vibration of tensioned beams with intermediate damper. I: Formulation, influence of damper location. J. Eng. Mech. 2007, 133, 369–378. [Google Scholar] [CrossRef] [Green Version]
  22. Zhou, Y. Dynamic Characteristics and Vibration Mitigation of Stay Cables Using Cross Ties. Ph.D. Dissertation, Tongji University, Shanghai, China, 2007. [Google Scholar]
  23. Chen, L.; Sun, L. Steady-state analysis of cable with nonlinear damper via harmonic balance method for maximizing damping. J. Struct. Eng. 2017, 143, 04016172. [Google Scholar] [CrossRef]
  24. Chen, L.; Sun, L.; Nagarajaiah, S. Cable with discrete negative stiffness device and viscous damper: Passive realization and general characteristics. Smart Struct. Syst. 2015, 15, 627–643. [Google Scholar] [CrossRef]
  25. Wang, Z.; Yue, F.; Gao, H. Free vibration of a taut cable with two discrete inertial mass dampers. Appl. Sci. 2019, 9, 3919. [Google Scholar] [CrossRef] [Green Version]
  26. Caracoglia, L.; Jones, N.P. Damping of taut-cable systems: Two dampers on a single stay. J. Eng. Mech. 2007, 133, 1050–1060. [Google Scholar] [CrossRef]
  27. Hoang, N.; Fujino, Y. Combined damping effect of two dampers on a stay cable. J. Bridge Eng. 2008, 13, 299–303. [Google Scholar] [CrossRef]
  28. Cu, V.H.; Han, B.; Wang, F. Damping of a taut cable with two attached high damping rubber dampers, Struct. Eng. Mech. Int. J. 2015, 55, 1261–1278. [Google Scholar]
  29. Di, F.; Sun, L.; Chen, L. Cable vibration control with internal and external dampers: Theoretical analysis and field test validation. Smart Struct. Syst. 2020, 26, 575–589. [Google Scholar]
  30. Di, F.; Sun, L.; Chen, L. Suppression of vortex-induced high-mode vibrations of a cable-damper system by an additional damper. Eng. Struct. 2021, 242, 112495. [Google Scholar] [CrossRef]
  31. Nguyen, D.T.; Vo, D.H.; Haque, M. Theoretical Investigation on the Impact of Two HDR Dampers on First Modal Damping Ratio of Stay Cable. Appl. Sci. 2021, 11, 10985. [Google Scholar] [CrossRef]
  32. Yoneda, M.; Mochizuki, H.; Setouchi, H. On the simplified method for estimating modal damping in stay cable with two types of dampers and its application to vibration control design. Doboku Gakkai Ronbunshu 1995, 1995, 183–196. [Google Scholar] [CrossRef] [Green Version]
  33. Takano, H.; Ogasawara, M.; Ito, N.; Shimosato, T.; Takeda, K.; Murakami, T. Vibrational damper for cables of the Tsurumi Tsubasa Bridge. J. Wind Eng. Ind. Aerod. 1997, 69, 807–818. [Google Scholar] [CrossRef]
  34. Main, J.A.; Jones, N.P. Influence of rubber bushings on stay-cable damper effectiveness. In Proceedings of the Fifth International Symposium on Cable Dynamics, Santa Margherita Ligure, Italy, 15–18 September 2003; pp. 15–18. [Google Scholar]
  35. Fujino, Y.; Hoang, N. Design formulas for damping of a stay cable with a damper. J. Struct. Eng. 2008, 134, 269–278. [Google Scholar] [CrossRef]
  36. Krenk, S. Vibrations of a taut cable with an external damper. J. Appl. Mech. 2000, 67, 772–776. [Google Scholar] [CrossRef]
  37. Weber, F.; Feltrin, G.; Maślanka, M.; Fobo, W.; Distl, H. Design of viscous dampers targeting multiple cable modes. Eng. Struct. 2009, 31, 2797–2800. [Google Scholar] [CrossRef]
Figure 1. Model of dampers: (a) rubber damper; (b) viscous damper.
Figure 1. Model of dampers: (a) rubber damper; (b) viscous damper.
Eng 03 00017 g001
Figure 2. Cable with two transverse forces.
Figure 2. Cable with two transverse forces.
Eng 03 00017 g002
Figure 3. Comparison of asymptotic and numerical solutions with K ¯ = 300 ,   φ = 0.5 ,   x 1 / L = 0.01 ,   x 2 / L = 0.02 and: (a) k ¯ s = 0 ; (b) k ¯ s = 0.5 .
Figure 3. Comparison of asymptotic and numerical solutions with K ¯ = 300 ,   φ = 0.5 ,   x 1 / L = 0.01 ,   x 2 / L = 0.02 and: (a) k ¯ s = 0 ; (b) k ¯ s = 0.5 .
Eng 03 00017 g003
Figure 4. Impact of stiffness of the internal rubber damper on cable modal damping with   k ¯ s = 0 ,   φ = 0.5 ,   x 1 / L = 0.01 ,   x 2 / L = 0.02 and: (a) n = 1; (b) n = 2.
Figure 4. Impact of stiffness of the internal rubber damper on cable modal damping with   k ¯ s = 0 ,   φ = 0.5 ,   x 1 / L = 0.01 ,   x 2 / L = 0.02 and: (a) n = 1; (b) n = 2.
Eng 03 00017 g004
Figure 5. Impact of loss factor of the internal rubber damper on cable modal damping with   K ¯ = 300 ,   k ¯ s = 0 ,   x 1 / L = 0.01 ,   x 2 / L = 0.02 and: (a) n = 1; (b) n = 2.
Figure 5. Impact of loss factor of the internal rubber damper on cable modal damping with   K ¯ = 300 ,   k ¯ s = 0 ,   x 1 / L = 0.01 ,   x 2 / L = 0.02 and: (a) n = 1; (b) n = 2.
Eng 03 00017 g005
Figure 6. Impact of support flexibility of the internal rubber damper on cable modal damping with   K ¯ = 300 ,   φ = 0.5 ,   x 1 / L = 0.01 ,   x 2 / L = 0.02 and: (a) n = 1; (b) n = 2.
Figure 6. Impact of support flexibility of the internal rubber damper on cable modal damping with   K ¯ = 300 ,   φ = 0.5 ,   x 1 / L = 0.01 ,   x 2 / L = 0.02 and: (a) n = 1; (b) n = 2.
Eng 03 00017 g006
Figure 7. Impact of location of the internal rubber damper on cable modal damping with   K ¯ = 300 ,   k ¯ s = 0 ,   φ = 0.5 ,   x 2 / L = 0.02 and: (a) n = 1; (b) n = 2.
Figure 7. Impact of location of the internal rubber damper on cable modal damping with   K ¯ = 300 ,   k ¯ s = 0 ,   φ = 0.5 ,   x 2 / L = 0.02 and: (a) n = 1; (b) n = 2.
Eng 03 00017 g007
Figure 8. Damping curves of cable equipped with a viscous damper for damper design.
Figure 8. Damping curves of cable equipped with a viscous damper for damper design.
Eng 03 00017 g008
Figure 9. Optimal design of damper considering internal rubber damper: (a) design of viscous damper; (b) multimode damping ratios.
Figure 9. Optimal design of damper considering internal rubber damper: (a) design of viscous damper; (b) multimode damping ratios.
Eng 03 00017 g009
Table 1. Parameters of cable for the present study.
Table 1. Parameters of cable for the present study.
Length L (m)Tension T (kN)Mass m (kg/m)Fundamental Frequency (Hz)
196.165436100.180.59
Table 2. Multimode damping ratios of two different cases.
Table 2. Multimode damping ratios of two different cases.
ModeExternal DamperInternal and External DampersDifference (%)
10.01010.007921.78
20.01340.011315.67
30.01290.011510.85
40.01150.01067.83
50.01010.00955.94
Publisher’s Note: MDPI stays neutral with regard to jurisdictional claims in published maps and institutional affiliations.

Share and Cite

MDPI and ACS Style

Li, C.; Peng, J.; Zhang, M.; Yang, C.; Cheng, Y.; Zhang, Y. Influence of Internal Rubber Damper on Cable External Viscous Damper Effectiveness. Eng 2022, 3, 224-235. https://doi.org/10.3390/eng3020017

AMA Style

Li C, Peng J, Zhang M, Yang C, Cheng Y, Zhang Y. Influence of Internal Rubber Damper on Cable External Viscous Damper Effectiveness. Eng. 2022; 3(2):224-235. https://doi.org/10.3390/eng3020017

Chicago/Turabian Style

Li, Changzhao, Jiayi Peng, Mengying Zhang, Chao Yang, Yu Cheng, and Yufeng Zhang. 2022. "Influence of Internal Rubber Damper on Cable External Viscous Damper Effectiveness" Eng 3, no. 2: 224-235. https://doi.org/10.3390/eng3020017

APA Style

Li, C., Peng, J., Zhang, M., Yang, C., Cheng, Y., & Zhang, Y. (2022). Influence of Internal Rubber Damper on Cable External Viscous Damper Effectiveness. Eng, 3(2), 224-235. https://doi.org/10.3390/eng3020017

Article Metrics

Back to TopTop