Lewis Acid-Initiated Ring-Opening Reactions of Five- and Six-Membered Cyclic Ethers Based on the Oxonium Ylide Intermediates
Abstract
1. Introduction
2. Lewis Acid-Initiated Ring-Opening Reactions of Five/Six-Membered Cyclic Ethers
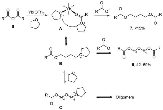
2.1. Rare Earth Metal Center Lewis Acid-Initiated Ring-Opening Reactions of Five/Six-Membered Cyclic Ethers
2.2. Other Metal Center Lewis Acid-Initiated Ring-Opening Reactions of Five/Six-Membered Cyclic Ethers
2.3. Free Element as Lewis Acid Precursor Participates in Ring-Opening Reactions of Five/Six-Membered Cyclic Ethers
2.4. Ring Opening of Five/Six-Membered Cyclic Ethers by FLPs
3. Conclusions
Author Contributions
Funding
Data Availability Statement
Conflicts of Interest
References
- Lindsay, D.M. The Synthesis of Cyclic Ether-Containing Natural and Non-natural Products by Metathesis Reactions. In Synthesis of Heterocycles by Metathesis Reactions; Prunet, J., Ed.; Springer International Publishing: Cham, Switzerland, 2016; pp. 33–55. [Google Scholar]
- Bull, J.A.; Croft, R.A.; Davis, O.A.; Doran, R.; Morgan, K.F. Oxetanes: Recent Advances in Synthesis, Reactivity, and Medicinal Chemistry. Chem. Rev. 2016, 116, 12150–12233. [Google Scholar] [CrossRef] [PubMed]
- Hanif, M.; Zahoor, A.F.; Saif, M.J.; Nazeer, U.; Ali, K.G.; Parveen, B.; Mansha, A.; Chaudhry, A.R.; Irfan, A. Exploring the Synthetic Potential of Epoxide Ring Opening Reactions toward the Synthesis of Alkaloids and Terpenoids: A Review. RSC Adv. 2024, 14, 13100–13128. [Google Scholar] [CrossRef] [PubMed]
- Izatt, R.M.; Rytting, J.H.; Nelson, D.P.; Haymore, B.L.; Christensen, J.J. Binding of Alkali Metal Ions by Cyclic Polyethers: Significance in Ion Transport Processes. Science 1969, 164, 443–444. [Google Scholar] [CrossRef] [PubMed]
- Zheng, M.H.; Wu, P.W.; Li, L.Q.; Yu, F.; Ma, J. Adsorption/Desorption Behavior of Ciprofloxacin on Aged Biodegradable Plastic PLA under Different Exposure Conditions. J. Environ. Chem. Eng. 2023, 11, 109256. [Google Scholar] [CrossRef]
- Hubbell, A.K.; Coates, G.W. Nucleophilic Transformations of Lewis Acid-Activated Disubstituted Epoxides with Catalyst-Controlled Regioselectivity. J. Org. Chem. 2020, 85, 13391–13414. [Google Scholar] [CrossRef] [PubMed]
- Zhu, F.Q.; Xie, Y.C.; Zhang, J.; Tian, G.H.; Qin, H.J.; Yang, X.J.; Hu, T.W.; He, Y.; Aisa, H.A.; Shen, J.S. A Facile Epoxide Aminolysis Promoted by (t-BuO)2Mg and Its Application to the Synthesis of Efinaconazole. Org. Process Res. Dev. 2018, 22, 625–632. [Google Scholar] [CrossRef]
- Moser, B.R.; Cermak, S.C.; Doll, K.M.; Kenar, J.A.; Sharma, B.K. A Review of Fatty Epoxide Ring Opening Reactions: Chemistry, Recent Advances, and Applications. J. Am. Oil Chem. Soc. 2022, 99, 801–842. [Google Scholar] [CrossRef]
- Yan, Z.Y.; Du, C.C.; Luo, G.S.; Deng, J. Remarkable Improvement of Epoxide Ring-opening Reaction Efficiency and Selectivity with Water as a Green Regulator. React. Chem. Eng. 2021, 6, 2159–2169. [Google Scholar] [CrossRef]
- Thirumalaikumar, M. Ring Opening Reactions of Epoxides. A Review. Org. Prep. Proced. Int. 2022, 54, 1–39. [Google Scholar] [CrossRef]
- Cornella, J.; Zarate, C.; Martin, R. Metal-catalyzed Activation of Ethers via C–O bond Cleavage: A New Strategy for Molecular Diversity. Chem. Soc. Rev. 2014, 43, 8081–8097. [Google Scholar] [CrossRef]
- Zhang, J.T.; Liao, Z.H.; Chen, L.F.; Jiang, H.F.; Zhu, S.F. Construction of Polycyclic Bridged Indene Derivatives by a Tandem 1,3-Rearrangement/Intramolecular Friedel–Crafts Cyclization of Propargyl Acetates. Chem. Commun. 2019, 55, 7382–7385. [Google Scholar] [CrossRef] [PubMed]
- Zhang, J.T.; Liao, Z.H.; Chen, L.F.; Zhu, S.F. Rapid Access to Oxa-Bridged Bicyclic Skeletons through Gold-Catalyzed Tandem Rearrangement Reaction. Chem. Eur. J. 2019, 25, 9405–9409. [Google Scholar] [CrossRef]
- Miles, W.H.; Ruddy, D.A.; Tinorgah, S.; Geisler, R.L. Acylative Dimerization of Tetrahydrofuran Catalyzed by Rare-Earth Triflates. Synth. Commun. 2004, 34, 1871–1880. [Google Scholar] [CrossRef]
- Aouissi, A.; Al-Deyab, S.S.; Al-Shahri, H. The Cationic Ring-Opening Polymerization of Tetrahydrofuran with 12-Tungstophosphoric Acid. Molecules 2010, 15, 1398–1407. [Google Scholar] [CrossRef] [PubMed]
- Malladi, R.R.; Kabalka, G.W. One-pot Synthesis of ω-Chloroesters via the Reaction of Acid Chlorides with Tetrahydrofuran in the Presence of Trichloroborane. Synth. Commun. 2002, 32, 1997–2001. [Google Scholar] [CrossRef]
- Pri-Bar, I.; Stille, J. Acylative Cleavage of Ethers Catalyzed by Triorganotin Halides and Palladium (II) Complexes. J. Org. Chem. 1982, 47, 1215–1220. [Google Scholar] [CrossRef]
- Fotie, J.; Adolph, B.R.; Bhatt, S.V.; Grimm, C.C. Palladium (II) Acetate Catalyzed Acylative Cleavage of Cyclic and Acyclic Ethers under Neat Conditions. Tetrahedron Lett. 2017, 58, 4648–4651. [Google Scholar] [CrossRef]
- Iqbal, J.; Srivastava, R.R. Cobalt (II) Chloride Catalysed Cleavage of Ethers with Acyl Halides: Scope and Mechanism. Tetrahedron 1991, 47, 3155–3170. [Google Scholar] [CrossRef]
- Oku, A.; Harada, T.; Kita, K. Selective Cleavage of Ethers by Sodium Iodide-acyl Chloride. Tetrahedron Lett. 1982, 23, 681–684. [Google Scholar] [CrossRef]
- Mimero, P.; Saluzzo, C.; Amouroux, R. Regiocontrolled Ring Opening of 2-Methyltetrahydrofuran with Acid Chlorides and Iodides. Tetrahedron Lett. 1994, 35, 1553–1556. [Google Scholar] [CrossRef]
- Taniguchi, Y.; Tanaka, S.; Kitamura, T.; Fujiwara, Y. Lanthanoid-catalyzed Ring-opening Reaction of Epoxides with Acyl Halides. Tetrahedron Lett. 1998, 39, 4559–4560. [Google Scholar] [CrossRef]
- Suzuki, Y.; Matsushima, M.; Kodomari, M. Graphite-catalyzed Acylative Cleavage of Ethers with Acyl Halides. Chem. Lett. 1998, 27, 319–320. [Google Scholar] [CrossRef]
- Green, L.; Hemeon, I.; Singer, R.D. 1-Ethyl-3-methylimidazolium Halogenoaluminate Ionic Liquids as Reaction Media for the Acylative Cleavage of Ethers. Tetrahedron Lett. 2000, 41, 1343–1346. [Google Scholar] [CrossRef]
- Machrouhi, F.; Namy, J.-L.; Kagan, H.B. Nucleophilic Acylation of Esters by Acid Chlorides Mediated by Samarium Diiodide: Formation and Use of Samarium Enediolates. Tetrahedron Lett. 1997, 38, 7183–7186. [Google Scholar] [CrossRef]
- Souppe, J.; Namy, J.; Kagan, H. Reactions of Acyl Anions Generated from Acid Chlorides and Diiodosamarium. Tetrahedron Lett. 1984, 25, 2869–2872. [Google Scholar] [CrossRef]
- Goldsmith, D.J.; Kennedy, E.; Campbell, R.G. Cleavage of Cyclic Ethers by Magnesium Bromide-acetic Anhydride. SN2 Substitution at a Secondary Site. J. Org. Chem. 1975, 40, 3571–3574. [Google Scholar] [CrossRef]
- Srinivas, K.; Suresh, P.; Babu, C.N.; Sathyanarayana, A.; Prabusankar, G. Heavier Chalcogenone Complexes of Bismuth(III)trihalides: Potential Catalysts for Acylative Cleavage of Cyclic Ethers. RSC Adv. 2015, 5, 15579–15590. [Google Scholar] [CrossRef]
- Kunnari, S.M.; Oilunkaniemi, R.; Laitinen, R.S.; Ahlgrén, M. An Unexpected Tetrahydrofuran Ring Opening: Synthesis and Structural Characterization of Ph3PO(CH2)4TeBr4. J. Chem. Soc. Dalton Trans. 2001, 2001, 3417–3418. [Google Scholar] [CrossRef]
- Park, S.; Kim, K.-j.; Youn, Y.-S. Ring-Opening Reaction of Tetrahydrofuran on Ge(100) Surface. ACS Omega 2020, 5, 22926–22930. [Google Scholar] [CrossRef]
- Shannon, R. Revised Effective Ionic Radii and Systematic Studies of Interatomic Distances in Halides and Chalcogenides. Acta Cryst. A 1976, 32, 751–767. [Google Scholar] [CrossRef]
- Cotton, F.A.; Wilkinson, G. Advanced Inorganic Chemistry, 4th ed.; Wiley: New York, NY, USA, 1980; p. 23. [Google Scholar]
- Bochkarev, M.N.; Zakharov, L.N.; Kalinina, G.S. Organoderivatives of Rare Earth Elements; Kluwer Academic Publisher: Dordrecht, The Netherlands, 1995. [Google Scholar]
- Yu, Y.P.; Zhang, Y.M.; Ling, R.H. Tetrahydrofuran Ring Opening with Acid Chlorides Catalyzed by Samarium Triiodides. Synth. Commun. 1993, 23, 1973–1977. [Google Scholar] [CrossRef]
- Kang, H.-Y.; Park, B.-N.; Koh, H.-Y. Formation of Iodohydrins by Ring Opening of Cyclic Ethers by Samarium (II) Iodide in Benzene-Hexamethylphosphoramide in the Presence of Boron Trifluoride Diethyl Etherate. Bull. Korean Chem. Soc. 1997, 18, 1245–1247. [Google Scholar] [CrossRef]
- Kwon, D.W.; Kim, Y.H.; Lee, K. Highly Regioselective Cleavages and Iodinations of Cyclic Ethers Utilizing SmI2. J. Org. Chem. 2002, 67, 9488–9491. [Google Scholar] [CrossRef] [PubMed]
- Liu, Y.K.; Zhang, Y.M. Tetrahydrofuran Ring Opening with Acyloxyphosphonium Bromide Catalysed by Allylsamarium Bromide: A Novel and Effective Method for the Preparation of 4-Bromobutyl Esters. J. Chem. Res. 2002, 2002, 15–16. [Google Scholar] [CrossRef]
- Suresh, V.; Suryakiran, N.; Rajesh, K.; Selvam, J.J.P.; Srinivasulu, M.; Venkateswarlu, Y. Synthesis of Chloroesters by the Cleavage of Cyclic and Acyclic Ethers using La(NO3)3·6H2O as a Mild and Efficient Catalyst under Solvent-Free Conditions. Synth. Commun. 2007, 38, 92–99. [Google Scholar] [CrossRef]
- Kobayashi, S.; Sugiura, M.; Kitagawa, H.; Lam, W.W. Rare-earth Metal Triflates in Organic Synthesis. Chem. Rev. 2002, 102, 2227–2302. [Google Scholar] [CrossRef] [PubMed]
- Suresh, V.; Suryakiran, N.; Venkateswarlu, Y. A Mild and Efficient Synthesis of Chloroesters by the Cleavage of Cyclic and Acyclic Ethers using Bi(NO3)3·5H2O as a Catalyst under Solvent-free Conditions. Can. J. Chem. 2007, 85, 1037–1040. [Google Scholar] [CrossRef]
- Bednarek, M.; Kubisa, P.; Penczek, S. Coexistence of Activated Monomer and Active Chain End Mechanisms in Cationic Copolymerization of Tetrahydrofuran with Ethylene Oxide. Macromolecules 1999, 32, 5257–5263. [Google Scholar] [CrossRef]
- You, L.; Hogen-Esch, T.E.; Zhu, Y.; Ling, J.; Shen, Z. Brønsted Acid-free Controlled Polymerization of Tetrahydrofuran Catalyzed by Recyclable Rare Earth Triflates in the Presence of Epoxides. Polymer 2012, 53, 4112–4118. [Google Scholar] [CrossRef]
- Woen, D.H.; Huh, D.N.; Ziller, J.W.; Evans, W.J. Reactivity of Ln(II) Complexes Supported by (C5H4Me)1– Ligands with THF and PhSiH3: Isolation of Ring-Opened, Bridging Alkoxyalkyl, Hydride, and Silyl Products. Organometallics 2018, 37, 3055–3063. [Google Scholar] [CrossRef]
- Chung, A.B.; Stennett, C.R.; Moore, W.N.G.; Fang, M.; Ziller, J.W.; Evans, W.J. Reductive C–O Cleavage of Ethereal Solvents and 18-Crown-6 in Ln(NR2)3/KC8 Reactions (R = SiMe3). Inorg. Chem. 2023, 62, 5854–5862. [Google Scholar] [CrossRef] [PubMed]
- Guo, Q.X.; Miyaji, T.; Hara, R.; Shen, B.J.; Takahashi, T. Group 5 and Group 6 Metal Halides as very Efficient Catalysts for Acylative Cleavage of Ethers. Tetrahedron 2002, 58, 7327–7334. [Google Scholar] [CrossRef]
- Le Roux, C.; Dubac, J. Bismuth(III) Chloride and Triflate: Novel Catalysts for Acylation and Sulfonylation Reactions. Survey and Mechanistic Aspects. Synlett 2002, 2002, 0181–0200. [Google Scholar] [CrossRef]
- Leonard, N.M.; Wieland, L.N.C.; Mohan, R.S. Applications of Bismuth(III) Compounds in Organic Synthesis. Tetrahedron 2002, 58, 8373–8397. [Google Scholar] [CrossRef]
- Coles, S.J.; Costello, J.F.; Draffin, W.N.; Hursthouse, M.B.; Paver, S.P. Bi(III) Halides as Efficient Catalysts for the O-Acylative Cleavage of Tetrahydrofurans: An Expeditious Entry to Tetralins. Tetrahedron 2005, 61, 4447–4452. [Google Scholar] [CrossRef]
- Tocco, G.; Begala, M.; Delogu, G.; Picciau, C.; Podda, G. Indium(III) Chloride Catalyzed One Step Synthesis of Some New Dibenzo (d, f)(1, 3) Dioxepines and 12H-Dibenzo (d, g) (1, 3) Dioxocin Derivatives. Tetrahedron Lett. 2004, 45, 6909–6913. [Google Scholar] [CrossRef]
- Nair, V.; Ros, S.; Jayan, C.; Pillai, B.S. Indium-and Gallium-mediated Carbon-carbon Bond-forming Reactions in Organic Synthesis. Tetrahedron 2004, 9, 1959–1982. [Google Scholar] [CrossRef]
- Sakai, N.; Annaka, K.; Konakahara, T. InBr3-catalyzed Intramolecular Cyclization of 2-Alkynylanilines leading to Polysubstituted Indole and its Application to One-pot Synthesis of an Amino Acid Precursor. Tetrahedron Lett. 2006, 47, 631–634. [Google Scholar] [CrossRef]
- Martins, M.A.; Teixeira, M.V.; Cunico, W.; Scapin, E.; Mayer, R.; Pereira, C.M.; Zanatta, N.; Bonacorso, H.G.; Peppe, C.; Yuan, Y.-F. Indium(III) Bromide Catalyzed One-pot Synthesis of Trichloromethylated Tetrahydropyrimidinones. Tetrahedron Lett. 2004, 45, 8991–8994. [Google Scholar] [CrossRef]
- Yadav, J.; Reddy, B.; Bhaishya, G. InBr3–[bmim]PF6: A Novel and Recyclable Catalytic System for the Synthesis of 1, 3-Dioxane Derivatives. Green Chem. 2003, 5, 264–266. [Google Scholar] [CrossRef]
- Yadav, J.S.; Reddy, B.V.; Rao, K.V.; Saritha Raj, K.; Prasad, A.R.; Kiran Kumar, S.; Kunwar, A.C.; Jayaprakash, P.; Jagannath, B. InBr3-Catalyzed Cyclization of Glycals with Aryl Amines. Angew. Chem. Int. Ed. 2003, 42, 5198–5201. [Google Scholar] [CrossRef]
- Sakai, N.; Annaka, K.; Konakahara, T. Direct synthesis of Polysubstituted Quinoline Derivatives by InBr3-promoted Dimerization of 2-Ethynylaniline Derivatives. J. Org. Chem. 2006, 71, 3653–3655. [Google Scholar] [CrossRef] [PubMed]
- Yadav, J.; Reddy, B.S.; Reddy, P.M.K.; Dash, U.; Gupta, M.K. Indium(III) Bromide Catalyzed Cleavage of Cyclic and Acyclic Ethers: An Efficient and Practical Ring Opening Reaction. J. Mol. Catal. A Chem. 2007, 271, 266–269. [Google Scholar] [CrossRef]
- Bhar, S.; Ranu, B.C. Zinc-promoted Selective Cleavage of Ethers in Presence of Acyl Chloride. J. Org. Chem. 1995, 60, 745–747. [Google Scholar] [CrossRef]
- Birch, S.F.; Dean, R.A.; Hunter, N.J.; Whitehead, E.V. Preparation and Physical Properties of Sulfur Compounds Related to Petroleum. V. cis-and trans-1-Thiahydrindan and 3-Thiabicyclo [3.3.0] Octane, and cis-2-Thiabicyclo [3.3.0] Octane. J. Org. Chem. 1955, 20, 1178–1190. [Google Scholar] [CrossRef]
- Enthaler, S.; Weidauer, M. Synthesis of δ-and ε-Cyanoesters by Zinc-catalyzed Ring-opening of Cyclic Ethers with Acid Chlorides and Subsequent Cyanation. Catal. Lett. 2012, 142, 168–175. [Google Scholar] [CrossRef]
- Huang, Y.-Q.; Zhao, Y.; Wang, P.; Okamura, T.-a.; Laforteza, B.N.; Lu, Y.; Sun, W.-Y.; Yu, J.-Q. One-pot Synthesis of Imidazolinium Salts via the Ring Opening of Tetrahydrofuran. Dalton Trans. 2017, 46, 12430–12433. [Google Scholar] [CrossRef]
- Lu, D.; Guan, W.J.; Yang, X.G.; Wang, Y.Z.; Kambe, N.; Qiu, R.H. Cu-Catalyzed Dual C–O Bonds Cleavage of Cyclic Ethers with Carboxylic Acids, NaI, and TMSCF3 to Give Iodoalkyl Ester. Org. Lett. 2022, 24, 2826–2831. [Google Scholar] [CrossRef]
- Umeda, R.; Nishimura, T.; Kaiba, K.; Tanaka, T.; Takahashi, Y.; Nishiyama, Y. Rhenium Complex-catalyzed Acylative Cleavage of Ethers with Acyl Chlorides. Tetrahedron 2011, 67, 7217–7221. [Google Scholar] [CrossRef]
- Lo, H.C.; Han, H.; D’Souza, L.J.; Sinha, S.C.; Keinan, E. Rhenium (VII) Oxide Catalyzed Heteroacylative Ring-opening Dimerization of Tetrahydrofuran. J. Am. Chem. Soc. 2007, 129, 1246–1253. [Google Scholar] [CrossRef]
- Herrmann, W.A.; Kiprof, P.; Rypdal, K.; Tremmel, J.; Blom, R.; Alberto, R.; Behm, J.; Albach, R.W.; Bock, H. Multiple Bonds between Main-group Elements and Transition Metals. 86. Methyltrioxorhenium (VII) and Trioxo (.eta. 5-Pentamethylcyclopentadienyl) Rhenium (VII): Structures, Spectroscopy and Electrochemistry. J. Am. Chem. Soc. 1991, 113, 6527–6537. [Google Scholar] [CrossRef]
- Tang, Y.Q.; Feng, C.L.; Yang, W.F.; Ji, M.; Wang, W.; Chen, J.Q. Synthesis of Chloroesters by the Reaction of Ethers with Acyl Chlorides Catalyzed by ZnO. Chem. Pap. 2021, 75, 1–8. [Google Scholar] [CrossRef]
- Yadav, J.; Reddy, B.; Reddy, P.M.K.; Gupta, M.K. Mild and Efficient Method for the Cleavage of Cyclic and Acyclic Ethers by Iodine under Solvent-free Conditions. Tetrahedron Lett. 2005, 46, 8493–8495. [Google Scholar] [CrossRef]
- Ganem, B.; Small, V.R., Jr. Ferric Chloride in Acetic Anhydide. Mild and Versatile Reagent for the Cleavage of Ethers. J. Org. Chem. 1974, 39, 3728–3730. [Google Scholar] [CrossRef]
- Cloke, J.B.; Pilgrim, F.J. The Reaction of Tetrahydrofuran and 2, 5-Dimethyltetrahydrofuran with Acyl Halides. J. Am. Chem. Soc. 1939, 61, 2667–2669. [Google Scholar] [CrossRef]
- Pasha, M.; Manjula, K. Simple and Efficient Method for the Synthesis of δ-Chloroesters from Tetrahydrofuran and Acyl Chlorides in the Presence of Catalytic Iodine. Synth. Commun. 2007, 37, 927–932. [Google Scholar] [CrossRef]
- Pasha, M.; Myint, Y.Y. Ultrasound Assisted Synthesis of δ-Chloroesters from Tetrahydrofuran and Acyl Chlorides in the Presence of Catalytic Zinc Dust. Ultrason. Sonochem. 2006, 13, 175–179. [Google Scholar] [CrossRef]
- Pasha, M.; Manjula, K. Use of Magnesium (Turnings) as a Powerful Catalyst for the O-Acylative Cleavage of Tetrahydrofuran. Synth. Commun. 2011, 41, 2309–2314. [Google Scholar] [CrossRef]
- Bolm, C.; Legros, J.; Le Paih, J.; Zani, L. Iron-catalyzed Reactions in Organic Synthesis. Chem. Rev. 2004, 104, 6217–6254. [Google Scholar] [CrossRef]
- Bodduri, V.V.; Choi, K.-M.; Vaidya, R.R.; Patil, K.; Chirumarry, S.; Jang, K.; Yoon, Y.-J.; Falck, J.R.; Shin, D.-S. An Efficient Iron Catalyzed Regioselective Acylative Cleavage of Ethers: Scope and Mechanism. Tetrahedron Lett. 2015, 56, 7089–7093. [Google Scholar] [CrossRef]
- Stephan, D.W. “Frustrated Lewis Pairs”: A Concept for New Reactivity and Catalysis. Org. Biomol. Chem. 2008, 6, 1535–1539. [Google Scholar] [CrossRef] [PubMed]
- Stephan, D.W. Frustrated Lewis Pairs: A New Strategy to Small Molecule Activation and Hydrogenation Catalysis. Dalton Trans. 2009, 2009, 3129–3136. [Google Scholar] [CrossRef] [PubMed]
- Stephan, D.W.; Erker, G. Frustrated Lewis Pairs: Metal-free Hydrogen Activation and More. Angew. Chem. Int. Ed. 2010, 49, 46–76. [Google Scholar] [CrossRef] [PubMed]
- Spies, P.; Erker, G.; Kehr, G.; Bergander, K.; Fröhlich, R.; Grimme, S.; Stephan, D.W. Rapid Intramolecular Heterolytic Dihydrogen Activation by a Four-membered Heterocyclic Phosphane–borane Adduct. Chem. Commun. 2007, 2007, 5072–5074. [Google Scholar] [CrossRef]
- Spies, P.; Schwendemann, S.; Lange, S.; Kehr, G.; Fröhlich, R.; Erker, G. Metal-Free Catalytic Hydrogenation of Enamines, Imines, and Conjugated Phosphinoalkenylboranes. Angew. Chem. Int. Ed. 2008, 47, 7543–7546. [Google Scholar] [CrossRef]
- Sumerin, V.; Schulz, F.; Atsumi, M.; Wang, C.; Nieger, M.; Leskela, M.; Repo, T.; Pyykko, P.; Rieger, B. Molecular Tweezers for Hydrogen: Synthesis, Characterization, and Reactivity. J. Am. Chem. Soc. 2008, 130, 14117–14119. [Google Scholar] [CrossRef]
- Sumerin, V.; Schulz, F.; Nieger, M.; Leskelä, M.; Repo, T.; Rieger, B. Facile Heterolytic H2 Activation by Amines and B(C6F5)3. Angew. Chem. Int. Ed. 2008, 47, 6001–6003. [Google Scholar] [CrossRef]
- Welch, G.C.; Juan, R.R.S.; Masuda, J.D.; Stephan, D.W. Reversible, Metal-free Hydrogen Activation. Science 2006, 314, 1124–1126. [Google Scholar] [CrossRef] [PubMed]
- Welch, G.C.; Stephan, D.W. Facile Heterolytic Cleavage of Dihydrogen by Phosphines and Boranes. J. Am. Chem. Soc. 2007, 129, 1880–1881. [Google Scholar] [CrossRef]
- McCahill, J.S.; Welch, G.C.; Stephan, D.W. Reactivity of “Frustrated Lewis Pairs”: Three-Component Reactions of Phosphines, a Borane, and Olefins. Angew. Chem. Int. Ed. 2007, 46, 4968–4971. [Google Scholar] [CrossRef]
- Ullrich, M.; Seto, K.S.-H.; Lough, A.J.; Stephan, D.W. 1, 4-Addition Reactions of Frustrated Lewis Pairs to 1, 3-Dienes. Chem. Commun. 2009, 2009, 2335–2337. [Google Scholar] [CrossRef] [PubMed]
- Dureen, M.A.; Stephan, D.W. Terminal Alkyne Activation by Frustrated and Classical Lewis Acid/Phosphine Pairs. J. Am. Chem. Soc. 2009, 131, 8396–8397. [Google Scholar] [CrossRef] [PubMed]
- Dureen, M.A.; Lough, A.; Gilbert, T.M.; Stephan, D.W. B–H Activation by Frustrated Lewis Pairs: Borenium or Boryl Phosphonium Cation? Chem. Commun. 2008, 2008, 4303–4305. [Google Scholar] [CrossRef]
- Dureen, M.A.; Welch, G.C.; Gilbert, T.M.; Stephan, D.W. Heterolytic Cleavage of Disulfides by Frustrated Lewis Pairs. Inorg. Chem. 2009, 48, 9910–9917. [Google Scholar] [CrossRef] [PubMed]
- Mömming, C.M.; Otten, E.; Kehr, G.; Fröhlich, R.; Grimme, S.; Stephan, D.W.; Erker, G. Reversible Metal-free Carbon Dioxide Binding by Frustrated Lewis Pairs. Angew. Chem. Int. Ed. 2009, 48, 6643–6646. [Google Scholar] [CrossRef] [PubMed]
- Ménard, G.; Stephan, D.W. Room Temperature Reduction of CO2 to Methanol by Al-based Frustrated Lewis Pairs and Ammonia Borane. J. Am. Chem. Soc. 2010, 132, 1796–1797. [Google Scholar] [CrossRef] [PubMed]
- Neu, R.C.; Otten, E.; Stephan, D.W. Bridging Binding Modes of Phosphine-Stabilized Nitrous Oxide to Zn(C6F5)2. Angew. Chem. Int. Ed. 2009, 121, 9889–9892. [Google Scholar] [CrossRef]
- Otten, E.; Neu, R.C.; Stephan, D.W. Complexation of Nitrous Oxide by Frustrated Lewis Pairs. J. Am. Chem. Soc. 2009, 131, 9918–9919. [Google Scholar] [CrossRef] [PubMed]
- Wittig, G.; Rückert, A. Über Komplexbildung Mit Triphenylbor (II. Mitt.). Justus Liebigs Ann. Chem. 1950, 566, 101–113. [Google Scholar] [CrossRef]
- Breen, T.L.; Stephan, D.W. Substitution or Nucleophilic Attack by Phosphines on Tetrachlorobis (Tetrahydrofuran) Zirconium. Inorg. Chem. 1992, 31, 4019–4022. [Google Scholar] [CrossRef]
- Avens, L.R.; Barnhart, D.M.; Burns, C.J.; McKee, S.D. Uranium-Mediated Ring Opening of Tetrahydrofuran. Crystal Structure of UI2(OCH2CH2CH2CH2I)2(Ph3P=O)2. Inorg. Chem. 1996, 35, 537–539. [Google Scholar] [CrossRef] [PubMed]
- Campello, M.P.C.; Domingos, Â.; Santos, I. Uranium Complexes with Hydrotris(Pyrazolyl) Borate. J. Organomet. Chem. 1994, 484, 37–46. [Google Scholar] [CrossRef]
- Evans, W.J.; Leman, J.T.; Ziller, J.W.; Khan, S.I. Synthesis and Reactivity of Organosamarium Diarylpnictide Complexes: Cleavage Reactions of Group 15 E− E and E− C Bonds by Samarium (II). Inorg. Chem. 1996, 35, 4283–4291. [Google Scholar] [CrossRef]
- Mommertz, A.; Leo, R.; Massa, W.; Harms, K.; Dehnicke, K. Synthese eines Titana-Oxacyclohexanringes durch kontrollierte Ringöffnung von Tetrahydrofuran. Kristallstrukturen von [Ti(CH2)4O{Me2Si(NBut)2}]2, [TiCl{Me2Si(NBut)2}]3(μ3-O)(μ3-Cl) und [Li2(THF)3{Me2Si(NBut)2}]. Z. Anorg. Allg. Chem. 1998, 624, 1647–1652. [Google Scholar] [CrossRef]
- Campbell, J.P.; Gladfelter, W.L. Synthesis and Structure of Alkoxy-and (Aryloxy) Alanes. Observation of a Ring-opening Reaction Involving Tetrahydrofuran. Inorg. Chem. 1997, 36, 4094–4098. [Google Scholar] [CrossRef]
- Gómez-Saso, M.; Mullica, D.F.; Sappenfield, E.; Gordon, F.; Stone, A. Reaction of nido-7, 8-C2B9H13 with Pentacarbonyl(Methyl)manganese: Crystal Structure of the Charge-compensated Complex [Mn(CO)3{η5-7, 8-C2B9H10-10-O(CH2)4}]. Polyhedron 1996, 15, 793–801. [Google Scholar] [CrossRef]
- Welch, G.C.; Prieto, R.; Dureen, M.A.; Lough, A.J.; Labeodan, O.A.; Höltrichter-Rössmann, T.; Stephan, D.W. Reactions of Phosphines with Electron Deficient Boranes. Dalton Trans. 2009, 2009, 1559–1570. [Google Scholar] [CrossRef] [PubMed]
- Welch, G.C.; Cabrera, L.; Chase, P.A.; Hollink, E.; Masuda, J.D.; Wei, P.; Stephan, D.W. Tuning Lewis Acidity using the Reactivity of “Frustrated Lewis Pairs”: Facile Formation of Phosphine-boranes and Cationic Phosphonium-boranes. Dalton Trans. 2007, 2007, 3407–3414. [Google Scholar] [CrossRef] [PubMed]
- Geier, S.J.; Stephan, D.W. Lutidine/B(C6F5)3: At the boundary of classical and frustrated Lewis pair reactivity. J. Am. Chem. Soc. 2009, 131, 3476–3477. [Google Scholar] [CrossRef]
- Travia, N.E.; Monreal, M.J.; Scott, B.L.; Kiplinger, J.L. Thorium-mediated Ring-opening of Tetrahydrofuran and the Development of a New Thorium Starting Material: Preparation and Chemistry of ThI4(DME)2. Dalton Trans. 2012, 41, 14514–14523. [Google Scholar] [CrossRef]
- Solovyev, A.; Lacôte, E.; Curran, D.P. Tetrahydrofuran Ring Opening and Related Reactions with an N-heterocyclic Carbene–boryl Trifluoromethanesulfonate. Dalton Trans. 2013, 42, 695–700. [Google Scholar] [CrossRef]
- Mukherjee, D.; Osseili, H.; Truong, K.-N.; Spaniol, T.P.; Okuda, J. Ring-opening of Cyclic Ethers by Aluminum Hydridotriphenylborate. Chem. Commun. 2017, 53, 3493–3496. [Google Scholar] [CrossRef] [PubMed]
- Federmann, P.; Herwig, C.; Beckmann, F.; Cula, B.; Limberg, C. Ring-Opening of THF via an Intramolecular P/Al-Based Frustrated Lewis Pair: Assistance by C6F5 Groups beyond Electronegativity? Organometallics 2021, 40, 4143–4149. [Google Scholar] [CrossRef]
- Zhang, Z.-F.; Su, M.-D. Insights into the Reactivity of the Ring-Opening Reaction of Tetrahydrofuran by Intramolecular Group-13/P- and Al/Group-15-Based Frustrated Lewis Pairs. ACS Omega 2023, 8, 5316–5331. [Google Scholar] [CrossRef] [PubMed]
- Föhrenbacher, S.A.; Zeh, V.; Krahfuss, M.J.; Ignat’ev, N.V.; Finze, M.; Radius, U. Tris(pentafluoroethyl)difluorophosphorane and N-Heterocyclic Carbenes: Adduct Formation and Frustrated Lewis Pair Reactivity. Eur. J. Inorg. Chem. 2021, 2021, 1941–1960. [Google Scholar] [CrossRef]
- Wallach, C.; Geitner, F.S.; Fässler, T.F. FLP-type Nitrile Activation and Cyclic Ether Ring-opening by Halo-borane Nonagermanide-cluster Lewis Acid–base Pairs. Chem. Sci. 2021, 12, 6969–6976. [Google Scholar] [CrossRef]

























Disclaimer/Publisher’s Note: The statements, opinions and data contained in all publications are solely those of the individual author(s) and contributor(s) and not of MDPI and/or the editor(s). MDPI and/or the editor(s) disclaim responsibility for any injury to people or property resulting from any ideas, methods, instructions or products referred to in the content. |
© 2024 by the authors. Licensee MDPI, Basel, Switzerland. This article is an open access article distributed under the terms and conditions of the Creative Commons Attribution (CC BY) license (https://creativecommons.org/licenses/by/4.0/).
Share and Cite
Jiang, D.; Xiao, J.; Zhang, Y.; Liu, K.; Li, J.; Liu, J. Lewis Acid-Initiated Ring-Opening Reactions of Five- and Six-Membered Cyclic Ethers Based on the Oxonium Ylide Intermediates. Organics 2024, 5, 219-236. https://doi.org/10.3390/org5030011
Jiang D, Xiao J, Zhang Y, Liu K, Li J, Liu J. Lewis Acid-Initiated Ring-Opening Reactions of Five- and Six-Membered Cyclic Ethers Based on the Oxonium Ylide Intermediates. Organics. 2024; 5(3):219-236. https://doi.org/10.3390/org5030011
Chicago/Turabian StyleJiang, Dandan, Jun Xiao, Yingzhen Zhang, Kunming Liu, Juanhua Li, and Jinbiao Liu. 2024. "Lewis Acid-Initiated Ring-Opening Reactions of Five- and Six-Membered Cyclic Ethers Based on the Oxonium Ylide Intermediates" Organics 5, no. 3: 219-236. https://doi.org/10.3390/org5030011
APA StyleJiang, D., Xiao, J., Zhang, Y., Liu, K., Li, J., & Liu, J. (2024). Lewis Acid-Initiated Ring-Opening Reactions of Five- and Six-Membered Cyclic Ethers Based on the Oxonium Ylide Intermediates. Organics, 5(3), 219-236. https://doi.org/10.3390/org5030011

