Abstract
The electrochemical properties of the hydrophobic room-temperature ionic liquid 1-propyl-2,3-dimethylimidazolium bis(trifluoromethylsulfonyl)imide (PMMIm(TFSI)) were investigated, for the first time, using an electrochemical double-layer capacitor-mimicking cell containing two identical-sized micro–mesoporous molybdenum carbide-derived carbon electrodes (MMP-C(Mo2C)), by applying cyclic voltammetry (CV) and electrochemical impedance spectroscopy (EIS) techniques. Surprisingly, despite the substitution of the slightly acidic hydrogen atom with a methyl group at the carbon atom located between two nitrogen atoms in the imidazolium cation, the EIS and CV measurements demonstrated that PMMIm(TFSI) began to decompose electrochemically at the same cell potential (ΔE) as 1-ethyl-3-methylimidazolium tetrafluoroborate (EMIm(BF4)), specifically at ΔE = 2.75 V. However, the CV and EIS data indicated that PMMIm(TFSI) decomposed with a significantly lower intensity than EMIm(BF4). Therefore, we believe that the use of PMMIm(TFSI) as the electrolyte will enable the construction of safer supercapacitors that can tolerate short periods of over-polarization up to ΔE = 4.0 V. However, when the ΔE ≤ 3.2 V was applied, EMIm(BF4) offered higher maximum power compared to PMMIm(TFSI). We found that the calculated maximum gravimetric power precisely describes the maximum ΔE applicable for a supercapacitor candidate.
1. Introduction
Room-temperature ionic liquids (RTILs) [1] are a unique class of compounds that remain in a molten state at room temperature. They have a variety of applications, including use in various electrochemical energy storage systems (like Li-ion cells and supercapacitors) [2,3,4,5,6], solar power electrochemical cells [7], organic synthesis [1,8,9,10,11], as lubricants [12,13] and as corrosion inhibitors [14,15]. RTILs can be either hydrophobic or hydrophilic, and can be sensitive or insensitive to oxygen and moisture [1]. A common characteristic of all of these compounds is their very low vapor pressure, which means that they are very hardly flammable. Due to the very low vapor pressure of RTILs, their properties can be investigated under very-high-vacuum conditions [16,17,18,19]. It is worth noting that as they are molten salts at room temperature, RTILs do not require a solvent to be in liquid form and to possess the required ionic conductivity. Thus, RTILs are liquid super-concentrated salts.
A large number of RTILs, based on quaternary ammonium cations, have been synthesized [1,19,20,21,22]. One group of these RTILs is based on the imidazolium cation, which features alkyl chains at the first and third positions in the imidazolium aromatic ring. These RTILs exhibit low melting temperatures and viscosities, resulting in suitable conductivity for electrochemical applications. However, the hydrogen atom located at the carbon atom in the second position of the imidazolium aromatic ring (i.e., situated between two nitrogen atoms) is slightly acidic. At very negative potentials, this proton can be electrochemically reduced to a free hydrogen radical [20]. Consequently, imidazolium carbene can form [20,23], which, in turn, can initiate dimerization [24] or even continuous polymerization of the imidazolium cations, transforming the RTIL into a very viscous dark-brown substance. These properties limit the application of 1,3-dialkylimidazolium cations at electrode potentials (E) that are more negative than E = −1.8 V vs. SHE [20], E = −1.9 V vs. Ag/Ag+ [21], or E = −2.0 V vs. Ag/AgCl [24]. Therefore, the substitution of the slightly acidic proton at the second position in the imidazolium aromatic ring with an aliphatic group would be expected to increase the electrochemical stability of the imidazolium cation.
Research on the electrochemical properties and applications of 1,2,3-trialkylimidazolium cation-based RTILs is quite limited [25,26,27,28,29]. Koch et al. studied 1-propyl-2,3-dimethylimidazolium bis(trifluoromethyl)imide (PMMIm(TFSI)) as a possible electrolyte for Li-ion electrochemical cells, and they found that PMMIm(TFSI) exhibited electrochemical stability in the potential region from 0.2 V to 5.4 V (vs. Li/Li+) [25]. Sutto et al. observed that 1-propyl-2,3-dimethylimidazolium and 1-butyl-2,3-dimethylimidazolium cations are suitable for constructing dual intercalating molten electrolyte cells [26,27]. However, we have found no data in the literature regarding how well-suited trialkylimidazolium-based RTILs, and specially PMMIm(TFSI), would be as electrolytes for electrochemical double-layer capacitors (EDLCs). Therefore, we decided to study this kind of compound from the point of view of its possible application in EDLCs, and to report the results of the measurements.
The intercalation of BMMIm(TFSI) and PMMIm(TFSI) into graphitic paper, as observed by Sutto et al., is a significant process in the development of electrochemical energy storage systems. Therefore, we decided to investigate the electrochemical behavior of PMMIm(TFSI) using slightly different hierarchical micro–mesoporous molybdenum carbide-derived carbon (MMP-C(Mo2C)) electrodes [30,31,32]. Our research was focused on the possible application of PMMIm(TFSI) as an electrolyte in supercapacitors containing micro–mesoporous electrodes, and other high-voltage electrochemical cells. For comparison, we decided to measure the electrochemical behavior of 1-ethyl-3-methylimidazolium tetrafluoroborate (EMIm(BF4)) (which has been accepted as a suitable electrolyte for supercapacitors and high voltage electrochemical cells) under the same conditions.
2. Materials and Methods
Two disk-shaped micro–mesoporous carbon (MMP-C(Mo2C)) electrodes, each with a geometric area of approximately 2.0 cm2 and a mass of 0.011 g, were synthesized at 900 °C. The electrodes were placed in a standard Al-made test cell (HS Test Cell, Hohsen Corporation, Osaka, Japan) to create a model EDLC. The two identical electrodes were electrically separated by a 25 μm thick separator sheet TF4425 from Nippon Kodoshi (Pasir Gudang, Malaysia). The synthesis, structure, porosity, surface area, and electrochemical characteristics of MMP-C(Mo2C) have been described in earlier studies [30,31,32]. The Al surfaces and inner electrical contacts of the test cell were first cleaned mechanically using fine SiC polishing paper (Buehler, Lake Bluff, IL, USA; Carbimet®, grit 600). Next, the cell was rinsed with MilliQ water and HPLC-grade acetone. Finally, the cell, MMP-C(Mo2C) electrodes, and separator were treated in a vacuum chamber (at a pressure, p, of 10 kPa) for 20 h at 100 °C, and assembled in a mBraun glovebox filled with Ar (p = 101 kPa) containing less than 0.1 ppm of water and oxygen. Both RTILs—PMMIm(TFSI) from IoLiTec (Heilbronn, Germany, purity > 99%, containing less than 100 ppm halides and 70 ppm water, CAS number: 169051-76-7), and EMIm(BF4) from Fluka Analytical (Fisher Scientific, Loughborough, Leicestershire, UK) (grade “for electrochemistry”, purity ≥ 99.0%, containing less than 200 ppm water, CAS number: 143314-16-3)—were further treated by placing them in a vacuum chamber, at a pressure of 10 kPa, for 20 h at 100 °C.
The potential step size was set to 5.0 mV for the CV measurements; the data from the second cycle are presented and discussed in this text. For the electrochemical impedance spectroscopy (EIS) measurements, the sinusoidal potential modulation amplitude was 5.0 mV; the results from the second consecutive measurement are included in the Discussion. All electrochemical data were collected using BioLogic SP-300 potentiostat (Biologic, Seyssinet-Pariset, France). The measurements were conducted at a temperature of 22 ± 1 °C.
Certain physical properties of EMIm(BF4) and PMMIm(TFSI) are presented in Table 1.
Table 1.
Some physical properties, i.e., density (ρ), viscosity (η) and conductivity (κ), for 1-ethyl-3-methylimidazolium tertafluoroborate (EMIm(BF4)) and 1-propyl-2,3-dimethyimidazolium bis(trifluoromethylsulfonium)imide (PMMIm(TFSI)).
3. Results and Discussion
3.1. Cyclic Voltammetry Data
The CV curves, measured with a potential sweep rate (v) of 0.25 mV s−1, indicate that the PMMIm(TFSI)|MMP-C(Mo2C) system behaves like an ideal capacitor up to a cell potential, ΔE, of 2.5 V (Figure 1). An increase in gravimetric current density (i) is observed only at ΔE > 2.75 V, indicating the onset of irreversible faradaic processes. By expanding the model EDLC’s maximum polarization to ΔE = 3.6 V, the voltammetric waves appear at ΔE = 1.55 V and 3.1 V during the CV forward sweep (i.e., charging cycle). A significant increase in measured current occurs at ΔE > 3.3 V. When expanding the ΔE further, up to ΔE = 4.0 V, the measured current begins to already increase remarkably at ΔE > 1.0 V during the forward (i.e., charging) sweep of CV, and a large current peak is observed at ΔE = 3.5 V (Figure 1), indicating an irreversible electrochemical process that likely suggests prior activation of the Al current collectors.
Figure 1.
Measured gravimetric current (i) vs. applied cell potential (ΔE) cyclic voltammetry data for PMMIm(TFSI)|MMP-C(Mo2C) system. Potential sweep rate used was 0.25 mV s−1.
Investigating the gravimetric differential capacity (C(dif.)) values (calculated as in refs. [31]) for the PMMIm(TFSI)|MMP-C(Mo2C) system within the ΔE region from 0.0 V to 2.5 V and in reverse, applying variable potential sweep rates, it is notable that the characteristic square-like shape indicative of ideal capacitor behavior begins to significantly distort at v ≥ 20 mV s−1 (Electronic Supplementary Information (ESI), Figure S1a). Thus, higher potential scan rates result in less charge being stored in the model EDLC. When this measurement was repeated over a wider potential region (i.e., from 0.0 V to 4.0 V and reverse), we observed a decrease in the C(dif.) values already when v ≥ 2 mV s−1 (Figure S1b). The notable C(dif.) peak at ΔE = 3.5 V and v = 0.25 mV s−1 also shifted to higher ΔE values, and seemed to become less intense as the potential sweep rate increased. This C(dif.) peak shift in ΔE, and the transformation of the square-like charging–discharging curve into a “banana” shape, reflects very slow mass transport of PMMIm(TFSI) within the MMP-C(Mo2C) pores when high potential sweep rates were applied.
The average C(dif.) values for the PMMIm(TFSI)|MMP-C(Mo2C) system, calculated from the CV forward sweep (i.e., EDLC charging process) data measured at various v and maximum ΔE applied, expand as, during a charging sweep, the applied maximum ΔE values increase (Figure 2a and ESI Table S1). This expansion reflects that more charge is consumed by the EDLC as ΔE increases. However, it is also notable that more charge is stored (or consumed) at lower potential scan (i.e., charging) rates, which suggests slow mass transport of PMMIm(TFSI) within the MMP-C(Mo2C) electrode. Analyzing the total charges stored during charging and released during discharging of the PMMIm(TFSI)|MMP-C(Mo2C) system, it was observed that the ratio of total charge released (Q−) to total charge stored (Q+), which indicates the columbic efficiency of the charging–discharging cycle, decreased as v decreased and higher ΔE values were applied during the CV study (Figure 2b). This phenomenon indicates that some charge is consumed by very slow, irreversible faradic processes at very low v and high ΔE applied. Thus, it seems that the model EDLC based on PMMIm(TFSI)|MMP-C(Mo2C) exhibits a higher columbic efficiency (close to 100%) at higher charging–discharging rates (v > 1 mV s−1), where the system spends less time at higher ΔE values. It is characteristic that the columbic efficiency was already less than 100%, and reduced further at ΔE > 1.0 V and v = 0.25 mV s−1 (Figure 2b).
Figure 2.
Average gravimetric differential capacitance (C(dif.)) vs. maximum cell potential (ΔE) applied during cyclic voltammetric measurement for PMMIm(TFSI)|MMP-C(Mo2C) system (a), and columbic charging–discharging efficiencies (Q−/Q+) for PMMIm(TFSI)|MMP-C(Mo2C) system, measured at various cyclic voltammetry potential sweep rates (b).
When comparing the columbic charging–discharging process efficiency data for the PMMIm(TFSI)|MMP-C(Mo2C) system and EMIm(BF4)|MMP-C(Mo2C) system, it is notable that both systems exhibit similar behavior at ΔE ≤ 2.5 V and using the charging–discharging rate v ≤ 1.0 mV s−1 (ESI Tables S2 and S3). At ΔE > 2.5 V, the PMMIm(TFSI)|MMP-C(Mo2C)-based EDLC shows better charge storage performance, due to a smaller rate of undesirable irreversible faradic processes. However, within the region of 0.0 V ≤ ΔE ≤ 2.5 V, the amount of the charge stored (i.e., average C(dif.)) is higher in the EMIm(BF4)|MMP-C(Mo2C) system than in the PMMIm(TFSI)|MMP-C(Mo2C)-based EDLC. This difference is attributed to the lower viscosity, and consequently higher conductivity, of EMIm(BF4) (see Table 1, ESI Tables S1 and S4).
3.2. Electrochemical Impedance Data
The Nyquist plots for the PMMIm(TFSI)|MMP-C(Mo2C) system measured at 0.0 V ≤ ΔE ≤ 3.0 V reveal a straight line, with a slope ca. 45° in the high-frequency region, marking slow finite-length diffusion within the pores of the MMP-C(Mo2C) electrode (Figure 3a). At a potential modulation frequency (f) of 62 mHz, a straight vertical line appears in the low-frequency region, marking the slow adsorption of PMMIm(TFSI) within the MMP-C(Mo2C) electrode pores, demonstrating the capacitor-like behavior of the PMMIm(TFSI)|MMP-C(Mo2C) system. However, in the Nyquist plot, measured at ΔE = 3.2 V, a high-frequency semicircle emerges, peaking at f = 7.6 kHz (Figure 3b). The size of this mid-frequency semicircle expands with increasing ΔE values, and aligns with the increase in current at these cell potentials (Figure 1). The formation and enlargement of this semicircle reflects intensive faradic reactions occurring at the MMP-C(Mo2C) electrode, along with a reduction in mass transport rate within the MMP-C(Mo2C) electrode (Figure 3a,b). It is important to note that the series (i.e., internal) resistance (Rs, being equal to the impedance real part (Z′) value when the impedance imaginary part (Z″) value at f > 100 kHz is zero) of the model EDLC begins to increase continuously at ΔE ≥ 2.75 V, reflecting the formation of poorly conducting electrochemical decomposition products of PMMIm(TFSI) at the surface of the MMP-C(Mo2C) electrode.

Figure 3.
Nyquist plots for PMMIm(TFSI)|MMP-C(Mo2C) system (a). Enlarged part of (a), showing Nyquist plots’ high-modulation-frequency sections (b).
The log |Z″| vs. log f plots measured at ΔE ≤ 2.5 V reveal two linear regions: (1) the low-frequency region at 1 mHz ≤ f ≤ 50 mHz, and (2) the mid-frequency region at 50 mHz ≤ f ≤ 25 Hz (ESI, Figure S2). In the low-frequency region, the slope of the log |Z″| vs. log f plot is ca. −0.95, marking ideal capacitor behavior. In the mid-frequency area, the slope is ca. −0.45, which reflects a mass transport speed limited process. When ΔE exceeds 2.5 V, the slope in the mid-frequency area decreases, and a small maximum starts to develop in the very-high-frequency section (ESI, Figure S2). At ΔE ≥ 3.2 V, this maximum becomes clearly distinguishable in the log |Z″| vs. log f plot. The “hump” expands and its position moves toward smaller frequencies with increasing ΔE. The formation of this maximum (“hump”) in the log |Z″| vs. log f dependence coincides with the onset of intensive faradic processes (Figure 1), alongside a noticeable increase in Rs values.
The series capacitance (Cs), parallel capacitance (Cp) and imaginary capacitance (C″) values were calculated from the EIS data [36,37].
The Cs values increase in the ΔE region from 0.0 V to 3.0 V at ca. f < 100 Hz, forming a semi-horizontal plateau at f < 20 mHz (ESI, Figure S3a). This plateau lifts upwards with the increase in ΔE applied to the PMMIm(TFSI)|MMP-C(Mo2C) system. (It should be mentioned that the highest Cs (Cs = 0.27 F cm−2 or Cs = 24 F g−1) was measured at ΔE = 3.6 V and f = 1.0 mHz.)
The Cp values exhibit behavior similar to that of the Cs values, and the Cp values begin to increase in the cell potential region of 0.0 V ≤ ΔE ≤ 3.0 V at ca. f < 10 Hz (ESI, Figure S3b).
C″ vs. log f plots for PMMIm(TFSI)|MMP-C(Mo2C) model EDLC, measured at various ΔE, are shown in ESI Figure S3c. Clear C″ peaks are observed for the plots within the region of ΔE from 0.0 V to 3.0 V, with maxima at 25 mHz. These C″ peaks reflect the capacitor-like behavior of the PMMIm(TFSI)|MMP-C(Mo2C) system within that cell potential region. The frequency corresponding to the maximum (fmax) determines the characteristic time constant of the system. At ΔE > 3.0 V, the C″ peak disappears, which can be attributed to the onset of intense irreversible faradic processes at the PMMIm(TFSI)|MMP-C(Mo2C) interface (Figure 1).
The Cp Cs−1 vs. log f data, measured at various ΔE, are shown in ESI Figure S3d. It should be mentioned that Cp Cs−1 = 1.0 is a characteristic showing the ideal polarizability of the studied electrode–electrolyte interface [37]. At f > 100 Hz, Cp Cs−1 ≈ 0, but at lower frequencies, this ratio begins to increase, and finally, a steep increase in Cp Cs−1 occurs at ca. f ≤ 0.1 Hz. Only at f ≤ 2 mHz and ΔE ≤ 2.5 V, the Cp Cs−1 ratio approaches nearly to 1, which indicates that the PMMIm(TFSI)|MMP-C(Mo2C) system behaves then as an ideally polarizable electrochemical electrode–electrolyte interface (ESI, Figure S3d). The very small values of Cp Cs−1 at f > 0.01 Hz can be attributed to the very slow mass transport of PMMIm(TFSI) within the porous structure of the MMP-C(Mo2C) electrode (see Table 1).
The Cp Cs−1 vs. ΔE relationships, calculated (based on the data measured in current study) at frequencies of 0.1 Hz, 0.01 Hz, and 0.001 Hz for the PMMIm(TFSI)|MMP-C(Mo2C) system, and their comparison with the EMIm(BF4)|MMP-C(Mo2C) system, are presented in Figure 4. It is characteristic that Cp Cs−1 is close to unity for the PMMIm(TFSI)|MMP-C(Mo2C) system only at the lowest modulation frequency used (as previously mentioned), and when the ΔE is less than 2.5 V. At ΔE > 3.0 V, there is a significant reduction in the Cp Cs−1 values, reflecting the onset of very slow faradic processes (Figure 4). The Cp Cs−1 ratio values established at f of 0.01 Hz and 0.1 Hz are much lower than those determined at 0.001 Hz, reflecting the slow mass transport of PMMIm(TFSI) within the pores of the MMP-C(Mo2C) electrode.
Figure 4.
Parallel capacitance (Cp) and series capacitance (Cs) ratio vs. cell potential (ΔE) applied relationships measured at low-potential modulation frequencies indicated in figure.
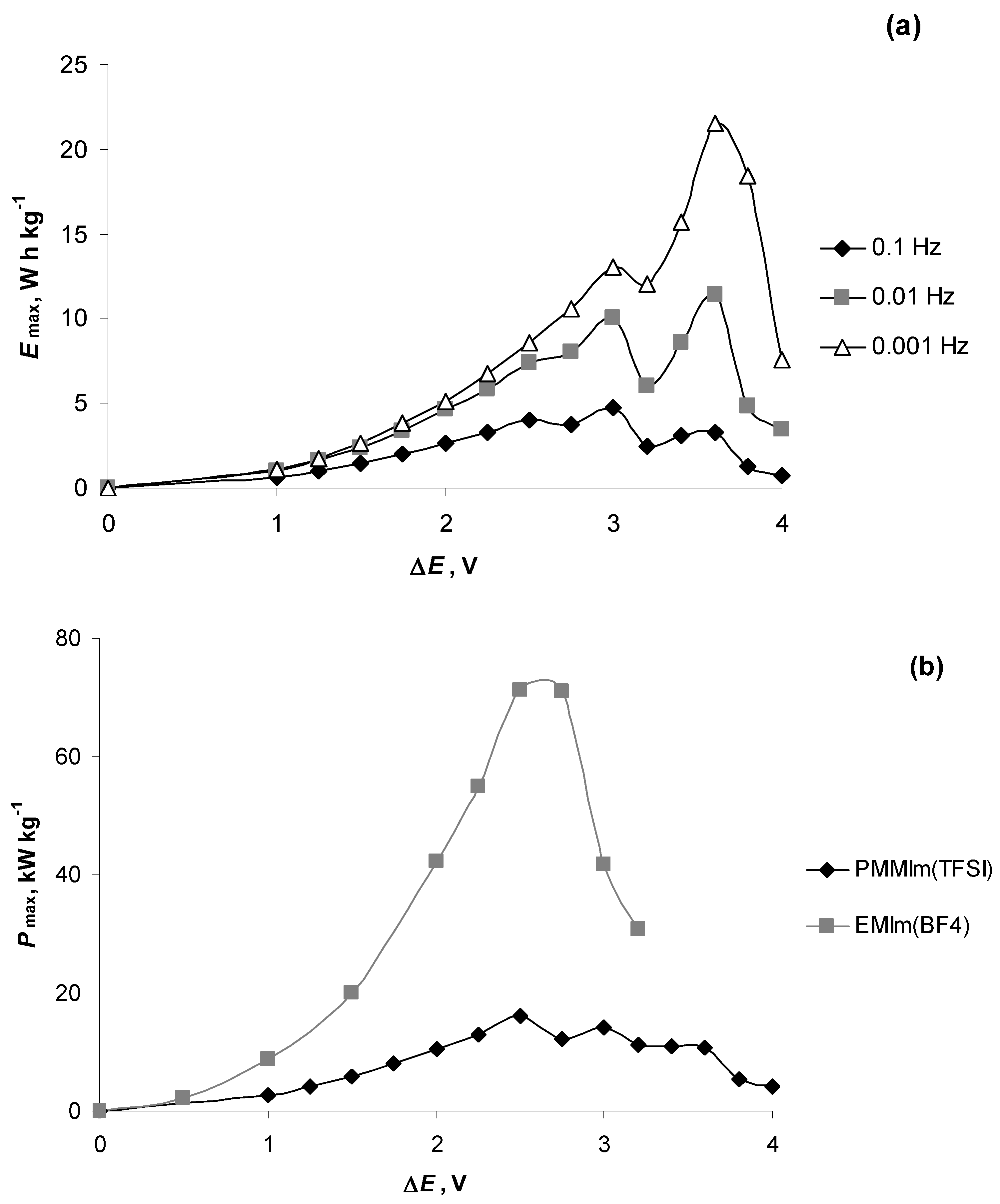
The maximum gravimetric energy (Emax) and maximum gravimetric power (Pmax) data for the PMMIm(TFSI) and EMIm(BF4)|MMP-C(Mo2C) systems, calculated using (in the current study) the measured Cs and Rs values (calculation method is described in Refs. [31,38]), are presented in Figure 5a,b. Surprisingly, the peak Emax values were calculated for the PMMIm(TFSI)|MMP-C(Mo2C) system at ΔE = 3.6 V and f of 0.01 Hz and 0.001 Hz (Figure 5a). Thus, the largest Emax values were determined for PMMIm(TFSI) at the ΔE, when very slow faradic processes seemed, according to the CV and EIS measurement data, to have already started. This suggests that, alongside the Emax values, the columbic efficiency should also be investigated and considered when reporting the highest ΔE applicable for the studied RTIL|electrode material system. On the other hand, the Pmax vs. ΔE dependence maxima for the PMMIm(TFSI) and EMIm(BF4)|MMP-C(Mo2C) systems perfectly overlap with the electrochemical stability limits (ΔE = 2.5 V) for both of the RTILs investigated in this paper (Figure 5b). Therefore, the Pmax data should be used for the estimation and reporting of useful electrochemical stability limits for supercapacitors.
Figure 5.
Maximum energy (Emax) stored for PMMIm(TFSI)|MMP-C(Mo2C) system, measured at various EIS potential modulation frequencies (noted in figure) (a) and maximum power available (Pmax) for PMMIm(TFSI) and EMIm(BF4)|MMP-C(Mo2C) systems (b).
4. Conclusions
The electrochemical properties of 1-propyl-2,3-dimethylimidazolium bis(trifluoromethyl)imide (PMMIm(TFSI)) were investigated, for the first time, using micro–mesoporous molybdenum carbide-derived carbon (MMP-C(Mo2C)) electrodes mimicking an electrical double-layer capacitor (EDLC). The electrochemical studies were conducted in a capacitor cell at various cell potentials (ΔE), using cyclic voltammetry (CV) and electrochemical impedance spectroscopy (EIS) methods. For comparison, 1-ethyl-3-methylimidazolium terafluoroborate (EMIm(BF4)) was also examined under the same conditions. The collected CV and EIS data show that both room-temperature ionic liquids (RTILs) began to decompose electrochemically at ΔE ≥ 2.75 V. This indicates that the replacement of the hydrogen atom at the carbon in position No. 2 of the imidazolium aromatic ring with a methyl group will unfortunately not increase the thermodynamic stability region for PMMIm(TFSI). Thus, the formation of carbene and subsequent formation of PMMIm-PMMIm dimers (as predicted by Lane [20]) at very high cell potentials at the negatively charged carbon electrode is highly possible. However, due to the higher viscosity of PMMIm(TFSI) and the absence of a slightly acidic proton at the position No. 2 in the PMMIm+ aromatic ring, the faradic processes were less intensive, compared to EMIm(BF4). As a result, it was possible to investigate the electrochemical properties of PMMIm(TFSI), using the EIS method, up to ΔE = 4.0 V. This indicates that the PMMIm(TFSI)|MMP-C(Mo2C) system can tolerate short-term charging up to ΔE = 4.0 V, giving to it a significant advantage over the EMIm(BF4)-containing EDLC cell. The collected electrochemical data indicate that PMMIm(TFSI) can be used as a low-vapor-pressure, moderately stable RTIL for the construction of electrochemical power storage systems and as an electrolyte in high-vacuum in situ and in operando low-energy X-ray spectroscopic studies.
When comparing the columbic charging–discharging process efficiency data of the PMMIm(TFSI)|MMP-C(Mo2C) and EMIm(BF4)|MMP-C(Mo2C) systems, it is notable that both systems behave similarly at ΔE ≤ 2.5 V, particularly when using a slow charging–discharging rate of v ≤ 1.0 mV s−1. It is worth noting that at ΔE > 2.5 V, the PMMIm(TFSI)|MMP-C(Mo2C) EDLC system demonstrates better charge storage performance than the EMIm(BF4)|MMP-C(Mo2C) EDLC system, due to a slower rate of unwanted irreversible faradic processes. However, the amount of charge stored in the ΔE region from 0.0 V to 2.5 V is higher for the EMIm(BF4)|MMP-C(Mo2C) system than for the PMMIm(TFSI)|MMP-C(Mo2C)-based EDLC. This can be explained by the lower viscosity and, consequently, higher conductivity of EMIm(BF4).
Smaller Cp Cs−1 values, measured for the PMMIm(TFSI)|MMP-C(Mo2C) system and compared with those of the EMIm(BF4)|MMP-C(Mo2C) system, are caused by the higher viscosity (and thus lower ionic conductivity) of PMMIm(TFSI). The collected data show that the Cp Cs−1 ratio (as well as the EIS phase angle) measured at the selected f is not only influenced by the intensity of the faradic reactions, but also reflects the diffusion and adsorption speed of the RTIL ions at and inside the MMP-C(Mo2C) electrodes. Thus, the Cp Cs−1 values close to unity and the EIS phase angle values close to 90° reflect just how similarly the studied electrode|electrolyte interface behaves to an ideal capacitor (i.e., to the ideally polarizable electrode material).
The maxima of the maximum gravimetric power (Pmax) vs. ΔE dependences coincided perfectly with the electrochemical stability limits (ΔE = 2.5 V) for both RTILs investigated. Therefore, the Pmax data can be very valuable for the estimation and reporting of applicable electrochemical stability limits for supercapacitors.
Supplementary Materials
The following supporting information can be downloaded at https://www.mdpi.com/article/10.3390/electrochem6010004/s1: Figure S1: Measured gravimetric differential capacitance (C(dif.)) vs. applied cell potential (ΔE) cyclic voltammetry (CV) data for PMMIm(TFSI)|MMP-C(Mo2C) system. CV curves measured at various potential sweep rates indicated in figure. CVs are measured in ΔE regions (a) from 0.0 V to 2.5 V and (b) from 0.0 V to 4.0 V; Table S1: Average gravimetric differential capacity (F g−1) of investigated PMMIm(TFSI)|MMP-C(Mo2C) system during charging cycles, measured at various potential sweep rates (v) and for various polarization regions (CV ΔE) investigated using cyclic voltammetry; Table S2: Columbic efficiency (%) of investigated PMMIm(TFSI)|MMP-C(Mo2C) system, calculated at various potential sweep rates (v) and for various polarization regions (CV ΔE) applied during cyclic voltammetry; Table S3: Columbic efficiency (%) of investigated EMIm(BF4)|MMP-C(Mo2C) system, calculated at various potential sweep rates (v) and for various polarization regions (CV ΔE) applied during cyclic voltammetry; Table S4: Average gravimetric differential capacity (F g−1) of investigated EMIm(BF4)|MMP-C(Mo2C) system during charging cycles, measured at various potential sweep rates (v) and for various polarization regions (CV ΔE) investigated using cyclic voltammetry; Figure S2: log |Z″| vs. log f relationship for PMMIm(TFSI)|MMP-C(Mo2C) system measured at selected cell potentials shown in figure; Figure S3: Series capacitance (Cs) (a), parallel capacitance (Cp) (b), imaginary capacitance (C″) (c) and Cp Cs−1 (d) relationships upon logarithm of potential modulation frequency (f) applied, shown for PMMIm(TFSI)|MMP-C(Mo2C) system.
Author Contributions
J.K.—conceptualization, investigation, data analysis, formal analysis, writing—original draft preparation. E.L.—corresponding author, conceptualization, writing—review and editing, funding acquisition. All authors have read and agreed to the published version of the manuscript.
Funding
This study was funded by the Estonian Research Council (PRG676 and TK210).
Institutional Review Board Statement
Not applicable.
Informed Consent Statement
Not applicable.
Data Availability Statement
The original contributions presented in this study are included in the article/Supplementary Materials. Further inquiries can be directed to the corresponding author.
Acknowledgments
This work was supported by the Estonian Research Council (PRG676 and TK210). We thank Thomas Thomberg for preparing the micro–mesoporous molybdenum carbide-derived carbon electrode, and Tavo Roman for creating the Al current collector on the micro–mesoporous molybdenum carbide-derived carbon electrode sheet.
Conflicts of Interest
The authors declare that they have no conflicts of interest, and have not violated any other ethics statements.
References
- Lei, Z.; Chen, B.; Koo, Y.-M. Introduction: Ionic Liquids. Chem. Rev. 2017, 117, 6633–6635. [Google Scholar] [CrossRef] [PubMed]
- Rana, S.; Thakur, R.C.; Dosanjh, H.S. Ionic liquids as battery electrolytes for lithium ion batteries: Recent advances and future prospects. Solid State Ion. 2023, 400, 116340. [Google Scholar] [CrossRef]
- Kondrat, S.; Kornyshev, A.A. Pressing a spring: What does it take to maximize the energy storage in nanoporous supercapacitors? Nanoscale Horiz. 2016, 1, 45–52. [Google Scholar] [CrossRef] [PubMed]
- Watanabe, M.; Thomas, M.L.; Zhang, S.; Ueno, K.; Yasuda, T.; Dokko, K. Application of Ionic Liquids to Energy Storage and Conversion Materials and Devices. Chem. Rev. 2017, 117, 7190–7239. [Google Scholar] [CrossRef]
- Son, C.Y.; Wang, Z.-G. Ion transport in small-molecule and polymer electrolytes. J. Chem. Phys. 2020, 153, 100903. [Google Scholar] [CrossRef]
- Tiago, G.A.O.; Matias, I.A.S.; Ribeiro, A.P.C.; Martins, L.M.D.R.S. Application of Ionic Liquids in Electrochemistry—Recent Advances. Molecules 2020, 25, 5812. [Google Scholar] [CrossRef]
- Zakeerudin, S.M.; Grätzel, M. Solvent-Free Ionic Liquid Electrolytes for Mesoscopic Dye-Sensitized Solar Cells. Adv. Funct. Mater. 2009, 19, 2187–2202. [Google Scholar] [CrossRef]
- Seddon, K.R. Ionic Liquids for Clean Technology. J. Chem. Technol. Biotechnol. 1997, 68, 351–356. [Google Scholar] [CrossRef]
- Olivier, H. Recent developments in the use of non-aqueous ionic liquids for two-phase catalysis. J. Mol. Cat. A Chem. 1999, 146, 285–289. [Google Scholar] [CrossRef]
- Wasserscheid, P.; Keim, W. Ionic Liquids-New “Solutions” for Transition Metal Catalysis. Angew. Chem. Int. Ed. 2000, 39, 3772–3789. [Google Scholar] [CrossRef]
- Qureshi, Z.S.; Deshmukh, K.M.; Bhanage, B.M. Applications of ionic liquids in organic synthesis and catalysis. Clean Technol. Environ. Policy 2014, 16, 1487–1513. [Google Scholar] [CrossRef]
- Pivnic, K.; Bresme, F.; Kornyshev, A.A.; Urbakh, M. Electrotunable Friction in Diluted Room Temperature Ionic Liquids: Implications for Nanotribology. Appl. Nano Mater. 2020, 3, 10708–10719. [Google Scholar] [CrossRef]
- Bresme, F.; Kornyshev, A.A.; Perkin, S.; Urbakh, M. Electrotunable friction with ionic liquid lubricants. Nature Mater. 2022, 21, 848–858. [Google Scholar] [CrossRef] [PubMed]
- Ganjoo, R.; Bharmal, A.; Sharma, S.; Thakur, A.; Assad, H.; Kumar, A. Imidazolium based ionic liquids as green corrosion inhibitors against corrosion of mild steel in acidic media. J. Phys. Conf. Ser. 2022, 2267, 012023. [Google Scholar] [CrossRef]
- Zunita, M.; Kevin, Y.J. Ionic liquids as corrosion inhibitor: From research and development to commercialization. Results Eng. 2022, 15, 100562. [Google Scholar] [CrossRef]
- Men, S.; Lovelock, K.R.J.; Licence, P. X-ray photoelectron spectroscopy of pyrrolidinium-based ionic liquids: Cation–anion interactions and a comparison to imidazolium-based analogues. Phys. Chem. Chem. Phys. 2011, 13, 15244–15255. [Google Scholar] [CrossRef]
- Blundell, R.K.; Licence, P. Quaternary ammonium and phosphonium based ionic liquids: A comparison of common anions. Phys. Chem. Chem. Phys. 2014, 16, 15278–15288. [Google Scholar] [CrossRef]
- Maier, F.; Niedermaier, I.; Steinrück, H.-P. Perspective: Chemical reactions in ionic liquids monitored through the gas (vacuum)/liquid interface. J. Chem. Phys. 2017, 146, 170901. [Google Scholar] [CrossRef]
- Earle, M.J.; Seddon, K.R. Ionic liquids. Green solvents for the future. Pure Appl. Chem. 2000, 72, 1391–1398. [Google Scholar] [CrossRef]
- Lane, G.H. Electrochemical reduction mechanisms and stabilities of some cation types used in ionic liquids and other organic salts. Electrochim. Acta 2012, 83, 513–528. [Google Scholar] [CrossRef]
- Mousavi, M.P.S.; Kashefolgheta, S.; Stein, A.; Bühlmann, P. Electrochemical Stability of Quaternary Ammonium Cations: An Experimental and Computational Study. J. Electrochem. Soc. 2016, 163, H74–H80. [Google Scholar] [CrossRef]
- Jeong, S.; Li, S.; Appetecchi, G.B.; Passerini, S. Asymmetric ammonium-based ionic liquids as electrolyte components for safer, high-energy, electrochemical storage devices. Energy Storage Mater. 2019, 18, 1–9. [Google Scholar] [CrossRef]
- Gorodetsky, B.; Ramnial, T.; Branda, N.R.; Clyburne, J.A.C. Electrochemical reduction of an imidazolium cation: A convenient preparation of imidazol-2-ylidenes and their observation in an ionic liquid. Chem. Commun. 2004, 17, 1972–1973. [Google Scholar] [CrossRef] [PubMed]
- Romann, T.; Oll, O.; Pikma, P.; Lust, E. Abnormal infrared effects on bismuth thin film–EMImBF4 ionic liquid interface. Electrochem. Commun. 2012, 23, 118–121. [Google Scholar] [CrossRef]
- Koch, V.R.; Nanjundiah, C.; Appetecchi, G.B.; Scrosati, B. The Interfacial Stability of Li with Two New Solvent-Free Ionic Liquids: 1,2-Dimethyl-3-propylimidazolium Imide and Methide. J. Electrochem. Soc. 1995, 142, L116–L118. [Google Scholar] [CrossRef]
- Sutto, T.E.; Sienerth, K.D.; De Long, H.C.; Trulove, P.C. Electrochemical Intercalation Studies of 1,2-Dimethyl-3-Propyl-Imidazolium Tetrafluoroborate and 1-Ethyl-3-Methyl-Imidazolium Tetrafluoroborate in Graphite and Graphite-Polymer Composite Electrodes. Proc. Electrochem. Soc. 1999, 41, 54–64. [Google Scholar] [CrossRef]
- Sutto, T.E.; De Long, H.C.; Trulove, P.C. Investigations of the Electrochemical Behavior of Trialkylimidazolium Bis(trifluoromethylsulfonimide) Ionic Liquids and Their Polymer Gel Electrolytes. Proc. Electrochem. Soc. 2002, 19, 134–144. [Google Scholar] [CrossRef]
- Andriyko, Y.O.; Reischl, W.; Nauer, G.E. Trialkyl-Substituted Imidazolium-Based Ionic Liquids for Electrochemical Applications: Basic Physicochemical Properties. J. Chem. Eng. Data 2009, 54, 855–860. [Google Scholar] [CrossRef]
- Zhang, Q.; Xu, T.; Zhang, X.; Yang, H.; Zhang, W. The Thermodynamic and Excess Properties of Trialkyl-Substituted Imidazolium-Based Ionic Liquids with Thiocyanate and Its Binary Systems with Acetonitrile. J. Chem. Eng. Data 2018, 63, 1408–1418. [Google Scholar] [CrossRef]
- Jänes, A.; Thomberg, T.; Kurig, H.; Lust, E. Nanoscale fine-tuning of porosity of carbide-derived carbon prepared from molybdenum carbide. Carbon 2009, 47, 23–29. [Google Scholar] [CrossRef]
- Thomberg, T.; Jänes, A.; Lust, E. Energy and power performance of electrochemical double-layer capacitors based on molybdenum carbide derived carbon. Electrochim. Acta 2010, 55, 3138–3143. [Google Scholar] [CrossRef]
- Leis, J.; Arulepp, M.; Käärik, M.; Perkson, A. The effect of Mo2C derived carbon pore size on the electrical double-layer characteristics in propylene carbonate-based electrolyte. Carbon 2010, 48, 4001–4008. [Google Scholar] [CrossRef]
- Shamsipur, M.; Beigi, A.A.M.; Teymouri, M.; Pourmortazavi, S.M.; Irandoust, M. Physical and electrochemical properties of ionic liquids 1-ethyl-3-methylimidazolium tetrafluoroborate, 1-butyl-3-methylimidazolium trifluoromethanesulfonate and 1-butyl-1-methylpyrrolidinium bis(trifluoromethylsulfonyl)imide. J. Molec. Liq. 2010, 157, 43–50. [Google Scholar] [CrossRef]
- Yu, Y.-H.; Soriano, A.N.; Li, M.-H. Heat capacities and electrical conductivities of 1-ethyl-3-methylimidazolium-based ionic liquids. J. Chem. Thermodyn. 2009, 41, 103–108. [Google Scholar] [CrossRef]
- Liao, C.; Shao, N.; Han, K.S.; Sun, X.-G.; Jiang, D.-E.; Hagaman, E.W.; Dai, S. Physicochemical properties of imidazolium-derived ionic liquids with different C-2 substitutions. Phys. Chem. Chem. Phys. 2011, 13, 21503–21510. [Google Scholar] [CrossRef]
- Taberna, P.L.; Simon, P.; Fauvarque, J.F. Electrochemical Characteristics and Impedance Spectroscopy Studies of Carbon-Carbon Supercapacitors. J. Electrochem. Soc. 2003, 150, A292–A300. [Google Scholar] [CrossRef]
- Kurig, H.; Jänes, A.; Lust, E. Electrochemical Characteristics of Carbide-Derived Carbon ∣ 1 -Ethyl-3-methylimidazolium Tetrafluoroborate Supercapacitor Cells. J. Electrochem. Soc. 2010, 157, A272–A279. [Google Scholar] [CrossRef]
- Palm, R.; Kurig, H.; Tõnurist, K.; Jänes, A.; Lust, E. Is the mixture of 1-ethyl-3-methylimidazolium tetrafluoroborate and 1-butyl-3-methylimidazolium tetrafluoroborate applicable as electrolyte in electrical double layer capacitors? Electrochem. Commun. 2012, 22, 203–206. [Google Scholar] [CrossRef]
Disclaimer/Publisher’s Note: The statements, opinions and data contained in all publications are solely those of the individual author(s) and contributor(s) and not of MDPI and/or the editor(s). MDPI and/or the editor(s) disclaim responsibility for any injury to people or property resulting from any ideas, methods, instructions or products referred to in the content. |
© 2025 by the authors. Licensee MDPI, Basel, Switzerland. This article is an open access article distributed under the terms and conditions of the Creative Commons Attribution (CC BY) license (https://creativecommons.org/licenses/by/4.0/).





