Non-Linear Thermoelectric Devices with Surface-Disordered Nanowires
Abstract
1. Introduction
1.1. Electrical vs. Thermal Current
1.2. Linear Response Regime
2. Non-Linear Regime
2.1. Power Output and Efficiency
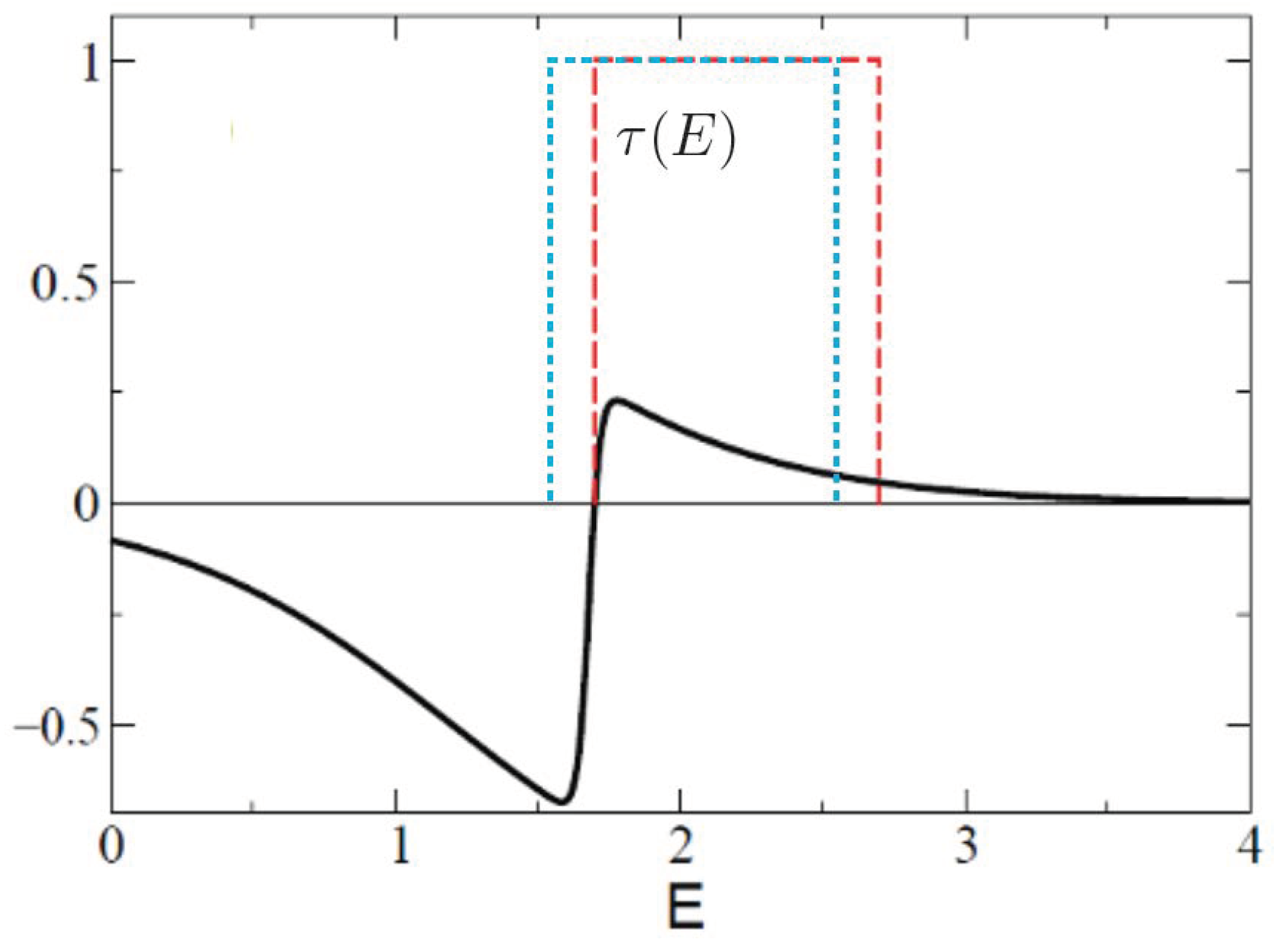
2.2. Interplay of Material and Thermodynamic Parameters

- 1.
- It should have a tunable phenomenon leading to a negligible value for in the range of E dictated by ;
- 2.
- Any design has to optimize the power output and the efficiency simultaneously, as opposed to maximizing one or the other;
- 3.
- Any nano-device should be scalable, with the number current increasing with the number of channels.
2.3. Nanowires
3. Phonon Localization
3.1. Quasi-One-Dimensional Structures with Surface Disorder
3.2. Excitation of Localized States

4. Thermal Conductivity
4.1. Experiments
4.2. Surface Disorder
4.3. Numerical Methods
5. Localized Phonons and Surface Disorder
5.1. An Exact Mapping
5.2. Phonon Localization Due to Surface Roughness: Numerical Evidence
- (i)
- The energy (kinetic plus potential) accumulated at time t in the column x:
- (ii)
- Energy in a given region, defined aswhere is an appropriate range (100 lattice spacings). This should remain independent of time for a localized phonon.
- (iii)
- Normalized mean square energy displacement defined aswhich measures the diffusion of energy from the source at a given time. While means energy is homogeneously distributed along the sample, a saturation value of after a transient time would clearly correspond to a localized phonon.
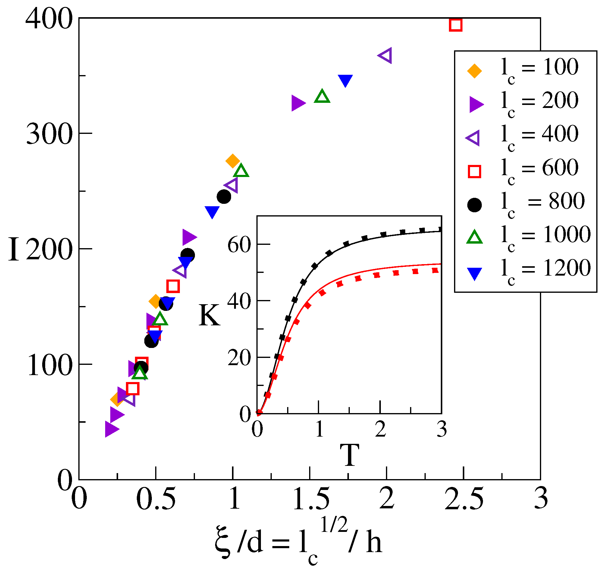
5.3. Disorder Parameters and Universality
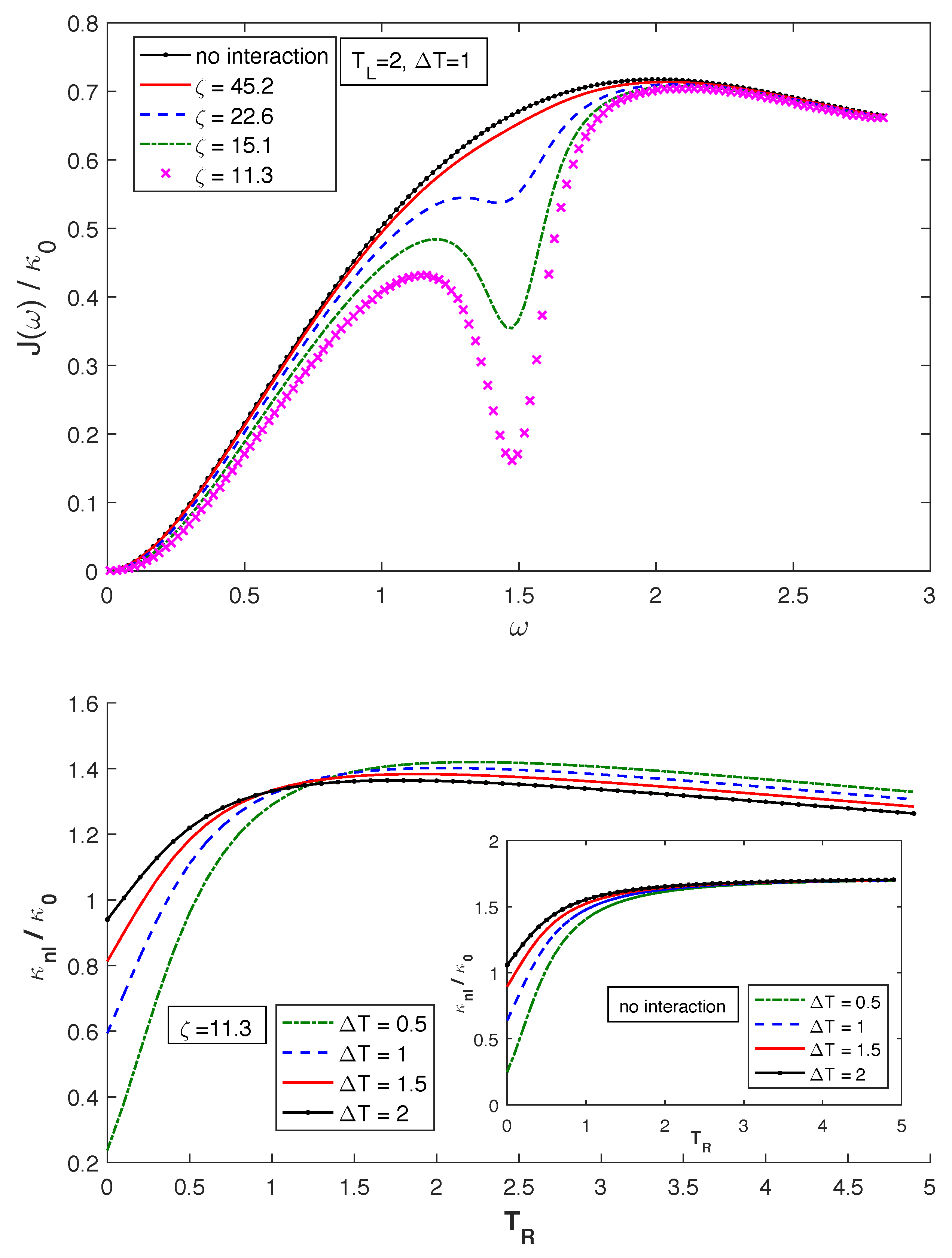
5.4. Non-Linear Thermal Current
6. Summary
Author Contributions
Funding
Acknowledgments
Conflicts of Interest
References
- Harman, T.C.; Honig, J.M. Thermoelectric and Thermomagnetic Effects and Applications; McGraw-Hill: New York, NY, USA, 1967. [Google Scholar]
- Zebarjadi, M.; Esfarjani, K.; Dresselhaus, M.S.; Ren, Z.F.; Chen, G. Perspectives on thermoelectrics: From fundamentals to device applications. Energy Environ. Sci. 2012, 5, 5147. [Google Scholar] [CrossRef]
- Dubi, Y.; Di Ventra, M. Colloquium: Heat flow and thermoelectricity in atomic and molecular junctions. Rev. Mod. Phys. 2011, 83, 131. [Google Scholar] [CrossRef]
- Snyder, G.J.; Toberer, E.S. Complex thermoelectric materials. Nat. Mater. 2008, 7, 105. [Google Scholar] [CrossRef] [PubMed]
- Ashcroft, N.W.; Mermin, N.D. Solid State Physics; Holt, Rinehart and Winston: New York, NY, USA, 1976. [Google Scholar]
- Kim, T.-S.; Hershfield, S. Thermopower of an Aharonov-Bohm interferometer: Theoretical studies of quantum dots in the Kondo regime. Phys. Rev. Lett. 2002, 88, 136601. [Google Scholar] [CrossRef] [PubMed]
- Kim, T.-S.; Hershfield, S. Thermoelecteric effects of an Aharonov-Bohm interferometer with an embedded quantum dot in the Kondo regime. Phys. Rev. B 2003, 67, 165313. [Google Scholar] [CrossRef]
- Hicks, L.D.; Dresselhaus, M.S. Effect of quantum well structures on the thermoelectric figure of merit. Phys. Rev. B 1993, 47, 12727. [Google Scholar] [CrossRef]
- Hicks, L.D.; Harman, T.C.; Sun, X.; Dresselhaus, M.S. Experimental study of the effect of quantum well structure on the thermoelectric figure of merit. Phys. Rev. B 1996, 53, 10493(R). [Google Scholar] [CrossRef]
- Majumdar, A. Thermoelectricity in semiconductor nanostructures. Science 2004, 303, 777. [Google Scholar] [CrossRef]
- Paulsson, M.; Datta, S. Thermoelectric effect in molecular electronics. Phys. Rev. B 2003, 67, 241403(R). [Google Scholar] [CrossRef]
- Dresselhaus, M.; Chen, G.; Tang, M.Y.; Yang, R.; Lee, H.; Wang, D.; Ren, Z.; Fleurial, J.-P.; Gogna, P. New directions for low-dimensional thermoelectric materials. Adv. Mater. 2007, 19, 1043. [Google Scholar] [CrossRef]
- Reddy, P.; Jang, S.Y.; Segalman, R.A.; Majumdar, A. Thermoelectricity in molecular junctions. Science 2007, 315, 1568. [Google Scholar] [CrossRef]
- Abbout, A.; Ouerdane, H.; Goupil, C. Mesoscopic thermoelectric transport near zero transmission energies. Phys. Rev. B 2013, 87, 155410. [Google Scholar] [CrossRef]
- Glatz, A.; Beloborodov, I.S. Thermoelectric performance of weakly coupled granular materials. Europhys. Lett. 2009, 87, 57009. [Google Scholar] [CrossRef][Green Version]
- Wu, K.; Rademaker, L.; Zaanen, J. Bilayer excitations in two-dimensional nanostructures for greatly enhanced thermoelectric efficiency. Phys. Rev. Appl. 2014, 2, 054013. [Google Scholar] [CrossRef]
- Sothman, B.; Sanchez, R.; Jordan, A.N. Thermoelectric energy harvesting with quantum dots. Nanotechnology 2015, 26, 032001. [Google Scholar] [CrossRef] [PubMed]
- Nakanishi, T.; Kato, T. Thermopower of a quantum dot in a coherent regime. J. Phys. Soc. Jpn. 2007, 76, 034715. [Google Scholar] [CrossRef][Green Version]
- Wierzbicki, M.; Swirkowicz, R. Influence of interference effects on thermoelectric properties of double quantum dots. Phys. Rev. B 2011, 84, 075410. [Google Scholar] [CrossRef]
- Jordan, A.N.; Sothmann, B.; Sánchez, R.; Buttiker, M. Powerful and efficient energy harvester with resonant tunneling quantum dots. Phys. Rev. B 2013, 87, 075312. [Google Scholar] [CrossRef]
- Svensson, S.F.; Hoffmann, E.A.; Nakpathomkun, N.; Wu, P.M.; Xu, H.Q.; Nilsson, H.A.; Sanchez, D.; Kashcheyevs, V.; Linke, H. Nonlinear thermovoltage and thermocurrent in quantum dots. New J. Phys. 2013, 15, 105011. [Google Scholar] [CrossRef]
- Bergfield, J.P.; Solis, M.A.; Stafford, C.A. Giant thermoelectric effect from transmission supernodes. ACS Nano 2010, 4, 5314. [Google Scholar] [CrossRef]
- Koch, J.; von Oppen, F.; Oreg, Y.; Sela, E. Thermopower of single-molecule devices. Phys. Rev. B 2004, 70, 195107. [Google Scholar] [CrossRef]
- Karlström, O.; Linke, H.; Karlström, G.; Wacker, A. Increasing thermoelectric performance using coherent transport. Phys. Rev. B 2011, 84, 113415. [Google Scholar] [CrossRef]
- Murphy, P.; Mukerjee, S.; Moore, J. Optimal thermoelectric figure of merit of a molecular junction. Phys. Rev. B 2008, 78, 161406(R). [Google Scholar] [CrossRef]
- Entin-Wohlman, O.; Imry, Y.; Aharony, A. Three-terminal thermoelectric transport through a molecular junction. Phys. Rev. B 2010, 82, 115314. [Google Scholar] [CrossRef]
- Finch, C.M.; Garcia-Suarez, V.M.; Lambert, C.J. Giant thermopower and figure of merit in single-molecule devices. Phys. Rev. B 2009, 79, 033405. [Google Scholar] [CrossRef]
- Hicks, L.D.; Dresselhaus, M.S. Thermoelectric figure of merit of a one-dimensional quantum wire. Phys. Rev. B 1993, 47, 16631. [Google Scholar] [CrossRef]
- Kim, J.; Bahk, J.-H.; Hwang, J.; Kim, H.; Park, H.; Kim, W. Thermoelectricity in semiconductor nanowires. Phys. Status. Solidi RRL 2013, 7, 767. [Google Scholar] [CrossRef]
- Bossisio, R.; Fleury, G.; Pichard, J.-L. Gate-modulated thermopower in disordered nanowires. New J. Phys. 2014, 16, 035004. [Google Scholar] [CrossRef]
- Bossisio, R.; Gorini, C.; Fleury, G.; Pichard, J.-L. Using activated transport in parallel nanowires for energy harvesting and hot-spot cooling. Phys. Rev. Appl. 2015, 3, 054002. [Google Scholar] [CrossRef]
- Brovman, Y.M.; Small, J.; Hu, Y.; Fang, Y.; Lieber, C.M.; Kim, P. Electric field effect thermoelectric transport in individual silicon and Germanium/silicon nanowires. arXiv 2013, arXiv:1307.0249v1. [Google Scholar] [CrossRef]
- Mingo, N.; Yang, L.; Li, D.; Majumdar, A. Predicting the thermal conductivity of Si and Ge nanowires. Nano Lett. 2003, 3, 1713. [Google Scholar] [CrossRef]
- Meair, J.; Jacquod, P. Scattering theory of non-linear thermoelectricity in quantum coherent conductors. J. Phys. Condens. Matter 2013, 25, 082201. [Google Scholar] [CrossRef]
- Slack, G.A. CRC Handbook of Thermoelectrics; Rowe, D.M., Ed.; CRC Press: Boca Raton, FL, USA, 1995; p. 407. [Google Scholar]
- Takabatake, T.; Suekuni, K. Phonon-glass electron-crystal thermoelectric clathrates: Experiments and theory. arXiv 2014, arXiv:1402.5756. [Google Scholar] [CrossRef]
- Whitney, R.S. Non-linear thermoelectricity in point contacts at pinch off: A catastrophe aids cooling. Phys. Rev. B 2013, 88, 064302. [Google Scholar] [CrossRef]
- Zebarjadi, M.; Esfarjani, K.; Shakouri, A. Nonlinear Peltier effect in semiconductors. Appl. Phys. Lett. 2007, 91, 122104. [Google Scholar] [CrossRef]
- Sanchez, D.; Lopez, R. Nonlinear phenomena in quantum thermoelectrics and heat. Comptes Rendus Phys. 2016, 17, 1060. [Google Scholar] [CrossRef]
- Leijnse, M.; Wegewijs, M.R.; Flensberg, K. Nonlinear thermoelectric properties of molecular junctions with vibrational coupling. Phys. Rev. B 2010, 82, 045412. [Google Scholar] [CrossRef]
- Hershfield, S.; Muttalib, K.A.; Nartowt, B.J. Non-linear thermoelectric transport: A class of nano-devices for high efficiency and large power output. Phys. Rev. B 2013, 88, 085426. [Google Scholar] [CrossRef]
- Mahan, G.D.; Sofo, J.O. The best thermoelectric. Proc. Natl. Acad. Sci. USA 1996, 93, 7436. [Google Scholar] [CrossRef]
- Humphrey, T.E.; Linke, H. Reversible thermoelectric nanomaterials. Phys. Rev. Lett. 2005, 94, 096601. [Google Scholar] [CrossRef]
- Kim, R.; Datta, S.; Lundstrom, M.S. Influence of dimensionality on thermoelectric device. J. Appl. Phys. 2009, 105, 034506. [Google Scholar] [CrossRef]
- Jordan, A.N.; Sothmann, B.; Sanchez, R.; Büttiker, M. Rectification of thermal fluctuations in a chaotic cavity heat engine. Phys. Rev. B 2013, 87, 075312. [Google Scholar] [CrossRef]
- Whitney, R.S. The best quantum thermoelectric at finite power output. Phys. Rev. Lett. 2014, 112, 130601. [Google Scholar] [CrossRef] [PubMed]
- Nakpathomkun, N.; Xu, H.Q.; Linke, H. Thermoelectric efficiency at maximum power in low-dimensional systems. Phys. Rev. B 2010, 82, 235428. [Google Scholar] [CrossRef]
- Muralidharan, B.; Grifoni, M. Performance analysis of an interacting quantum dot thermoelectric setup. Phys. Rev. B 2012, 85, 155423. [Google Scholar] [CrossRef]
- Stadler, R.; Markussen, T. Controlling the transmission line shape of molecular t-stubs and potential thermoelectric applications. J. Chem. Phys. 2011, 135, 154109. [Google Scholar] [CrossRef]
- Muttalib, K.A.; Hershfield, S. Nonlinear thermoelectricity in disordered nanowires. Phys. Rev. Appl. 2015, 3, 054003. [Google Scholar] [CrossRef]
- Ludlam, J.J.; Taraskin, S.N.; Eliott, D.S.R. Disorder-induced vibrational localization. Phys. Rev. B 2003, 67, 132203. [Google Scholar] [CrossRef]
- Monthus, C.; Garel, T. Anderson localization in dimension d=1, 2, 3: Finite-size properties of the inverse participation rtatios of eigenstates. Phys. Rev. B 2010, 81, 224208. [Google Scholar] [CrossRef]
- Bertolotti, J.; Gottardo, S.; Wiersma, D.S.; Ghulinyan, M.; Pavesi, L. Optical necklace States in Anderson Localized 1D system. Phys. Rev. Lett. 2005, 94, 113903. [Google Scholar] [CrossRef]
- Hu, S.; Zhang, Z.; Jiang, P.; Chen, J.; Volz, S.; Nomura, M.; Li, B. Randomness-induced phonon localization in graphene heat conduction. Phys. Chem. Lett. 2018, 9, 3959. [Google Scholar] [CrossRef] [PubMed]
- Pailhes, S.; Euchner, H.; Giordano, V.M.; Debord, R.; Assy, A.; Gomes, S.; Bosak, A.; Machon, D.; Paschen, S.; de Boissieu, M. Localization of Propagative Phonons in a Perfectly Crystalline Solid. Phys. Rev. Lett. 2014, 113, 025506. [Google Scholar] [CrossRef]
- Song, P.H.; Kim, D.S. Localization of disordered phonon system: Anderson localization of optical phonons in AlxGa1−xAs. Phys. Rev. B 1996, 54, 2288(R). [Google Scholar] [CrossRef]
- Doring, F.; Eberl, C.; Schlenkrich, S.; Schlenkrich, F.; Hoffmann, S.; Liese, T.; Krebs, H.U.; Pisana, S.; Santos, T.; Schuhmann, H.; et al. Phonon localization in ultra thin layered structures. Appl. Phys. A 2015, 119, 11. [Google Scholar] [CrossRef]
- Mondal, W.R.; Berlijn, T.; Jarell, M.; Vidhyadhiraja, N.S. Phonon localization in binary alloys with diagonal and off-diagonal disorder: A cluster Green’s function approach. Phys. Rev. B 2019, 99, 134203. [Google Scholar] [CrossRef]
- Sun, Y.; Zhou, Y.; Han, J.; Liu, W.; Nan, C.; Lin, Y.; Hu, M.; Xu, B. Strong phonon localization in PbTe with dislocations and large deviation to Matthiessen’s rule. Comput. Mater. 2019, 5, 97. [Google Scholar] [CrossRef]
- Luckyanova, M.N.; Mendoza, J.; Lu, H.; Song, B.; Huang, S.; Zhou, J.; Li, M.; Dong, Y.; Zhou, H.; Garlow, J.; et al. Phonon localization in heat conduction. Sci. Adv. 2018, 4, eaat9460. [Google Scholar]
- Williams, M.L.; Marris, H.J. Numerical study of phonon localization in disordered systems. Phys. Rev. B 1985, 31, 4508. [Google Scholar] [CrossRef] [PubMed]
- Anderson, P.W. Absence of Diffusion in Certain Random Lattices. Phys. Rev. 1958, 109, 1492. [Google Scholar] [CrossRef]
- van Rossum, M.C.W.; Nieuwenhuizen, T.M. Multiple scattering of classical waves: Microscopy mesoscopy and diffusion. Rev. Mod. Phys. 1999, 71, 313. [Google Scholar] [CrossRef]
- Lee, P.A.; Ramakrishnan, T.V. Disordered electronic systems. Rev. Mod. Phys. 1985, 57, 287. [Google Scholar] [CrossRef]
- Kramer, B.; MacKinnon, A. Localization: Theory and experiment. Rep. Progr. Phys. 1993, 56, 1469. [Google Scholar] [CrossRef]
- Abrahams, E. (Ed.) 50 Years of Anderson Localization; World Scientific: Singapore, 2010. [Google Scholar]
- Soukoulis, C.M.; Economou, E.N.; Grest, G.S.; Cohen, M.H. Existence of Anderson Localization of Classical Waves in a Random Two-Component Medium. Phys. Rev. Lett. 1989, 62, 575. [Google Scholar] [CrossRef] [PubMed]
- John, S. Electromagnetic Absorption in a Disordered Mediu near a Photon Mobility Edge. Phys. Rev. Lett. 1984, 53, 2169. [Google Scholar] [CrossRef]
- John, S. Localization of light. Phys. Today 1991, 44, 32–40. [Google Scholar] [CrossRef]
- Sheng, P.; Zhoy, M.; Zhang, Z.-Q. Phonon transport in strongly-scattering media. Phys. Rev. Lett. 1994, 72, 234. [Google Scholar] [CrossRef]
- Akkermans, E.; Montambaux, G. Mesoscopic Physics of Electrons and Photons; Cambridge University Press: Cambridge, UK, 2007. [Google Scholar]
- Sheng, P. Introduction to Wave Scattering, Localization and Mesoscopis Phenomena; Springer: Berlin/Heidelberg, Germany; New York, NY, USA, 2006. [Google Scholar]
- Lagendijk, A.; vanTiggelen, B.; Wiersma, D.S. Fifty years of Anderson localization. Phys. Today 2009, 62, 24–29. [Google Scholar] [CrossRef]
- Lopez, M.; Clement, J.-F.; Szriftgiser, P.; Garreau, J.C.; Delande, D. Expermental test of universality of the Anderson Transition. Phys. Rev. Lett. 2012, 101, 095701. [Google Scholar] [CrossRef]
- Savic, I.; Mingo, N.; Stewart, D.A. Phonon Transport in isotope-disordered carbon and boron-nitride nanotubes: Is localization observable? Phys. Rev. Lett. 2008, 101, 165502. [Google Scholar] [CrossRef]
- Chang, C.W.; Okawa, D.; Garcia, H.; Majumdar, A.; Zettl, A. Breakdown Fourier’s Law Nanotub. Therm. Conductors. Phys. Rev. Lett. 2008, 101, 075903. [Google Scholar] [CrossRef]
- Larose, E.; Margerin, L.; van Tiggelen, B.A.; Campillo, M. Weak Localization of Seismic Waves. Phys. Rev. Lett. 2004, 93, 048501. [Google Scholar] [CrossRef]
- Hu, H.; Strybulevych, A.; Page, J.H.; Skipetrov, S.E.; van Tiggelen, B.A. Localization of ultrasound in a three-dimensional elastic network. Nat. Phys. 2008, 4, 945. [Google Scholar] [CrossRef]
- Upadhyaya, N.; Amir, A. Disorder engineering: From structural coloration to acoustic filters. Phys. Rev. Mater. 2018, 2, 075201. [Google Scholar] [CrossRef]
- Markussen, T.; Jauho, A.-P.; Brangbyge, M. Surface-Decorated Silicon Nanowires: A Route to High-ZT Thermoelectrics. Phys. Rev. Lett. 2009, 103, 055502. [Google Scholar] [CrossRef] [PubMed]
- Chaney, D.; Castellano, A.; Bosak, A.; Bouchet, J.; Bottin, F.; Dorado, B.; Paolasini, L.; Rennie, S.; Bell, C.; Springell, R.; et al. Tuneable correlated disorder in alloys. Phys. Rev. Mater. 2021, 5, 035004. [Google Scholar] [CrossRef]
- Xiong, S.; Saaskilahti, K.; Kosevich, Y.A.; Han, H.; Donadio, D.; Volz, S. Blocking phonon transport by structural resonances in alloy-based nanophononic metamaterials lead to ultralow thermal conductivity. Phys. Rev. Lett. 2016, 117, 025503. [Google Scholar] [CrossRef] [PubMed]
- Garcia-Martin, A.; Lopez-Ciudad, T.; Saenz, J.J.; Nieto-Vesperinas, M. Statistical Distribution of Intensities reflected from disordered media. Phys. Rev. Lett. 1998, 81, 329. [Google Scholar] [CrossRef]
- Garcia-Martin, A.; Torres, J.A.; Saenz, J.J.; Nieto-Vesperinas, M. Intensity distribution of modes in surface corrugated waveguides. Phys. Rev. Lett. 1998, 80, 4165. [Google Scholar] [CrossRef]
- Lio, G.E.; Ferraro, A.; Ritacco, T.; Aceti, D.M.; De Luca, A.; Giocondo, M.; Caputo, R. Leveraging on ENZ Metamaterials to Achieve 2D and 3D Hyper-Resolution in Two-Photon Direct Laser Writing. Adv. Mater. 2021, 33, 2008644. [Google Scholar] [CrossRef]
- Sanchez-Gil, J.A.; Freilikher, V.; Yurkevich, I.; Maradudin, A.A. Coexistence of ballistic transport, diffusion and localization in surface disordered waveguides. Phys. Rev. Lett. 1998, 80, 948. [Google Scholar] [CrossRef]
- Sadhu, J.; Sinha, S. Room-temperature phonon boundary scattering below the Casimir limit. Phys. Rev. B 2011, 84, 115450. [Google Scholar] [CrossRef]
- Feilhauer, J.; Moško, M. Quantum and Boltzmann transport in a quasi-one-dimensional wire with rough edges. Phys. Rev. B 2011, 83, 245328. [Google Scholar] [CrossRef]
- Izrailev, F.M.; Krokhin, A.A.; Makarov, N.M. Anomalous localization in low-dimensional systems with correlated disorder. Phys. Rep. 2012, 512, 125. [Google Scholar] [CrossRef]
- Dietz, O.; Stockmann, H.-J.; Kuhl, U.; Izrailev, F.M.; Makarov, N.M.; Doppler, J.; Libisch, F.; Rotter, S. Surface scattering and band gaps in rough nanowires and waveguides. Phys. Rev. B 2012, 86, R201106. [Google Scholar] [CrossRef]
- Santamore, D.H.; Cross, M.C. Effect of Phonon Scattering by Surface Roughness on the Universal Thermal Conductance. Phys. Rev. Lett. 2001, 87, 115502. [Google Scholar] [CrossRef]
- Santamore, D.H.; Cross, M.C. Effect of surface roughness on the universal thermal conductance. Phys. Rev. B 2001, 63, 184306. [Google Scholar] [CrossRef]
- Pendry, J.B. Quasi-extended electron states in strongly disordered systems. J. Phys. C Solid State Phys. 1987, 20, 733. [Google Scholar] [CrossRef]
- Skipetrov, S.E.; Sokolov, I.M. Ioffe-Regel criterion of Anderson localization in the model of resonant point scatterers. Phys. Rev. B 2018, 98, 064207. [Google Scholar] [CrossRef]
- Fan, S.; Joannopoulos, J.D. Analysis of guided resonances in photonic crystal slabs. Phys. Rev. B 2002, 65, 235112. [Google Scholar] [CrossRef]
- Poddubny, A.N.; Rybin, M.V.; Limonov, M.F.; Kivshar, Y. Fano interference governs wave transport in disordered systems. Nat. Commun. 2012, 3, 914. [Google Scholar] [CrossRef] [PubMed]
- Markoš, P. Fano resonances and band structure of two dimensional photonic structures. Phys. Rev. A 2015, 92, 043814. [Google Scholar] [CrossRef]
- Maier, S.A. Plasmonics: Fundamentals and Applications; Springer Science: Berlin, Germany, 2007. [Google Scholar]
- Lio, G.E.; De Luca, A.; Umeton, C.P.; Caputo, R. Opto-mechanically induced thermoplasmonic response of unclonable flexible tags with hotspot fingerprint. J. Appl. Phys. 2020, 128, 093107. [Google Scholar]
- Baffou, G. Thermoplasmonics; World Scientific: Singapore, 2017. [Google Scholar]
- Bliokh, K.Y.; Bliokh, Y.P.; Freilikher, V. Resonances in 1D disordered systems: Localization of energy and resonant transmission. J. Am. Opt. Soc. B 2004, 21, 113. [Google Scholar] [CrossRef]
- Bliokh, K.Y.; Bliokh, Y.P.; Freilikher, V.; Savelev, S.; Nori, F. Unusual Resonators: Plasmonics, Metamaterials, and Random Media. Rev. Mod. Phys. 2008, 80, 1201. [Google Scholar] [CrossRef]
- Markoš, P.; Muttalib, K.A. Phonon localization in surface-roughness dominated nanowires. Phys. Rev. B 2019, 99, 134208. [Google Scholar] [CrossRef]
- Markoš, P.; Muttalib, K.A. Universality of phonon transport in nanowires dominated by surface-roughness. Phys. Rev. B 2018, 97, 085423. [Google Scholar] [CrossRef]
- Ozisik, M.N.; Tzou, D.Y. On the Wave Theory in Heat Conduction. Trans. ASME 1994, 116, 526. [Google Scholar] [CrossRef]
- Lepri, S.; Livi, R.; Politi, A. Thermal conduction in classical low-dimensional lattices. Phys. Rep. 2003, 377, 1. [Google Scholar] [CrossRef]
- Zebarjadi, M.; Yang, J.; Lukas, K.; Kozinsky, B.; Yu, B.; Dresselhaus, M.S.; Opeli, C.; Ren, Z.; Chen, G. Role of phonon dispersion in studying phonon mean free paths in skutterudities. J. Appl. Phys. 2012, 112, 044305. [Google Scholar] [CrossRef]
- Zhang, H.; Hua, C.; Ding, D.; Minnich, A.J. Length Dependent Thermal Conductivity Measurements Yiels Phonon Mean Free Path Spectra in Nanostructures. Sci. Rep. 2015, 5, 9121. [Google Scholar] [CrossRef] [PubMed]
- Minnich, A.J. Determining Phonon Mean Free Path from Observations of Quasiballistic Thermal Transport. Phys. Rev. Lett. 2012, 109, 205901. [Google Scholar] [CrossRef]
- Minnich, A.J.; Dresselhaus, M.S.; Ren, Z.F.; Chen, G. Bulk nanostructured thermoelectric materials: Current research and future prospects. Energy Environ. Sci. 2009, 2, 466. [Google Scholar] [CrossRef]
- Regner, K.T.; Sellan, D.P.; Su, Z.; Amon, C.H.; McGaughey, A.J.H.; Malen, J.A. Broadband phonon mean free path contributions to thermal conductivity measured using frequency domain thermoreflectance. Nat. Commun. 2013, 4, 1640. [Google Scholar] [CrossRef]
- Malthora, A.; Maldovan, M. Impact of Phonon Surface Scattering on Thermal Energy Distribution of Si and SiGe Nanowires. Sci. Rep. 2016, 6, 25818. [Google Scholar] [CrossRef]
- Zhao, Y.; Liu, D.; Chen, J.; Zhu, L.; Belianinov, A.; Ovchinnikova, O.S.; Unocic, R.R.; Burch, M.J.; Kim, S.; Hao, H.; et al. Engineering the thermal conductivity along an individual silicon nanowire by selective helium ion irradation. Nat. Commun. 2017, 8, 15919. [Google Scholar]
- Markussen, T.; Jauho, A.-P.; Brandbyge, M. Heat conductance is strongly anisotropic for pristine silicon nanowires. Nano Lett. 2008, 8, 3771. [Google Scholar] [CrossRef] [PubMed]
- Jiang, P.; Ouyang, Y.; Ren, W.; Yu, C.; He, J.; Chen, J. Total-transmission and total-reflection of individual phonons in phononic crystal nanostructures. APLMater 2021, 9, 040703. [Google Scholar]
- Ferraro, A.; Cerza, P.; Mussi, V.; Maiolo, L.; Convertino, A.; Caputo, R. Efficient Photothermal Generation by Nanoscale Light Trapping in a Forest of Silicon Nanowires. J. Phys. Chem. C 2021, 125, 14134. [Google Scholar] [CrossRef]
- Boukai, A.I.; Bunimovich, Y.; Tahir-Kheli, J.; Yu, J.-K.; Goddard, W.A., III; Heath, J.R. Silicon nanowires as efficient thermoelectric materials. Nature 2008, 451, 168. [Google Scholar] [CrossRef]
- Li, D.; Wu, Y.; Kim, P.; Shi, L.; Yang, P.; Majumdar, A. Thermal conductivity of individual silicon nanowires. App. Phys. Lett. 2003, 83, 2934. [Google Scholar] [CrossRef]
- Hochbaum, A.I.; Chen, R.; Delgado, R.D.; Liang, W.; Garnett, E.C.; Najarian, M.; Majumdar, A.; Yang, P. Enhanced thermoelectric performance of rough silicon nanowires. Nature 2008, 451, 163. [Google Scholar] [CrossRef] [PubMed]
- Chen, R.; Hochbaum, A.I.; Murphy, P.; Moore, J.; Yang, P.; Majumdar, A. Thermal Conductance of Thin Silicon Nanowires. Phys. Rev. Lett. 2008, 101, 105501. [Google Scholar] [CrossRef] [PubMed]
- Lim, J.; Hippalgaonkar, K.; Andrews, S.C.; Majumdar, A. Quantifying surface roughness effects on phonon transport in silicon nanowires. Nano Lett. 2012, 12, 2475. [Google Scholar] [CrossRef] [PubMed]
- Heron, J.-S.; Fournier, T.; Mingo, N.; Bourgeois, O. Mesoscopic size effects on the thermal conductance of silicon nanowires. Nano Lett. 2009, 9, 1861. [Google Scholar] [CrossRef] [PubMed]
- Blanc, C.; Rajabpour, A.; Volz, S.; Fournier, T.; Bourgeois, O. Phonon heat conduction in corrugated silicon nanowires below the Casimir limit. Appl. Phys. Lett. 2013, 103, 043109. [Google Scholar] [CrossRef]
- Blanc, C.; Heron, J.-S.; Fournier, T.; Bourgeois, O. Heat transmission between a profiled nanowire and a thermal bath. App. Phys. Lett. 2014, 105, 043106. [Google Scholar] [CrossRef]
- Mingo, N. Anharmonic phonon flow through molecular-sized junctions. Phys. Rev. B 2006, 74, 125402. [Google Scholar] [CrossRef]
- Moore, A.L.; Saha, S.K.; Prasher, R.S.; Shi, L. Phonon backscattering and thermal conductivity suppression in sawtooth nanowires. Appl. Phys. Lett. 2008, 93, 083112. [Google Scholar] [CrossRef]
- Martin, P.; Aksamija, Z.; Popp, E.; Ravioli, U. Impact of phonon-surface roughness scattering on thermal conductivity of thin nanowires. Phys. Rev. Lett. 2009, 102, 125503. [Google Scholar] [CrossRef]
- Carrete, J.; Gallego, L.J.; Varela, L.M.; Mingo, N. Surface roughness and thermal conductivity of semiconductor nanowires: Going below Casimir limit. Phys. Rev. B 2011, 84, 075403. [Google Scholar] [CrossRef]
- Markussen, T.; Jauho, A.-P.; Brandbyge, M. Electron and phonon transport in silicon nanowires: Atomic approach to thermoelectric properties. Phys. Rev. B 2009, 79, 035415. [Google Scholar] [CrossRef]
- Markussen, T.; Rurali, R.; Brandbyge, M.; Jauho, A.-P. Electronic transport through Si nanowires: Role of bulk and surface disorder. Phys. Rev. B 2006, 74, 245313. [Google Scholar] [CrossRef]
- Bauer, D.; Luisier, M. Influence of disorder and surface roughness on the electrical and thermal properties of lithiated silicon nanowires. J. Appl. Phys. 2020, 127, 135101. [Google Scholar] [CrossRef]
- Svizhenko, A.; Leu, P.; Cho, K. Effect of growth orientation and surface roughness on electron transport in silicon nanowires. Phys. Rev. B 2007, 75, 125417. [Google Scholar] [CrossRef]
- Maurer, L.N.; Mei, S.; Knezevic, I. Rayleigh waves, surface disorder, and phonon localization in nanostructures. Phys. Rev. B 2016, 94, 045312. [Google Scholar] [CrossRef]
- Akguc, G.B.; Gong, J. Wave-scattering formalism for thermal conductance in thin wires with surface disorder. Phys. Rev. B 2009, 80, 195408. [Google Scholar] [CrossRef]
- Lacroix, D.; Joulain, K.; Damian, T.; Lemonnier, D. Monte Carlo simulation of phonon confinement in silicon nanostructures: Application to the determination of the thermal conductivity of silicon nanowires. Appl. Phys. Lett. 2006, 89, 103104. [Google Scholar] [CrossRef]
- Donadio, D.; Galli, G. Atomistic Simulations of Heat Transport in Silicon Nanowires. Phys. Rev. Lett. 2009, 102, 195901. [Google Scholar] [CrossRef]
- He, Y.; Galli, G. Microscopic Origin of the Reduced Thermal Conductivity of Silicon Nanowires. Phys. Rev. Lett. 2012, 108, 215901. [Google Scholar] [CrossRef]
- Zushi, T.; Ohmori, K.; Yamada, K.; Watanabe, T. Effect of a SiO2 layer on the thermal transport properties of <100> Si nanowires: A molecular dynamics study. Phys. Rev. B 2015, 91, 115308. [Google Scholar]
- Liu, L.; Chen, X. Effect of surface roughness on thermal conductivity of silicon nanowires. J. Appl. Phys. 2010, 107, 033501. [Google Scholar] [CrossRef]
- Hyun, O.J.; Shin, M.; Jang, M.-G. Phonon transport in Si nanowires with elastically dissimilar barriers. J. Appl. Phys. 2012, 111, 044304. [Google Scholar] [CrossRef]
- Murphy, P.G.; Moore, J.E. Coherent phonon scattering effects on thermal transport in thin semiconductor nanowires. Phys. Rev. B 2007, 76, 155313. [Google Scholar] [CrossRef]
- Ando, T. Quantum point contact in magnetic fields. Phys. Rev. B 1991, 44, 8017. [Google Scholar] [CrossRef] [PubMed]
- Pendry, J.B.; MacKinnon, A.; Roberts, P.J. Universality classes and fluctuation in disordered systems. Proc. R. Soc. Lond. Ser. A 1992, 437, 67. [Google Scholar]
- Markoš, P. Numerical analysis of Anderson localization. Acta Phys. Slovaca 2006, 56, 561. [Google Scholar] [CrossRef]
- Muttalib, K.A.; Abhinav, S. Suppressing phonon transport in nanowires: A simple model for phonon-surface-roughness interaction. Phys. Rev. B 2017, 96, 075403. [Google Scholar] [CrossRef]
- Tesanovich, Z.; Jaric, M.V.; Maekawa, S. Quantum transport and surface scattering. Phys. Rev. Lett. 1986, 57, 2760. [Google Scholar] [CrossRef]
- Abrikosov, A.A.; Gorkov, L.P.; Dzyaloshinskii, I.E. Methods of Quantum Field Theory in Statistical Physics; Courier Corporation: Chelmsford, MA, USA, 1975. [Google Scholar]
- Kottos, T. Statistics of resonances and delay time in random media: Beyond random matrix theory. J. Phys. A Math. Gen. 2005, 38, 10761. [Google Scholar] [CrossRef]
- Clayton, R.; Enquist, B. Absorbing boundary conditions for acoustic and elastic wave equations. Bull. Seism. Soc. Am. 1977, 67, 1529. [Google Scholar]
- Rammer, J.; Smith, H. Quantum field-theoretical methods in transport theory of metals. Rev. Mod. Phys. 1986, 58, 323. [Google Scholar] [CrossRef]
- Abhinav, S.; Muttalib, K.A. Non-equilibrium phonon transport in surface-roughness dominated nanowires. J. Phys. Commun. 2019, 3, 105010. [Google Scholar] [CrossRef]
- Vakulov, D.; Gireesan, S.; Swinkels, M.Y.; Chavez, R.; Vogelaar, T.; Torres, P.; Campo, A.; De Luca, M.; Verheijen, M.A.; Koelling, S.; et al. Ballistic phonons in ultrathin nanowires. Nano Lett. 2020, 20, 2703. [Google Scholar] [CrossRef]
- Galperin, M.; Nitzan, A.; Ratner, M. Heat conduction in molecular transport junctions. Phys. Rev. B 2007, 75, 155312. [Google Scholar] [CrossRef]
- Tian, Z.; Esfarjani, K.; Shiomi, J.; Henry, A.S.; Chen, G. On the importance of optical phonons to thermal conductivity in nanostructures. Appl. Phys. Lett. 2011, 99, 053122. [Google Scholar] [CrossRef]
- Hyldgaard, P.; Hershfield, S.; Davies, J.H.; Wilkins, J.W. Resonant tunneling with an electron-phonon interaction. Ann. Phys. 1994, 236, 1. [Google Scholar] [CrossRef]
- Prange, R.E.; Kadanoff, L.P. Transport theory for electron-phonon interactions in metals. Phys. Rev. 1964, 134, A566. [Google Scholar] [CrossRef]
- Mitra, A.; Aleiner, I.; Millis, A.J. Phonon effects in molecular transistors: Quantal and classical treatment. Phys. Rev. B 2004, 69, 245302. [Google Scholar] [CrossRef]





Publisher’s Note: MDPI stays neutral with regard to jurisdictional claims in published maps and institutional affiliations. |
© 2021 by the authors. Licensee MDPI, Basel, Switzerland. This article is an open access article distributed under the terms and conditions of the Creative Commons Attribution (CC BY) license (https://creativecommons.org/licenses/by/4.0/).
Share and Cite
Markoš, P.; Muttalib, K. Non-Linear Thermoelectric Devices with Surface-Disordered Nanowires. Appl. Nano 2021, 2, 162-183. https://doi.org/10.3390/applnano2030013
Markoš P, Muttalib K. Non-Linear Thermoelectric Devices with Surface-Disordered Nanowires. Applied Nano. 2021; 2(3):162-183. https://doi.org/10.3390/applnano2030013
Chicago/Turabian StyleMarkoš, Peter, and Khandker Muttalib. 2021. "Non-Linear Thermoelectric Devices with Surface-Disordered Nanowires" Applied Nano 2, no. 3: 162-183. https://doi.org/10.3390/applnano2030013
APA StyleMarkoš, P., & Muttalib, K. (2021). Non-Linear Thermoelectric Devices with Surface-Disordered Nanowires. Applied Nano, 2(3), 162-183. https://doi.org/10.3390/applnano2030013

