Mechanochemical Synthesis, Spectroscopic Characterization and Molecular Structure of Piperidine–Phenytoin Salt
Abstract
1. Introduction
2. Materials and Methods
2.1. Reagents
2.2. Mechanochemical Synthesis of the PPD–PNT Salt
2.3. IR Spectroscopy
2.4. Nuclear Magnetic Resonance
2.5. X-Ray Diffraction
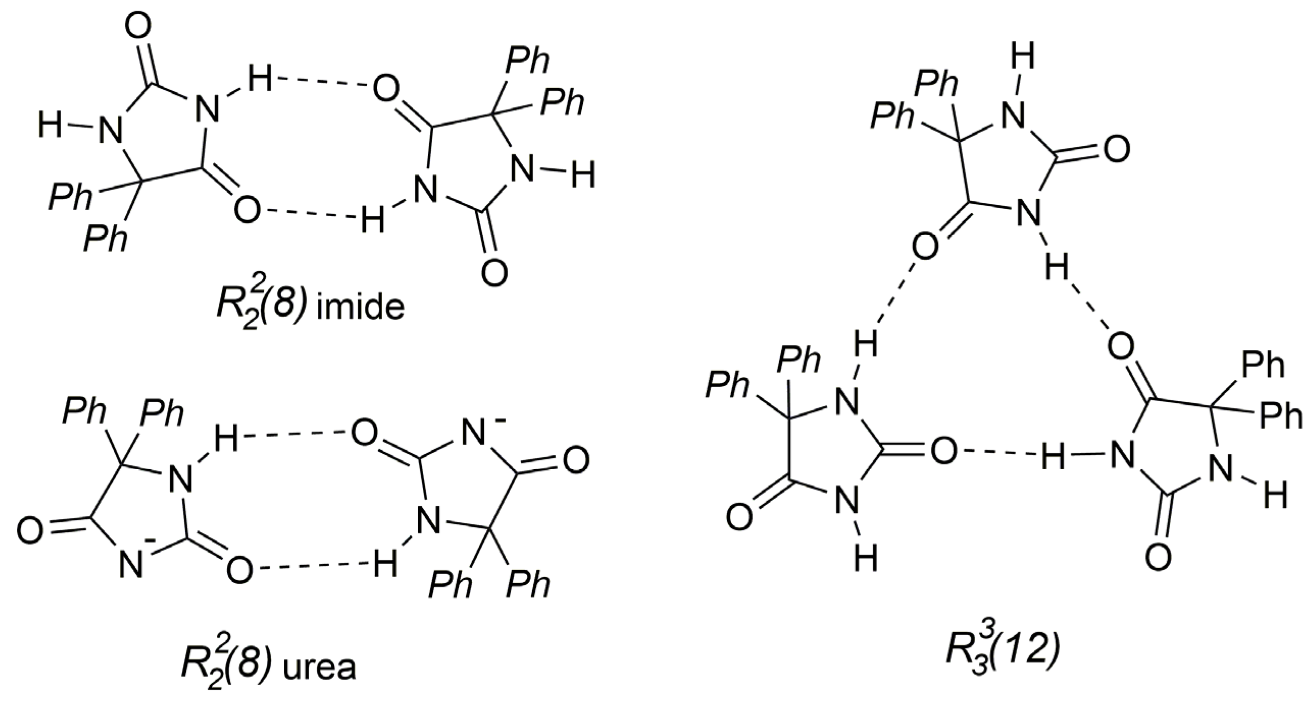
3. Results
3.1. Spectroscopic Characterization
3.2. X-Ray Diffraction
4. Conclusions
Author Contributions
Funding
Data Availability Statement
Conflicts of Interest
References
- Gokhale, M.Y.; Mantri, R.V. API solid-form screening and selection. In Developing Solid Oral Dosage Forms, 2nd ed.; Qiu, Y., Zhang, G.G.Z., Mantri, R.V., Chen, Y., Yu, L., Eds.; Academic Press: Oxford, UK, 2017; pp. 85–112. [Google Scholar] [CrossRef]
- Mantri, R.V.; Sanghvi, R. Solubility of pharmaceutical solids. In Developing Solid Oral Dosage Forms, 2nd ed.; Qiu, Y., Zhang, G.G.Z., Mantri, R.V., Chen, Y., Yu, L., Eds.; Academic Press: Oxford, UK, 2017; pp. 3–22. [Google Scholar] [CrossRef]
- Wiedmann, T.S.; Naqwi, A. Pharmaceutical salts: Theory, use in solid dosage forms and in situ preparation in an aerosol. Asian J. Pharm. Sci. 2016, 11, 722–734. [Google Scholar] [CrossRef]
- Mithu, S.H.; Economidou, S.; Trivedi, V.; Bhatt, S.; Douroumis, D. Advanced Methodologies for Pharmaceutical Salt Synthesis. Cryst. Growth Des. 2021, 21, 1358–1374. [Google Scholar] [CrossRef]
- Cruz-Cabeza, A.J. Acid–base crystalline complexes and the pKa rule. CrystEngComm 2012, 14, 6362–6365. [Google Scholar] [CrossRef]
- Fini, A.; Cavallari, C.; Bassini, G.; Ospitali, F.; Morigi, R. Diclofenac salts, part 7: Are the pharmaceutical salts with aliphatic amines stable? J. Pharm. Sci. 2012, 101, 3157–3168. [Google Scholar] [CrossRef]
- Pratt, J.; Hutchinson, J.; Stevens, C.L.K. Sulfapyridine (polymorph III), sulfapyridine dioxane solvate, sulfapyridine tetrahydrofuran solvate and sulfapyridine piperidine solvate, all at 173 K. Acta Cryst. 2011, C67, o487–o491. [Google Scholar] [CrossRef]
- González-González, J.S.; Pérez-Espinoza, S.; Martínez-Martínez, F.J.; Pineda-Contreras, A.; Canseco-Martínez, M.Á.; Flores-Alamo, M.; García-Ortega, H. Crystal structure and characterization of the sulfamethazine–piperidine salt. Acta Crystallogr. Sect. C Cryst. Struct. Commun. 2023, 79, 71–76. [Google Scholar] [CrossRef] [PubMed]
- Varsa S, R.B.; Ramanujan, G.M.; Prajapati, A.K.; Chernyshev, V.V.; Sanphui, P. Solid-State Diversity of Fenofibric Acid: Synthon Polymorphs and Salts with Altered Solubility and Dissolution. Cryst. Growth Des. 2025, 25, 720–733. [Google Scholar] [CrossRef]
- Bartollino, S.; Chiosi, F.; di Staso, S.; Uva, M.; Pascotto, A.; Rinaldi, M.; Hesselink, J.M.K.; Costagliola, C. The retinoprotective role of phenytoin. Drug Des. Dev. Ther. 2018, 12, 3485–3489. [Google Scholar] [CrossRef]
- Dean, P.M.; Turanjanin, J.; Yoshizawa-Fujita, M.; MacFarlane, D.R.; Scott, J.L. Exploring an Anti-Crystal Engineering Approach to the Preparation of Pharmaceutically Active Ionic Liquids. Cryst. Growth Des. 2009, 9, 1137–1145. [Google Scholar] [CrossRef]
- Chiang, P.C.; Wong, H. Incorporation of physiologically based pharmacokinetic modeling in the evaluation of solubility requirements for the salt selection process: A case study using phenytoin. AAPS J. 2013, 15, 1109–1118. [Google Scholar] [CrossRef]
- Nokhodchi, A.; Bolourtchian, N.; Dinarvand, R. Crystal modification of phenytoin using different solvents and crystallization conditions. Int. J. Pharm. 2003, 250, 85–97. [Google Scholar] [CrossRef]
- Agrawal, S.; Gaikwad, S.; Patel, R.; Shinde, L.; Deshmukh, A. Synthesis and Formulation Development of Phenytoin by Inclusion Complexation. Indian J. Pharm. Sci. 2021, 83, 955–962. [Google Scholar] [CrossRef]
- Khajir, S.; Shayanfar, A.; Acree Jr, W.E.; Jouyban, A. Effects of N-methylpyrrolidone and temperature on phenytoin solubility. J. Mol. Liq. 2019, 285, 58–61. [Google Scholar] [CrossRef]
- Widanapathirana, L.; Tale, S.; Reineke, T.M. Dissolution and solubility enhancement of the highly lipophilic drug phenytoin via interaction with poly (N-isopropylacrylamide-co-vinylpyrrolidone) excipients. Mol. Pharm. 2015, 12, 2537–2543. [Google Scholar] [CrossRef] [PubMed]
- Hasa, D.; Perissutti, B.; Cepek, C.; Bhardwaj, S.; Carlino, E.; Grassi, M.; Invernizzi, S.; Voinovich, D. Drug salt formation via mechanochemistry: The case study of vincamine. Mol. Pharm. 2013, 10, 211–224. [Google Scholar] [CrossRef] [PubMed]
- Solares-Briones, M.; Coyote-Dotor, G.; Páez-Franco, J.C.; Zermeño-Ortega, M.R.; De la O-Contreras, M.; Canseco-González, D.; Avila-Sorrosa, A.; Morales-Morales, D.; Germán-Acacio, J.M. Mechanochemistry: A Green Approach in the Preparation of Pharmaceutical Cocrystals. Pharmaceutics 2021, 13, 790. [Google Scholar] [CrossRef]
- Mnova Structure Elucidation, version 14.2.0-26256; Mestrelab Research: Santiago de Compostela, Spain, 2021.
- CrysAlisPro, version 1.171.36.32; Oxford Difraction Ltd.: Abingdon, UK, 2013.
- Clark, R.C.; Reid, J.S. The analytical calculation of absorption in multifaceted crystals. Found. Crystallogr. 1995, 51, 887–897. [Google Scholar] [CrossRef]
- Sheldrick, G.M. SHELXT—Integrated space-group and crystal-structure determination. Acta Crystallogr. 2015, A71, 3–8. [Google Scholar] [CrossRef]
- Sheldrick, G.M. Crystal structure refinement with SHELXL. Acta Crystallogr. 2015, C71, 3–8. [Google Scholar] [CrossRef]
- Farrugia, L.J. WinGX and ORTEP forWindows: An update. J. Appl. Crystallogr. 2012, 45, 849–854. [Google Scholar] [CrossRef]
- Macrae, C.F.; Edgington, P.R.; McCabe, P.; Pidcock, E.; Shields, G.P.; Taylor, R.; Towler, M.; van de Streek, J. Mercury: Visualization and analysis of crystal structures. J. Appl. Crystallogr. 2006, 39, 453–457. [Google Scholar] [CrossRef]
- Luna, O.F.; Gomez, J.; Cárdenas, C.; Albericio, F.; Marshall, S.H.; Guzmán, F. Deprotection reagents in Fmoc solid phase peptide synthesis: Moving away from piperidine? Molecules 2016, 21, 1542. [Google Scholar] [CrossRef]
- Nation, R.L.; Evans, A.M.; Milne, R.W. Pharmacokinetic drug interactions with phenytoin (Part I). Clin. Pharmacokinet. 1990, 18, 37–60. [Google Scholar] [CrossRef]
- Dharani, S.; Rahman, Z.; Ali, S.F.B.; Afrooz, H.; Khan, M.A. Quantitative estimation of phenytoin sodium disproportionation in the formulations using vibration spectroscopies and multivariate methodologies. Int. J. Pharm. 2018, 539, 65–74. [Google Scholar] [CrossRef] [PubMed]
- Jiang, H.; Zhang, S.; Jin, R. NMR and FT-IR analysis of new molecular complex 1-piperidine-carboxylate-piperidinium-H2O. Wuhan Univ. J. Nat. Sci. 2008, 13, 93–97. [Google Scholar] [CrossRef]
- Kadam, A.; Jangam, S.; Oswal, R. Application of Green Chemistry Principle in Synthesis of Phenytoin and Its Biogical Evaluation as Anticonvulsant Agents. J. Chem. 2011, 8, S47–S52. [Google Scholar] [CrossRef]
- Max, J.-J.; Chapados, C. Infrared Spectroscopy of Aqueous Carboxylic Acids: Comparison between Different Acids and Their Salts. J. Phys. Chem. A 2004, 108, 3324–3337. [Google Scholar] [CrossRef]
- Childs, S.L.; Stahly, G.P.; Park, A. The Salt-Cocrystal Continuum: The Influence of Crystal Structure on Ionization State. Mol. Pharmaceutics 2007, 4, 323–338. [Google Scholar] [CrossRef]
- Bartoszak-Adamska, E.; Dega-Szafran, Z.; Komasa, A.; Szafran, M. Structural and spectroscopic properties of piperidinium-4-carboxylic acid hydrogen squarate. Vib. Spectrosc. 2015, 81, 13–21. [Google Scholar] [CrossRef]
- Luchian, R.; Vinţeler, E.; Chiş, C.; Vasilescu, M.; Leopold, N.; Chiş, V. Molecular structure of phenytoin: NMR, UV-Vis and quantum chemical calculations. Croat. Chem. Acta 2015, 88, 511–522. [Google Scholar] [CrossRef]
- Botros, S.; Khalil, N.A.; Naguib, B.H.; El-Dash, Y. Synthesis and anticonvulsant activity of new phenytoin derivatives. Eur. J. Med. Chem. 2013, 60, 57–63. [Google Scholar] [CrossRef] [PubMed]
- Guerrab, W.; Jemli, M.E.; Akachar, J.; Demirtaş, G.; Mague, J.T.; Taoufik, J.; Ibrahimi, A.; Ansar, M.H.; Alaoui, K.; Ramli, Y. Design, synthesis, structural and molecular characterization, toxicity, psychotropic activity and molecular docking evaluation of a novel phenytoin derivative: 3-decyl-5, 5-diphenylimidazolidine-2, 4-dione. J. Biomol. Struct. Dyn. 2022, 40, 8765–8782. [Google Scholar] [CrossRef] [PubMed]
- Akkurt, N.; Al-Jumaili, M.H.A.; Ocak, H.; Cakar, F.; Torun, L. Synthesis and liquid crystalline properties of new triazine-based π-conjugated macromolecules with chiral side groups. Turk. J. Chem. 2020, 44, 726–735. [Google Scholar] [CrossRef] [PubMed]
- Uno, T.; Shimizu, N. Structure of 5,5-diphenylhydantoin–1-(4-bromophenyl)-4-dimethylamino-2,3-dimethylpyrazolin-5-one (1:1). Acta Cryst. 1980, B36, 2794–2796. [Google Scholar] [CrossRef]
- Camerman, A.; Mastropaolo, D.; Camerman, N. Molecular structure of acetylacetone. A crystallographic determination. J. Am. Chem. Soc. 1983, 105, 1584–1586. [Google Scholar] [CrossRef]
- Shah, H.S.; Chaturvedi, K.; Zeller, M.; Bates, S.; Morris, K. A threefold superstructure of the anti-epileptic drug phenytoin sodium as a mixed methanol solvate hydrate. Acta Crystallogr. Sect. C 2019, C75, 1213–1219. [Google Scholar] [CrossRef]








| CCDC No. | 2464266 |
|---|---|
| Empirical formula | C5H12N·C15H11N2O2 |
| Formula weight | 337.41 |
| Crystal system | Triclinic |
| Space group | P-1 |
| a (Å) | 8.3364(10) Å |
| b (Å) | 9.7349(10) Å |
| c (Å) | 11.4086(14) Å |
| α (◦) | 83.854(9)° |
| β (◦) | 77.735(10)° |
| γ (◦) | 76.844(10) |
| Wavelength | 0.71073 Å |
| V (Å3) | 879.30(18) Å3 |
| Crystal size | 0.360 × 0.340 × 0.270 mm3 |
| Z | 2 |
| T | 130(2) K |
| Dcalc. (g/cm3) | 1.274 |
| μ (mm−1) | 0.084 |
| F(000) | 360 |
| Reflections collected | 9816 |
| Independent reflections | 4176 |
| R (int) | 0.0228 |
| R1/wR2 [I > 2σ(I)] | 0.0417/0.0952 |
| R1/wR2 (all data) | 0.0536/0.1042 |
| GooF on F2 | 1.038 |
| NH | NH+ | C=O | Ar/alkyl | C-N | |
|---|---|---|---|---|---|
| PNT | 3263, 3200 | --- | 1770, 1738, 1715 | 3070, 1598, 1494, 1449 | 1400 |
| PNTNa [28] | 3318 | --- | 1674, 1687 | 1592, 1492 | N.R. |
| PPD | 3284 | --- | --- | 2928–2735, 1444 | 1149 |
| PPD–PNTpowder | 3153 | 3070 | 1703, 1643 | 2945, 2863, 1602, 1577 | 1355, 1126 |
| PPD–PNTcrystal | 3153 | 3065 | 1702, 1644 | 1599, 1575, 2940, 2862 | 1353, 1125 |
| 1H NMR (δ = ppm) | |||||||||||||||
| NH1 | NH3 | H7–H9 | NHa | Hb | Hc | Hd | |||||||||
| PNT | 9.33 | 11.13 | 7.42–7.34 | 2.86 | --- | --- | --- | ||||||||
| PPD | --- | --- | --- | --- | 2.63 | 1.41 | 1.46 | ||||||||
| PPD–PNTground | 9.24 | N.O. | 7.41–7.33 | 5.14 | 2.65 | 1.40 | 1.45 | ||||||||
| PPD–PNTcrystal | 9.19 | N.O. | 7.38–7.33 | 4.89 | 2.66 | 1.42 | 1.42 | ||||||||
| 13C NMR (δ = ppm) | |||||||||||||||
| C2 | C4 | C5 | C6 | C7 | C8 | C9 | Cb | Cc | Cd | ||||||
| PNT | 156.44 | 175.28 | 70.68 | 140.38 | 127.04 | 128.97 | 128.50 | ||||||||
| PPD | 47.29 | 26.80 | 25.16 | ||||||||||||
| PPD–PNTground | 157.27 | 175.90 | 70.74 | 140.62 | 127.07 | 128.91 | 128.38 | 47.00 | 27.14 | 25.38 | |||||
| PPD–PNTcrystal | 157.60 | 176.13 | 70.78 | 140.69 | 127.08 | 128.89 | 128.35 | 46.87 | 26.66 | 25.07 | |||||
| D-H···A (Å) | Symmetry Code | D-H (Å) | H···A (Å) | D···A (Å) | D-H···A (°) |
|---|---|---|---|---|---|
| N1C-H1N···O1 | x,y,z | 0.925(17) | 1.839(17) | 2.7523(14) | 169.0(15) |
| N1C-H3N···N1 | -x,1-y,1-z | 0.961(17) | 1.836(17) | 2.7959(16) | 175.9(15) |
| N2-H2N···O2 | 1-x,1-y,-z | 0.899(17) | 1.926(17) | 2.8221(14) | 174.6(16) |
| C1-H1CA···Cg(3) | 1-x,1-y,1-z | --- | 2.44 | --- | 168 |
Disclaimer/Publisher’s Note: The statements, opinions and data contained in all publications are solely those of the individual author(s) and contributor(s) and not of MDPI and/or the editor(s). MDPI and/or the editor(s) disclaim responsibility for any injury to people or property resulting from any ideas, methods, instructions or products referred to in the content. |
© 2025 by the authors. Licensee MDPI, Basel, Switzerland. This article is an open access article distributed under the terms and conditions of the Creative Commons Attribution (CC BY) license (https://creativecommons.org/licenses/by/4.0/).
Share and Cite
Amil-Miranda, M.I.; Pineda-Contreras, A.; Martínez-Martínez, F.J.; Flores-Álamo, M.; García-Ortega, H.; González-González, J.S. Mechanochemical Synthesis, Spectroscopic Characterization and Molecular Structure of Piperidine–Phenytoin Salt. Organics 2025, 6, 38. https://doi.org/10.3390/org6030038
Amil-Miranda MI, Pineda-Contreras A, Martínez-Martínez FJ, Flores-Álamo M, García-Ortega H, González-González JS. Mechanochemical Synthesis, Spectroscopic Characterization and Molecular Structure of Piperidine–Phenytoin Salt. Organics. 2025; 6(3):38. https://doi.org/10.3390/org6030038
Chicago/Turabian StyleAmil-Miranda, María Isabel, Armando Pineda-Contreras, Francisco Javier Martínez-Martínez, Marcos Flores-Álamo, Hector García-Ortega, and Juan Saulo González-González. 2025. "Mechanochemical Synthesis, Spectroscopic Characterization and Molecular Structure of Piperidine–Phenytoin Salt" Organics 6, no. 3: 38. https://doi.org/10.3390/org6030038
APA StyleAmil-Miranda, M. I., Pineda-Contreras, A., Martínez-Martínez, F. J., Flores-Álamo, M., García-Ortega, H., & González-González, J. S. (2025). Mechanochemical Synthesis, Spectroscopic Characterization and Molecular Structure of Piperidine–Phenytoin Salt. Organics, 6(3), 38. https://doi.org/10.3390/org6030038

