Complementary Photothermal Heating Effects Observed between Gold Nanorods and Conjugated Infrared-Absorbing Dye Molecules
Abstract
1. Introduction
2. Materials and Methods
3. Results
3.1. Photothermal Conversion Efficiency Theory and Calculations
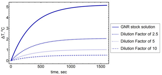
3.2. Experimental Determination of Photothermal Conversion Efficiencies
3.3. LED Heating of the Gold Nanorods and Gold Nanorod Conjugates
4. Discussion
Author Contributions
Funding
Data Availability Statement
Acknowledgments
Conflicts of Interest
Appendix A



References
- Centers for Disease Control and Prevention. Division of Cancer Prevention and Control, Cancer. 2021. Available online: https://www.cdc.gov/cancer/dcpc/data/index.htm (accessed on 11 October 2021).
- Mayo Clinic, Mayo Foundation for Medical Education and Research (MFMER). 2020. Available online: https://www.mayoclinic.org/diseases-conditions/cancer/in-depth/cancer-survivor/art-20045524 (accessed on 11 October 2021).
- Yabroff, K.R.; Mariotto, A.; Tangka, F.; Zhao, J.; Islami, F.; Sung, H.; Sherman, R.L.; Henley, S.J.; Jemal, A.; Ward, E.M. Annual Report to the Nation on the Status of Cancer, Part 2: Patient Economic Burden Associated With Cancer Care. JNCI J. Natl. Cancer Inst. 2021, 113, 1670–1682. [Google Scholar] [CrossRef] [PubMed]
- Lee, T.; Mendhiratta, N.; Sperling, D.; Lepor, H. Focal laser ablation for localized prostate cancer: Principles, clinical trials, and our initial experience. Rev. Urol. 2014, 16, 55–66. [Google Scholar] [PubMed]
- Wenger, H.; Yousuf, A.; Oto, A.; Eggener, S. Laser ablation as focal therapy for prostate cancer. Curr. Opin. Urol. 2014, 24, 236–240. [Google Scholar] [CrossRef] [PubMed]
- Rosenberg, C.; Puls, R.; Hegenscheid, K.; Kuehn, J.; Bollman, T.; Westerholt, A.; Weigel, C.; Hosten, N. Laser ablation of metastatic lesions of the lung: Long-term outcome. Am. J. Roentgenol. 2009, 192, 785–792. [Google Scholar] [CrossRef]
- Costello, A.J.; Bowsher, W.G.; Bolton, D.M.; Braslis, K.G.; Burt, J. Laser ablation of the prostate in patients with benign prostatic hypertrophy. Br. J. Urol. 1992, 69, 603–608. [Google Scholar] [CrossRef]
- American Cancer Society. How Lasers Are Used to Treat Cancer. 2020. Available online: https://www.cancer.org/treatment/treatments-and-side-effects/treatment-types/lasers-in-cancer-treatment.html (accessed on 16 August 2022).
- Pramanik, A.; Chavva, S.R.; Fan, Z.; Sinha, S.S.; Nellore, B.P.V.; Ray, P.C. Extremely high two-photon absorbing graphene oxide for imaging of tumor cells in the second biological window. J. Phys. Chem. Lett. 2014, 5, 2150–2154. [Google Scholar] [CrossRef]
- Maestro, L.M.; Haro-González, P.; del Rosal, B.; Ramiro, J.; Caamano, A.J.; Carrasco, E.; Juarranz, A.; Sanz-Rodríguez, F.; Solé, J.G.; Jaque, D. Heating efficiency of multi-walled carbon nanotubes in the first and second biological windows. Nanoscale 2013, 5, 7882–7889. [Google Scholar] [CrossRef]
- Zhou, F.; Da, X.; Ou, Z.; Wu, B.; Resasco, D.E.; Chen, W.R. Cancer photothermal therapy in the near-infrared region by using single-walled carbon nanotubes. J. Biomed. Opt. 2009, 14, 021009. [Google Scholar] [CrossRef]
- Quintanilla, M.; Zhang, Y.; Liz-Marzán, L.M. Subtissue Plasmonic Heating Monitored with CaF2:Nd3+,Y3+ Nanothermometers in the Second Biological Window. Chem. Mater. 2018, 30, 2819–2828. [Google Scholar] [CrossRef]
- Jiang, K.; Smith, D.A.; Pinchuk, A. Size-dependent photothermal conversion efficiencies of plasmonically heated gold nanoparticles. J. Phys. Chem. C 2013, 117, 27073–27080. [Google Scholar] [CrossRef]
- Alrahili, M.; Peroor, R.; Savchuk, V.; McNear, K.; Pinchuk, A. Morphology Dependence in Photothermal Heating of Gold Nanomaterials with Near-Infrared Laser. J. Phys. Chem. C 2020, 124, 4755–4763. [Google Scholar] [CrossRef]
- Alrahili, M.; Savchuk, V.; McNear, K.; Pinchuk, A. Absorption cross section of gold nanoparticles based on nir laser heating and thermodynamic calculations. Sci. Rep. 2020, 10, 18790. [Google Scholar] [CrossRef] [PubMed]
- Usama, S.M.; Zhao, B.; Burgess, K. A Near-IR Fluorescent Dasatinib Derivative That Localizes in Cancer Cells. Bioconjug. Chem. 2019, 30, 1175–1181. [Google Scholar] [CrossRef] [PubMed]
- Tan, X.; Luo, S.; Wang, D.; Su, Y.; Cheng, T.; Shi, C. A NIR heptamethine dye with intrinsic cancer targeting, imaging and photosensitizing properties. Biomaterials 2012, 33, 2230–2239. [Google Scholar] [CrossRef]
- Luo, S.; Zhang, E.; Su, Y.; Cheng, T.; Shi, C. A review of NIR dyes in cancer targeting and imaging. Biomaterials 2011, 32, 7127–7138. [Google Scholar] [CrossRef]
- Zhang, C.; Liu, T.; Su, Y.; Luo, S.; Zhu, Y.; Tan, X.; Fan, S.; Zhang, L.; Zhou, Y.; Cheng, T. A near-infrared fluorescent heptamethine indocyanine dye with preferential tumor accumulation for in vivo imaging. Biomaterials 2010, 31, 6612–6617. [Google Scholar] [CrossRef]
- Zhang, E.; Luo, S.; Tan, X.; Shi, C. Mechanistic study of IR-780 dye as a potential tumor targeting and drug delivery agent. Biomaterials 2014, 35, 771–778. [Google Scholar] [CrossRef]
- Zhao, X.; Zhao, H.; Wang, S.; Fan, Z.; Ma, Y.; Yin, Y.; Wang, W.; Xi, R.; Meng, M. A Tumor-Targeting Near-Infrared Heptamethine Cyanine Photosensitizer with Twisted Molecular Structure for Enhanced Imaging-Guided Cancer Phototherapy. J. Am. Chem. Soc. 2021, 143, 20828–20836. [Google Scholar] [CrossRef]
- Schüppert, M.; Bunge, C.-A. 5Gb/s eye-safe LED-based SI-POF transmission with equalization of transmitter nonlinearities. IEEE Photonics Technol. Lett. 2016, 28, 2732–2735. [Google Scholar] [CrossRef]
- You, J.; Cao, D.; Hu, T.; Ye, Y.; Jia, X.; Li, H.; Hu, X.; Dong, Y.; Ma, Y.; Wang, T. Novel Norrish type I flavonoid photoinitiator for safe LED light with high activity and low toxicity by inhibiting the ESIPT process. Dye. Pigment. 2021, 184, 108865. [Google Scholar] [CrossRef]
- Jauffred, L.; Samadi, A.; Klingberg, H.; Bendix, P.M.; Oddershede, L.B. Plasmonic Heating of Nanostructures. Chem. Rev. 2019, 119, 8087–8130. [Google Scholar] [CrossRef] [PubMed]
- Jain, P.K.; Lee, K.S.; El-Sayed, I.H.; El-Sayed, M.A. Calculated Absorption and Scattering Properties of Gold Nanoparticles of Different Size, Shape, and Composition: Applications in Biological Imaging and Biomedicine. J. Phys. Chem. B 2006, 110, 7238–7248. [Google Scholar] [CrossRef] [PubMed]
- He, G.S.; Zhu, J.; Yong, K.-T.; Baev, A.; Cai, H.-X.; Hu, R.; Cui, Y.; Zhang, X.-H.; Prasad, P.N. Scattering and Absorption Cross-Section Spectral Measurements of Gold Nanorods in Water. J. Phys. Chem. C 2010, 114, 2853–2860. [Google Scholar] [CrossRef]
- Kim, M.; Kim, G.; Kim, D.; Yoo, J.; Kim, D.-K.; Kim, H. Numerical Study on Effective Conditions for the Induction of Apoptotic Temperatures for Various Tumor Aspect Ratios Using a Single Continuous-Wave Laser in Photothermal Therapy Using Gold Nanorods. Cancers 2019, 11, 764. [Google Scholar] [CrossRef]







Publisher’s Note: MDPI stays neutral with regard to jurisdictional claims in published maps and institutional affiliations. |
© 2022 by the authors. Licensee MDPI, Basel, Switzerland. This article is an open access article distributed under the terms and conditions of the Creative Commons Attribution (CC BY) license (https://creativecommons.org/licenses/by/4.0/).
Share and Cite
Culhane, K.; Savchuk, V.; Pinchuk, A.O.; McNear, K. Complementary Photothermal Heating Effects Observed between Gold Nanorods and Conjugated Infrared-Absorbing Dye Molecules. Appl. Nano 2022, 3, 233-244. https://doi.org/10.3390/applnano3040016
Culhane K, Savchuk V, Pinchuk AO, McNear K. Complementary Photothermal Heating Effects Observed between Gold Nanorods and Conjugated Infrared-Absorbing Dye Molecules. Applied Nano. 2022; 3(4):233-244. https://doi.org/10.3390/applnano3040016
Chicago/Turabian StyleCulhane, Kyle, Viktoriia Savchuk, Anatoliy O. Pinchuk, and Kelly McNear. 2022. "Complementary Photothermal Heating Effects Observed between Gold Nanorods and Conjugated Infrared-Absorbing Dye Molecules" Applied Nano 3, no. 4: 233-244. https://doi.org/10.3390/applnano3040016
APA StyleCulhane, K., Savchuk, V., Pinchuk, A. O., & McNear, K. (2022). Complementary Photothermal Heating Effects Observed between Gold Nanorods and Conjugated Infrared-Absorbing Dye Molecules. Applied Nano, 3(4), 233-244. https://doi.org/10.3390/applnano3040016

