Sex Differences in Cancer-Specific Survival Are Pronounced during Adolescence and Young Adulthood: A SEER Population-Based Study
Abstract
:1. Introduction
2. Materials and Methods
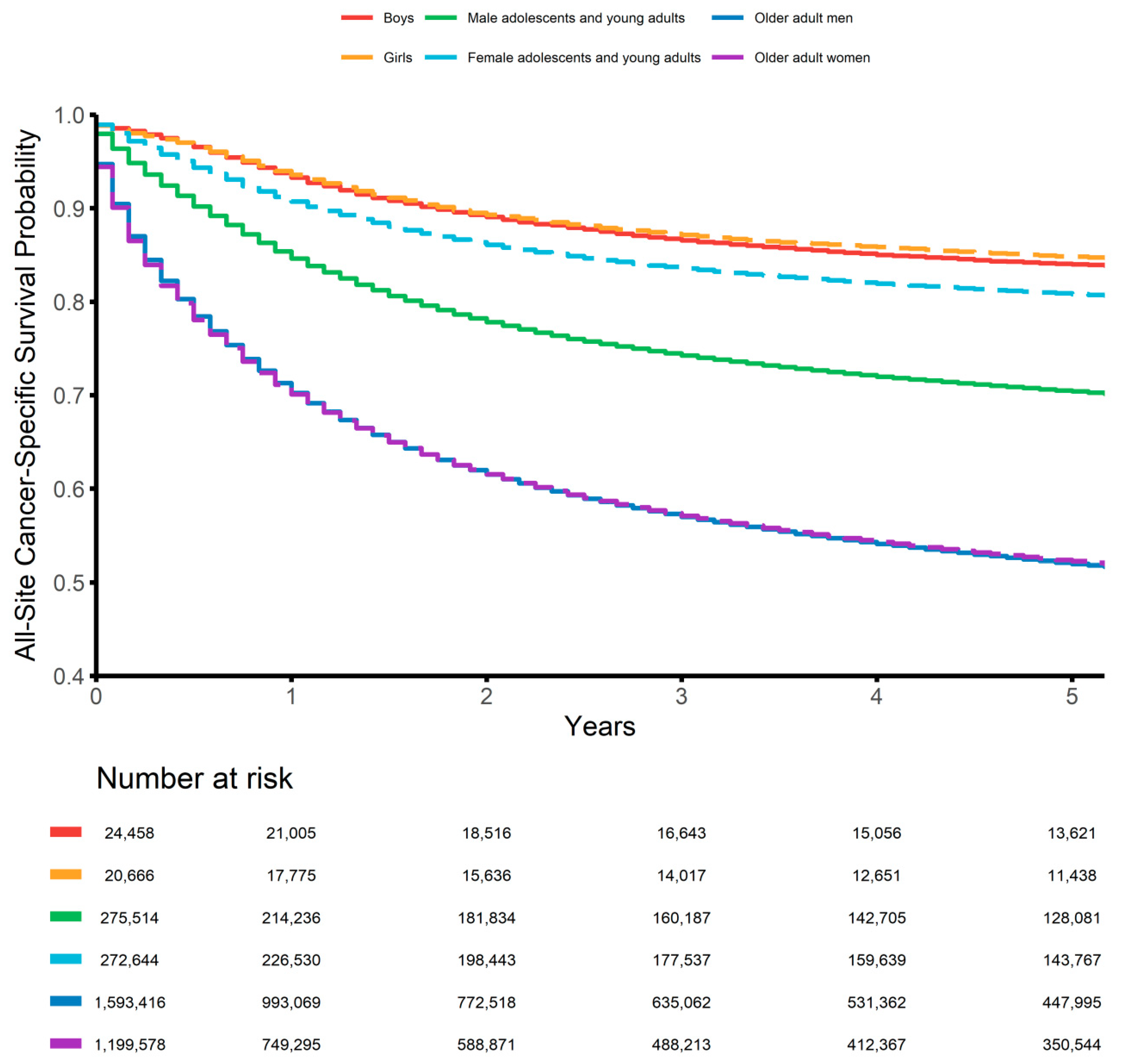
3. Results
4. Discussion
5. Conclusions
Supplementary Materials
Author Contributions
Funding
Institutional Review Board Statement
Informed Consent Statement
Data Availability Statement
Acknowledgments
Conflicts of Interest
References
- Cullen, M.R.; Baiocchi, M.; Eggleston, K.; Loftus, P.; Fuchs, V. The weaker sex? Vulnerable men and women’s resilience to socio-economic disadvantage. SSM-Popul. Health 2016, 2, 512–524. [Google Scholar] [CrossRef] [PubMed] [Green Version]
- Morrow, E.H. The evolution of sex differences in disease. Biol. Sex Differ. 2015, 6, 1–7. [Google Scholar] [CrossRef] [Green Version]
- Najari, B.B.; Rink, M.; Li, P.S.; Karakiewicz, P.I.; Scherr, D.; Shabsigh, R.; Meryn, S.; Schlegel, P.N.; Shariat, S.F. Sex Disparities in Cancer Mortality: The Risks of Being a Man in the United States. J. Urol. 2013, 189, 1470–1474. [Google Scholar] [CrossRef] [PubMed]
- Cook, M.B.; McGlynn, K.A.; Devesa, S.S.; Freedman, N.D.; Anderson, W.F. Sex Disparities in Cancer Mortality and Survival. Cancer Epidemiol. Biomark. Prev. 2011, 20, 1629–1637. [Google Scholar] [CrossRef] [Green Version]
- Micheli, A.; Ciampichini, R.; Oberaigner, W.; Ciccolallo, L.; de Vries, E.; Izarzugaza, I.; Zambon, P.; Gatta, G.; De Angelis, R. The advantage of women in cancer survival: An analysis of EUROCARE-4 data. Eur. J. Cancer 2009, 45, 1017–1027. [Google Scholar] [CrossRef]
- Radkiewicz, C.; Johansson, A.L.; Dickman, P.W.; Lambe, M.; Edgren, G. Sex differences in cancer risk and survival: A Swedish cohort study. Eur. J. Cancer 2017, 84, 130–140. [Google Scholar] [CrossRef]
- Jung, K.-W.; Park, S.; Shin, A.; Oh, C.-M.; Kong, H.-J.; Jun, J.K.; Won, Y.-J. Do Female Cancer Patients Display Better Survival Rates Compared with Males? Analysis of the Korean National Registry Data, 2005–2009. PLoS ONE 2012, 7, e52457. [Google Scholar] [CrossRef] [Green Version]
- Innos, K.; Padrik, P.; Valvere, V.; Aareleid, T. Sex differences in cancer survival in Estonia: A population-based study. BMC Cancer 2015, 15, 72. [Google Scholar] [CrossRef] [PubMed] [Green Version]
- Ellison, L.F. Differences in cancer survival in Canada by sex. Health Rep. 2016, 27, 19–27. [Google Scholar]
- Klein, S.L.; Flanagan, K.L. Sex differences in immune responses. Nat. Rev. Immunol. 2016, 16, 626–638. [Google Scholar] [CrossRef]
- Bupp, M.R.G.; Potluri, T.; Fink, A.L.; Klein, S.L. The Confluence of Sex Hormones and Aging on Immunity. Front. Immunol. 2018, 9, 1269. [Google Scholar] [CrossRef] [PubMed]
- Trigunaite, A.; Dimo, J.; Jørgensen, T.N. Suppressive effects of androgens on the immune system. Cell. Immunol. 2015, 294, 87–94. [Google Scholar] [CrossRef] [PubMed]
- Hankey, B.F.; Ries, L.A.; Edwards, B.K. The surveillance, epidemiology, and end results program: A national resource. Cancer Epidemiol. Biomark. Prev. 1999, 8, 1117–1121. [Google Scholar]
- Surveillance, Epidemiology, and End Results (SEER) Program. SEER*Stat Database: Incidence—SEER Research Data, 18 Registries, Nov 2019 Sub (2000–2017)—Linked to County Attributes—Time Dependent (1990–2017) Income/Rurality, 1969–2018 Counties, National Cancer Institute, DCCPS, Surveillance Research Program, Released April 2020, Based on the November 2019 Submission. Available online: www.seer.cancer.gov (accessed on 31 August 2021).
- Cook, M.B.; Dawsey, S.M.; Freedman, N.D.; Inskip, P.D.; Wichner, S.M.; Quraishi, S.M.; Devesa, S.S.; McGlynn, K.A. Sex Disparities in Cancer Incidence by Period and Age. Cancer Epidemiol. Biomark. Prev. 2009, 18, 1174–1182. [Google Scholar] [CrossRef] [PubMed] [Green Version]
- Nicholas, D.R. Men, Masculinity, and Cancer: Risk-factor Behaviors, Early Detection, and Psychosocial Adaptation. J. Am. Coll. Health 2000, 49, 27–33. [Google Scholar] [CrossRef]
- Lauby-Secretan, B.; Scoccianti, C.; Loomis, D.; Grosse, Y.; Bianchini, F.; Straif, K.; International Agency for Research on Cancer Handbook Working Group. Body Fatness and Cancer—Viewpoint of the IARC Working Group. N. Engl. J. Med. 2016, 375, 794–798. [Google Scholar] [CrossRef] [PubMed] [Green Version]
- NCD Risk Factor Collaboration (NCD-RisC). Trends in adult body-mass index in 200 countries from 1975 to 2014: A pooled analysis of 1698 population-based measurement studies with 19·2 million participants. Lancet 2016, 387, 1377–1396. [Google Scholar] [CrossRef] [Green Version]
- Islami, F.; Sauer, A.G.; Gapstur, S.M.; Jemal, A. Proportion of Cancer Cases Attributable to Excess Body Weight by US State, 2011-2015. JAMA Oncol. 2019, 5, 384–392. [Google Scholar] [CrossRef]
- Dunford, A.; Weinstock, D.M.; Savova, V.; Schumacher, S.E.; Cleary, J.P.; Yoda, A.; Sullivan, T.J.; Hess, J.M.; Gimelbrant, A.A.; Beroukhim, R.; et al. Tumor-suppressor genes that escape from X-inactivation contribute to cancer sex bias. Nat. Genet. 2017, 49, 10–16. [Google Scholar] [CrossRef] [Green Version]
- Case, L.K.; Teuscher, C. Y genetic variation and phenotypic diversity in health and disease. Biol. Sex Differ. 2015, 6, 1–9. [Google Scholar] [CrossRef] [Green Version]
- Dumanski, J.P.; Rasi, C.; Lönn, M.; Davies, H.; Ingelsson, M.; Giedraitis, V.; Lannfelt, L.; Magnusson, P.; Lindgren, C.; Morris, A.P.; et al. Smoking is associated with mosaic loss of chromosome Y. Science 2015, 347, 81–83. [Google Scholar] [CrossRef] [Green Version]
- Forsberg, L.A.; Rasi, C.; Malmqvist, N.; Davies, H.; Pasupulati, S.; Pakalapati, G.; Sandgren, J.; De Ståhl, T.D.; Zaghlool, A.; Giedraitis, V.; et al. Mosaic loss of chromosome Y in peripheral blood is associated with shorter survival and higher risk of cancer. Nat. Genet. 2014, 46, 624–628. [Google Scholar] [CrossRef] [PubMed] [Green Version]
- Li, C.H.; Haider, S.; Shiah, Y.-J.; Thai, K.; Boutros, P.C. Sex Differences in Cancer Driver Genes and Biomarkers. Cancer Res. 2018, 78, 5527–5537. [Google Scholar] [CrossRef] [PubMed] [Green Version]
- Yuan, Y.; Liu, L.; Chen, H.; Wang, Y.; Xu, Y.; Mao, H.; Li, J.; Mills, G.B.; Shu, Y.; Li, L.; et al. Comprehensive Characterization of Molecular Differences in Cancer between Male and Female Patients. Cancer Cell 2016, 29, 711–722. [Google Scholar] [CrossRef] [PubMed] [Green Version]
- Pinheiro, I.; Dejager, L.; Libert, C. X-chromosome-located microRNAs in immunity: Might they explain male/female differences? BioEssays 2011, 33, 791–802. [Google Scholar] [CrossRef] [PubMed]
- Ward, W.; Farma, J.M. (Eds.) Cutaneous Melanoma: Etiology and Therapy; Codon Publications: Brisbane, QLD, Australia, 2017. [Google Scholar]
- Aubin, S.; Barr, R.; Rogers, P.; Schacter, B.; Bielack, S.S.; Ferrari, A.; Manchester, R.A.; McMaster, K.; Morgan, S.; Patterson, M.; et al. What Should the Age Range Be for AYA Oncology? J. Adolesc. Young Adult Oncol. 2011, 1, 3–10. [Google Scholar] [CrossRef]
- Nichols, H.B.; Trentham-Dietz, A.; Hampton, J.M.; Titus-Ernstoff, L.; Egan, K.M.; Willett, W.C.; Newcomb, P.A. From Menarche to Menopause: Trends among US Women Born from 1912 to 1969. Am. J. Epidemiol. 2006, 164, 1003–1011. [Google Scholar] [CrossRef] [Green Version]






Publisher’s Note: MDPI stays neutral with regard to jurisdictional claims in published maps and institutional affiliations. |
© 2021 by the authors. Licensee MDPI, Basel, Switzerland. This article is an open access article distributed under the terms and conditions of the Creative Commons Attribution (CC BY) license (https://creativecommons.org/licenses/by/4.0/).
Share and Cite
Sultan, I.; Amarin, J.Z.; Mansour, R.; Sultan, H.; Al-Hussaini, M. Sex Differences in Cancer-Specific Survival Are Pronounced during Adolescence and Young Adulthood: A SEER Population-Based Study. Epidemiologia 2021, 2, 391-401. https://doi.org/10.3390/epidemiologia2030029
Sultan I, Amarin JZ, Mansour R, Sultan H, Al-Hussaini M. Sex Differences in Cancer-Specific Survival Are Pronounced during Adolescence and Young Adulthood: A SEER Population-Based Study. Epidemiologia. 2021; 2(3):391-401. https://doi.org/10.3390/epidemiologia2030029
Chicago/Turabian StyleSultan, Iyad, Justin Z. Amarin, Razan Mansour, Hala Sultan, and Maysa Al-Hussaini. 2021. "Sex Differences in Cancer-Specific Survival Are Pronounced during Adolescence and Young Adulthood: A SEER Population-Based Study" Epidemiologia 2, no. 3: 391-401. https://doi.org/10.3390/epidemiologia2030029
APA StyleSultan, I., Amarin, J. Z., Mansour, R., Sultan, H., & Al-Hussaini, M. (2021). Sex Differences in Cancer-Specific Survival Are Pronounced during Adolescence and Young Adulthood: A SEER Population-Based Study. Epidemiologia, 2(3), 391-401. https://doi.org/10.3390/epidemiologia2030029

