Intrinsic Metal Component-Assisted Microwave Pyrolysis and Kinetic Study of Waste Printed Circuit Boards
Abstract
1. Introduction
2. Materials and Methods
2.1. Materials
2.2. Devices
2.3. Methods
2.4. Characterization
2.5. Kinetic Calculation
- k—reaction rate constant;
- α—weight loss rate during the reaction.
- A—frequency factor (min−1);
- ΔE—activation energy (kJ/mol);
- R—gas constant (8.314 J/mol·K);
- T—reaction absolute temperature (K).
- 5.
- β—the rate of warming.
- ΔEα—activation energy for the given α(kJ/mol);
- Tα—absolute temperature for the given α(K).
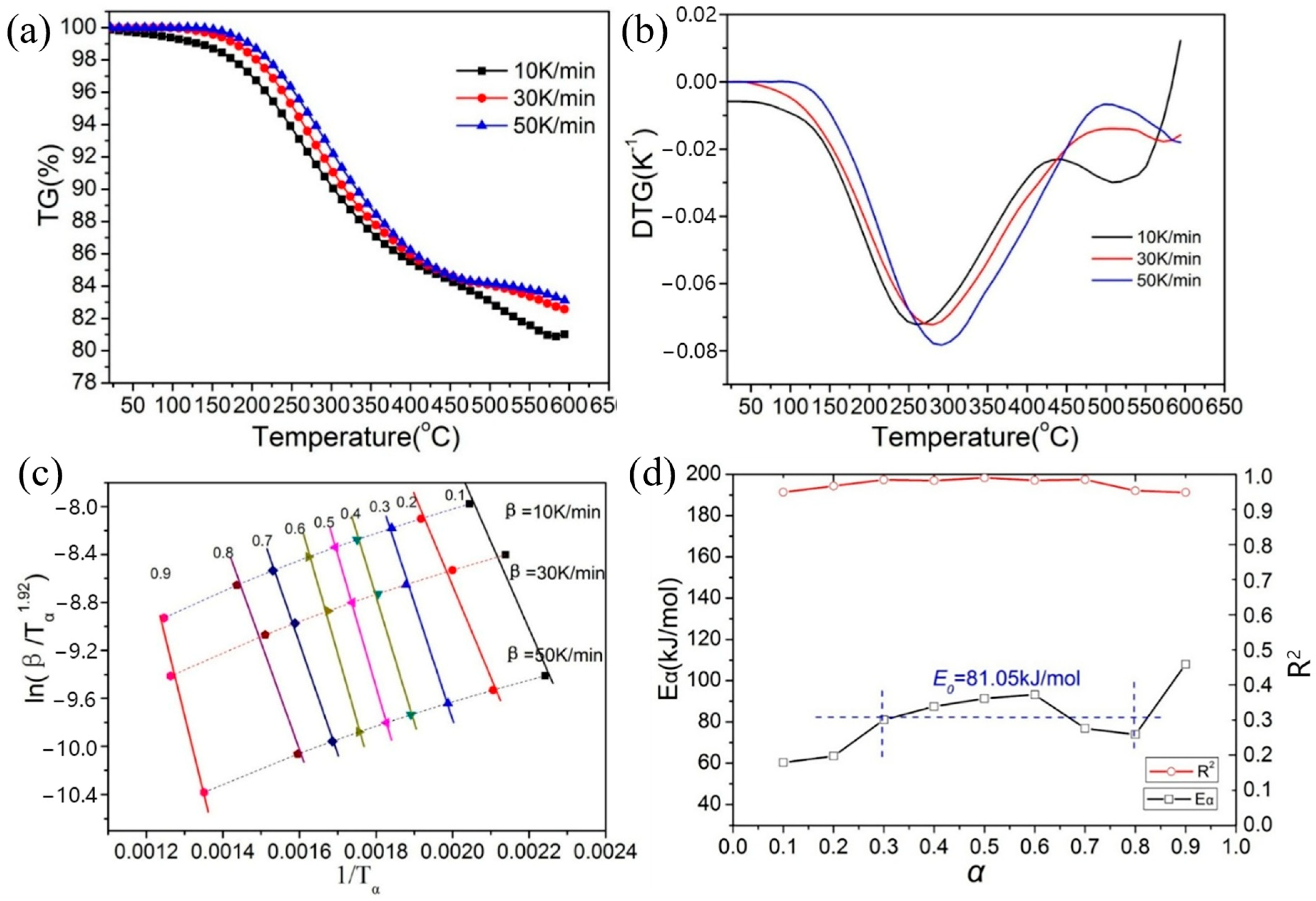
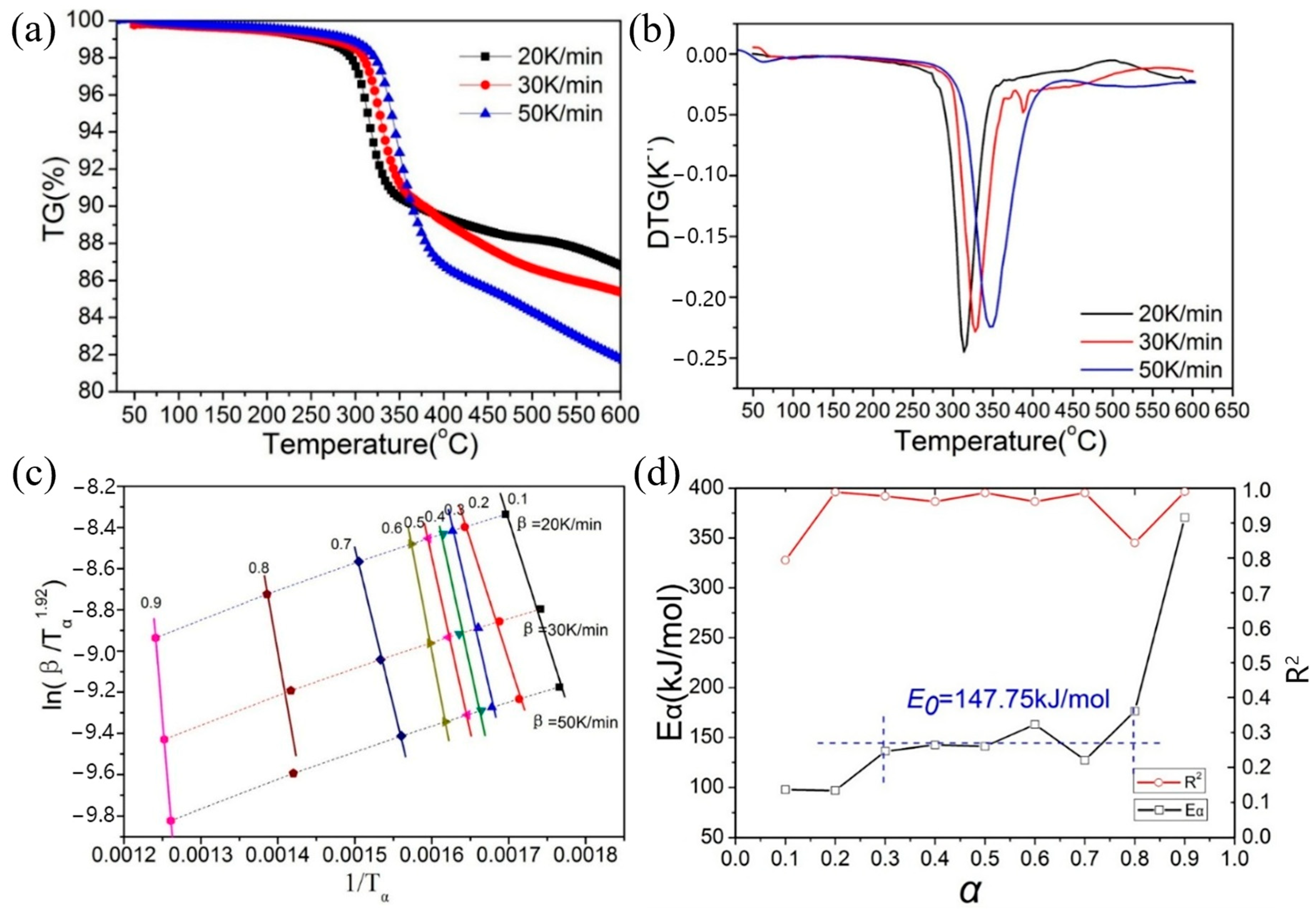
3. Results and Discussion
3.1. Composition and Pyrolysis Characterization of WPCBs
3.2. Effect of Microwave Pyrolysis Conditions on Pyrolysis Temperature
3.3. Analysis of Factors Affecting Microwave Pyrolysis of WPCBs
3.3.1. Effect of Metal Filler Addition on Pyrolysis Effect
3.3.2. Effect of MP on Pyrolysis Effect
3.3.3. Effect of Microwave Irradiation Time on Pyrolysis Effect
3.4. Comparison of Microwave Pyrolysis and Normal PL Phase Products
3.5. Pyrolysis Kinetics and Related Mechanisms of Action
4. Conclusions
Supplementary Materials
Author Contributions
Funding
Data Availability Statement
Conflicts of Interest
References
- Forti, V.; Baldé, C.; Kuehr, R.; Bel, G. The Global E-Waste Monitor 2020. Quantities, Flows, and the Circular Economy Potential; United Nations University/United Nations Institute for Training and Research, International Telecommunication Union, and International Solid Waste Association 2020. Available online: https://www.itu.int/en/ITU-D/Environment/Documents/Toolbox/GEM_2020_def.pdf (accessed on 4 October 2024).
- Zhang, Y.; Zhou, C.; Liu, Y.; Zhang, T.; Li, X.; Wang, L.; Dai, J.; Qu, J.; Zhang, C.; Yu, M.; et al. Product characteristics and potential energy recovery for microwave assisted pyrolysis of waste printed circuit boards in a continuously operated auger pyrolyser. Energy 2022, 239, 122383. [Google Scholar] [CrossRef]
- Zhu, P.; Chen, Y.; Wang, L.Y.; Zhou, M. Treatment of waste printed circuit board by green solvent using ionic liquid. Waste Manag. 2012, 32, 1914–1918. [Google Scholar] [CrossRef] [PubMed]
- Huang, Z.; Deng, D.; Qiao, J.; Ju, Y.; Chen, Y.; Dionysiou, D.D. New insight into the cosolvent effect on the degradation of tetrabromobisphenol A (TBBPA) over millimeter-scale palladised sponge iron (Pd-s-Fe0) particles. Chem. Eng. J. 2019, 361, 1423–1436. [Google Scholar] [CrossRef]
- Hadi, P.; Xu, M.; Lin, C.S.K.; Hui, C.-W.; McKay, G. Waste printed circuit board recycling techniques and product utilization. J. Hazard. Mater. 2015, 283, 234–243. [Google Scholar] [CrossRef] [PubMed]
- Hao, J.; Wang, Y.; Wu, Y.; Guo, F. Metal recovery from waste printed circuit boards: A review for current status and perspectives. Resour. Conserv. Recycl. 2020, 157, 104787. [Google Scholar] [CrossRef]
- Zhang, Y.; Zhou, C.; Liu, Y.; Qu, J.; Ali Siyal, A.; Yao, B.; Dai, J.; Liu, C.; Chao, L.; Chen, L.; et al. The fate of bromine during microwave-assisted pyrolysis of waste printed circuit boards. Waste Manag. 2024, 173, 160–171. [Google Scholar] [CrossRef]
- Huang, Y.F.; Lo, S.L. Energy recovery from waste printed circuit boards using microwave pyrolysis: Product characteristics, reaction kinetics, and benefits. Environ. Sci. Pollut. Res. 2020, 27, 43274–43282. [Google Scholar] [CrossRef]
- Li, C.Y.; Liu, C.F.; Xia, H.Y.; Zeng, K.Q.; Zhang, L.B. Bromine Migration and Product Analysis of Waste Printed Circuit Boards during Microwave Steam-Gasification-Assisted Pyrolysis. ChemistrySelect 2023, 8, e202301327. [Google Scholar] [CrossRef]
- Shen, Y. Effect of chemical pretreatment on pyrolysis of non-metallic fraction recycled from waste printed circuit boards. Waste Manag. 2018, 76, 537–543. [Google Scholar] [CrossRef]
- Ma, C.; Kamo, T. Two-stage catalytic pyrolysis and debromination of printed circuit boards: Effect of zero-valent Fe and Ni metals. J. Anal. Appl. Pyrolysis 2018, 134, 614–620. [Google Scholar] [CrossRef]
- Liu, W.; Longnecker, M.; Tarone, A.M.; Tomberlin, J.K. Responses of Lucilia sericata (Diptera: Calliphoridae) to compounds from microbial decomposition of larval resources. Anim. Behav. 2016, 115, 217–225. [Google Scholar] [CrossRef]
- Barbosa, A.S.; Siqueira, L.A.M.; Medeiros, R.L.B.A.; Melo, D.M.A.; Melo, M.A.F.; Freitas, J.C.O.; Braga, R.M. Renewable aromatics through catalytic flash pyrolysis of pineapple crown leaves using HZSM-5 synthesized with RHA and diatomite. Waste Manag. 2019, 88, 347–355. [Google Scholar] [CrossRef] [PubMed]
- Andersson, M.; Wedel, M.K.; Forsgren, C.; Christéen, J. Microwave assisted pyrolysis of residual fractions of waste electrical and electronics equipment. Miner. Eng. 2012, 29, 105–111. [Google Scholar] [CrossRef]
- Peng, Z.; Wang, J.; Zhang, X.; Yan, J.; Shang, W.; Yu, J.; Zhu, G.; Rao, M.; Li, G.; Jiang, T. Enrichment of heavy metals from spent printed circuit boards by microwave pyrolysis. Waste Manag. 2022, 145, 112–120. [Google Scholar] [CrossRef] [PubMed]
- Nandihalli, N.; Gregory, D.H.; Mori, T. Energy-Saving Pathways for Thermoelectric Nanomaterial Synthesis: Hydrothermal/Solvothermal, Microwave-Assisted, Solution-Based, and Powder Processing. Adv. Sci. 2022, 9, 2106052. [Google Scholar] [CrossRef] [PubMed]
- Alias, N.; Zaini, M.A.A.; Kamaruddin, M.J. Relationships between dielectric properties and characteristics of impregnated and activated samples of potassium carbonate-and sodium hydroxide-modified palm kernel shell for microwave-assisted activation. Carbon Lett. 2017, 24, 62–72. [Google Scholar] [CrossRef]
- Fu, B.A.; Chen, M.Q.; Huang, Y.W.; Luo, H.F. Combined effects of additives and power levels on microwave drying performance of lignite thin layer. Drying Technology 2017, 35, 227–239. [Google Scholar] [CrossRef]
- Li, J.; Dai, J.; Liu, G.; Zhang, H.; Gao, Z.; Fu, J.; He, Y.; Huang, Y. Biochar from microwave pyrolysis of biomass: A review. Biomass Bioenergy 2016, 94, 228–244. [Google Scholar] [CrossRef]
- Chen, W.; Gutmann, B.; Kappe, C.O. Characterization of Microwave-Induced Electric Discharge Phenomena in Metal–Solvent Mixtures. ChemistryOpen 2012, 1, 39–48. [Google Scholar] [CrossRef]
- Li, J.; Tao, J.; Yan, B.; Jiao, L.; Chen, G.; Hu, J. Review of microwave-based treatments of biomass gasification tar. Renew. Sustain. Energy Rev. 2021, 150, 111510. [Google Scholar] [CrossRef]
- Sun, J.; Wang, W.; Yue, Q.; Ma, C.; Zhang, J.; Zhao, X.; Song, Z. Review on microwave-metal discharges and their applications in energy and industrial processes. Appl. Energy 2016, 175, 141–157. [Google Scholar] [CrossRef]
- Gao, R.; Liu, B.; Zhan, L.; Guo, J.; Zhang, J.; Xu, Z. Catalytic effect and mechanism of coexisting copper on conversion of organics during pyrolysis of waste printed circuit boards. J. Hazard. Mater. 2021, 403, 123465. [Google Scholar] [CrossRef] [PubMed]
- Zhao, M.; Johnson, M.; He, W.Z.; Li, G.M.; Zhao, C.; Huang, J.W.; Zhu, H.C. Transformation of waste crystalline silicon into submicro β-SiC by multimode microwave sintering with low carbon emissions. Powder Technol. 2017, 322, 290–295. [Google Scholar] [CrossRef]
- Sun, J.; Wang, W.L.; Liu, Z.; Ma, Q.L.; Zhao, C.; Ma, C.Y. Kinetic Study of the Pyrolysis of Waste Printed Circuit Board Subject to Conventional and Microwave Heating. Energies 2012, 5, 3295–3306. [Google Scholar] [CrossRef]
- Wu, D.; Ding, G.Z.; Chi, W.F.; Jiang, L.J. Research on the pyrolysis kinetics of resin powder on waste printed circuit board with different particle sizes at different heating rates: Inspiration for the pyrolysis mechanism. J. Therm. Anal. Calorim. 2022, 147, 8047–8059. [Google Scholar] [CrossRef]
- Yao, Z.T.; Reinmöller, M.; Ortuño, N.; Zhou, H.X.; Jin, M.Q.; Liu, J.; Luque, R. Thermochemical conversion of waste printed circuit boards: Thermal behavior, reaction kinetics, pollutant evolution and corresponding controlling strategies. Prog. Energy Combust. Sci. 2023, 97, 101086. [Google Scholar] [CrossRef]
- Yin, J.; Li, G.; He, W.; Ruan, J.; Zhu, S. Pyrolysis kinetics of non-metallic in waste printed circuit boards. Chin. J. Environ. Eng. 2014, 8, 3946–3950. [Google Scholar]
- Huidobro, J.A.; Iglesias, I.; Alfonso, B.F.; Espina, A.; Trobajo, C.; Garcia, J.R. Reducing the effects of noise in the calculation of activation energy by the Friedman method. Chemom. Intell. Lab. Syst. 2016, 151, 146–152. [Google Scholar] [CrossRef]
- Yu, Y.; Fu, X.; Yu, L.; Liu, R.; Cai, J. Combustion kinetics of pine sawdust biochar: Data smoothing and isoconversional kinetic analysis. J. Therm. Anal. Calorim. 2016, 124, 1641–1649. [Google Scholar] [CrossRef]
- Chen, M.; Huang, J.; Ogunseitan, O.A.; Zhu, N.; Wang, Y.-M. Comparative study on copper leaching from waste printed circuit boards by typical ionic liquid acids. Waste Manag. 2015, 41, 142–147. [Google Scholar] [CrossRef]
- Clemente-Castro, S.; Palma, A.; Ruiz-Montoya, M.; Giráldez, I.; Díaz, M.J. Pyrolysis kinetic, thermodynamic and product analysis of different leguminous biomasses by Kissinger-Akahira-Sunose and pyrolysis-gas chromatography-mass spectrometry. J. Anal. Appl. Pyrolysis 2022, 162, 105457. [Google Scholar] [CrossRef]
- Guldberg, C.M.; Waage, P. Ueber die chemische Affinität. § 1. Einleitung. J. Prakt. Chem. 1879, 19, 69–114. [Google Scholar] [CrossRef]
- Hino, T.; Agawa, R.; Moriya, Y.; Nishida, M.; Tsugita, Y.; Araki, T. Techniques to separate metal from waste printed circuit boards from discarded personal computers. J. Mater. Cycles Waste Manag. 2009, 11, 42–54. [Google Scholar] [CrossRef]
- Chen, M.J.; Lin, Y.C.; Wang, X.N.; Zhong, L.; Li, Q.L.; Liu, Z.G. Influence of Cuprous Oxide on Enhancing the Flame Retardancy and Smoke Suppression of Epoxy Resins Containing Microencapsulated Ammonium Polyphosphate. Ind. Eng. Chem. Res. 2015, 54, 12705–12713. [Google Scholar] [CrossRef]
- Liu, Y.; Zhang, J.; Yang, X.; Yang, W.; Chen, Y.; Wang, C. Efficient recovery of valuable metals from waste printed circuit boards by microwave pyrolysis. Chin. J. Chem. Eng. 2021, 40, 262–268. [Google Scholar] [CrossRef]
- Jiang, Z.Y.; Sun, J.; Wang, W.L.; Zhu, H.C.; Li, J.W.; Song, Z.L.; Zhao, X.Q.; Mao, Y.P.; Chen, S.Y. Numerical study on the role of microwave-metal discharge in microwave pyrolysis of WPCBs. Waste Dispos. Sustain. Energy 2021, 3, 185–200. [Google Scholar] [CrossRef]
- Hanafi, N.H.M.; Rozali, S.; Ibrahim, S. A review of the application of microwave-metal interactions on the microwave-metal-assisted pyrolysis (MMAP). Biomass Convers. Biorefinery 2024, 14, 13611–13628. [Google Scholar] [CrossRef]













| Component | Sample 1 | Sample 2 | Sample 3 | Average |
|---|---|---|---|---|
| Non-flammable component | 62.16% | 71.18% | 69.85% | 67.73% |
| Organic component | 37.84% | 28.82% | 30.15% | 32.27% |
| Elemental | Content | Average | |
|---|---|---|---|
| C | 17.17% | 16.84% | 17.01% |
| H | 1.84% | 1.77% | 1.80% |
| N | 0.36% | 0.37% | 0.37% |
| Metal Element | Content (%) | Metal Element | Content (%) | Metal Element | Content (%) |
|---|---|---|---|---|---|
| Cu | 30.53 | Al | 1.65 | Ni | 0.04 |
| Sn | 9.45 | Fe | 0.14 | K | 0.04 |
| Pb | 1.83 | Na | 0.14 | Mg | 0.05 |
| Ca | 1.76 | Zn | 0.11 | Cr | 0.01 |
| Sum of metal element | 45.75% | ||||
| Metal | Unkown | Au | Ca | Cr | Cu | Fe | Na | Ni | Sn | Zn |
|---|---|---|---|---|---|---|---|---|---|---|
| Content (%) | 4.90 | 0.71 | 0.54 | 0.11 | 76.30 | 0.30 | 0.10 | 1.39 | 15.36 | 0.17 |
| No. | Molecular Formula | 1200 (%) | 1400-1 (%) | 1400-2 (%) | 1600 (%) | 1800 (%) | 2000 (%) | 2200 (%) | Average Similarity |
|---|---|---|---|---|---|---|---|---|---|
| 1 | CO | 75.96 | 34.80 | 86.49 | 89.98 | 69.96 | 56.62 | 69.29 | 81.1 |
| 2 | CH3Br | 6.58 | 30.03 | 3.19 | 3.85 | 22.42 | 19.26 | 18.27 | 98.2 |
| 3 | C3H6O | 12.24 | 5.77 | 6.54 | 4.04 | 4.68 | 0.86 | 3.82 | 70.1 |
| 4 | C2H5Br | — | 3.28 | — | 0.48 | 0.92 | 0.17 | 0.82 | 85.9 |
| 5 | C3H7Br | 0.43 | 0.62 | 0.33 | 0.12 | — | 0.08 | 0.29 | 54.6 |
| 6 | C4H9Br | — | — | 0.01 | — | 0.22 | 0.09 | 0.69 | 38.4 |
| 7 | C3H5Br | 1.26 | 2.55 | 1.21 | 0.48 | 0.78 | 0.33 | 2.92 | 63.5 |
| 8 | C6H6 | 3.08 | 0.97 | — | 0.93 | 0.90 | 0.32 | 3.89 | 65.1 |
| 9 | C7H8 | 0.44 | 0.09 | 0.16 | 0.11 | 0.12 | — | — | 52.0 |
| 10 | C3H6 | — | 21.89 | — | - | — | 22.25 | — | 38.1 |
| Sampling start time (min) | 8–10 | 3–6 | 8–10 | 8–10 | 8–10 | 3–6 | 8–10 | ||
| No. | Molecular Formula | Name | 1200 (%) | 1400 (%) | 1600 (%) | 1800 (%) | 2000 (%) | 2200 (%) | 2400 (%) | Mean Similarity |
|---|---|---|---|---|---|---|---|---|---|---|
| 1 | C6H6O | Phenol | 53.77 | 45.86 | 64.35 | 59.78 | 53.92 | 59.02 | 72.25 | 97.1 |
| 2 | C7H8O | Phenol, 2-methyl | 1.32 | 1.72 | 1.37 | 1.42 | 1.68 | — | — | 98.2 |
| 3 | C6H5BrO | Phenol, 2-bromo | 0.91 | 1.34 | 0.82 | 1.11 | 1.32 | — | — | 95.6 |
| 4 | C7H8O | Phenol, 4-methyl- | — | 0.98 | — | 0.88 | — | — | — | 90.5 |
| 5 | C9H10O | Phenol, 2-(2-propenyl) | 1.72 | 1.72 | 2.04 | 2.03 | 2.11 | — | — | 86.6 |
| 6 | C8H10O | Phenol, 4-ethyl- | 0.78 | 1.08 | — | 0.76 | 1.14 | — | — | 96.5 |
| 7 | C9H12O | Phenol, 4-(1-methylethyl)- | 25.47 | 23.36 | 26.92 | 20.24 | 10.31 | 21.77 | 14.70 | 97.7 |
| 8 | C8H10BrN | Benzenamine, 4-bromo-2, 6-dimethyl- | 2.09 | 1.72 | 1.88 | 1.51 | 2.24 | — | — | 77.6 |
| 9 | C6H4Br2O | Phenol, 2, 6-dibromo- | — | 0.89 | — | — | 1.17 | — | — | 87.0 |
| 10 | C13H20 | Benzene, 1-(1, 1-dimethylethyl)-3-ethyl-5-methyl- | 0.30 | — | — | — | — | — | — | 87.0 |
| 11 | C12H10O | p-Hydroxybiphenyl | 3.16 | 3.44 | 1.46 | 2.82 | 4.59 | 1.75 | 1.26 | 95.4 |
| 12 | C13H12O | [1, 1′-Biphenyl]-2-methanol | 0.48 | — | — | — | 1.34 | — | — | 79.0 |
| 13 | C15H16O2 | Phenol, 4, 4′-(1-methylethylidene)bis- | 3.08 | 8.04 | 1.15 | 3.75 | 6.97 | 11.82 | 8.91 | 90.4 |
| 14 | C16H18O2 | 2-(4′-Hydroxyphenyl)-2-(4′-methoxyphenyl)propane | 0.39 | — | — | — | 0.63 | — | — | 75.0 |
| 15 | C10H14O | Phenol, 4-(1-methylpropyl)- | 0.94 | 1.11 | — | 0.89 | 1.54 | — | — | 70.8 |
| 16 | C10H12Br2O | Phenol, 2, 6-dibromo-4-(1, 1-dimethylethyl)- | 1.30 | 3.07 | — | 1.81 | 3.11 | 4.04 | 2.87 | 65.3 |
| No. | Molecular Formula | 4 min (%) | 6 min (%) | 8 min (%) | 10 min (%) | 12 min (%) | 16 min (%) | Mean Similarity |
|---|---|---|---|---|---|---|---|---|
| 1 | CO | 15.10 | 36.90 | 72.02 | 80.23 | 79.94 | 76.28 | 74.1 |
| 2 | CH3Br | 36.76 | 27.40 | 5.66 | 4.22 | 1.89 | 6.02 | 98.4 |
| 3 | C3H6O | 5.34 | 2.54 | 3.21 | 9.58 | 12.56 | 8.34 | 72.1 |
| 4 | C2H5Br | 3.38 | 2.98 | 0.66 | 0.33 | 0.40 | 1.26 | 97.1 |
| 5 | C3H7Br | 0.01 | 1.99 | 0.13 | 0.07 | 0.05 | 0.01 | 57.4 |
| 6 | C3H5Br | 1.93 | 1.49 | 2.00 | 0.35 | 0.40 | 1.86 | 63.4 |
| 7 | C6H6 | 0.04 | 1.38 | 3.64 | 4.28 | 4.56 | 5.36 | 64.8 |
| 8 | C7H8 | — | — | 0.05 | 0.20 | 0.46 | 0.15 | 39.4 |
| 9 | C3H6 | 34.20 | 24.90 | — | — | — | — | 38.4 |
| 10 | C4H9Br | — | 0.36 | — | 0.20 | 0.13 | 0.72 | 31.6 |
| 11 | C3H3NO | — | — | 5.75 | — | — | — | 22.5 |
| 12 | C3H3N | — | — | 6.54 | — | — | — | 25.1 |
| 13 | C5H6 | — | — | — | 0.43 | 0.03 | — | 52.0 |
| 14 | C5H8 | — | — | — | 0.07 | — | — | 16.8 |
| No. | Molecular Formula | Name | 4 (%) | 6 (%) | 8 (%) | 10 (%) | 12 (%) | Mean Similarity |
|---|---|---|---|---|---|---|---|---|
| 1 | C6H6O | Phenol | 67.09 | 61.21 | 61.40 | 81.02 | 67.65 | 98.0 |
| 2 | C6H5BrO | Phenol, 2-bromo | 1.52 | 1.38 | 1.10 | — | — | 94.7 |
| 3 | C9H10O | Phenol, 2-(2-propenyl) | 1.50 | 1.57 | 1.65 | — | — | 86.0 |
| 4 | C9H12O | Phenol, 4-(1-methylethyl)- | 22.62 | 21.91 | 23.67 | 13.91 | 13.79 | 97.8 |
| 5 | C8H10BrN | Benzenamine, 4-bromo-2, 6-dimethyl- | 1.86 | 0.92 | 1.32 | 1.52 | 0.73 | 75.0 |
| 6 | C12H10O | p-Hydroxybiphenyl | 0.74 | 1.99 | 2.25 | 1.72 | 2.91 | 88.6 |
| 7 | C13H12O | [1, 1′-Biphenyl]-2-methanol | — | — | 0.66 | — | 70.0 | |
| 8 | C15H16O2 | Phenol, 4, 4′-(1-methylethylidene)bis- | 2.25 | 3.89 | 3.08 | 1.84 | 7.27 | 87.6 |
| 9 | C16H18O2 | 2-(4′-Hydroxyphenyl)-2-(4′-methoxyphenyl)propane | — | — | — | — | 0.70 | 67.0 |
| 10 | C10H12Br2O | Phenol, 2, 6-dibromo-4- | — | 1.89 | 1.44 | — | 3.13 | 63.3 |
| No. | Molecular Formula | Name | 400 °C (%) | 500 °C (%) | 600 °C (%) | Mean Similarity |
|---|---|---|---|---|---|---|
| 1 | C6H6O | Phenol | 47.82 | 50.79 | 41.56 | 98.0 |
| 2 | C7H8O | Phenol, 2-methyl | 1.03 | 0.66 | 0.60 | 97.3 |
| 3 | C6H5BrO | Phenol, 2-bromo | 1.73 | 1.10 | 0.52 | 95. 7 |
| 4 | C9H10O | Phenol, 2-(2-propenyl) | 2.08 | 1.40 | — | 87.0 |
| 5 | C8H10O | Phenol, 4-ethyl- | 1.13 | — | — | 97.0 |
| 6 | C9H12O | Phenol, 4-(1-methylethyl)- | 24.00 | 24.90 | 25.00 | 97.3 |
| 7 | C8H10BrN | Benzenamine, 4-bromo-2, 6-dimethyl- | 2.59 | 2.25 | 2.03 | 77.7 |
| 8 | C9H10O2 | 2H-1-Benzopyran-3-ol, 3, 4-dihydro- | 2.57 | 0.74 | 1.21 | 91.3 |
| 9 | C6H4Br2O | Phenol, 2, 4-dibromo- | 0.45 | — | — | 94.0 |
| 10 | C12H10O | p-Hydroxybiphenyl | 4.42 | 5.15 | 6.81 | 92. 7 |
| 11 | C13H12O | [1, 1′-Biphenyl]-2-methanol | 0.91 | 0.47 | — | 68.5 |
| 12 | C13H20 | Benzene, 1-(1, 1-dimethylethyl)-3-ethyl-5-methyl- | — | — | 0.45 | 21. 7 |
| 13 | C15H16O2 | Phenol, 4, 4′-(1-methylethylidene)bis- | 5.26 | 5.97 | 9.46 | 89.0 |
| 14 | C10H14O | Phenol, 4-(1-methylpropyl)- | 0.46 | 0.35 | 0.81 | 71.0 |
| 15 | C10H12Br2O | Phenol, 2, 6-dibromo-4-(1, 1-dimethylethyl)- | 1.62 | 1.74 | 3.28 | 64.3 |
| Heating Rate (K/min) | Number of Reaction Stages (n) | lnA (s−1) | Temperature Range (K) |
|---|---|---|---|
| 10 | 1.2 | 10.54 | 543–700 |
| 30 | 0.9 | 11.34 | 573–680 |
| 50 | 0.7 | 11.55 | 570–685 |
| Heating Rate (K/min) | Number of Reaction Stages (n) | lnA (s−1) | Temperature Range (K) |
|---|---|---|---|
| 20 | 2.7 | 28.06 | 583–653 |
| 30 | 2.3 | 27.73 | 633–693 |
| 50 | 2.2 | 26.89 | 590–690 |
Disclaimer/Publisher’s Note: The statements, opinions and data contained in all publications are solely those of the individual author(s) and contributor(s) and not of MDPI and/or the editor(s). MDPI and/or the editor(s) disclaim responsibility for any injury to people or property resulting from any ideas, methods, instructions or products referred to in the content. |
© 2024 by the authors. Licensee MDPI, Basel, Switzerland. This article is an open access article distributed under the terms and conditions of the Creative Commons Attribution (CC BY) license (https://creativecommons.org/licenses/by/4.0/).
Share and Cite
Jin, D.; Zhao, M.; Zhu, H.; Li, G.; He, W. Intrinsic Metal Component-Assisted Microwave Pyrolysis and Kinetic Study of Waste Printed Circuit Boards. Electron. Mater. 2024, 5, 221-238. https://doi.org/10.3390/electronicmat5040015
Jin D, Zhao M, Zhu H, Li G, He W. Intrinsic Metal Component-Assisted Microwave Pyrolysis and Kinetic Study of Waste Printed Circuit Boards. Electronic Materials. 2024; 5(4):221-238. https://doi.org/10.3390/electronicmat5040015
Chicago/Turabian StyleJin, Diyi, Min Zhao, Haochen Zhu, Guangming Li, and Wenzhi He. 2024. "Intrinsic Metal Component-Assisted Microwave Pyrolysis and Kinetic Study of Waste Printed Circuit Boards" Electronic Materials 5, no. 4: 221-238. https://doi.org/10.3390/electronicmat5040015
APA StyleJin, D., Zhao, M., Zhu, H., Li, G., & He, W. (2024). Intrinsic Metal Component-Assisted Microwave Pyrolysis and Kinetic Study of Waste Printed Circuit Boards. Electronic Materials, 5(4), 221-238. https://doi.org/10.3390/electronicmat5040015

