The IGF1/FSH Ratio Correlates with Sperm Count and Testicular Volume
Abstract
1. Introduction
2. Subjects and Methods
2.1. Patient Selection
2.2. Hormonal Measurements
2.3. Semen Analysis
2.4. Scrotal Ultrasound Evaluation
2.5. Statistical Analysis
2.6. Ethical Approval
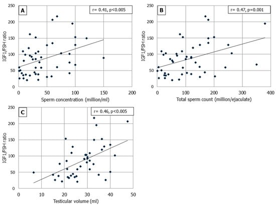
3. Results
4. Discussion
5. Conclusions
Author Contributions
Funding
Institutional Review Board Statement
Informed Consent Statement
Data Availability Statement
Conflicts of Interest
References
- Cannarella, R.; Condorelli, R.A.; Duca, Y.; La Vignera, S.; Calogero, A.E. New insights into the genetics of spermatogenic failure: A review of the literature. Hum. Genet. 2019, 138, 125–140. [Google Scholar] [CrossRef] [PubMed]
- Itoh, N.; Nanbu, A.; Tachiki, H.; Akagashi, K.; Nitta, T.; Mikuma, N.; Tsukamoto, T.; Kumamoto, Y. Restoration of testicular transferrin, insulin-like growth factor-1 (IGF-1), and spermatogenesis by exogenously administered purified FSH and testosterone in medically hypophysectomized rats. Arch. Androl. 1994, 33, 169–177. [Google Scholar] [CrossRef] [PubMed][Green Version]
- Naz, R.K.; Padman, P. Identification of insulin-like growth factor (IGF)-1 receptor in human sperm cell. Arch. Androl. 1999, 43, 153–159. [Google Scholar] [CrossRef] [PubMed]
- Minelli, A.; Moroni, M.; Castellini, C. Isolation and purification of the IGF-I protein complex from rabbit seminal plasma: Effects on sperm motility and viability. J. Exp. Zool. 2001, 290, 279–290. [Google Scholar] [CrossRef]
- Cannarella, R.; Condorelli, R.A.; La Vignera, S.; Calogero, A.E. Effects of the insulin-like growth factor system on testicular differentiation and function: A review of the literature. Andrology 2018, 6, 3–9. [Google Scholar] [CrossRef]
- Juul, A.; Bang, P.; Hertel, N.T.; Main, K.; Dalgaard, P.; Jørgensen, K.; Müller, J.; Hall, K.; Skakkebaek, N.E. Serum insulin-like growth factor-I in 1030 healthy children, adolescents, and adults: Relation to age, sex, stage of puberty, testicular size, and body mass index. J. Clin. Endocrinol. Metab. 1994, 78, 744–752. [Google Scholar]
- Laron, Z.; Klinger, B. Effect of insulin-like growth factor-I treatment on serum androgens and testicular and penile size in males with Laron syndrome (primary growth hormone resistance). Eur. J. Endocrinol. 1998, 138, 176–180. [Google Scholar] [CrossRef]
- Cannarella, R.; Mattina, T.; Condorelli, R.A.; Mongioì, L.M.; Pandini, G.; La Vignera, S.; Calogero, A.E. Chromosome 15 structural abnormalities: Effect on the IGF1R gene expression and function. Endocr. Connect. 2017, 6, 528–539. [Google Scholar] [CrossRef]
- Yamamoto, T.; Nakayama, Y.; Abé, S.I. Mammalian follicle-stimulating hormone and insulin-like growth factor I (IGF-I) up-regulate IGF-I gene expression in organ culture of newt testis. Mol. Reprod. Dev. 2001, 60, 56–64. [Google Scholar] [CrossRef]
- Pitetti, J.L.; Calvel, P.; Romero, Y.; Conne, B.; Truong, V.; Papaioannou, M.D.; Schaad, O.; Docquier, M.; Herrera, P.L.; Wilhelm, D.; et al. Insulin and IGF1 receptors are essential for XX and XY gonadal differentiation and adrenal development in mice. PLoS Genet. 2013, 9, e1003160. [Google Scholar] [CrossRef]
- Nóbrega, R.H.; Morais, R.D.; Crespo, D.; de Waal, P.P.; de França, L.R.; Schulz, R.W.; Bogerd, J. Fsh Stimulates Spermatogonial Proliferation and Differentiation in Zebrafish via Igf3. Endocrinology 2015, 156, 3804–3817. [Google Scholar] [CrossRef] [PubMed]
- Law, N.C.; Hunzicker-Dunn, M.E. Insulin Receptor Substrate 1, the Hub Linking Follicle-stimulating Hormone to Phosphatidylinositol 3-Kinase Activation. J. Biol. Chem. 2016, 29, 4547–4560. [Google Scholar] [CrossRef] [PubMed]
- Cannarella, R.; Arato, I.; Condorelli, R.A.; Luca, G.; Barbagallo, F.; Alamo, A.; Bellucci, C.; Lilli, C.; La Vignera, S.; Calafiore, R.; et al. The IGF1 Receptor Is Involved in Follicle-Stimulating Hormone Signaling in Porcine Neonatal Sertoli Cells. J. Clin. Med. 2019, 27, 577. [Google Scholar] [CrossRef]
- World Health Organization. WHO Laboratory Manual for the Examination and Processing of Human Semen, 5th ed.; Cambridge University Press: Cambridge, UK, 2010. [Google Scholar]
- Sakamoto, H.; Yajima, T.; Nagata, M.; Okumura, T.; Suzuki, K.; Ogawa, Y. Relationship between testicular size by ultrasonography and testicular function: Measurement of testicular length, width, and depth in patients with infertility. Int. J. Urol. 2008, 15, 529–533. [Google Scholar] [CrossRef] [PubMed]
- Pilatz, A.; Rusz, A.; Wagenlehner, F.; Weidner, W.; Altinkilic, B. Reference values for testicular volume, epididymal head size and peak systolic velocity of the testicular artery in adult males measured by ultrasonography. Ultraschall Med. 2013, 34, 349–354. [Google Scholar] [CrossRef] [PubMed]
- Cannarella, R.; Mancuso, F.; Condorelli, R.A.; Arato, I.; Mongioì, L.M.; Giacone, F.; Lilli, C.; Bellucci, C.; La Vignera, S.; Calafiore, R.; et al. Effects of GH and IGF1 on Basal and FSH-Modulated Porcine Sertoli Cells In-Vitro. J. Clin. Med. 2019, 8, 811. [Google Scholar] [CrossRef]
- Kamieniczna, M.; Fraczek, M.; Malcher, A.; Rozwadowska, N.; Czernikiewicz, A.; Jedrzejczak, P.; Semczuk, M.; Kurpisz, M. Semen Quality, Hormonal Levels, and Androgen Receptor Gene Polymorphisms in a Population of Young Male Volunteers from Two Different Regions of Poland. Med. Sci. Monit. 2015, 21, 2494–2504. [Google Scholar] [CrossRef]
- Rajmil, O.; Rodríguez-Espinosa, J.; Sarquella, J.; Castellet, R.; Oliver, A.; Queraltó, J.M. Growth hormone response to growth hormone-releasing hormone stimulation in oligozoospermic patients. Fertil. Steril. 1994, 62, 1039–1043. [Google Scholar] [CrossRef]
- Fu, L.; Yuen, K.C.J.; Tint, A.N.; Hoffman, A.R.; Bongso, A.T.; Lee, K.O. Association of decreased sperm motility and increased seminal plasma IGF-I, IGF-II, IGFBP-2, and PSA levels in infertile men. Endocrine 2021, 74, 698–706. [Google Scholar] [CrossRef]
- Koskenniemi, J.J.; Virtanen, H.E.; Wohlfahrt-Veje, C.; Löyttyniemi, E.; Skakkebaek, N.E.; Juul, A.; Andersson, A.M.; Main, K.M.; Toppari, J. Postnatal changes in testicular position are associated with IGF-I and Function of Sertoli and Leydig Cells. J. Clin. Endocrinol. Metab. 2018, 103, 1429–1437. [Google Scholar] [CrossRef]
- Rohayem, J.; Nieschlag, E.; Kliesch, S.; Zitzmann, M. Inhibin B, AMH, but not INSL3, IGF1 or DHEAS support differentiation between constitutional delay of growth and puberty and hypogonadotropic hypogonadism. Andrology 2015, 3, 882–887. [Google Scholar] [CrossRef] [PubMed]
- Juul, A.; Skakkebæk, N.E. Why Do Normal Children Have Acromegalic Levels of IGF-I During Puberty? J. Clin. Endocrinol. Metab. 2019, 104, 2770–2776. [Google Scholar] [CrossRef]
- Cannarella, R.; Caruso, M.; Crafa, A.; Timpanaro, T.A.; Lo Bianco, M.; Presti, S.; Condorelli, R.A.; La Vignera, S.; Calogero, A.E. Testicular Growth and Pubertal Onset in GH-Deficient Children Treated With Growth Hormone: A Retrospective Study. Front. Endocrinol. 2021, 12, 619895. [Google Scholar] [CrossRef] [PubMed]
- Cannarella, R.; Crafa, A.; La Vignera, S.; Condorelli, R.A.; Calogero, A.E. Role of the GH-IGF1 axis on the hypothalamus-pituitary-testicular axis function: Lessons from Laron syndrome. Endocr. Connect. 2021, 10, 1006–1017. [Google Scholar] [CrossRef] [PubMed]
- Cannarella, R.; Paganoni, A.J.J.; Cicolari, S.; Oleari, R.; Condorelli, R.A.; La Vignera, S.; Cariboni, A.; Calogero, A.E.; Magni, P. Anti-Müllerian Hormone, Growth Hormone, and Insulin-Like Growth Factor 1 Modulate the Migratory and Secretory Patterns of GnRH Neurons. Int. J. Mol. Sci. 2021, 22, 2445. [Google Scholar] [CrossRef] [PubMed]
- Adashi, E.Y.; Resnick, C.E.; D’Ercole, A.J.; Svoboda, M.E.; Van Wyk, J.J. Insulin-like growth factors as intraovarian regulators of granulosa cell growth and function. Endocr. Rev. 1985, 6, 400–420. [Google Scholar] [CrossRef] [PubMed]
- Hsueh, A.J.; Eisenhauer, K.; Chun, S.Y.; Hsu, S.Y.; Billig, H. Gonadal cell apoptosis. Recent Prog. Horm Res. 1996, 51, 433–455. [Google Scholar]
- Oosterhuis, G.J.; Vermes, I.; Lambalk, C.B.; Michgelsen, H.W.; Schoemaker, J. Insulin-like growth factor (IGF)-I and IGF binding protein-3 concentrations in fluid from human stimulated follicles. Hum. Reprod. 1998, 13, 285–289. [Google Scholar] [CrossRef]
- Kolibianakis, E.M.; Venetis, C.A.; Diedrich, K.; Tarlatzis, B.C.; Griesinger, G. Addition of growth hormone to gonadotrophins in ovarian stimulation of poor responders treated by in-vitro fertilization: A systematic review and meta-analysis. Hum. Reprod. Update 2009, 15, 613–622. [Google Scholar] [CrossRef]
- Li, X.L.; Wang, L.; Lv, F.; Huang, X.M.; Wang, L.P.; Pan, Y.; Zhang, X.M. The influence of different growth hormone addition protocols to poor ovarian responders on clinical outcomes in controlled ovary stimulation cycles: A systematic review and meta-analysis. Medicine 2017, 96, e6443. [Google Scholar] [CrossRef]
- Bosch, E.; Labarta, E.; Kolibianakis, E.; Rosen, M.; Meldrum, D. Regimen of ovarian stimulation affects oocyte and therefore embryo quality. Fertil. Steril. 2016, 105, 560–570. [Google Scholar] [CrossRef] [PubMed]
- Radicioni, A.F.; Paris, E.; De Marco, E.; Anzuini, A.; Gandini, L.; Lenzi, A. Testicular function in boys previously treated with recombinant-human growth hormone for non-growth hormone-deficient short stature. J. Endocrinol. Investig. 2007, 30, 931–936. [Google Scholar] [CrossRef] [PubMed]
- Giagulli, V.A. Absence of effect of recombinant growth hormone to classic gonadotropin treatment on spermatogenesis of patients with severe hypogonadotropic hypogonadism. Arch. Androl. 1999, 43, 47–53. [Google Scholar] [CrossRef] [PubMed][Green Version]


| IGF1 (Male, Age) | Normal Range |
|---|---|
| 16–20 years | 119–395 ng/mL |
| 20–25 years | 127–298 ng/mL |
| 21–40 years | 99–238 ng/mL |
| 41–55 years | 82–214 ng/mL |
| >55 years | 61–177 ng/mL |
| Parameters | Baseline Value (Mean ± SD) | Range of Values (Min-max) |
|---|---|---|
| Age (year) | 30.95 ± 8.4 | 17–54 |
| GH (ng/mL) | 0.32 ± 0.43 | 0.05–1.42 |
| IGF1 (ng/mL) | 232.59 ± 65.13 | 125.6–401 |
| FSH (mIU/mL) | 3.95 ± 2.55 | 0.15–15.34 |
| LH (mIU/mL) | 3.36 ± 1.82 | 0.15–11 |
| TT (ng/mL) | 5.54 ± 2.15 | 0.22–11.81 |
| Total TV (mL) | 27.72 ± 7.89 | 6.6–47.5 |
| Sperm concentration (million/mL) | 40.94 ± 34.06 | 1–150 |
| Total sperm count (million/ejaculate) | 107.54 ± 84.49 | 0.2–380 |
| Sperm progressive motility (%) | 21.92 ± 8.72 | 3–41 |
| Sperm total motility (%) | 57 ± 10.52 | 10–74 |
| Sperm normal morphology (%) | 7.34 ± 4.61 | 1–21 |
| Parameters | Group 1 (TSC < 39 Million/Ejaculate) | Group 2 (TSC ≥ 39 Million/Ejaculate) |
|---|---|---|
| Age (year) | 29.13 ± 8.44 | 31.43 ± 8.57 |
| FSH (mIU/mL) | 4.80 ± 2 | 3.78 ± 2.61 |
| LH (mIU/mL) | 3.46 ± 1.83 | 3.39 ± 1.77 |
| TT (ng/mL) | 4.87 ± 2.21 | 5.84 ± 1.95 |
| Total TV (mL) | 24.45 ± 10.06 | 28.84 ± 6.81 |
| Sperm concentration (million/mL) | 8.59 ± 7.99 * | 51.01 ± 32.76 |
| Total sperm count (million/ejaculate) | 17.92 ± 10.55 * | 135.42 ± 77.64 |
| Sperm progressive motility (%) | 19.63 ± 12.08 | 22.53 ± 7.74 |
| Sperm total motility (%) | 50.25 ± 17.82 * | 58.8 ± 6.98 |
| Sperm morphology (%) | 6.13 ± 3.98 | 7.67 ± 4.77 |
Publisher’s Note: MDPI stays neutral with regard to jurisdictional claims in published maps and institutional affiliations. |
© 2022 by the authors. Licensee MDPI, Basel, Switzerland. This article is an open access article distributed under the terms and conditions of the Creative Commons Attribution (CC BY) license (https://creativecommons.org/licenses/by/4.0/).
Share and Cite
Cannarella, R.; La Vignera, S.; Condorelli, R.A.; Calogero, A.E. The IGF1/FSH Ratio Correlates with Sperm Count and Testicular Volume. Endocrines 2022, 3, 624-632. https://doi.org/10.3390/endocrines3040053
Cannarella R, La Vignera S, Condorelli RA, Calogero AE. The IGF1/FSH Ratio Correlates with Sperm Count and Testicular Volume. Endocrines. 2022; 3(4):624-632. https://doi.org/10.3390/endocrines3040053
Chicago/Turabian StyleCannarella, Rossella, Sandro La Vignera, Rosita A. Condorelli, and Aldo E. Calogero. 2022. "The IGF1/FSH Ratio Correlates with Sperm Count and Testicular Volume" Endocrines 3, no. 4: 624-632. https://doi.org/10.3390/endocrines3040053
APA StyleCannarella, R., La Vignera, S., Condorelli, R. A., & Calogero, A. E. (2022). The IGF1/FSH Ratio Correlates with Sperm Count and Testicular Volume. Endocrines, 3(4), 624-632. https://doi.org/10.3390/endocrines3040053

