Abstract
A total of 24 novel steroidal derivatives were synthesized, including 1,3,4-thia(selena)diazolines and structurally unique spirothiadiazolines, obtained through intramolecular cyclization under standard acetylation conditions. This strategy was further extended to the construction of a novel dimeric compound bearing a thiadiazoline linker. Seleno- and thiosemicarbazone precursors were derived from various functionalized steroidal monomers and dimers via straightforward synthetic protocols. Key intermediates included aldehyde 7 and ketones 16, 19, and 24. Rotameric equilibria were observed in certain thiosemicarbazones, attributed to partial double-bond character in the N–CS bond. Cyclization yielded heterocyclic systems as epimeric mixtures, and in some cases, inseparable mixtures of isomers were obtained due to low diastereoselectivity. Full structural elucidation of epimeric pairs was achieved using 2D NMR and IR spectroscopy, with compounds 2, 3, 5, 11, 17, 27, 28a, and 28b further confirmed by single-crystal X-ray diffraction. Preliminary antiproliferative assays against human cancer cell lines revealed GI50 values below 10 µM for compounds 21, 22, and 27.
1. Introduction
It is well established that steroidal frameworks fused to heterocycles containing one or more heteroatoms at the A–D rings exhibit a broad range of pharmacological activities [1,2,3,4]. Over the past decade, considerable efforts have been devoted to the development of innovative methodologies for synthesizing novel, cost-effective, and highly specific heterosteroidal compounds with therapeutic potential.
Steroidal thiosemicarbazones, in particular, have demonstrated diverse biological activities, including antitubercular [5,6], antimicrobial [7,8], and anticancer properties [9,10,11]. These moieties serve as valuable precursors for a wide array of heterocyclic systems with significant pharmacological relevance, such as thiazolidinones [12,13], imidazolidinones [14], thiadiazoles [15,16], thiazoles [17], and thiadiazolines [18]. Among these, 1,3,4-thiadiazoline derivatives have attracted increasing interest due to their pharmacological potential [18,19]. These heterocycles are readily accessible via the well-known intramolecular cyclization of thiosemicarbazones using acid anhydrides or acid chlorides [20].
Comprehensive reviews on synthetic spiro-heterocyclic steroids further corroborate that the incorporation of heterocycles into the steroid skeleton—particularly spiro-fused thiadiazolines—represents an established strategy to modulate bioactivity and expand chemical diversity [1]. Recent studies have demonstrated that hybrid androstane derivatives decorated with thiazoline, thiadiazoline, or thiazolidinone rings, in combination with lactone, lactam, or pyridine moieties, exhibit selective cytotoxicity toward hormone-dependent cancer cell lines while sparing normal fibroblasts, and additionally act as selective AKR1C3 inhibitors [21]. Likewise, cholesterol-derived thiadiazole derivatives possessing an A-homo lactam and a B-nor steroidal skeleton have shown potent antiproliferative activity against A549 lung carcinoma cells, with IC50 values of 7.8–8.0 µM, superior to cisplatin [22] (Figure 1).
Figure 1.
Steroidal heterocyclic derivatives reported in the literature with cytotoxic activity against various human cancer cell lines [21,22].
Previously, our research group reported the synthesis of steroidal selenosemicarbazones via the coupling of spirostanic ketones with p-substituted 4-phenylselenosemicarbazides, demonstrating promising antiproliferative activity [23]. In this work, we extend our synthetic approach to access a new series of steroidal 1,3,4-thia(selena)diazolines and structurally distinctive spirothiadiazolines, employing readily available aldehyde and ketone derivatives as key starting materials.
A flexible spacer chain linking the steroid core to the 1,3,4-(selena)-diazoline ring was strategically introduced to preserve the intrinsic pharmacophore of the steroid while allowing the heterocycle to adopt favorable orientations for target binding. Such linkers also enhance synthetic accessibility through simple condensation/cyclization steps and enable initial SAR studies by varying their length or heteroatom composition. The role of flexible linkers in modulating bioactivity has long been recognized [24], and recent cheminformatics analyses confirm that linker composition and flexibility critically influence conformational space and pharmacokinetic properties in steroid-based and hybrid therapeutics [25], supporting our molecular design strategy.
2. Materials and Methods
All the solvents used were of analytical grade (Aldrich or J. T. Baker). The progress of the reactions was monitored by analytical TLC performed on silica gel plates (Silica gel 60 F254, E. Merck, Darmstadt, Germany), using hexane/ethyl acetate (7:3) as the mobile phase. Spots were visualized under UV light (254 nm) and by charring with 10% vanillin in EtOH containing 1% H2SO4. Chromatographic columns were carried out on silica gel DavisilTM grade 633 (200–425 mesh, Sigma-Aldrich, St. Louis, MO, USA). NMR was recorded on a Bruker AscendTM 500 MHz instrument (Bruker BioSpin GmbH, Rheinstetten, Germany). Chemical shifts are stated in ppm (δ) and referred to the 1H signal or the central 13C triplet signal (δ = 7.26 and 77.16) for CDCl3 or the signal of TMS (δ = 0) as the internal standard. Coupling constants (J) are expressed in Hertz (Hz). The assignments of 1H and 13C signals were confirmed by 2D NMR homonuclear and heteronuclear experiments (COSY, HSQC, and HMBC). Melting points were measured by the open capillary tube method on a Melt-temp apparatus (Electrothermal, Essex, UK) and were not corrected. IR spectra were recorded on an Agilent Cary 360 FTIR spectrometer (Agilent Technologies, Santa Clara, CA, USA) and are reported in cm−1. High-resolution mass spectra (HRMS) were obtained only for compounds 21 and 22 using a JMS-700 MStation (JEOL Ltd., Tokyo, Japan) with fast atom bombardment (FAB) ionization.
2.1. Crystal Structure Determinations
Molecular and crystal structures were obtained by single-crystal X-ray diffraction for compounds 2, 3, 5, 11, 17, 27, 28 (two epimers: 28a and 28b). Diffraction intensities were collected at room temperature on a Stoe-Stadivari diffractometer equipped with an Axo microfocus source (Ag target: λ = 0.56083 Å; STOE & Cie GmbH, Darmstadt, Germany) and a Dectris-Pilatus 100K detector (DECTRIS Ltd., Baden-Daettwil, Switzerland). Although structure refinements were mostly straightforward, some crystals included lattice solvent, and in the cases of 3, 5, 17, and 11, parts of the steroid structure are disordered. Specific details and ORTEP figures are given in the Supplementary Information file for each structure, and Cif files including structure factors were deposited with the CCDC. The deposition numbers are 2222029 (2), 2222030 (3), 2222031 (5), 2222032 (11), 2222033 (17), 2222034 (27), 2222035 (28a), and 2222036 (28b).
2.2. Antiproliferative Tests
The antiproliferative activity of compounds was tested using our implementation of the protocol of the National Cancer Institute (NCI) of the USA [26]. The following seeding densities (cells per well) were used: 2500 (A549, HBL-100, HeLa, and SW1573) and 5000 (T-47D and WiDr). Stock solutions of inhibitors (40 mM) were prepared in pure DMSO (400 times the maximum test concentration). For each test compound, the cells were exposed for a period of 48 h to serial decimal dilutions in cell culture medium of the tes compounds (0.001–100 µM). For each product, GI50 values were calculated according to the NCI formulas (n = 3; data are expressed as mean ± SD). The human cancer cell lines A549, HBL-100, and T-47D, as well as HeLa, were provided by Dr. Raimundo Freire (Hospital Universitario de Canarias, Tenerife, Canary Islands). The lung cancer cell lines SW1573 and WiDr were provided by Prof. G. J. Peters (VU University Medical Center, Amsterdam, The Netherlands).
2.3. Synthesis
Several alternative conditions were assayed throughout the synthetic sequence, including variations in acylating agents, solvents, and bases, but these proved suboptimal, leading to low yields or formation of side products. The optimized protocols adopted in this work were selected based on the systematic study reported in Méndez Delgado’s Master’s thesis [27].
- Bis[(22R,25R)-Spirost-5-en-3β-yl]oxalate (2).
Oxalyl chloride (0.1 mL, 0.12 mmol, 1 eq.) was added to a solution of 1 (100 mg, 0.24 mmol, 2 eq.) in pyridine (5 mL). The mixture was stirred at room temperature for 18 h. The resulting mixture was poured into diluted cold 5% HCl and stirred for an extra 1 h. Ethyl acetate (3 × 15 mL) was added, and the mixture was extracted. The combined organic phase was washed with brine, distilled water, and dried over anhydrous MgSO4. The organic layer was filtered and evaporated under reduced pressure. The resulting crude product was purified by silica gel chromatography (eluent hexane/ethyl acetate 7:3) to give a white solid in 55%. A fraction was dissolved in CH2Cl2/Hex/MeOH/Et2O, and colorless crystals were obtained by slow evaporation of its solution at r.t.; mp 316–319 °C. IR : 2945, 1759, 1737, 1174 cm−1. Signals for the monomer unit 1H-NMR (500 MHz, CDCl3) δ: 5.43–5.36 (m, 1H, H-6), 4.81–4.71 (m, 1H, H-3), 4.45–4.37 (m, 1H, H-16), 3.50–3.43 (m, 1H, H-26eq), 3.37 (t, J26ax-26eq = J26ax-25 = 10.9 Hz, 1H, H-26ax), 2.51–2.36 (m, 2H, H-4a, H-4b), 2.05–1.83 (m, 5H, H-7a, H-15a, H-2a, H-1a, H-20), 1.80–1.71 (m, 3H, H-2b, H-12a, H-17), 1.69–1.57 (m, 5H, H-8, H-23, H-24b, H-25), 1.56–1.41 (m, 4H, H-7b, H-11, H-24b), 1.32–1.24 (m, 1H, H-15b), 1.22–1.08 (m, 3H, H-1b, H-12b, H-14), 1.04 (s, 3H, H-19), 1.01–0.96 (m, 1H, H-9), 0.96 (d, 3H, J21-20 = 6.9 Hz, H-21), 0.84–0.74 (m, 6H, H-18, H-27). 13C-NMR (126 MHz, CDCl3) δ: 157.7 (C=O oxalate), 139.2 (C-5), 123.2 (C-6), 109.4 (C-22), 80.9 (C-16), 77.2 (C-3), 67.0 (C-26), 62.2 (C-17), 56.5 (C-14), 50.0 (C-9), 41.7 (C-20), 40.4 (C-13), 39.8 (C-12), 37.7 (C-4), 36.9 (C-1), 36.8 (C-10), 32.2 (C-7), 32.0 (C-15), 31.5 (C-8), 31.5 (C-23), 30.4 (C-25), 28.9 (C-24), 27.4 (C-2), 20.9 (C-11), 19.4 (C-19), 17.3 (C-27), 16.4 (C-18), 14.7 (C-21).
- Bis[26-Hydroxy-(22R,25R)-furost-5-en-3β-yl]oxalate (3).
To a solution of 2 (0.026 g, 0.03 mmol, 1 eq.) in CH2Cl2 (2 mL), AcOH (1 mL), and NaCNBH3 (0.02 g, 0.3 mmol, 10 eq.) were added. The reaction mixture was stirred for 3.5 h at r.t. After completion of the reaction monitored by TLC, cold water (30 mL) was added, and the mixture was extracted with CH2Cl2 (2 × 10 mL). The combined organic phase was washed with distilled water, dried over anhydrous MgSO4, filtered, and evaporated under reduced pressure. The resulting crude product was purified by column chromatography (eluent hexane/ethyl acetate 7:3) to afford a white solid in 85%. A fraction was dissolved in EtOH/CH2Cl2, and colorless crystals were obtained by slow evaporation of its solution at r.t. mp. 226–228 °C. IR : 3346, 2926, 1735, 1202 cm−1. Signals for monomer unit 1H-NMR (500 MHz, CDCl3) δ: 5.42–5.37 (m, 1H, H-6), 4.81–4.72 (m, 1H, H-3), 4.30 (td, 1H, J16-15a = J16-17 = 7.7 Hz, J16-15b = 5.3 Hz, H-16), 3.49 (dd, 1H, J26a-26b = 10.6 Hz, J25-26a = 6.2 Hz, H-26a), 3.43 (dd, 1H, J25-26b = 6.1 Hz, H-26b), 3.32 (td, 1H, J22-20 = J22-23a = 8.2 Hz, J22-23b = 3.8 Hz, H-22), 2.52–2.43 (m, 1H, H-4a), 2.40 (ddd, 1H, J4b-4a = 13.3 Hz, J3-4b = 5.1 Hz, J4b-6 = 1.8 Hz, H-4b), 2.03–1.96 (m, 2H, H-7a, H-15a), 1.96–1.92 (m, 1H, H-2a), 1.89 (dt, 1H, J1a-1b = 13.5 Hz, J1a-2a = J1a-2b = 3.6 Hz, H-1a), 1.79–1.69 (m, 3H, H-2b, H-12a, H-20), 1.68–1.63 (m, 1H, H-25), 1.63–1.41 (m, 8H, H-8, H-11, H-15b, H-17, H-23, H-24a), 1.38–1.26 (m, 2H, H-7b, H-24b), 1.19–1.06 (m, 3H, H-1b, H-12b, H-14), 1.04 (s, 3H, H-19), 0.99 (d, 3H, J20-21 = 6.7 Hz, H-21), 0.97–0.92 (m, 1H, H-9), 0.90 (d, 3H, J27-25 = 6.7 Hz, H-27), 0.80 (s, 3H, H-18). 13C-NMR (126 MHz, CDCl3) δ: 157.7 (C=O oxalate), 139.2 (C-5), 123.2 (C-6), 90.5 (C-22), 83.3 (C-16), 77.2 (C-3), 68.2 (C-26), 65.2 (C-17), 57.0 (C-14), 50.0 (C-9), 40.8 (C-13), 39.5 (C-12), 38.0 (C-20), 37.7 (C-4), 37.0 (C-1), 36.8 (C-10), 35.8 (C-25), 32.3 (C-7), 32.1 (C-15), 31.6 (C-8), 30.5 (C-23), 30.2 (C-24), 27.5 (C-2), 20.8 (C-11), 19.4 (C-19), 19.0 (C-21), 16.8 (C-27), 16.6 (C-18).
- Bis[3β-Acetoxy-(22R,25R)-furost-5-en-26-yl]oxalate (6).
Oxalyl chloride (0.01 mL, 0.11 mmol, 1 eq.) was added to a solution of 5 (100 mg, 0.22 mmol, 2 eq.) in anhydrous pyridine (5 mL). The mixture was stirred at room temperature for 20 h under an argon atmosphere. The resulting mixture was poured into 30 mL of cold 5% HCl solution and stirred for an extra 1 h. Ethyl acetate was added, and the mixture was extracted (3 × 15 mL). The combined organic phase was washed with brine, distilled water, and dried over anhydrous MgSO4. The organic layer was filtered and evaporated under reduced pressure. The resulting crude product was purified by silica gel chromatography (eluent hexane/ethyl acetate 7:3) to give the product 6 as a white foam in 42%. IR : 2952, 1769, 1733, 1241 cm−1. Signals for monomer unit 1H-NMR (500 MHz, CDCl3) δ: 5.40–5.33 (m, 1H, H-6), 4.64–4.53 (m, 1H, H-3), 4.29 (td, 1H, J15a-16 = J16-17 = 7.7 Hz, J15b-16 = 5.3 Hz, H-16), 4.18 (dd, 1H, J26a-26b = 10.7 Hz, J25-26a = 5.6 Hz, H-26a), 4.06 (dd, 1H, J25-26b = 7.1 Hz, H-26b), 3.30 (td, 1H, J20-22 = J22-23a = 8.1 Hz, J22-23b = 4.1 Hz, H-22), 2.35–2.28 (m, 2H, H-4), 2.03 (s, 3H, COCH3), 2.01–1.95 (m, 2H, H-7a, H-15a), 1.95–1.89 (m, 1H, H-25), 1.88–1.82 (m, 2H, H-1a, H-2a), 1.77–1.69 (m, 2H, H-12a, H-20,), 1.66–1.48 (m, 7H, H-2b, H-8, H-11a, H-15b, H-17, H-23), 1.47–1.37 (m, 3H, H-11b, H-24), 1.29 (td, 1H, J7a-7b = J7b-8 = 13.0 Hz, J6-7b = 5.3 Hz, H-7b), 1.16–1.05 (m, 3H, H-12b, H-1b, H-14), 1.03 (s, 3H, H-19), 0.99 (d, 3H, J20-21 = 4.7 Hz, H-21), 0.98 (d, 3H, J25-27 = 4.6 Hz, H-27), 0.96–0.90 (m, 1H, H-9), 0.79 (s, 3H, H-18). 13C-NMR (126 MHz, CDCl3) δ: 170.7 (C=O acetate), 158.2 (C=O oxalate), 139.8 (C-5), 122.5 (C-6), 90.1 (C-22), 83.4 (C-16), 74.0 (C-3), 71.7 (C-26), 65.2 (C-17), 57.0 (C-14), 50.1 (C-9), 40.8 (C-13), 39.5 (C-12), 38.2 (C-4), 38.1 (C-20), 37.1 (C-1), 36.8 (C-10), 32.8 (C-25), 32.3 (C-7), 32.1 (C-15), 31.7 (C-8), 30.9 (C-23), 30.4 (C-24), 27.9 (C-2), 21.6 (COCH3), 20.8 (C-11), 19.5 (C-19), 19.0 (C-21), 16.8 (C-27), 16.6 (C-18).
2.4. General Procedure for the Synthesis of Steroidal Thio and Selenosemicarbazones (8–10, 14, 17, 20, 22, 25, and 27)
AcOH was added to a solution of carbonyl compound 7, 16, 19, or 24 (1 eq.) in ethanol until pH reached 5. After that, thiosemicarbazide (TSC) or a–d (1.2 eq.) was added and the mixture was stirred and refluxed until the reaction was completed as detected by TLC. The solvent was removed under reduced pressure, and the residue was purified by column chromatography on silica gel to give the thiosemicarbazone intermediates. Selenosemicarbazones 9 and 10 and thiosemicarbazones 20 and 25 were not isolated in pure form, so they were used without any further purification for the next step.
- (22′R,25′R)-1-(3′β-Acetoxyfurost-5′-en-26′-ylidene)-4-phenyl-3-thiosemicarbazone (8).
The title compound 8 was prepared from 7 and a according to the general procedure to give a yellowish solid in 58% yield. mp 82–84 °C. IR : 3318, 2947, 1731, 1545, 1245 cm−1. 1H-NMR (500 MHz, CDCl3) δ: 10.08 (s, 1H, NNH), 9.10 (s, 1H, PhNH), 7.66–7.54 (m, 2H, Ar), 7.41–7.32 (m, 2H, Ar), 7.24 (d, 1H, J25′-26′ = 5.8 Hz, H-26′), 7.23–7.15 (m, 1H, Ar), 5.37–5.33 (m, 1H, H-6′), 4.63–4.53 (m, 1H, H-3′), 4.27 (td, 1H, J15′a-16′ = J16′-17′ = 7.7 Hz, J15′b-16′ = 5.3 Hz, H-16′), 3.37–3.23 (m, 1H, H-22′), 2.48–2.38 (m, 1H, H-25′), 2.35–2.25 (m, 2H, H-4′), 2.02 (s, 3H, COCH3), 1.98–1.89 (m, 2H, H-15′a, H-7′a), 1.88–1.80 (m, 2H, H-2′a, H-1′a), 1.76–1.66 (m, 2H, H-20′, H-12′a), 1.64–1.46 (m, 9H, H-2′b, H-8′, H-11′a, H-15′b, H-17′, H-23′, H-24′), 1.45–1.38 (m, 1H, H-11′b), 1.23 (td, 1H, J7′a-7′b = J7′b-8′ = 13.0 Hz, J6′-7′b = 5.2 Hz, H-7′b), 1.15–1.08 (m, 5H, H-1′b, H-12′b, H-27′), 1.07–1.02 (m, 1H, H-14′), 1.00 (s, 3H, H-19′), 0.97 (d, 3H, J20′-21′ = 6.7 Hz, H-21′), 0.94–0.88 (m, 1H, H-9′), 0.76 (s, 3H, H-18′). 13C-NMR (126 MHz, CDCl3) δ: 175.8 (C=S), 170.6 (CH3CO), 151.6 (C-26′), 139.7 (C-5′), 138.0 (Ar), 128.7 (Ar), 126.1 (Ar), 124.7 (Ar), 122.4 (C-6′), 90.0 (C-22′), 83.3 (C-16′), 73.9 (C-3′), 65.0 (C-17′), 56.9 (C-14′), 50.0 (C-9′), 40.7 (C-13′), 39.4 (C-12′), 38.1 (C-4′), 37.8 (C-20′), 37.0 (C-1′), 36.9 (C-25′), 36.7 (C-10′), 32.2 (C-7′), 32.0 (C-15′), 31.6 (C-8′), 31.2 (C-24′), 30.8 (C-23′), 27.8 (C-2′), 21.5 (COCH3), 20.7 (C-11′), 19.4 (C-19′), 18.9 (C-21′), 17.8 (C-27′), 16.5 (C-18′).
- (22’’R,25’’R)-N,N′-1,4-Phenylenebis[2-(3’’β-acetoxyfurost-5’’-en-26’’-ylidene)hidrazinecarbotiamide] (14).
The title compound 14 was prepared from 7 and d according to the general procedure to give a beige foam in 62% yield. IR : 2941, 1730, 1517, 1241, 1032 cm−1. 1H-NMR (500 MHz, CDCl3) δ: 10.24 (s, 1H, NNH), 9.09 (s, 1H, PhNH), 7.62 (s, 2H, Ar), 7.24 (d, J25″-26″ = 6.0 Hz, 1H, H-26″), 5.37–5.32 (m, 1H, H-6″), 4.62–4.52 (m, 1H, H-3″), 4.32–4.24 (m, 1H, H-16″), 3.34–3.25 (m, 1H, H-22″), 2.46–2.36 (m, 1H, H-25″), 2.33–2.26 (m, 2H, H-4″), 2.02 (s, 3H, COCH3), 1.99–1.90 (m, 2H, H-15″a, H-7″a), 1.87–1.79 (m, 2H, H-1″a, H-2″a), 1.76–1.66 (m, 2H, H-20″, H-12″a), 1.64–1.49 (m, 8H, H-2″b, H-8″, H-15″b, H-17″, H-23″, H-24″), 1.49–1.45 (m, 1H, H-11″a), 1.44–1.38 (m, 1H, H-11″b), 1.29–1.20 (m, 1H, H-7′b), 1.14–1.07 (m, 5H, H-1b, H-12′b, H-27″), 1.07–1.02 (m, 1H, H-14″), 1.00 (s, 3H, H-19′), 0.97 (d, 3H, J20″-21″ = 6.7 Hz, H-21″), 0.93–0.88 (m, 1H, H-9″), 0.77 (s, 3H, H-18″). 13C-NMR (126 MHz, CDCl3) δ: 175.5 (C=S), 170.7 (CH3CO), 151.8 (C-26″), 139.6 (C-5″), 135.6 (Ar), 124.9 (Ar), 122.4 (C-6″), 89.9 (C-22″), 83.3 (C-16″), 73.9 (C-3″), 64.9 (C-17″), 56.8 (C-14″), 49.9 (C-9″), 40.7 (C-13″), 39.4 (C-12″), 38.1 (C-4″), 37.8 (C-20″), 37.1 (C-1″), 37.0 (C-25″), 36.7 (C-10″), 32.2 (C-7″), 32.0 (C-15″), 31.5 (C-8″), 31.3 (C-24″), 31.0 (C-23″), 27.7 (C-2″), 21.6 (COCH3), 20.6 (C-11″), 19.4 (C-19″), 18.9 (C-21″), 17.9 (C-27″), 16.6 (C-18″).
- (22′R, 25′R)-1-(Spirost-4′-en-3′-ylidene)-4-phenyl-3-thiosemicarbazone (17).
The title compound 17 was prepared from 16 and a in 18 mL of EtOH according to the general procedure. White foam was obtained in 63% yield, after the reaction was refluxed for 23 h. Column chromatography (9:1 hexane/ethyl acetate). Rotamer ratio = 7:3. A fraction was dissolved in CH2Cl2/EtOH/MeOH, and colorless crystals were obtained by slow evaporation of its solution at room temperature. mp = 164–166 °C. 1H NMR (500 MHz, CDCl3,) major isomer δ: 9.38–9.23 (m, 1H, PhNH), 8.66 (s, 1H, NH), 7.73–7.59 (m, 2H, Ar), 7.42–7.31 (m, 2H, Ar), 7.23–7.17 (m, 1H, Ar), 5.86 (s, 1H, H-4′), 4.45–4.34 (m, 1H, H-16′), 3.49–3.44 (m, 1H, H-26′equatorial (eq)), 3.36 (t, 1H, J26′ax-26′eq = J25′-26′ax = 10.9 Hz, H-26′axial (ax)), 2.61 (ddd, 1H, J2′a-2′b = 16.6 Hz, J1′a-2′a = 5.0 Hz, J1′b-2′a = 2.7 Hz, H-2′a), 2.48–2.14 (m, 3H, H-2′b, H-6′), 2.07–1.97 (m, 2H, H-1′a, H-15′a,), 1.89–1.85 (m, 1H, H-20′), 1.83–1.72 (m, 3H, H-11′a, H-12′a, H-17′), 1.71–1.56 (m, 5H, H-8′, H-23′, H-24′a, H-25′), 1.55–1.37 (m, 4H, H-1′b, H-7′, H-24′b), 1.35–1.26 (m, 1H, H-15′b), 1.21–1.04 (m, 3H, H-11′b, H-12′b, H-14′), 1.10 (s, 3H, H-19′), 0.97 (d, 3H, J20′-21′ = 7.0 Hz, H-21′), 0.91–0.85 (m, 1H, H-9′), 0.84–0.72 (m, 6H, H-18′, H-27′). Minor isomer δ: 8.86 (s, 1H, NH), 6.09 (s, 1H, H-4′), 1.95–1.91 (m, 1H, H-1′a). 13C NMR (126 MHz, CDCl3) major isomer δ: 175.5 (C=S), 158.7 (C-5′), 149.6 (C-3′), 138.2 (Ar), 128.8 (Ar), 125.9 (Ar), 124.0 (Ar), 120.3 (C-4′), 109.4 (C-22′), 80.7 (C-16′), 67.0 (C-26′), 62.1 (C-17′), 55.9 (C-14′), 53.6 (C-9′), 41.7 (C-20′), 40.4 (C-13′), 39.8 (C-12′), 38.1 (C-10′), 35.4 (C-8′), 34.6 (C-1′), 32.6 (C-6′), 32.3 (C-11′), 31.8 (C-15′), 31.4 (C-23′), 30.4 (C-25′), 28.9 (C-24′), 21.2 (C-7), 20.8 (C-2′), 17.9 (C-19′), 17.2 (C-27′), 16.5 (C-18′), 14.6 (C-21′), minor isomer δ: 175.7 (C=S), 164.1 (C-5′), 148.6 (C-3′), 138.2 (Ar), 128.7 (Ar), 125.8 (Ar), 124.1 (Ar), 110.2 (C-4′), 109.4 (C-22′), 62.1 (C-17′), 55.7 (C-14′), 54.1 (C-9′), 40.5 (C-13′), 39.7 (C-12′), 39.5 (C-10′), 36.4 (C-1′), 35.4 (C-8′), 33.5, 32.9, 27.8, 21.0, 18.2 (C-19′).
- 1-(3′-Hydroxyestra-1′,3′,5′(10′)-trien-17′-ylidene)-4-phenyl-3-thiosemicarbazone (22).
The title compound 22 was prepared using estrone 19 and a in 20 mL of EtOH according to the general procedure. White foam was obtained in 84% yield, after the reaction was refluxed for 6 h and stirred at room temperature for an additional 12 h. Column chromatography (9:1 hexane/ethyl acetate). 1H NMR (500 MHz, CDCl3) δ: 9.25 (s, 1H, PhNH), 8.63 (s, 1H, NNH), 7.67–7.59 (m, 2H, Ar), 7.45–7.37 (m, 2H, Ar), 7.27–7.23 (m, 1H, Ar), 7.15 (d, 1H, J1′-2′ = 8.6 Hz, H-1′), 6.69 (dd, 1H, Hz, J2′-4′ = 3.0 Hz, H-2′), 6.62 (d, 1H, H-4′), 6.57 (brs, 1H, OH-3′), 2.91–2.77 (m, 2H, H-6′), 2.47 (dd, 1H, J16′a-16′b = 18.2 Hz, J15′a-16′a = 8.8 Hz, J15′b-16′a = 0 Hz, H-16a), 2.41–2.36 (m, 1H, H-11′a), 2.35–2.20 (m, 2H, H-9′, H-16′b), 2.10–2.05 (m, 1H, H-12′a), 2.04–1.97 (m, 1H, H-15′a), 1.97–1.90 (m, 1H, H-7′a), 1.62–1.48 (m, 4H, H-8′, H-11′b, H-12′b, H-15′b), 1.45–1.34 (m, 2H, H-7′b, H-14′), 0.92 (s, 3H, H-18′). 13C NMR (126 MHz, CDCl3) δ: 175.71 (C=S), 167.5 (C-17′), 153.7 (C-3′), 137.9 (Ar), 137.7 (Ar), 131.7 (C-10′), 128.8 (Ar), 126.5 (C-1′), 126.2 (Ar), 124.7 (Ar), 115.4 (C-4′), 112.9 (C-2′), 52.2 (C-14′), 45.1 (C-13′), 43.9 (C-9′), 38.0 (C-8′), 33.9 (C-12′), 29.5 (C-6′), 27.1 (C-7′), 26.4 (C-16′), 26.1 (C-11′), 23.2 (C-15′), 17.1 (C-18′). HRFAB-MS m/z calcd. for C25H30N3OS [M + H]+: 420.2110, found: 420.2116.
- 1-(3′β-Acetoxy-5α-androstan-17′-ylidene)-4-phenyl-3-thiosemicarbazone (27).
The 3-hydroxyl group of trans-androsterone 25 was acylated under standard conditions [28]. The resulting 3-OAc trans-androsterone (3.3 mmol) was then treated with thiosemicarbazide a (3.97 mmol) in 50 mL of ethanol, following the general procedure. After refluxing for 6 h, the reaction mixture was stirred at room temperature for an additional 3 days. The crude product was isolated as a white foam in 46% yield. Purification by column chromatography (hexane/ethyl acetate, 9:1) afforded a fraction that was recrystallized by slow evaporation from a CH2Cl2/hexane/ethyl acetate solution at room temperature, yielding colorless crystals. mp = 216–219 °C. IR : 3357, 3286, 2929, 1731, 1535, 1243, 1178 cm−1. 1H NMR (500 MHz, CDCl3) δ: 9.21 (s, 1H, PhNH), 8.32 (s, 1H, NNH), 7.68–7.60 (m, 2H, Ar), 7.41–7.33 (m, 2H, Ar), 7.23–7.18 (m, 1H, Ar), 4.74–4.61 (m, 1H, H-3′), 2.44 (dd, 1H, J16′a-16′b = 18.2 Hz, J15′a-16′a = 8.6 Hz, J15′b-16′a = 0 Hz, H-16′a), 2.27 (dt, 1H, J15′a-16′b = J15′b-16′b = 8.7 Hz, H-16′b), 2.01 (s, 3H, OAc-3), 1.97–1.89 (m, 2H, H-12′a, H-15′a,), 1.86–1.79 (m, 1H, H-2′a), 1.76–1.70 (m, 2H, H-1′a, H-7′a), 1.69–1.59 (m, 2H, H-4′a, H-11′a,) 1.56–1.43 (m, 3H, H-2′b,H-8′, H-15′b), 1.39–1.24 (m, 5H, H-4′b, H-6′, H-11′b, H-12′b), 1.23–1.14 (m, 2H, H-5′, H-14′), 1.09–0.93 (m, 2H, H-1′b, H-7′b), 0.90 (s, 3H, H-18′), 0.85 (s, 3H, H-19′), 0.78–0.70 (m, 1H, H-9′). 13C NMR (126 MHz, CDCl3) δ: 176.12 (C=S), 170.8 (C=O), 166.8 (C=N), 138.1 (Ar), 128.8 (Ar), 126.0 (Ar), 124.3 (Ar), 73.59 (C-3′), 54.4 (C-9′), 53.5 (C-14′), 45.0 (C-13′), 44.7 (C-5′), 36.8 (C-1′), 35.7 (C-10′), 35.0 (C-8′), 34.1 (C-4′), 34.0 (C-12′), 31.4 (C-7′), 28.4 (C-6′), 27.5 (C-2′), 26.4 (C-16′), 23.5 (C-15′), 21.6 (COCH3), 20.7 (C-11′), 17.2 (C-18′), 12.3 (C-19′).
2.5. General Method for the Intramolecular Cyclization by Base-Catalyzed Acetylation Conditions
Dry pyridine (4 equivalents) and acetic anhydride (4 equivalents) were added to a solution of thio- or selenosemicarbazone compounds 8–10, 14, 17, 22, or 27 (1 equivalent) in dry chloroform. The reaction mixture was stirred and refluxed until the reaction was completed as detected by TLC. The solvent was removed under reduced pressure, and the residue was purified by column chromatography on silica gel to give the desired compounds.
- (5RS,22′R,25′R)-4-Acetyl-2-phenylamino-5-[27′-nor-3′β-acetoxyfurost-5′-en-25′-yl]-4,5-dihydro-1,3,4-thiadiazole (11).
The title compound 11 was prepared from 8 according to the general method to give a white solid in 54%. Isomer ratio = 7:3. A fraction was dissolved in CH2Cl2, and colorless crystals were obtained by slow evaporation of its solution at room temperature. m.p.: 175 °C (dec.). IR : 3269, 2943, 1729, 1595, 1444, 1237, 1029 cm−1. 1H-NMR (500 MHz, CDCl3) major isomer δ: 7.43–7.37 (m, 2H, Ar), 7.33–7.26 (m, 2H, Ar), 7.08 (s, 1H, NH), 7.04–7.00 (m, 1H, Ar), 6.16 (d, 1H, J5-25′ = 4.1 Hz, H-5), 5.37–5.32 (m, 1H, H-6′), 4.63–4.54 (m, 1H, H-3′), 4.32–4.21 (m, 1H, H-16′), 3.32–3.23 (m, 1H, H-22′), 2.39–2.24 (m, 6H, NCOCH3, H-4′, H-25′), 2.02 (s, 3H, OCOCH3), 2.00–1.89 (m, 2H, H-7′a, H-15′a), 1.88–1.80 (m, 2H, H-1′a, H-2′a), 1.74–1.64 (m, 2H, H-12′a, H-20′), 1.63–1.43 (m, 7H, H-2′b, H-8′, H-11′a, H-15′b, H-17′, H-23′), 1.42–1.37 (m, 1H, H-11′b), 1.36–1.29 (m, 2H, H-24′), 1.29–1.25 (m, 1H, H-7′b), 1.16–1.04 (m, 3H, H-1′b, H-12′b, H-14′), 1.01 (s, 3H, H-19′), 0.98–0.92 (m, 4H, H-9′, H-21′), 0.90 (d, 3H, J25′-26′ = 6.7 Hz, H-26′), 0.76 (s, 3H, H-18′). Minor isomer δ: 7.04–7.00 (m, 1H, NH), 6.10 (d, 1H, J5-25′ = 4.8 Hz, H-5), 2.19–2.13 (m, 1H, H-25′). 13C NMR (126 MHz, CDCl3) major isomer δ: 170.8 (OC=O), 168.8 (NC=O), 149.1 (C=N), 140.0 (Ar), 139.7 (C-5′), 129.2 (Ar), 122.9 (Ar), 122.5 (C-6′), 118.3 (Ar), 90.2 (C-22′), 83.4 (C-16′), 74.0 (C-3′), 73.3 (C-5), 65.1 (C-17′), 57.0 (C-14′), 50.0 (C-9′), 40.8 (C-13′), 39.5 (C-12′), 38.2 (C-4′), 38.0 (C-20′), 37.7 (C-25′), 37.1 (C-1′), 36.8 (C-10′), 32.3 (C-7′), 32.1 (C-15′), 31.6 (C-8′), 31.1 (C-23′), 29.9 (C-24′), 27.8 (C-2′), 22.6 (NCOCH3), 21.6 (OCOCH3), 20.7 (C-11′), 19.4 (C-19′), 19.0 (C-21′), 16.6 (C-18′), 12.6 (C-26′). Minor isomer δ: 171.4 (OC=O), 169.2 (NC=O), 149.4 (C=N), 129.2 (Ar), 122.8 (Ar), 118.2 (Ar), 90.0 (C-22′), 83.3 (C-16′), 73.2 (C-5), 65.0 (C-17′), 38.9 (C-25′), 36.8 (C-10′), 31.0 (C-23′), 27.3 (C-24′), 18.9 (C-21′), 16.5 (C-18′), 15.7 (C-27′).
- (5RS,22′R,25′R)-4-Acetyl-2-p-fluorophenylamino-5-[27′-nor-3′β-acetoxyfurost-5′-en-25′-yl]-4,5-dihydro-[1,3,4]selenadiazole (12).
The title compound 12 was prepared from 9 according to the general method to give a beige solid (56% yield from 7). Isomer ratio = 7:3. mp: 222 °C (dec.). IR : 3281, 2952, 1728, 1595, 1506, 1241, 1030 cm−1. 1H NMR (500 MHz, CDCl3, major isomer δ: 7.41–7.31 (m, 2H, Ar), 7.20–7.13 (m, 1H, NH), 7.04–6.94 (m, 2H, Ar), 6.50 (d, 1H, J5-25′ = 4.5 Hz, H-5), 5.40–5.32 (m, 1H, H-6′), 4.65–4.54 (m, 1H, H-3′), 4.32–4.21 (m, 1H, H-16′), 3.33–3.21 (m, 1H, H-22′), 2.38–2.27 (m, 5H, NCOCH3, H-4′), 2.24–2.18 (m, 1H, H-25′), 2.03 (s, 3H, OCOCH3), 2.00–1.89 (m, 2H, H-7′a, H-15′a), 1.87–1.81 (m, 2H, H-1′a, H-2′a), 1.74–1.65 (m, 2H, H-12′a, H-20′), 1.64–1.46 (m, 7H, H-2′b, H-8′, H-11′a, H-15′b, H-17′, H-23′), 1.44–1.34 (m, 1H, H-11′b), 1.34–1.20 (m, 3H, H-7′b, H-24′), 1.15–1.04 (m, 3H, H-1′b, H-12′b, H-14′), 1.02 (s, 3H, H-19′), 0.98–0.91 (m, 4H, H-9′, H-21′), 0.90–0.86 (m, 3H, H-26), 0.77 (s, 3H, H-18), minor diastereomer δ: 6.44 (d, 1H, J5-25′ = 5.3 Hz, H-5), 2.14–2.09 (m, 1H, H-25). 13C NMR (126 MHz, CDCl3) major isomer δ: 170.8 (OC=O), 169.0 (NC=O), 158.7 (d, 1JC, F = 242.5 Hz, Ar), 145.4 (C=N), 139.8 (C-5′),136.6 (Ar), 122.5 (C-6′), 120.2 (d, 3JC,F = 7.7 Hz, Ar), 115.9 (d, 2JC,F = 22.6 Hz, Ar), 90.3 (C-22′), 83.4 (C-16′), 74.1 (C-3′), 73.7 (C-5), 65.0 (C-17′), 57.0 (C-14′), 50.1 (C-9′), 40.8 (C-13′), 39.5 (C-12′), 38.2 (C-25′), 38.2 (C-4′), 38.0 (C-20′), 37.1 (C-1′), 36.8 (C-10′), 32.3 (C-7′), 32.1 (C-15′), 31.6 (C-8′), 31.1 (C-23′), 30.8 (C-24′), 27.8 (C-2′), 23.1 (NCOCH3), 21.6 (OCOCH3), 20.7 (C-11′), 19.5 (C-19′), 19.0 (C-21′), 16.6 (C-18′), 13.8 (C-26′), minor isomer δ: 169.4 (NC=O), 158.6 (d, 2JC,F = 242.9 Hz, Ar), 145.9 (C=N), 139.7 (C-5′), 120.0 (d, 3JC,F = 7.8 Hz, Ar), 115.8 (d, 2JC,F = 22.4 Hz, Ar), 73.3 (C-5), 39.3 (C-25′), 30.9 (C-23′), 28.3 (C-24′), 18.9 (C-21′), 14.0 (C-26′).
- (5RS,22′R,25′R)-4-Acetyl-2-p-metylphenylamino-5-[27′-nor-3′β-acetoxyfurost-5′-en-25′-yl]-4,5-dihydro-[1,3,4]selenadiazole (13).
Compound 5 was acylated under standard conditions [29], then proceeded according to the general method to give a yellowish solid (49% two steps). Isomer ratio: 1:1. mp: 231 °C (dec.). IR : 3284, 2934, 1731, 1661, 1601, 1245, 1034 cm−1. 1H-NMR (500 MHz, CDCl3) δ: 7.29–7.25 (m, 2H, Ar), 7.24–7.20 (m, 2H, Ar), 7.14–7.09 (m, 2H, Ar), 7.09–7.03 (m, 2H, Ar), 6.52, 6.12 (d each, 1H each, J5-25′ = 4.7 Hz, J5-25′ = 4.0 Hz, H-5′), 5.40–5.33 (m, 2H, H-6′), 4.64–4.54 (m, 2H, H-3′), 4.32–4.24 (m, 2H, H-16′), 3.32–3.23 (m, 2H, H-22′), 2.41 (s, 3H, PhCH3), 2.36–2.30 (m, 5H, H-4′, PhCH3), 2.29 (s, 3H, NCOCH3), 2.25–2.15 (m, 2H, H-25′), 2.03 (s, 3H, OCOCH3), 2.02–1.97 (m, 4H, H-7′a, H-15′a), 1.96 (s, 3H, OCOCH3), 1.90 (s, 3H, NCOCH3), 1.88–1.82 (m, 4H, H-1′a, H-2′a), 1.74–1.68 (m, 4H, H-1′a, H-20′), 1.63–1.44 (m, 16H, H-2′b, H-8′, H-11′, H-15′b, H-17′, H-23′), 1.26–1.23 (m, 4H, H-24′), 1.13–1.05 (m, 3H, H-1′b, H-12′b, H-14′), 1.03 (s, 6H, H-19), 0.98 (d, 6H, J20′-21′ = 6.8 Hz, H-21′), 0.95–0.91 (m, 2H, H-9′), 0.90, 0.82 (d each, 3H each, J25′-26′ = 6.7 Hz, J25′-26′ = 6.5 Hz, H-26′), 0.78 (s, 6H, H-18′). 13C-NMR (126 MHz, CDCl3) δ: 170.9 (OC=O), 170.7 (OC=O), 170.0 (NC=O), 168.9 (NC=O), 145.7 (C=N), 145.1 (C=N), 139.8 (C-5′), 139.3 (Ar), 137.8 (Ar), 137.4 (Ar), 133.1 (Ar), 130.6 (Ar), 129.8 (Ar), 128.0 (Ar), 122.6 and 122.5 (C-6′), 119.1 (Ar), 90.2 and 90.1 (C-22′), 83.4 (C-16′), 74.0 (C-3′), 73.7 and 69.6 (C-5), 65.3 and 65.2 (C-17′), 57.0 (C-14′), 50.1 (C-9′), 40.8 (C-13′), 39.5 (C-12′), 38.2 (C-4′), 38.0 (C-20′), 37.9 (C-25′), 37.1 (C-1′), 36.8 (C-10′), 36.7 (C-25′), 32.3 (C-7′), 32.1 (C-15′), 31.7 (C-8′), 30.9 and 29.9 (C-24′), 30.7 (C-23′), 27.9 (C-2′), 23.8 and 21.6 (OCOCH3), 23.0 and 22.5 (NCOCH3), 21.4 and 20.9 (PhCH3), 20.8 (C-11′), 19.5 (C-19′), 19.1 (C-21′), 16.6 (C-18′), 14.0 and 13.4 (C-26′).
- (5″RS)-N, N′-bis-(4″-Acetyl-5″-(27‴-nor-3‴β-acetoxy-(22‴R,25‴R)-furost-5‴-en-25‴-yl)-4″,5″-dihydro-[1″,3″,4″]thiadiazol-2″-yl)-p-phenylendiamine (15).
The title compound 15 was prepared from 14 according to the general method to give a white foam in 71%. Isomer ratio: 7:3. IR : 3279, 2947, 1728, 1597, 1511, 1247, 1032 cm−1. 1H-NMR (500 MHz, CDCl3) major isomer δ: 7.38–7.27 (m, 4H, Ar), 6.20–6.12 (m, 1H, H-5″), 5.38–5.30 (m, 2H, H-6), 4.64–4.52 (m, 2H, H-3‴), 4.33–4.20 (m, 2H, H-16‴), 3.33–3.20 (m, 2H, H-22‴), 2.34–2.26 (m, 12H, NCOCH3, H-4‴, H-25‴), 2.03 (s, 6H, OCOCH3), 2.00–1.89 (m, 4H, H-7‴a, H-15‴a), 1.85–1.78 (m, 4H, H-2‴a, H-1‴a), 1.75–1.67 (m, 4H, H-20‴, H-12‴a), 1.63–1.45 (m, 14H, H-17‴, H-23‴, H-2‴b, H-8‴, H-15‴b, H-11‴a), 1.43–1.36 (m, 2H, H-11‴b), 1.35–1.29 (m, 2H, H-24‴a), 1.28–1.22 (m, 4H, H-7‴b, H-24‴b), 1.14–1.03 (m, 6H, H-1‴b, H-12‴b, H-14‴), 1.02–0.98 (m, 6H, H-19‴), 0.97–0.93 (m, 6H, H-21‴), 0.92–0.85 (m, 8H, H-9‴, H-26‴), 0.77 (s, 3H, H-18‴), minor isomer δ: 6.08 (d, 1H, J = 4.6 Hz, H-5″), 0.75 (s, 3H, H-18‴). 13C NMR (126 MHz, CDCl3) major isomer δ: 170.8 (OC=O), 168.5 (NC=O), 149.3 (C=N), 139.6 (C-5), 135.2 (Ar), 122.4 (C-6‴), 119.2 (Ar), 90.2 (C-22‴), 83.3 (C-16‴), 74.0 (C-3‴), 73.2 (C-5″), 64.8 (C-17‴), 56.8 (C-14‴), 49.9 (C-9‴), 40.7 (C-13‴), 39.3 (C-12‴), 38.1 (C-4‴), 37.9 (C-20‴), 37.6 (C-25‴), 37.0 (C-1‴), 36.7 (C-10‴), 32.2 (C-7‴), 32.0 (C-15‴), 31.5 (C-8‴), 31.0 (C-23‴), 29.8 (C-24‴), 27.7 (C-2‴), 22.6 (NCOCH3), 21.6 (OCOCH3), 20.6 (C-11‴), 19.4 (C-19‴), 18.9 (C-21‴), 16.5 (C-18‴), 12.4 (C-26‴), minor isomer δ: 168.6 (NC=O), 135.0 (Ar), 119.0 (Ar), 90.4 (C-22‴), 73.1 (C-5″), 64.7 (C-17‴), 38.6 (C-25‴), 36.7 (C-10‴), 29.9 (C-24‴), 22.8 (NCOCH3), 19.3 (C-19‴), 18.8 (C-21‴), 15.6 (C-26‴).
- (3′ξ-22′R,25′R)-4-Acetyl-2-phenylamino-spiro[spirost-4′-en-3′,5-[1,3,4]-thiadiazoline] (18).
The title compound 18 was prepared from 17 (26 mg, 0.043 mmol), pyridine (14 mL, 0.17 mmol), and Ac2O (16 mL, 0.17 mmol) for 2 h according to the general method to give a colorless oil in 69%. IR : 3193, 2923, 2852, 1598, 1560, 1051 cm−1. 1H NMR (500 MHz, CDCl3) δ: 7.37–7.27 (m, 4H, Ar), 7.09–6.98 (m, 1H, Ar), 6.44–6.28 (m, 1H, NH), 5.59 (s, 1H, H-4′), 4.42–4.36 (m, 1H, H-16′), 3.50–3.44 (m, 1H, H-26′a), 3.37 (t, 1H, J26′a-26′b = J25′-26′b = 11.0 Hz, H-26′b), 2.85 (td, 1H, J2′a-2′b = J1′a-2a’ = 13.8 Hz, J1′b-2′a = 2.6 Hz, H-2′a), 2.31–2.20 (m, 4H, NAc, H-6′a), 2.15–2.03 (m, 2H, H-2′b, H-6′b), 2.01–1.95 (m, 1H, H-15′a), 1.91–1.83 (m, 2H, H-1′a, H-20′), 1.79–1.70 (m, 3H, H-17′, H-7′a, H-12′a), 1.68–1.56 (m, 5H, H-8′, H-23′a, H-23′b, H-24′a, H-25′), 1.52–1.32 (m, 4H, H-1′b, H-11′a, H-11′b, H-24′b,), 1.30–1.26 (m, 1H, H-15′b), 1.17–1.04 (m, 5H, H-12′b, H-14′, H-19′), 0.96 (d, 3H, J20′-21′ = 7.0 Hz, H-21′), 0.90–0.86 (m, 1H, H-7′b), 0.80–0.77 (m, 6H, H-18′, H-27′), 0.76–0.69 (m, 1H, H-9′). 13C NMR (126 MHz, CDCl3) δ: 168.4 (C=O), 146.6 (C-5′), 145.8 (C=N), 139.8 (Ar), 129.3 (Ar), 123.0 (Ar), 120.0 (C-4′), 118.4 (Ar), 109.5 (C-22′), 83.8 (C-3′), 80.9 (C-16′), 67.0 (C-26′), 62.2 (C-17′), 56.0 (C-14′), 54.4 (C-9′), 41.7 (C-20′), 40.6 (C-13′), 40.0 (C-12′), 37.2 (C-10′), 35.9 (C-1′), 35.5 (C-8′), 32.6 (C-7′), 32.0 (C-6′), 31.8 (C-15′), 31.5 (C-2′, C-23′), 30.4 (C-25′), 28.9 (C-24′), 24.4 (COCH3), 21.1 (C-11′), 17.9 (C-19′), 17.3 (C-27′), 16.5 (C-18′), 14.6 (C-21′).
- (17′RS)-4-Acetyl-2-acetylamino-spiro-[3′-acetoxyestra-1′,3′,5′(10′)-trien-17′,5-[1,3,4]-thiadiazoline] (21).
The title compound 21 was prepared from the condensation of 19 (150 mg, 0.55 mmol) and TSC (61 mg, 0.67 mmol) in 20 mL of EtOH for 15 h reflux and 2 d at r.t. to give the intermediate 20. The whole resulting crude 20 was dissolved in Ac2O (3 mL), stirred, and heated at 100 °C for 3 h. After completion of the reaction, the mixture was allowed to reach r.t., and cold water was added, and the precipitate was filtered. The collected solid was dried under reduced pressure to give a residue, which was purified by silica gel chromatography to give an isomeric mixture as white foam (91%). Column chromatography (85:15 hexane/ethyl acetate). Isomer ratio: 1:1. IR : 3224, 3164, 2929, 2863, 1762, 1607, 1369, 1206 cm−1. 1H NMR (500 MHz, CDCl3) δ: 10.35–9.90 (m, 1H, NH), 7.19 and 7.14 (d each, 1H each, J1′-2′ = 8.5 Hz, J1′-2′ = 8.2 Hz, H-1′), 6.84–6.78 (m, 2H, H-2′), 6.78–6.74 (m, 2H, H-4′), 4.48–4.36 (m, 1H, H-16′a), 3.09 (ddd, 1H, J16′a-16′b = 14.2 Hz, J16′a-15′a = 8.6 Hz, J16′a-15′b = 4.9 Hz, H-16′a), 2.90–2.76 (m, 4H, H-6′), 2.34–2.29 (m, 1H, H-16′b), 2.29–2.05 (m, 24H, OAc, NAc, NHAc, H-11′a, H-9′, H-16′b, H-15′a), 1.99 (td, 1H, J12′a-12′b = J12′a -11′a = 12.7 Hz, J12′a -11′b = 4.2 Hz, H-12′a), 1.93–1.84 (m, 3H, H-7′a, H-14′), 1.83–1.73 (m, 1H, H-15′a), 1.65–1.59 (m, 1H, H-12′a), 1.59–1.53 (m, 1H, H-12′b), 1.50–1.26 (m, 10H, H-7′b, H-8′, H-11′b, H-12′b, H-14′, H-15′b,), 0.94 (s, 3H, H-18′), 0.85 (s, 3H, H-18′). 13C NMR (126 MHz, CDCl3) δ: 171.5 and 171.0 (NC=O), 170.0 × 2 (OC=O), 169.4 × 2 (NHC=O), 148.3 × 2 (C-3), 148.1 and 147.8 (C=N), 138.1 and 138.0 (C-5), 137.5 and 137.4 (C-10), 126.2 and 126.1 (C-1), 121.5 and 121.4 (C-4), 118.6 and 118.5 (C-2), 92.6 and 91.7 (C-17), 52.8 and 51.9 (C-13), 49.3 and 46.2 (C-14), 43.2 × 2 (C-9), 39.4 and 38.6 (C-8), 31.8 and 31.6 (C-12), 30.6 and 29.8 (C-16), 29.4 and 29.3 (C-6), 27.5 and 27.0 (C-7), 25.9 × 2 (C-11), 24.9 and 24.8 (NCOCH3), 24.6 and 22.9 (C-15), 23.1 and 23.0 (NHCOCH3), 21.1 × 2 (OCOCH3), 15.1 and 14.8 (C-18). HRFAB-MS m/z calcd. for C25H32N3O4S [M + H]+: 470.2114, found: 470.2147.
- (17RS)-4-Acetyl-2-phenylamino-spiro-[3′-acetoxyestra-1′,3′,5′(10′)-trien-17′,5-[1,3,4]-thiadiazoline] (23).
The title compound 23 was prepared from 22 (100 mg, 0.24 mmol), pyridine (96 mL, 1.19 mmol), and Ac2O (112 mL, 1.19 mmol) for 11.5 h according to the general method to give a yellowish foam in 71% yield. Isomer ratio: 3:2. IR : 3278, 3200, 2921, 2852, 1763, 1595, 1376, 1206 cm−1. 1H NMR (500 MHz, CDCl3) major isomer δ: 7.44–7.38 (m, 2H, Ar), 7.34–7.29 (m, 2H, Ar), 7.22 (d, 1H, J1′-2′ = 8.6 Hz, H-1′), 7.06–7.02 (m, 1H, Ar), 6.82 (dd, 1H, J2′-4′ = 2.4 Hz, H-2′), 6.76 (d, 1H, H-4′), 3.21 (ddd, 1H, J16′a-16′b = 14.9 Hz, J16′a-15′a = 9.1 Hz, J16′a-15′b = 4.5 Hz, H-16′a), 2.91–2.76 (m, 2H, H-6′), 2.40–2.32 (m, 4H, NAc, H-16′b), 2.32–2.25 (m, 4H, H-11′a, OAc), 2.24–2.15 (m, 2H, H-9′, H-15′a), 1.99–1.87 (m, 2H, H-7′a, H-14′), 1.68 (dt, 1H, J12a-12b = 12.1 Hz, J12a -11a = J12a -11b = 3.3 Hz, H-12′a), 1.55–1.38 (m, 4H, H-7′b, H-8, H-11′b, H-12′b), 1.34–1.28 (m, 1H, H-15′b), 0.88 (s, 3H, H-18). Minor isomer δ: 7.22 (d, 1H, J1′-2′ = 8.5 Hz, H-1′), 6.78 (d, 1H, J2′-4′ = 2.4 Hz, H-4′), 4.63 (ddd, 1H, J16′a-16′b = 15.3 Hz, J15a’-16a’ = 11.7 Hz, J15′b-16′a = 3.4 Hz, H-16′a), 2.24–2.15 (m, 1H, H-16′b), 1.99–1.87 (m, 2H, H-7′a, H-12′), 1.83–1.79 (m, 1H, H-15a’), 1.78–1.74 (m, 1H, H-12′), 1.55–1.38 (m, 2H, H-14′, H-15′b), 1.34–1.28 (m, 1H, H-7′b), 1.03 (s, 3H, H-18′). 13C NMR (126 MHz, CDCl3) major isomer δ: 170.3 (NC=O), 170.1 (OC=O), 148.8 (C=N), 148.4 (C-3′), 140.0 (Ar), 138.5 (Ar), 138.0 (Ar), 129.2 (Ar), 126.4 (C-1′), 122.8 (ArC), 121.6 (C-4′), 118.6 (C-2′), 118.3 (Ar), 94.4 (C-17′), 53.0 (C-13′), 49.0 (C-14′), 43.3 (C-9′), 39.9 (C-8′), 32.4 (C-12′), 30.1 (C-16′), 29.6 (C-6′), 27.5 (C-7′), 26.3 (C-11′), 25.5 (NCOCH3), 24.7 (C-15′), 21.3 (OCOCH3), 15.6 (C-18′), Minor isomer δ: 170.7 (NC=O), 148.9 (C=N), 148.5 (C-3′), 138.2 (Ar), 137.6 (Ar), 126.5 (C-1′), 121.6 (C-4′), 118.7 (C-2′), 118.2 (Ar), 95.8 (C-17′), 52.3 (C-13′), 47.0 (C-14′), 43.7 (C-9′), 38.8 (C-8′), 32.3 (C-12′), 29.5 (C-6′), 29.5 (C-16′), 27.3 (C-7′), 26.1 (C-11′), 25.7 (NCOCH3), 23.2 (C-15′), 15.2 (C-18′).
- (17RS)-4-Acetyl-2-acetylamino-spiro-[3′β-acetoxy-5′α-androstane-17′,5-[1,3,4]-thiadiazoline] (26).
The title compound 26 was prepared from 24 (240 mg, 0.70 mmol), and TSC (76 mg, 0.84 mmol) in 25 mL of EtOH for 4 h reflux and 4 d at r.t to give the intermediate 25. The resulting crude 25 was dissolved in Ac2O (5 mL), stirred, and heated at 90 °C for 2 h. After completion of the reaction, the mixture was allowed to reach r.t., cold water was added, and the precipitate was filtered. The collected solid was dried under reduced pressure to give a residue, which was purified by silica gel chromatography to give the isomeric mixture as a white foam in 89% yield. Isomer ratio: 8:2. Column chromatography (8:2 hexane/ethyl acetate). IR : 3158, 2927, 2851, 1732, 1610, 1376, 1237 cm−1. 1H NMR (500 MHz, CDCl3) major isomer δ: 9.69–9.35 (m, 1H, NH), 4.69–4.57 (m, 1H, H-3′), 3.00 (ddd, 1H, J16′a-16′b = 15.1 Hz, J16′a-15′a = 9.3 Hz, J16′a-15b = 4.9 Hz, H-16′a), 2.21 (ddd, 1H, J16′b-15′a = 11.3 Hz, J16′b-15′b = 3.7 Hz, H-16′b), 2.18–2.14 (m, 6H, 2xNAc), 1.99 (s, 3H, OAc), 1.96–1.91 (m, 1H, H-15′a), 1.80–1.73 (m, 1H, H-2′a), 1.70–1.59 (m, 3H, H-1′a, H-7′a, H-14′), 1.58–1.48 (m, 2H, H-4′a, H-11′a), 1.47–1.38 (m, 2H, H-2′b, H-12′a), 1.38–1.27 (m, 2H, H-4′b, H-8′), 1.26–1.03 (m, 6H, H-5′, H-6′, H-11′b, H-12′b, H-15′b), 1.00–0.88 (m, 2H, H-1′, H-7′b), 0.78 (s, 3H, H-18′), 0.77 (s, 3H, H-19′), 0.66–0.55 (m, 1H, H-9′), minor isomer δ: 9.88–9.75 (m, 1H, NH), 4.33 (ddd, 1H, J16′a-16′b = 15.1 Hz, J16′a-15′a = 11.7 Hz, J16′a-15′b = 3.4 Hz, H-16′a), 2.08–2.03 (m, 1H, H-16′b), 1.26–1.03 (m, 1H, H-14′), 0.85 (s, 3H, H-18′). 13C NMR (126 MHz, CDCl3) major isomer δ: 171.0 (OC=O), 170.8 (NC=O), 169.1 (NHC=O), 147.6 (C=N), 92.1 (C-17′), 73.7 (C-3′), 53.5 (C-9′), 52.8 (C-13′), 50.1 (C-14′), 44.6 (C-5′), 36.7 (C-1′), 36.7 (C-8′), 35.5 (C-10′), 33.9 (C-4′), 31.9 (C-12′, C-7′), 30.8 (C-16′), 28.5 (C-6′), 27.4 (C-2′), 25.0 (C-15′), 24.9 (NCOCH3), 23.3 (NCOCH3), 21.5 (OCOCH3), 20.9 (C-11′), 15.1 (C-18′), 12.2 (C-19′). Minor isomer δ: 170.0 (NC=O), 169.3 (NHC=O), 147.8 (C=N), 93.0 (C-17′), 51.9 (C-13′), 47.1 (C-14′), 44.5 (C-5′), 35.8 (C-8′), 35.5 (C-10′), 31.6 (C-12′), 29.9 (C-16′), 28.4 (C-6′), 24.0 (NCOCH3), 15.2 (C-18′), 12.3 (C-19′).
- (17RS)-4-Acetyl-2-phenylamino-spiro[-3′β-acetoxy-5′α-androstane-17′,5-[1,3,4]-thiadiazoline] (28).
The mixture of epimers 28a and 28b was prepared from 27 (100 mg, 0.24 mmol), pyridine (78 mL, 0.96 mmol), and Ac2O (90 mL, 0.96 mmol) for 24 h according to the general method to give a yellowish solid in 60%. Two fractions were dissolved in two different solvent systems, hexane/ethyl acetate and hexane/ethyl acetate/Et2O/pyridine, and in both cases, colorless crystals were obtained by slow evaporation of their solution at r.t. without separation of the isomers. Isomer ratio: 6:4. IR : 3277, 2932, 2855, 1732, 1596, 1379, 1240 cm−1. 1H NMR (500 MHz, CDCl3) major isomer δ: 7.40–7.34 (m, 2H, Ar), 7.34–7.28 (m, 2H, Ar), 7.07–7.00 (m, 1H, Ar), 6.39–6.31 (m, 1H, NH), 4.71–4.61 (m, 1H, H-3), 3.13 (ddd, 1H, J16′a-16′b = 15.0 Hz, J16′a-15′a = 9.3 Hz, J16′a-15′b = 4.7 Hz, H-16′a), 2.33 (s, 3H, NAc), 2.27 (ddd, 1H, J16′b-15′a = 11.2 Hz, J16′b-15′b = 3.6 Hz, H-16′b), 2.08–2.03 (m, 1H, H-15′), 2.01 (s, 3H, OAc), 1.83–1.76 (m, 1H, H-2′a), 1.74–1.65 (m, 4H, H-1′a, H-7′a, H-14′, H-15′), 1.61–1.31 (m, 6H, H-2′b, H-4′, H-8′, H-11′a, H-12′a), 1.31–1.10 (m, 6H, H-5′, H-6′, H-11′b, H-12′b, H-15′), 1.07–0.97 (m, 2H, H-1′b, H-7′b), 0.82 (s, 3H, H-18′), 0.80 (s, 3H, H-19′), 0.70–0.60 (m, 1H, H-9′). Minor isomer δ: 4.54 (ddd, 1H, J16′a-16′b = 15.4 Hz, J16′a-15′a = 11.9 Hz, J16′a-15′b = 3.2 Hz, H16′a), 2.34 (s, 3H, NAc), 2.15–2.09 (m, 1H, H-16′b), 2.02 (s, 3H, OAc), 1.74–1.65 (m, 1H, H-7′a), 1.61–1.31 (m, 1H, H-15′), 1.31–1.10 (m, 1H, H-14′), 0.96 (s, 3H, H-18′), 0.93–0.87 (m, 1H, H-7′b), 0.81 (s, 3H, H-19′). 13C NMR (126 MHz, CDCl3) major isomer δ: 170.9 (OC=O), 170.1 (NC=O), 148.5 (C=N), 139.8 (Ar), 129.3 (Ar), 123.0 (Ar), 118.3 (Ar), 94.9 (C-17′), 73.8 (C-3′), 53.4 (C-9′), 52.9 (C-13′), 49.8 (C-14′), 44.6 (C-5′), 37.0 (C-8′), 36.8 (C-1′), 35.6 (C-10′), 34.1 (C-4′), 32.4 (C-12′), 31.9 (C-7′), 30.1 (C-16′), 28.6 (C-6′), 27.5 (C-2′), 25.5 (NCOCH3), 25.0 (C-15′), 21.6 (OCOCH3), 21.1 (C-11′), 15.7 (C-18′), 12.3 (C-19′). Minor diastereomer δ: 171.0 (OC=O), 170.6 (NC=O), 148.8 (C=N), 139.8 (Ar), 129.3 (Ar), 123.0 (Ar), 118.2 (Ar), 96.4 (C-17′), 73.8 (C-3′), 54.0 (C-9′), 52.2 (C-13′), 47.9 (C-14′), 44.7 (C-5′), 36.9 (C-1′), 36.0 (C-8′), 35.6 (C-10′), 34.1 (C-4′), 32.3 (C-12′), 31.8 (C-7′), 29.4 (C-16′), 28.5 (C-6′), 25.7 (NCOCH3), 23.4 (C-15′), 20.9 (C-11′), 15.2 (C-18′), 12.4 (C-19′).
3. Results
3.1. Synthesis of Dimeric Derivatives
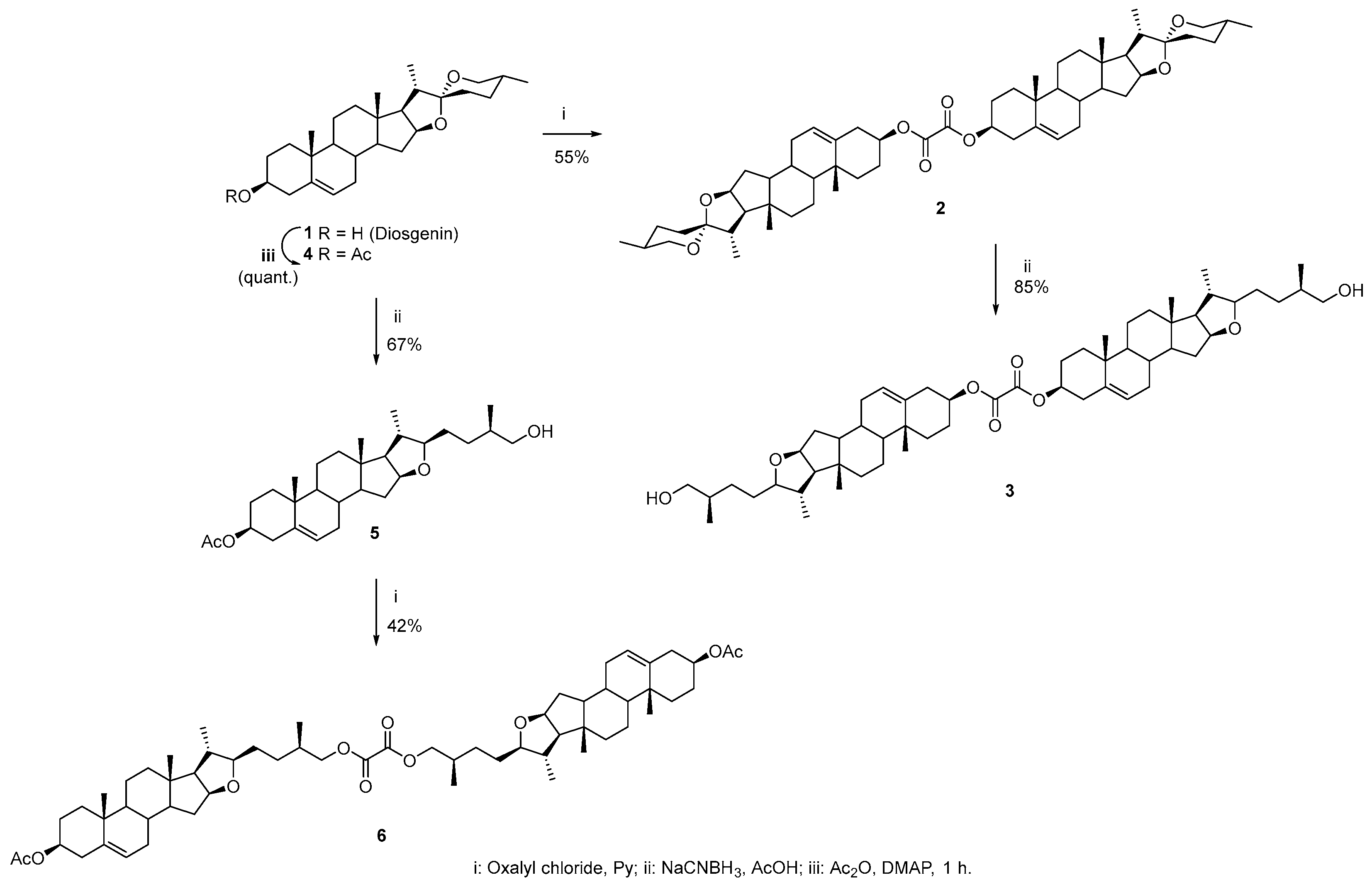
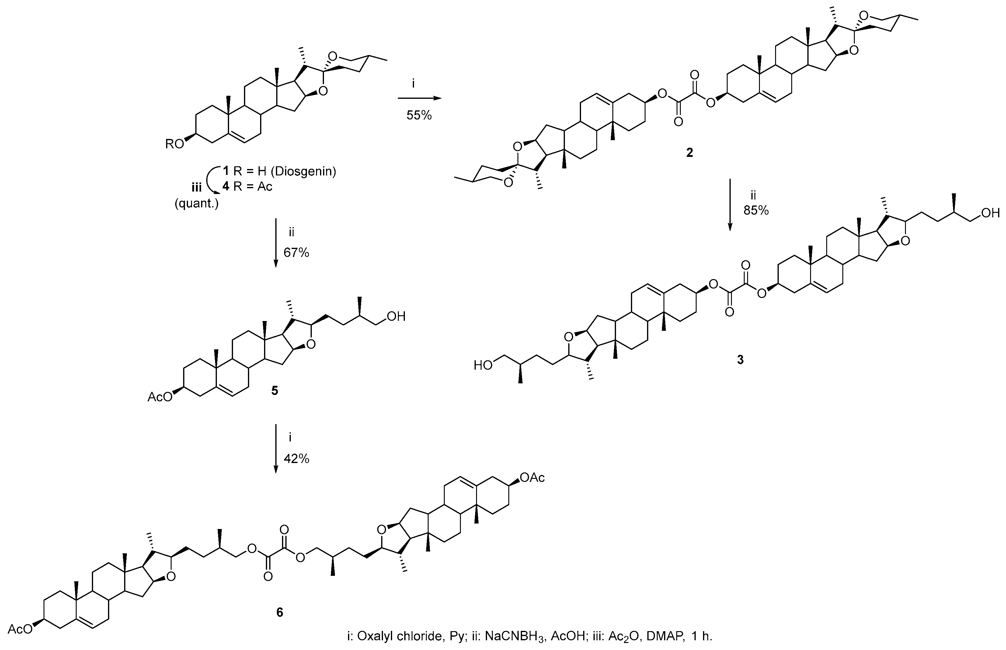
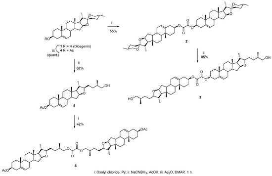
Diosgenin 1, a widely studied and commercially available steroidal compound of pharmacological interest, was employed as the starting material to obtain a series of novel dimeric derivatives. Compound 2 was synthesized through a base-catalyzed acylation reaction using oxalyl chloride as a bifunctional linker. Subsequent regioselective opening of the spiroketal moiety of 2 was achieved under mild reductive conditions (AcOH/NaCNBH3) following a reported procedure [30], affording the 26-hydroxylated dimer 3 in 85% yield (Scheme 1). The structures of compounds 2 and 3 were confirmed by single-crystal X-ray diffraction (Figure 1).
Scheme 1.
Synthesis of dimeric derivatives 2 and 3 from diosgenin 1.
A second dimeric structure was synthesized starting from the known diosgenin acetate 4, prepared according to the reported procedure [31]. Reductive F-ring opening of 4, carried out under previously described conditions (AcOH/NaCNBH3) [30], afforded the new compound 5, whose molecular structure was confirmed by single-crystal X-ray diffraction (Figure 2). Subsequent esterification of the 26-OH group of 5 with oxalyl chloride yielded the novel dimeric derivative 6.
Figure 2.
ORTEP views of compounds 2, 3, and 5 (30% probability ellipsoids).
Dimeric steroidal derivatives, such as those obtained through oxalyl-linked diosgenin frameworks, represent an important class of molecular architectures in steroid chemistry. The incorporation of bifunctional linkers into the steroidal backbone has been reported as a strategy to increase molecular size, modulate lipophilicity, and explore novel pharmacophoric interactions that are not accessible with monomeric analogs. Although in this study these dimers could not be biologically evaluated due to solubility limitations, their structural relevance lies in expanding the chemical diversity of the steroidal scaffold and offering potential platforms for further derivatization and bioactivity optimization.
3.2. Synthesis of Thio- and Selenadiazolines
After exploring the synthesis of oxalate-linked dimers as a strategy to increase molecular complexity and flexibility, our attention was directed toward the introduction of heterocyclic linkers to further diversify the steroidal scaffold. In this context, thio- and selenosemicarbazones were selected as versatile intermediates, not only due to their intrinsic pharmacological relevance but also because they can undergo intramolecular cyclization to yield 1,3,4-thia(selena)diazoline systems. The following section describes the general synthetic approach used to access these heterocycles.
To provide a comprehensive overview of the synthetic approach, a general scheme (Scheme 2) is presented, summarizing all transformations leading to the steroidal 1,3,4-thia(selena)diazoline derivatives. This scheme integrates the individual synthetic routes described in detail in the following sections, highlighting the starting materials, key intermediates, and final products obtained. As part of this strategy, the construction of a heterocyclic linker was achieved through the formation of thio- and selenosemicarbazone fragments. These intermediates may exist as Z/E isomers due to restricted rotation around the C–N bond, which exhibits partial double-bond character by resonance. Consequently, a rotameric equilibrium can theoretically be observed in all thio- and selenosemicarbazones. Upon intramolecular cyclization under basic conditions, the nucleophilic sulfur or selenium atom can attack from either the top or bottom face of the molecule, leading to mixtures of epimers. Scheme 2 summarizes this general synthetic route, also illustrating the possible formation of the different stereoisomers.
Scheme 2.
General synthetic route to steroidal 1,3,4-thia(selena)diazolines, illustrating the possible Z/E rotamers of thio(sele-no)semicarbazones and the epimeric products obtained upon cyclization.
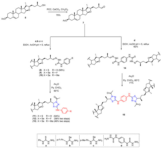
The known furostanic aldehyde 7, obtained by oxidation of compound 5 with PCC/CaCO3 [32], was condensed with a series of thio- and selenosemicarbazides (a–d) [33,34] to afford the new thio- and selenosemicarbazones (compounds 8–10 and 14). Owing to their limited stability, selenium derivatives 9 and 10 were not purified and were instead used directly in the subsequent cyclization step. Intramolecular heterocyclization under base-catalyzed acetylation conditions [35,36] furnished the new 1,3,4-thia- and 1,3,4-selenadiazolines (compounds 11–13 and 15) (Scheme 3). Yellowish crystals of compound 11 suitable for X-ray diffraction were obtained by slow evaporation of a CH2Cl2 solution at room temperature, allowing unambiguous structural confirmation. Although the heterocyclic ring is formed at the flexible side chain of the steroid framework, a degree of stereoselectivity was observed in the cyclization of thiadiazolines 11 and 15 and selenadiazoline 12, likely influenced by the steric effect of the C-27 methyl group, as all cases yielded epimeric mixtures in a 7:3 ratio.
Scheme 3.
Synthesis of thia- and selenadiazolines 11–13 and 15 from 5.
Moreover, the α,β-unsaturated ketone 16, a known derivative of diosgenin synthesized following the reported methodology [37], was used as a starting material for the preparation of novel compounds. Condensation of 16 with thiosemicarbazide a afforded the new thiosemicarbazone 17 (Scheme 4). NMR analysis of 17 in CDCl3 revealed the presence of two E/Z rotamers in a 7:3 ratio, attributed to the partial double-bond character of the N–CS linkage, resulting from delocalization of the nitrogen lone pair. The vinyl proton (H-4) appeared as two distinct signals at 5.86 and 6.09 ppm, corresponding to the major and minor rotamers, respectively. Based on the deshielding effect observed, the minor isomer was tentatively assigned to the Z rotamer, in which the sulfur atom is positioned syn to H-4, thereby enhancing the downfield shift of the vinylic signal.
Scheme 4.
Synthesis and cyclization of thiosemicarbazone 17 to spiro compound 18.
Slow evaporation of a CH2Cl2/EtOH/MeOH solution of compound 17 afforded crystals suitable for single-crystal X-ray diffraction analysis. The solid-state structure confirmed the presence of the E rotamer, in agreement with its predominance in solution and consistent with the reduced steric hindrance around the C=N bond. Subsequent intramolecular cyclization of 17, promoted by acetic anhydride and pyridine, furnished the spiro compound 18 as a single isomer. The stereoselectivity observed can be rationalized by the preferential attack of the sulfur atom on the more hindered molecular face, which minimizes steric repulsion involving the N-acetyl substituent (NAc–H and NAc–CH3) (Figure 3) [30,31]. According to this model, the configuration at the newly generated stereocenter is proposed to be S.
Figure 3.
Proposed steric model for the stereoselective formation of compound 18.
Commercially available estrone (19) and trans-androsterone (24) were employed as starting materials (Scheme 5). Condensation of estrone (19) with thiosemicarbazides TSC and a afforded the corresponding thiosemicarbazones 20 and 22, respectively. While compound 20 was not isolated, its crude product was subjected to intramolecular cyclization with acetic anhydride at high temperature to furnish the spirothiadiazolines 21 as a 1:1 epimeric mixture in excellent yield. In contrast, thiosemicarbazone 22 was isolated and subsequently cyclized under Ac2O/pyridine conditions, affording the diastereoisomeric thiadiazolines 23 in a 6:4 ratio. The modest diastereoselectivity may be attributed to the steric effects of the substituents on the amino residue (Ac or Ph).
Scheme 5.
Synthesis of spirothiadiazolines 21, 23, 26, and 28.
A similar strategy was applied to trans-androsterone (24). Condensation with thiosemicarbazides provided the crude thiosemicarbazone 25, which, without isolation, was converted into the spirothiadiazolines 26 in an 8:2 epimeric ratio. The preferential formation of the major epimer likely arises from the structural arrangement of the steroidal core and the steric influence of the neighboring methyl group. In contrast, thiosemicarbazone 27 was successfully isolated as yellow crystals and further cyclized to give the diastereomeric mixture 28, which was also analyzed by single-crystal X-ray diffraction.
The epimeric pair 28 yielded single crystals for both stereoisomers. Epimer 28a (Figure 4) crystallized as a hydrate in the space group P1, containing one molecule per unit cell. In contrast, epimer 28b crystallized in the space group C2, incorporating lattice solvent: half a pyridine molecule disordered by symmetry along the two-fold axis, together with one water molecule in a general position. For the pyridine molecule, bond lengths were refined with DFIX restraints and rigid-bond (RIGU) constraints to ensure reasonable geometry and displacement parameters. Apart from this adjustment, refinements for both epimers were performed without additional geometric restraints.
Figure 4.
ORTEP views of epimers 28a and 28b (30% probability ellipsoids).
3.3. Antiproliferative Activity
A preliminary study of the antiproliferative activity of 21, 22, and 27 was carried out against a panel of six representative human solid tumor cell lines, following the guidelines of the National Cancer Institute [26]. From the set of compounds submitted to biological tests, thiosemicarbazone 17 was insoluble under such conditions. The results, expressed as GI50, are given in Table 1. The anticancer compound cisplatin was used as a reference drug. Overall, the results showed that compounds 22 and 27 were the most active compounds, with better antiproliferative activity than cisplatin against T-47D and WiDr cells.
Table 1.
Antiproliferative activity (GI50) of compounds 21, 22, and 27 against human cancer cells 1.
4. Discussion
The synthetic strategy presented here enables the construction of structurally diverse steroidal derivatives containing 1,3,4-thia(selena)diazoline motifs. The regioselectivity observed during the spiroketal reduction and subsequent cyclization aligns with previous findings on steroidal reactivity patterns and highlights the influence of angular methyl groups on diastereoselective ring closure [1].
The rotameric behavior observed in some thiosemicarbazones is in agreement with literature reports describing hindered rotation around the N–CS (thioamide functional group) bond due to conjugation and steric effects [31]. This phenomenon gives rise to distinct E/Z rotamers, as demonstrated for compound 17 by the presence of duplicated vinylic signals in the 1H NMR spectrum, with the major isomer unambiguously assigned as the E rotamer through both chemical shift analysis and single-crystal X-ray diffraction.
For the intramolecular cyclization reactions, the formation of epimeric mixtures (e.g., compounds 21, 23, 26, and 28) indicates that both stereochemical pathways are accessible. The relative proportions of the epimers (7:3 or 8:2 ratios) reflect steric constraints imposed by substituents on the steroidal core, particularly the neighboring C-27 or angular methyl groups, which bias the approach of the nucleophilic sulfur atom. Importantly, single-crystal structures of selected products (11, 17, 27, and both epimers of 28) confirmed the stereochemical outcome and support the proposed stereoelectronic model for the cyclization.
In principle, the cyclization could generate two possible epimers at the newly formed stereocenter, in addition to the E/Z conformers of the precursor thiosemicarbazones. Our NMR and X-ray analyses consistently indicate that only a subset of these theoretically possible isomers is formed under the employed conditions, highlighting the stereochemical control exerted by the rigid steroidal framework.
Among the tested compounds, thiosemicarbazones 22 and 27 showed the most potent antiproliferative effects, outperforming cisplatin against T-47D and WiDr cells. By contrast, thiadiazoline 21 exhibited lower activity, suggesting that further structural optimization is needed before clear correlations between thiadiazoline incorporation and enhanced activity can be established.
5. Conclusions
In summary, a series of novel steroidal hybrids containing 1,3,4-thia(selena)diazoline motifs was successfully synthesized through intramolecular cyclization of thio- and selenosemicarbazones under standard acetylation conditions. The synthetic strategy enabled access to structurally diverse derivatives, including spiro-fused systems and dimeric architectures linked via oxalyl chloride, which expand the chemical diversity of the steroidal scaffold.
A total of 24 new compounds were obtained, among which several exhibited epimeric or rotameric behavior, providing valuable insights into the stereoelectronic factors governing their formation. Selected derivatives were structurally confirmed by single-crystal X-ray diffraction, which also clarified the stereochemical outcome of the cyclization steps.
Preliminary biological evaluation against a panel of six representative human cancer cell lines revealed that compounds 22 and 27, both thiosemicarbazones, displayed the most promising antiproliferative activity, surpassing cisplatin in T-47D and WiDr cell lines. Although not all synthesized compounds could be tested—mainly due to solubility limitations—these results suggest that steroidal thiosemicarbazone derivatives represent valuable scaffolds for further development in anticancer drug discovery. Future studies will be required to assess the biological potential of the 1,3,4-thia(selena)diazoline derivatives described herein.
Overall, this work underscores the value of combining steroidal backbones with flexible linkers and heterocyclic pharmacophores to generate novel molecular architectures with enhanced bioactivity. Future efforts will focus on expanding the compound library, conducting detailed SAR studies, and exploring the molecular mechanisms underlying their antiproliferative effects.
Supplementary Materials
The following supporting information can be downloaded at: https://www.mdpi.com/article/10.3390/org6030037/s1: Figures S1–S79: Full NMR spectra of compounds 2, 3, 6, 8, 11–15, 17, 18, 21–23, 26–28, including 1H-NMR, 13C-NMR, and 2D experiments (COSY, HSQC, and HMBC) recorded in CDCl3; Table S1: Crystal data for compounds 2, 3, 5, 11, 17, 27, 28a, and 28b; Figure S80: ORTEP view of compound 2 (30% probability level); Figure S81: ORTEP view of compound 3, with disordered side chain omitted for clarity; Figure S82: ORTEP view of compound 5, with disordered side chain on ring E omitted; Figure S83: ORTEP view of compound 11, with disordered atom O37B omitted; Figure S84: ORTEP view of compound 17; Figure S85: ORTEP view of compound 27; Figure S86: ORTEP views of compounds 28a and 28b, with lattice solvent molecules omitted for clarity.
Author Contributions
Conceptualization, S.M.-R.; Investigation, L.A.M.-D. and A.F.-A.; Formal analysis, M.M.-M.; Methodology, L.A.M.-D. and A.F.-A.; Validation, M.M.-M.; Resources, S.M.-R. and J.M.P.; Project administration, S.M.-S.; Supervision, J.L.V.-B. and P.M.-M.; Writing—original draft, L.A.M.-D. and M.M.-M.; Writing—review and editing, P.M.-M. All authors have read and agreed to the published version of the manuscript.
Funding
This research was supported by VIEP-BUAP (Project 00663-PV/2025), and by SECTIHI (Mexico) through a doctoral scholarship awarded to L.A.M.-D. (No. 736300) and postdoctoral funding granted to M.M.-M. (I1200/311/2023). J.M.P. acknowledges financial support from the Spanish Government (Project PID2021-123059OB-I00 funded by MCIN/AEI/10.13039/501100011033 and FEDER, UE).
Data Availability Statement
The data presented in this study is available on request from the corresponding author.
Acknowledgments
The authors thank Sylvain Bernès for his valuable contribution to the single-crystal X-ray diffraction analyses, performed within the framework of project SECTIHI 268178.
Conflicts of Interest
The authors declare no conflict of interest.
References
- Ahuja-Casarin, A.I.; Cortes-Percino, A.; Gonzales-Bakker, A.; Puerta, A.; Merino-Montiel, P.; Vega-Baez, J.L.; Melendez, F.J.; Castro, M.E.; Lopez, O.; Padron, J.M.; et al. Development of steroidal spiro-heterocycles through one-step cyclocondensation, their evaluation as antiproliferative agents. ChemSelect 2025, 10, e202403170. [Google Scholar] [CrossRef]
- Dembitsky, V.M. Steroids bearing heteroatom as potential drugs for medicine. Biomedicines 2023, 11, 2698. [Google Scholar] [CrossRef] [PubMed]
- Cortés-Percino, A.; Vega-Báez, J.L.; Romero-López, A.; Puerta, A.; Merino-Montiel, P.; Meza-Reyes, S.; Padrón, J.M.; Montiel-Smith, S. Synthesis and evaluation of pyrimidine steroids as antiproliferative agents. Molecules 2019, 24, 3676. [Google Scholar] [CrossRef]
- Sharma, K.; Kumar, H.; Kumar, P. Formation of nitrogen-containing six-membered heterocycles on steroidal ring system: A review. Steroids 2023, 191, 109171. [Google Scholar] [CrossRef]
- Asiri, A.M.; Khan, S.A. Palladium (II) complexes of NS donor ligands derived from steroidal thiosemicarbazones as antibacterial agents. Molecules 2010, 15, 4784–4791. [Google Scholar] [CrossRef] [PubMed]
- Pavan, F.R.; Maia, P.I.S.; Leite, S.R.A.; Deflon, V.M.; Batista, A.A.; Sato, D.N.; Franzblau, S.G.; Leite, C.Q.F. Thiosemicarbazones, semicarbazones, dithiocarbazates and hydrazide/hydrazones: Anti-Mycobacterium tuberculosis activity and cytotoxicity. Eur. J. Med. Chem. 2010, 45, 1898–1905. [Google Scholar] [CrossRef] [PubMed]
- Khan, S.A.; Asiri, A.M. Synthesis and spectroscopic studies of Ru(II) complexes of steroidal thiosemicarbazones by multistep reaction: As antibacterial agents. Steroids 2017, 124, 23–28. [Google Scholar] [CrossRef] [PubMed]
- Petrasheuskaya, T.V.; Kovacs, F.; Igaz, N.; Ronavari, A.; Hajdu, B.; Bereczki, L.; May, N.V.; Spengler, G.; Gyurcsik, B.; Kiricsi, M.; et al. Estradiol-based salicylaldehyde (thio)semicarbazones and their copper complexes with anticancer, antibacterial and antioxidant activities. Molecules 2023, 28, 54. [Google Scholar] [CrossRef] [PubMed]
- Jankovic, D.D.; Sestic, T.L.J.; Bekic, S.; Savoic, M.P.; Celic, A.S.; Sholda, J.; Kopp, F.; Marinovic, M.; Petri, E.T.; Adjukovic, J.J. Development of new steroid-based hydrazide and (thio)semicarbazone compounds with anticancer properties. J. Steroid Biochem. Mol. Biol. 2024, 242, 106545. [Google Scholar] [CrossRef] [PubMed]
- Bai, C.; Wu, S.; Ren, S.; Zhu, M.; Luo, G.; Xiang, H. Synthesis and evaluation of novel thiosemicarbazones and semicarbazone analogs with both anti-proliferative and anti-metastatic activities against triple negative breast cancer. Bioorg. Med. Chem. Lett. 2021, 37, 116107. [Google Scholar] [CrossRef]
- Melones-Herrero, J.; Aguilar-Rico, F.; Matesanz, A.I.; Calés, C.; Sanchez-Perez, I.; Quiroja, A.G. Antiproliferative activity in breast cancer cells of PtL2: Steroid-thiosemicarbazone platinum(II) complex. J. Inorg. Biochem. 2025, 270, 112923. [Google Scholar] [CrossRef]
- Aqlan, F.M.; Al-Bogami, A.S.; Alqahtani, N.F.; Wani, M.Y.; Khan, S.A. Thiazolidinone: A structural motif of great synthetic and biological importance. J. Mol. Struct. 2022, 1250, 131771. [Google Scholar] [CrossRef]
- Afzal, O.; Kathiravan, M.K. Design, synthesis and characterization of novel thiazolidinone derivatives: Insights from a network pharmacology approach for breast cancer therapy. J. Mol. Struct. 2025, 1324, 140915. [Google Scholar] [CrossRef]
- Dewangan, S.; Rawat, V.; Thakur, A.S. Imidazolidinone derivatives as pioneering anticancer agents: Unraveling insights through synthesis and structure–activity exploration. ChemistrySelect 2024, 9, e202401379. [Google Scholar] [CrossRef]
- Mukhrish, Y.E.; Al-Humaidi, J.Y.; Chagaleti, B.K.; Albedair, L.A.; Gomha, S.M.; Saravanan, V.; Kathiravan, M.K.; Oubella, A. Exploring the cyclization of thiosemicarbazone to 1,3,4-thiadiazole: Synthesis, characterization and in-silico study. J. Mol. Struct. 2025, 1322, 140385. [Google Scholar] [CrossRef]
- Ahamad, S.; Alam, M.D.Z.; Salma, U.; Mohasin, M.D.; Rahaman, P.F.; Parveen, H.; Khan, S.A. A review on recent progress in synthesis and biological activities of thiadiazole and its derivatives. J. Mol. Struct. 2024, 1312, 138438. [Google Scholar] [CrossRef]
- Borcea, A.M.; Lonut, L.; Crisan, O.; Oniga, O. An overview of the synthesis and antimicrobial, antiprotozoal, and antitumor activity of thiazole and bisthiazole derivatives. Molecules 2021, 26, 264. [Google Scholar] [CrossRef]
- Parsekar, S.U.; Paliwal, K.; Haldar, P.; Antharjanam, P.K.S.; Kumar, M. Synthesis, characterization, crystal structure, DNA and HSA interactions, and anticancer activity of a mononuclear Cu(II) complex with a Schiff base ligand containing a thiadiazoline moiety. ACS Omega 2022, 7, 2486–3133. [Google Scholar] [CrossRef]
- Toan, V.N.; Than, N.D.; Tri, N.M. 1,3,4-Thiadiazoline–coumarin hybrid compounds containing D-glucose/D-galactose moieties: Synthesis and evaluation of their antiproliferative activity. Arab. J. Chem. 2021, 14, 103053. [Google Scholar] [CrossRef]
- Kubota, S.; Ueda, Y.; Fujikane, K.; Toyooka, K.; Shibuya, M. Synthesis of 4-acyl-2-(acylamino)-Δ2-1,3,4-thiadiazolines and 4-acyl-2-amino-Δ2-1,3,4-thiadiazolines by acylation of thiosemicarbazones. J. Org. Chem. 1980, 45, 1473–1477. [Google Scholar] [CrossRef]
- Šestić, T.L.; Bekić, S.S.; Marinović, M.A.; Kvasnicová, M.; Štenclová, T.; Rárová, L.; Ćelić, A.S.; Petri, E.T.; Ajduković, J.J.; Strnad, M.; et al. Heterocyclic Androstane Derivatives Targeting Hormone-related Cancers: Synthesis, Bioactivity and Docking Studies. Eur. J. Med. Chem. 2025, 296, 117850. [Google Scholar] [CrossRef]
- Huang, Y.; Yang, C.; Zhan, J.; Gan, C.; Liu, Z.; Pang, C.; Chen, H.; Cui, J. Synthesis and antiproliferative activity of novel A-homo-B-norsteroid thiadiazole derivatives. Tetrahedron Lett. 2017, 58, 2952–2954. [Google Scholar] [CrossRef]
- Fuentes-Aguilar, A.; Romero-Hernández, L.L.; Arenas-González, A.; Merino-Montiel, P.; Montiel-Smith, S.; Meza-Reyes, S.; Vega-Báez, J.L.; Plata, G.B.; Padrón, J.M.; López, S.; et al. New selenosteroids as antiproliferative agents. Org. Biomol. Chem. 2017, 15, 5041–5054. [Google Scholar] [CrossRef]
- Duax, W.L.; Weeks, C.; Rohrer, D.; Yoshio, O.; Wolff, M. Conformational studies of steroids: Correlations with biological data. J. Steroid Biochem. 1975, 6, 195–200. [Google Scholar] [CrossRef]
- Ertl, P.; Altmann, E.; Racine, S. The most common linkers in bioactive molecules and their bioisosteric replacement network. Bioorg. Med. Chem. 2023, 81, 117194. [Google Scholar] [CrossRef]
- Adrián, P.; Alexis, R.G.; Roderick, A.; Kaylie, D.; Miguel, X.F.; Giovanna, B.; José, M.P. Naphthol-derived Betti bases as potential SLC6A14 blockers. J. Mol. Clin. Med. 2019, 2, 35. [Google Scholar] [CrossRef]
- Méndez Delgado, L.A. Síntesis de Nuevos Derivados Esteroidales Diméricos de Interés Biológico. Master’s Thesis, Benemérita Universidad Autónoma de Puebla, Puebla, Mexico, 2018. Available online: https://dgb-buap.primo.exlibrisgroup.com/discovery/fulldisplay?docid=alma991004419342508991&context=L&vid=52BUADP_INST:52BUADP&lang=es (accessed on 14 August 2025).
- Cui, H.W.; Peng, S.; Gu, X.Z.; Chen, H.; He, Y.; Gao, W.; Lv, F.; Wang, J.H.; Wang, Y.; Xie, J.; et al. Synthesis and biological evaluation of D-ring fused 1,2,3-thiadiazole dehydroepiandrosterone derivatives as antitumor agents. Eur. J. Med. Chem. 2016, 111, 126–137. [Google Scholar] [CrossRef] [PubMed]
- Suhr, R.; Lahmann, M.; Oscarson, S.; Thiem, J. Synthesis of dihydrodiosgenin glycosides as mimetics of bidesmosidic steroidal saponins. Eur. J. Org. Chem. 2003, 2003, 4003–4011. [Google Scholar] [CrossRef]
- Bäsler, A.; Brunck, A.; Jautelat, R.; Winterfeldt, E. Synthesis of cytostatic tetradecacyclic pyrazines and novel reduction-oxidation sequence for spiroketal opening in sapogenins. Helv. Chim. Acta 2000, 83, 1854–1867. [Google Scholar] [CrossRef]
- Leng, T.; Zhang, J.; Xie, J.; Zhou, S.; Huang, Y.; Zhou, Y.; Zhu, W.; Yan, G. Synthesis and anti-glioma activity of 25(R)-spirostan-3β-5α,6β,19-tetrol. Steroids 2010, 75, 224–229. [Google Scholar] [CrossRef]
- Shawakfeh, K.Q.; Al-Said, N.H.; Abboushi, E.K. Synthesis of new di- and triamine diosgenin dimers. Tetrahedron 2010, 66, 1420–1423. [Google Scholar] [CrossRef]
- López, O.; Maza, S.; Ulgar, V.; Maya, I.; Fernández-Bolaños, J.G. Synthesis of sugar-derived isoselenocyanates, selenoureas and selenazoles. Tetrahedron 2009, 65, 2556–2566. [Google Scholar] [CrossRef]
- Mays, J.R.; Weller Roska, R.L.; Sarfaraz, S.; Mukhtar, H.; Rajski, S.R. Identification, synthesis, and enzymology of non-natural glucosinolate chemopreventive candidates. ChemBioChem 2008, 9, 729–747. [Google Scholar] [CrossRef] [PubMed]
- Khan, S.A.; Asiri, A.M. Novel steroidal (6R)-spiro-1,3,4-thiadiazoline derivatives as anti-bacterial agents. Chin. J. Chem. 2012, 30, 1901–1905. [Google Scholar] [CrossRef]
- Khan, S.A.; Asiri, A.M. Synthesis and in vitro antibacterial activity of novel steroidal (6R)-spiro-1,3,4-thiadiazoline derivatives. J. Heterocycl. Chem. 2012, 49, 1452–1457. [Google Scholar] [CrossRef]
- Mayorquín-Torres, M.C.; Santiago-Sampedro, G.I.; Flores-Álamo, M.; Iglesias-Arteaga, M.A. Synthesis of symmetrical and hybrid dimeric steroids by double Suzuki–Miyaura cross-coupling of 4-bromo-3-oxo steroids and benzene-1,4-diboronic acid. Synthesis 2019, 51, 2909–2918. [Google Scholar] [CrossRef]
Disclaimer/Publisher’s Note: The statements, opinions and data contained in all publications are solely those of the individual author(s) and contributor(s) and not of MDPI and/or the editor(s). MDPI and/or the editor(s) disclaim responsibility for any injury to people or property resulting from any ideas, methods, instructions or products referred to in the content. |
© 2025 by the authors. Licensee MDPI, Basel, Switzerland. This article is an open access article distributed under the terms and conditions of the Creative Commons Attribution (CC BY) license (https://creativecommons.org/licenses/by/4.0/).








