Educational Level Mediates the Relationship Between Knowledge and Preventive Practices in Multidrug-Resistant Tuberculosis Patients
Abstract
1. Introduction
2. Literature Review
2.1. Knowledge and Multidrug-Resistant Tuberculosis
2.2. Preventive Practices in MDR-TB Management
2.3. Sociodemographic Mediating Factors
2.4. Educational Level as a Mediator
2.5. Occupation as a Mediating Variable
2.6. Sex-Based Differences in Health Behaviors
3. Materials and Methods
3.1. Study Design
3.2. Participants
3.3. Inclusion and Exclusion Criteria
3.4. Instruments
3.4.1. Operational Definition
3.4.2. Instrument Development and Validation
3.5. Questionnaire Structure and Administration
3.6. Procedure and Data Analysis
3.6.1. Analytical Software and Procedures
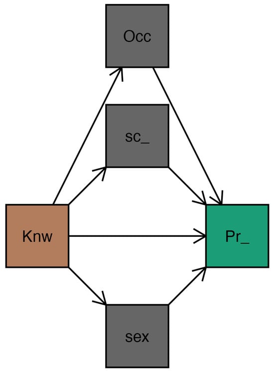
3.6.2. Model Specification and Control Variables
3.6.3. Ethical Considerations
4. Results
4.1. Sociodemographic Characteristics
4.2. Research Model Results
5. Discussion
5.1. Theoretical and Practical Implications
5.2. Limitations and Future Studies
6. Conclusions
Author Contributions
Funding
Institutional Review Board Statement
Data Availability Statement
Conflicts of Interest
References
- WHO. 2.4 Drug-Resistant TB Treatment. Available online: https://www.who.int/teams/global-programme-on-tuberculosis-and-lung-health/tb-reports/global-tuberculosis-report-2023/tb-diagnosis---treatment/drug-resistant-tb-treatment (accessed on 23 June 2025).
- Alene, K.A.; Adane, A.A.; Yifiru, S.; Bitew, B.D.; Adane, A.; Koye, D.N. Knowledge and practice of health workers about control and prevention of multidrug-resistant tuberculosis in referral hospitals, Ethiopia: A cross-sectional study. BMJ Open 2019, 9, e022948. [Google Scholar] [CrossRef]
- Malangu, N.; Adebanjo, O.D. Knowledge and practices about multidrug-resistant tuberculosis amongst healthcare workers in Maseru. Afr. J. Prim. Health Care Fam. Med. 2015, 7, 5. [Google Scholar] [CrossRef]
- Paleckyte, A.; Dissanayake, O.; Mpagama, S.; Lipman, M.C.; McHugh, T.D. Reducing the risk of tuberculosis transmission for HCWs in high incidence settings. Antimicrob. Resist. Infect. Control 2021, 10, 106. [Google Scholar] [CrossRef] [PubMed]
- Tan, C.; Kallon, I.I.; Colvin, C.J.; Grant, A.D. Barriers and facilitators of tuberculosis infection prevention and control in low- and middle-income countries from the perspective of healthcare workers: A systematic review. PLoS ONE 2020, 15, e0241039. [Google Scholar] [CrossRef] [PubMed]
- Adane, K.; Ameni, G.; Bekele, S.; Abebe, M.; Aseffa, A. Prevalence and drug resistance profile of Mycobacterium tuberculosis isolated from pulmonary tuberculosis patients attending two public hospitals in East Gojjam zone, northwest Ethiopia Infectious Disease epidemiology. BMC Public Health 2015, 15, 572. [Google Scholar] [CrossRef] [PubMed]
- Tiberi, S.; Torrico, M.M.; Rahman, A.; Krutikov, M.; Visca, D.; Silva, D.R.; Kunst, H.; Migliori, G.B. Managing severe tuberculosis and its sequelae: From intensive care to surgery and rehabilitation. J. Bras. Pneumol. 2019, 45, e20180324. [Google Scholar] [CrossRef]
- Pradipta, I.S.; Idrus, L.R.; Probandari, A.; Lestari, B.W.; Diantini, A.; Alffenaar, J.-W.C.; Hak, E. Barriers and strategies to successful tuberculosis treatment in a high-burden tuberculosis setting: A qualitative study from the patient’s perspective. BMC Public Health 2021, 21, 1903. [Google Scholar] [CrossRef]
- Rivera, O.; Benites, S.; Mendigure, J.; Bonilla, C.A. Therapeutic abandonment in multidrug-resistant tuberculosis: Associated factors in a high burden region in Perú. Biomedica 2019, 39, 1–31. [Google Scholar]
- Atre, S.R.; Jagtap, J.D.; Faqih, M.I.; Dumbare, Y.K.; Sawant, T.U.; Ambike, S.L.; Bhawalkar, J.S.; Bharaswadkar, S.K.; Jogewar, P.K.; Adkekar, R.S.; et al. Tuberculosis Pathways to Care and Transmission of Multidrug Resistance in India. Am. J. Respir. Crit. Care Med. 2022, 205, 233–241. [Google Scholar] [CrossRef]
- Khachadourian, V.; Truzyan, N.; Harutyunyan, A.; Thompson, M.E.; Harutyunyan, T.; Petrosyan, V. People-centered tuberculosis care versus standard directly observed therapy: Study protocol for a cluster randomized controlled trial. Trials 2015, 16, 281. [Google Scholar] [CrossRef]
- Rosenstock, I.M.; Strecher, V.J.; Becker, M.H. Social Learning Theory and the Health Belief Model. Health Educ. Q. 1988, 15, 175–183. [Google Scholar] [CrossRef]
- Bandura, A. Social Cognitive Theory for Personal and Social Change by Enabling Media. In Entertainment-Education and Social Change; History, Research, and Practice, in LEA’s Communication Series; Lawrence Erlbaum Associates Publishers: Mahwah, NJ, USA, 2004; pp. 75–96. [Google Scholar]
- Berkman, N.D.; Sheridan, S.L.; Donahue, K.E.; Halpern, D.J.; Crotty, K. Low health literacy and health outcomes: An updated systematic review. Ann. Intern. Med. 2011, 155, 97–107. [Google Scholar] [CrossRef]
- Solar, O.; Irwin, A. A Conceptual Framework for Action on the Social Determinants of Health. 2010. Available online: https://www.who.int/publications/i/item/9789241500852 (accessed on 28 April 2025).
- Vlassoff, C. Gender differences in determinants and consequences of health and illness. J. Health Popul. Nutr. 2007, 25, 47–61. [Google Scholar] [PubMed]
- Lajore, B.A.; Aweke, Y.H.; Ayanto, S.Y.; Ayele, M. Exploring health care providers’ engagement in prevention and management of multidrug resistant Tuberculosis and its factors in Hadiya Zone health care facilities: Qualitative study. BMC Health Serv. Res. 2024, 24, 542. [Google Scholar] [CrossRef] [PubMed]
- Bonilla-Asalde, C.; Rivera-Lozada, I.C.; Rivera-Lozada, O. Determinants of multi-drug resistant tuberculosis treatment failure in a prevalent region in Peru. Pak. J. Med. Health Sci. 2020, 14, 1013–1018. [Google Scholar]
- Montalvo-Otivo, R.; Ramírez-Breña, M.; Bruno-Huamán, A.; Damián-Mucha, M.; Vilchez-Bravo, S.; Quisurco-Cárdenas, M. Geographical distribution and risk factors for multidrug-resistant tuberculosis in Central Peru. Rev. Fac. Med. 2020, 68, 245–250. [Google Scholar] [CrossRef][Green Version]
- Minnery, M.; Contreras, C.; Pérez, R.; Solórzano, N.; Tintaya, K.; Jimenez, J.; Soto, S.; Lecca, L. A Cross Sectional Study of Knowledge and Attitudes Towards Tuberculosis amongst Front-Line Tuberculosis Personnel in High Burden Areas of Lima, Peru. PLoS ONE 2013, 8, e75698. [Google Scholar] [CrossRef]
- Loayza-Castro, J.A.; Vásquez-Romero, L.E.; Massa, V.E.R.-D.; Iturregui-Paucar, C.R.; Guillén-Ponce, N.R.; Indacochea-Cáceda, S.; Torres-Malca, J.R. Factors Associated with Knowledge, Attitudes, and Practices about Tuberculosis in Peruvians. Int. J. Stat. Med. Res. 2023, 12, 58–64. [Google Scholar] [CrossRef]
- Huaroto, L.; Espinoza, M.M. Recommendations for the control of tuberculosis transmission in hospitals. Rev. Peru. Med. Exp. Salud Publica 2009, 26, 364–369. [Google Scholar]
- Becerra, M.C.S.; Franke, M.F.S.; Appleton, S.C.S.; Joseph, J.K.; Bayona, J.; Atwood, S.S.B.; Mitnick, C.D.S. Tuberculosis in children exposed at home to multidrug-resistant tuberculosis. Pediatr. Infect. Dis. J. 2013, 32, 115–119. [Google Scholar] [CrossRef]
- Pecho-Silva, S.; Navarro-Solsol, A.C.; Panduro-Correa, V.; Maguina, J.L.; Rabaan, A.A.; Quiroz-Ramirez, L.R.; Arteaga-Livias, K.; Rodriguez-Morales, A.J. The first successful cochlear implant in Latin America after severe aminoglycoside-induced ototoxicity in a Peruvian patient cured of extensively drug-resistant tuberculosis. Rev. Cuerpo Médico Hosp. Nac. Almanzor Aguinaga Asenjo 2022, 15, 622–625. [Google Scholar] [CrossRef]
- Lange, C.; Dheda, K.; Chesov, D.; Mandalakas, A.M.; Udwadia, Z.; Horsburgh, C.R., Jr. Management of drug-resistant tuberculosis. Lancet 2019, 394, 953–966. [Google Scholar] [CrossRef]
- Td, N.; Alias, M. Current strategies in the treatment of multidrug-resistant tuberculosis. Asian J. Pharm. Clin. Res. 2018, 11, 70–75. [Google Scholar] [CrossRef]
- Mpagama, S.G.; Msaji, K.S.; Kaswaga, O.; Zurba, L.J.; Mbelele, P.M.; Allwood, B.W.; Ngungwa, B.-S.; Kisonga, R.M.; Lesosky, M.; Rylance, J.; et al. The burden and determinants of post-TB lung disease. Int. J. Tuberc. Lung Dis. 2021, 25, 846–853. [Google Scholar] [CrossRef] [PubMed]
- Tadesse, A.W.; Ayano, G.; Dachew, B.A.; Tusa, B.S.; Damtie, Y.; Betts, K.; Alati, R. The association between prenatal cannabis use and congenital birth defects in offspring: A cumulative meta-analysis. Neurotoxicology Teratol. 2024, 102, 107340. [Google Scholar] [CrossRef] [PubMed]
- Kigozi, B.K.; Kharod, G.A.; Bukenya, H.; Shadomy, S.V.; Haberling, D.L.; Stoddard, R.A.; Galloway, R.L.; Tushabe, P.; Nankya, A.; Nsibambi, T.; et al. Investigating the etiology of acute febrile illness: A prospective clinic-based study in Uganda. BMC Infect. Dis. 2023, 23, 411. [Google Scholar] [CrossRef]
- Rehman, A.; Ma, H.; Ozturk, I.; Ulucak, R. Sustainable development and pollution: The effects of CO2 emission on population growth, food production, economic development, and energy consumption in Pakistan. Environ. Sci. Pollut. Res. 2022, 29, 17319–17330. [Google Scholar] [CrossRef]
- Chapman, D.A.; Lickel, B.; Markowitz, E.M. Reassessing emotion in climate change communication. Nat. Clim. Change 2017, 7, 850–852. [Google Scholar] [CrossRef]
- Sekandi, J.N.; Quach, T.; Olum, R.; Nakkonde, D.; Farist, L.; Obiekwe, R.; Zalwango, S.; Buregyeya, E. Stigma and associated sex disparities among patients with tuberculosis in Uganda: A cross-sectional study. Ther. Adv. Infect. Dis. 2024, 11, 20499361241305517. [Google Scholar] [CrossRef]
- Bhatt, D.M.; Pandya-Jones, A.; Tong, A.-J.; Barozzi, I.; Lissner, M.M.; Natoli, G.; Black, D.L.; Smale, S.T. Transcript dynamics of proinflammatory genes revealed by sequence analysis of subcellular RNA fractions. Cell 2012, 150, 279–290. [Google Scholar] [CrossRef]
- Rhoads, M.L.; Rhoads, R.P.; VanBaale, M.J.; Collier, R.J.; Sanders, S.R.; Weber, W.J.; Crooker, B.A.; Baumgard, L.H. Effects of heat stress and plane of nutrition on lactating Holstein cows: I. Production, metabolism, and aspects of circulating somatotropin. J. Dairy Sci. 2009, 92, 1986–1997. [Google Scholar] [CrossRef]
- Silva. Filling the Gap Medium and Large Mammals from a Cerrado Remnant in Central Brazil, ResearchGate. 2023. Available online: https://www.researchgate.net/publication/371718448_Silva_et_al_2023_-_Filling_the_gap_medium_and_large_mammals_from_a_Cerrado_remnant_in_Central_Brazil (accessed on 23 June 2025).
- Reddy, P.; Ramraj, U.; Chetty, L. Knowledge of multidrug-resistant tuberculosis amongst Durban University of Technology students in KwaZulu-Natal, South Africa: The need for integrating public health education. Afr. Health Sci. 2022, 22, 178–186. [Google Scholar] [CrossRef] [PubMed]
- Williams, R.T. The ethical implications of using generative chatbots in higher education. Front. Educ. 2023, 8, 1331607. [Google Scholar] [CrossRef]
- Vigenschow, A.; Edoa, J.R.; Adegbite, B.R.; Agbo, P.A.; Adegnika, A.A.; Alabi, A.; Massinga-Loembe, M.; Grobusch, M.P. Knowledge, attitudes and practices regarding tuberculosis amongst healthcare workers in Moyen-Ogooué Province, Gabon. BMC Infect. Dis. 2021, 21, 486. [Google Scholar] [CrossRef] [PubMed]
- Adjobimey, M.; Hinson, V.; Ade, S.; Békou, W.; Ayélo, P.; Agodokpessi, G.; Fayomi, B.; Gninafon, M. Pulmonary tuberculosis: Knowledges and attitudes among colleagues of patients diagnosed at Cotonou, Benin. Arch. Mal. Prof. Environ. 2017, 78, 498–504. [Google Scholar] [CrossRef]
- Bai, Y.; Zhang, F.; Lu, Y.; Ning, H.; Kang, J. Management and discussion on strengthening biosafety awareness of medical microbiology researchers. J. Med. Pest Control 2023, 39, 1011–1017. [Google Scholar] [CrossRef]
- Johnson, N.; Seaman, J.; Seaman, J. The Anticipated Impact of Artificial Intelligence on Higher Education. Online Learn. 2024, 28, 9–33. [Google Scholar] [CrossRef]
- Miao, A.; Luo, T.; Hsieh, B.; Edge, C.J.; Gridley, M.; Wong, R.T.C.; Constandinou, T.G.; Wisden, W.; Franks, N.P. Brain clearance is reduced during sleep and anesthesia. Nat. Neurosci. 2024, 27, 1046–1050. [Google Scholar] [CrossRef]
- Honarvar, B.; Shaygani, F.; Amini, M.; Shirdell, F.; Kiani, F.; Kazemi, M.; Salehi, F. Trend analysis of knowledge and practice of national tuberculosis guidelines among medical students: A two-year interventional study in Shiraz, Iran. Shiraz E-Med. J. 2018, 19, e63253. [Google Scholar] [CrossRef]
- Garcia, B.; Lebreton, M.; Bourgeois-Gironde, S.; Palminteri, S. Experiential values are underweighted in decisions involving symbolic options. Nat. Hum. Behav. 2023, 7, 611–626. [Google Scholar] [CrossRef]
- Hernández-Sampieri, R.; Mendoza, C. Metodología de la Investigación. Las Rutas Cuantitativa, Cualitativa y Mixta; Editorial Mc Graw Hill Education, Año de edición: Ciudad de México, México, 2018; 714p, ISBN 978-1-4562-6096-5. Available online: http://repositorio.uasb.edu.bo/handle/54000/1292 (accessed on 28 October 2023).
- Arrogante, O. Técnicas de muestreo y cálculo del tamaño muestral: Cómo y cuántos participantes debo seleccionar para mi investigación. Enfermeria Intensiv. 2022, 33, 44–47. [Google Scholar] [CrossRef]
- JASP Team. JASP (Version 0.19.0). 2024. Available online: https://jasp-stats.org/ (accessed on 28 April 2025).
- Hayes, A.F. Introduction to Mediation, Moderation, and Conditional Process Analysis: A Regression-Based Approach; Guilford Publications: New York, NY, USA, 2022. [Google Scholar]
- Janmeja, A.; Aggarwal, D.; Dhillon, R. Factors predicting treatment success in multi-drug resistant tuberculosis patients treated under programmatic conditions. Indian J. Tuberc. 2018, 65, 135–139. [Google Scholar] [CrossRef] [PubMed]
- Ferguson, L.A.; Rhoads, J. Multidrug-resistant and extensively drug-resistant tuberculosis: The new face of an old disease. J. Am. Assoc. Nurse Pract. 2009, 21, 603–609. [Google Scholar] [CrossRef] [PubMed]
- Chapman, H.J.; BVeras-Estévez, A.; Pomeranz, J.L.; Pérez-Then, E.N.; Marcelino, B.; Lauzardo, M. Perceived barriers to adherence to tuberculosis infection control measures among health care workers in the Dominican Republic. MEDICC Rev. 2017, 19, 16–22. [Google Scholar] [CrossRef] [PubMed]
- Bhatt, G.; Vyas, S.; Trivedil, K. An epidemiological study of Multi Drug Resistant Tuberculosis cases registered under revised national tuberculosis control programme of Ahmedabad City. Indian J. Tuberc. 2012, 59, 18–27. [Google Scholar]
- Miao, Z.P.; Wang, Y.J.; Yuan, H.Y.; Song, M.F.; Jin, Z.C.; Wu, Y.F.; Chen, X.Y.; Cheng, Q.L. Analysis of gender differences in knowledge attitudes and behaviors regarding tuberculosis prevention and control among high school students. Chin. J. Sch. Health 2024, 45, 1634–1637. [Google Scholar] [CrossRef]
- Bonilla, J.M.L.; Bonilla, L.M.L. La capacidad de carga turística: Revisión crítica de un instrumento de medida de sostenibilidad. El Periplo Sustentable 2008, 15, 123–150. [Google Scholar] [CrossRef]
- Alarcón, R.; Jiménez, E.d.P.; de Vicente-Yagüe, M.I. Development and validation of the DIGIGLO, a tool for assessing the digital competence of educators. Br. J. Educ. Technol. 2020, 51, 2407–2421. [Google Scholar] [CrossRef]


| Variable | Category | n | % |
|---|---|---|---|
| Age | |||
| Mean ± SD (range) | 34.2 ± 12.8 years (18–74) | - | - |
| 18–20 years | 18–20 | 25 | 9.54 |
| 21–30 years | 21–30 | 87 | 33.21 |
| 31–40 years | 31–40 | 58 | 22.14 |
| 41–50 years | 41–50 | 45 | 17.18 |
| 51–60 years | 51–60 | 27 | 10.31 |
| ≥61 years | ≥61 | 20 | 7.63 |
| Sex | |||
| Female | Female | 128 | 48.85 |
| Male | Male | 134 | 51.15 |
| Marital status | |||
| Single | Single | 58 | 22.14 |
| Married | Married | 48 | 18.32 |
| Cohabiting | Cohabiting | 57 | 21.75 |
| Divorced | Divorced | 46 | 17.56 |
| Widowed | Widowed | 53 | 20.23 |
| Educational level | |||
| No formal education | Illiterate | 58 | 22.14 |
| Primary education | Primary | 56 | 21.37 |
| Secondary education | Secondary | 55 | 20.99 |
| Technical education | Technical degree | 42 | 16.03 |
| University education | University degree | 51 | 19.47 |
| Place of residence | |||
| Urban | Urban | 101 | 38.55 |
| Marginal urban | Marginal urban | 84 | 32.06 |
| Rural | Rural | 77 | 29.39 |
| Occupation | |||
| Housewife | Housewife | 52 | 19.85 |
| Worker | Worker | 55 | 20.99 |
| Employee | Employee | 50 | 19.08 |
| Student | Student | 44 | 16.79 |
| Unemployed | Unemployed | 61 | 23.28 |
| Hayes Number ᵃ | AIC | AIC Weight | BIC | BIC Weight | Log-Likelihood | n | df | |
|---|---|---|---|---|---|---|---|---|
| Mediation model | 4 | 4080.153 | 1.000 | 4123.770 | 1.000 | −2028.076 | 280 | 3 |
| R2 | R2 General | |
|---|---|---|
| Mediation Model | ||
| Preventive_practices | 0.297 | 0.117 |
| Occupation | 0.088 | |
| school_level | 0.056 | |
| sex | 0.028 |
| 95% Confidence Interval | ||||||||||
|---|---|---|---|---|---|---|---|---|---|---|
| Label | B | Std. Error | z Value | p | Lower | Upper | Std. Estimate | |||
| Knowledge | → | Preventive_practices | c1 | 0.194 | 0.052 | 3.701 | <0.001 | 0.091 | 0.265 | 0.200 |
| Occupation | → | Preventive_practices | b1 | 0.023 | 0.033 | 0.697 | 0.486 | −0.041 | 0.087 | 0.037 |
| school_level | → | Preventive_practices | b2 | 0.308 | 0.050 | 6.168 | <0.001 | 0.210 | 0.406 | 0.318 |
| sex | → | Preventive_practices | b3 | −0.402 | 0.049 | −8.256 | <0.001 | −0.498 | −0.307 | −0.415 |
| Knowledge | → | Occupation | a1 | −0.462 | 0.089 | −5.187 | <0.001 | −0.636 | −0.287 | −0.296 |
| Knowledge | → | school_level | a2 | 0.236 | 0.058 | 4.069 | <0.001 | 0.122 | 0.350 | 0.236 |
| Knowledge | → | sex | a3 | 0.087 | 0.060 | 1.461 | 0.144 | −0.030 | 0.204 | 0.087 |
| 95% Confidence Interval | ||||||||||||
|---|---|---|---|---|---|---|---|---|---|---|---|---|
| Label | B | Std. Error | z Value | p | Lower | Upper | Std. Estimate | |||||
| Knowledge | → | Occupation | → | Preventive_practices | a1 × b1 | −0.010 | 0.015 | −0.690 | 0.490 | −0.040 | 0.019 | −0.011 |
| Knowledge | → | school_level | → | Preventive_practices | a2 × b2 | 0.073 | 0.021 | 3.397 | <0.001 | 0.031 | 0.115 | 0.075 |
| Knowledge | → | sex | → | Preventive_practices | a3 × b3 | −0.035 | 0.024 | −1.439 | 0.150 | −0.083 | 0.013 | −0.036 |
| 95% Confidence Interval | |||||||||||
|---|---|---|---|---|---|---|---|---|---|---|---|
| Label | f2 | Std. Error | z Value | p | Lower | Upper | Std. Estimate | ||||
| Total | Knowledge | → | Preventive_practices | c1 + a1 × b1 + a2 × b2 + a3 × b3 | 0.166 | 0.057 | 2.917 | 0.004 | 0.055 | 0.172 | 0.278 |
| Total indirect | Knowledge | → | Preventive_practices | a1 × b1 + a2 × b2 + a3 × b3 | 0.027 | 0.036 | 0.764 | 0.445 | −0.043 | 0.097 | 0.028 |
Disclaimer/Publisher’s Note: The statements, opinions and data contained in all publications are solely those of the individual author(s) and contributor(s) and not of MDPI and/or the editor(s). MDPI and/or the editor(s) disclaim responsibility for any injury to people or property resulting from any ideas, methods, instructions or products referred to in the content. |
© 2025 by the authors. Licensee MDPI, Basel, Switzerland. This article is an open access article distributed under the terms and conditions of the Creative Commons Attribution (CC BY) license (https://creativecommons.org/licenses/by/4.0/).
Share and Cite
Guardia Zuñiga, R.C.; Abad de Vite, B.V.; Azañero Suarez, A.; Espino Carrasco, D.K.; García Santos, E.; Lajo Aquise, I.E.; Cachay Sánchez, I. Educational Level Mediates the Relationship Between Knowledge and Preventive Practices in Multidrug-Resistant Tuberculosis Patients. Epidemiologia 2025, 6, 75. https://doi.org/10.3390/epidemiologia6040075
Guardia Zuñiga RC, Abad de Vite BV, Azañero Suarez A, Espino Carrasco DK, García Santos E, Lajo Aquise IE, Cachay Sánchez I. Educational Level Mediates the Relationship Between Knowledge and Preventive Practices in Multidrug-Resistant Tuberculosis Patients. Epidemiologia. 2025; 6(4):75. https://doi.org/10.3390/epidemiologia6040075
Chicago/Turabian StyleGuardia Zuñiga, Raquel Clemencia, Blanca Victoria Abad de Vite, Amariles Azañero Suarez, Danicsa Karina Espino Carrasco, Esther García Santos, Idalia Eufemia Lajo Aquise, and Irma Cachay Sánchez. 2025. "Educational Level Mediates the Relationship Between Knowledge and Preventive Practices in Multidrug-Resistant Tuberculosis Patients" Epidemiologia 6, no. 4: 75. https://doi.org/10.3390/epidemiologia6040075
APA StyleGuardia Zuñiga, R. C., Abad de Vite, B. V., Azañero Suarez, A., Espino Carrasco, D. K., García Santos, E., Lajo Aquise, I. E., & Cachay Sánchez, I. (2025). Educational Level Mediates the Relationship Between Knowledge and Preventive Practices in Multidrug-Resistant Tuberculosis Patients. Epidemiologia, 6(4), 75. https://doi.org/10.3390/epidemiologia6040075
