Influence of Cigarette Butt Extract on the Suppression of Metal Corrosion
Abstract
1. Introduction
2. Materials and Methods
2.1. Electrochemical and Surface Characterization
2.2. Production of Inhibitors
3. Results and Discussion
3.1. Electrochemical Impedance Spectroscopy
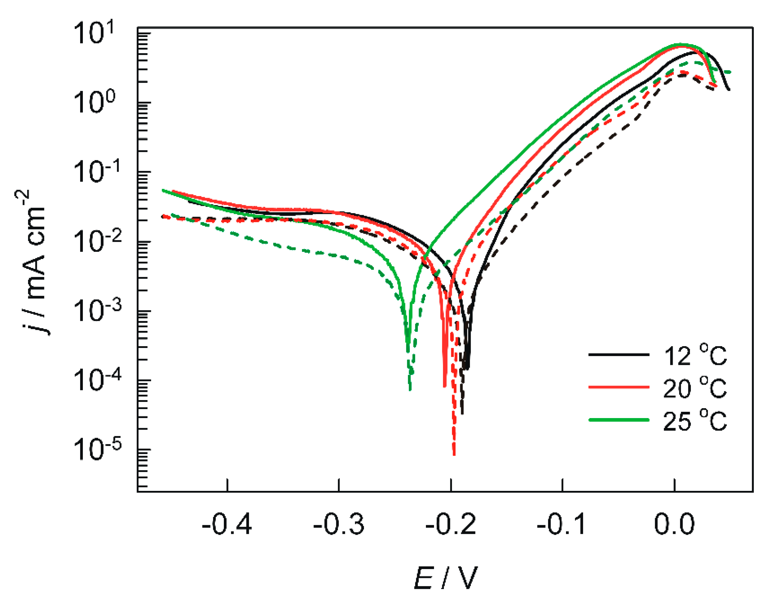
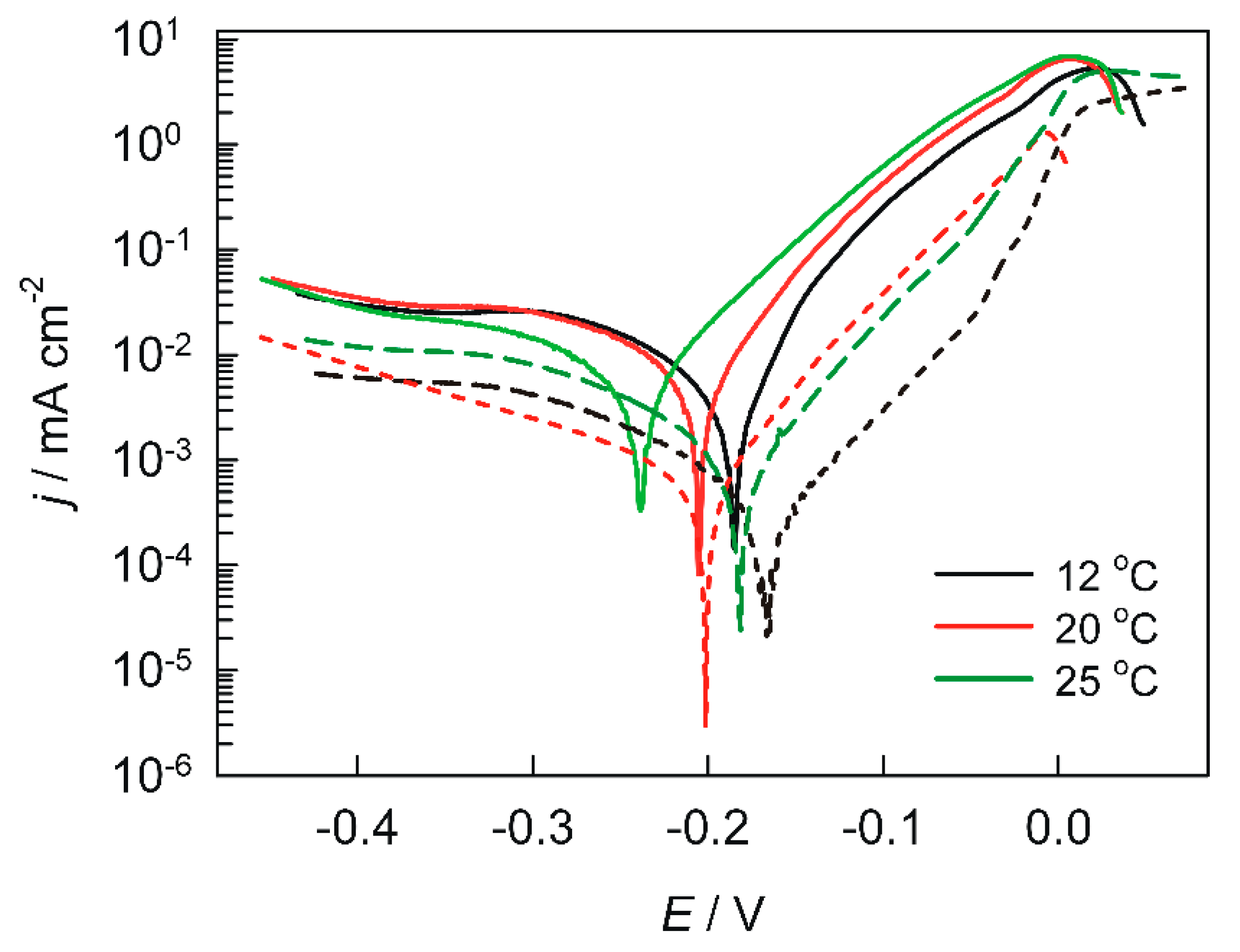
3.2. The Tafel Extrapolation Method
3.3. Morphological Analysis of the Electrode Surface
3.3.1. FTIR Analysis
3.3.2. SEM/EDS Analysis
3.3.3. Contact Angle Measurements
4. Conclusions
Supplementary Materials
Author Contributions
Funding
Institutional Review Board Statement
Informed Consent Statement
Data Availability Statement
Conflicts of Interest
References
- Poppendieck, D.; Khurshid, S.; Emmerich, S. Measuring Airborne Emissions from Cigarette Butts: Literature Review and Experimental Plan; Final Report to U.S. Food and Drug Administration under Interagency Agreement #244-15-9012; National Institute of Standards and technology US Department of commerce: Gaithersburg, MA, USA, 2016. [CrossRef]
- Kurmus, H.; Mohajerani, A. The toxicity and valorization options of cigarette butts. Waste Manag. 2020, 104, 104–118. [Google Scholar] [CrossRef] [PubMed]
- Micevska, T.; Warne, M.S.J.; Pablo, F.; Patra, R. Variation in, and causes of, toxicity of cigarette butts to a cladoceran and microtox. Arch. Environ. Contam. Toxicol. 2006, 50, 205–212. [Google Scholar] [CrossRef] [PubMed]
- Dobaradaran, S.; Schmidt, T.C.; Kaziur-Cegla, W.; Jochmann, M.A. BTEX compounds leachates from cigarette butts into water environment: A primary study. Environ. Pollut. 2021, 269, 116185. [Google Scholar] [CrossRef] [PubMed]
- Lima, C.F.; Amaral dos Santos Pinto, M.; Choueri, R.B.; Moreira, L.B.; Castro, Í.B. Occurrence, characterization, partition, and toxicity of cigarette butts in a highly urbanized coastal area. Waste Manag. 2021, 131, 10–19. [Google Scholar] [CrossRef]
- Moriwaki, H.; Kitajima, S.; Katahira, K. Waste on the roadside, ‘poi-sute’ waste: Its distribution and elution potential of pollutants into environment. Waste Manag. 2009, 29, 1192–1197. [Google Scholar] [CrossRef]
- Emmons, K.M.; Abrams, D.B.; Marshall, R.; Marcus, B.; Kane, H.M.; Novotny, T.E.; Etzel, R.A. An evaluation of the relationship between self-report and biochemical measures of environmental tobacco smoke exposure. Prev. Med. 1994, 23, 35–39. [Google Scholar] [CrossRef]
- Slaughter, E.; Gersberg, R.M.; Watanabe, K.; Rudolph, J.; Stransky, C.; Novotny, T.E. Toxicity of cigarette butts and their chemical components, to marine and freshwater fish. Tob. Control 2011, 20, 25–29. [Google Scholar] [CrossRef]
- Tobacco and Its Environmental Impact: An Overview; World Health Organization: Geneva, Switzerland, 2017; Available online: https://apps.who.int/iris/bitstream/handle/10665/255574/9789241512497-eng.pdf (accessed on 11 October 2024).
- Burich, B. Process and Method for Recycling Cigarette Butts. U.S. Patent 2009113789, 7 May 2009. [Google Scholar]
- Bandi, R.; Devulapalli, N.P.; Dadigala, R.; Gangapuram, B.R.; Guttena, V. Facile Conversion of Toxic Cigarette Butts to N,S-Codoped Carbon Dots and Their Application in Fluorescent Film, Security Ink, Bioimaging, Sensing and Logic Gate Operation. ACS Omega 2018, 3, 13454–13466. [Google Scholar] [CrossRef]
- Yousefi, M.; Kermani, M.; Farzadkia, M.; Godini, K.; Torkashvand, J. Challenges on the recycling of cigarette butts. Environ. Sci. Pollut. Res. 2021, 28, 30452–30458. [Google Scholar] [CrossRef]
- Zhao, J.; Zhang, N.; Qu, C.; Zhang, J.; Zhang, X. Comparison of the corrosion inhibitive effect of anaerobic and aerobic cigarette butts water extracts on N80 steel at 90 °C in hydrochloric acid solution. Ind. Eng. Chem. Res. 2010, 49, 12452–12460. [Google Scholar] [CrossRef]
- Conradi, M.; Sánchez-Moyano, J.E. Toward a sustainable circular economy for cigarette butts, the most common waste worldwide on the coast. Sci. Total Environ. 2022, 847, 157634. [Google Scholar] [CrossRef] [PubMed]
- Vahidhabanu, S.; Rameshbabu, B.; Babu, P.S.; Rahman, H.A. Study of cigarette butts extract as corrosive inhibiting agent in J55 steel material. Int. J. Res. Eng. Technol. 2014, 3, 444–452. Available online: https://citeseerx.ist.psu.edu/document?repid=rep1&type=pdf&doi=7f62891e05cdaf6018a3603d55dd387c4df23f92 (accessed on 16 October 2024).
- Lucatero, L.M.B.; Ortega, D.T.; Pandiyan, T.; Singh, N.; Singh, H.; Sarao, T.P.S. Corrosion inhibition studies of cigarette waste on the iron surface in acid medium: Electrochemical and surface morphology analysis. Anti-Corros. Methods Mater. 2016, 63, 245–255. [Google Scholar] [CrossRef]
- Zhao, J.; Zhang, N.; Qu, C.; Zhan, X.W.J.; Zhang, X. Cigarette butts and their application in corrosion inhibition for N80 steel at 90 C in a hydrochloric acid solution. Ind. Eng. Chem. Res. 2010, 49, 3986–3991. [Google Scholar] [CrossRef]
- Agustina, C.; Pratama, P.; Selviana, A.; Suntoyo; Junianto, S. Effect of Cigarette Butts Extraction on the Corrosion Rate of ASTM A36 for Jacket Platform. In Proceedings of the 7th International Seminar on Ocean and Coastal Engineering, Environmental and Natural Disaster Manage-ment—ISOCEEN; SciTePress–Science and Technology Publications: Setúbal, Portugal, 2019; pp. 225–230. [Google Scholar] [CrossRef]
- Singh, A.; Dayu, X.; Ituen, E.; Ansari, K.; Quraishi, M.A.; Kaya, S.; Lin, Y. Tobacco extracted from the discarded cigarettes as an inhibitor of copper and zinc corrosion in an ASTM standard D1141-98(2013) artificial seawater solution. J. Mater. Res. Technol. 2020, 9, 5161–5173. [Google Scholar] [CrossRef]
- Škugor Rončević, I.; Vladislavić, N.; Buzuk, M.; Buljac, M. Electrodeposition of hydroxyapatite coating on Mg alloy modified with organic acid self-assembled monolayers. J. Chem. Res. 2020, 44, 212–220. [Google Scholar] [CrossRef]
- Zhang, X.; Zheng, Y.; Wang, X.; Yan, Y.; Wu, W. Corrosion Inhibition of N80 Steel Using Novel Diquaternary Ammonium Salts in 15% Hydrochloric Acid. Ind. Eng. Chem. Res. 2014, 53, 14199–14207. [Google Scholar] [CrossRef]
- Amirudin, A.; Thieny, D. Application of electrochemical impedance spectroscopy to study the degradation of polymer-coated metals. Prog. Org. Coat. 1995, 26, 1–28. [Google Scholar] [CrossRef]
- Abd El-Rehim, S.S.; Khaled, K.F.; Abd El-Shafi, N.S. Electrochemical frequency modulation as a new technique for monitoring corrosion inhibition of iron in acid media by new thiourea derivative. Electrochim. Acta 2006, 51, 3269–3277. [Google Scholar] [CrossRef]
- Huang, X.; Kwok, C.T.; Niu, B.; Luo, J.; Zou, X.; Cao, Y.; Yi, J.; Pan, L.; Qiu, W.; Zhang, X. Anisotropic behavior of super duplex stainless steel fabricated by wire arc additive manufacturing. J. Mater. Res. Technol. 2023, 27, 1651–1664. [Google Scholar] [CrossRef]
- Li, X.H.; Deng, S.D.; Fu, H. Inhibition by Jasminum nudiflorum Lindl. Leaves extract of the corrosion of cold rolled steel in hydrochloric acid solution. J. Appl. Electrochem. 2010, 40, 1641–1649. [Google Scholar] [CrossRef]
- Lagrenee, M.; Mernari, B.; Bouanis, M.; Traisnel, M.; Bentiss, F. Study of the mechanism and inhibiting efficiency of 3,5-bis(4-methylthiophenyl)-4H-1,2,4-triazole on mild steel corrosion in acidic media. Corros. Sci. 2002, 44, 573–588. [Google Scholar] [CrossRef]
- Mathiyarasu, J.; Palaniswamy, N.; Muralidharan, V.S. Corrosion resistance of cupronickels-An overview. Corros. Rev. 2000, 18, 65–103. [Google Scholar] [CrossRef]
- Škugor Rončević, I.; Vladislavić, N.; Grubač, Z.; Brinić, S.; Buzuk, M. Znanstveno-istraživačka djelatnost Zavoda za opću i anorgansku kemiju u razdoblju 2010–2020. Kem. Ind. 2020, 69, 531–539. [Google Scholar] [CrossRef]
- Le Guyader, H.; Grolleau, A.; Lemieux, E.; Lucas, K.; Wolejsza, T. 70/30 Copper-Nickel Seawater Piping Systems-Use of Descaling Agents and Their Effects on Corrosion Properties, u D. Féron (ur.) Corrosion Behaviour and Protection of Copper and Aluminium Alloys in Seawater; Woodhead Publishing: Cambridge, UK, 2007; pp. 95–115. [Google Scholar] [CrossRef]
- Sun, B.; Ye, T.; Feng, Q.; Yao, J.; Wei, M. Accelerated degradation test and predictive failure analysis of B10 copper-nickel alloy under marine environmental conditions. Materials 2015, 8, 6029–6042. [Google Scholar] [CrossRef]
- Dariva, C.G.; Galio, A.F. Corrosion inhibitors–principles, mechanisms and applications. Dev. Corros. Prot. 2014, 16, 365–378. [Google Scholar] [CrossRef]
- Škugor Rončević, I.; Buzuk, M.; Buljac, M.; Vladislavić, N. The Preparation, Morphological Characterization and Possible Electroanalytical Application of a Hydroxyapatite-Modified Glassy Carbon Electrode. Crystals 2021, 11, 772. [Google Scholar] [CrossRef]
- Balić, T.; Paurević, M.; Počkaj, M.; Medvidović-Kosanović, M.; Goman, D.; Széchenyi, A.; Preisz, Z.; Kunsági-Máté, S. Influence of Aliphatic Chain Length on Structural, Thermal and Electrochemical Properties of n-alkylene Benzyl Alcohols: A Study of the Odd–Even Effect. Molecules 2022, 27, 3781. [Google Scholar] [CrossRef]
- Mbarek, W.B.; Daza, J.; Escoda, L.; Fiol, N.; Pineda, E.; Khitouni, M.; Suñol, J.-J. Removal of Reactive Black 5 Azo Dye from Aqueous Solutions by a Combination of Reduction and Natural Adsorbents Processes. Metals 2023, 13, 474. [Google Scholar] [CrossRef]
- Von Fraunhofer, J.A. Coatings Including Tobacco Products as Corrosion Inhibitors. U.S. Patent. 0295728, 11 December 2008. Available online: https://patentimages.storage.googleapis.com/93/0c/de/b6fed48ec8f5ab/WO2008151028A2.pdf (accessed on 16 October 2024).
- Gao, I.; McCarthy, T.J. Contact angle hysteresis explained. Langmuir 2006, 22, 6234–6237. [Google Scholar] [CrossRef] [PubMed]
- Feng, L.; Li, S.; Li, Y.; Li, H.; Zhang, L.; Zhai, J.; Song, Y.; Liu, B.; Jiang, L.; Zhu, D. Superhydrophobic surfaces: From natural to artificial. Adv. Mater. 2002, 14, 1857–1860. [Google Scholar] [CrossRef]
- Blossey, R. Self-cleaning surfaces—Virtual realities. Nat. Mater. 2003, 2, 301–306. [Google Scholar] [CrossRef] [PubMed]
- Van Oss, C.J. Interfacial Forces in Aqueous Media, 2nd ed.; CRC Press: Boca Raton, FL, USA, 2006. [Google Scholar] [CrossRef]









| t/°C | 105 × Q1/ Ω−1 cm−2 sn | n1 | R1/ k Ω cm2 | 104 × Q2/ Ω−1 cm−2 sn | n2 | R2/ k Ω cm2 | η/% | Electrode |
|---|---|---|---|---|---|---|---|---|
| 12 | 12.01 | 0.78 | 2.90 ± 0.034 | – | – | – | – | Cu10Ni |
| 20 | 21.09 | 0.72 | 2.74 ± 0.052 | – | – | – | – | |
| 25 | 45.43 | 0.66 | 1.50 ± 0.022 | 47.23 | 1 | 1.6 ± 0.02 | – | |
| 12 | 19.72 | 0.68 | 5.19 ± 0.025 | 60.50 | 0,73 | 8.9 ± 0.02 | 79 | Cu10Ni_T * |
| 20 | 28.44 | 0.64 | 5.80 ± 0.058 | 246.2 | 1 | 7.4 ± 0.02 | 79 | |
| 25 | 29.48 | 0.58 | 6.10 ± 0.083 | 260.0 | 1 | 7.0 ± 0.03 | 76 | |
| 12 | 0.325 | 0.78 | 0.04 ± 0.005 | 0.035 | 0.67 | 37.1 ± 0.02 | 92 | Cu10Ni_F ** |
| 20 | 0.483 | 0.83 | 0.18 ± 0.012 | 0.083 | 0.5 | 24.9 ± 0.02 | 89 | |
| 25 | 2.850 | 0.63 | 0.06 ± 0.003 | 0.452 | 0.67 | 17.0 ± 0.03 | 82 |
| t/°C | ba/mV | −bc/mV | jcorr/ μA cm−2 | −Ecorr/mV | η/% | Electrode |
|---|---|---|---|---|---|---|
| 12 | 60 | 216 | 9.07 ± 0.048 | 185 | – | Cu10Ni |
| 20 | 56 | 255 | 10.02 ± 0.040 | 207 | – | |
| 25 | 67 | 356 | 10.54 ± 0.067 | 239 | – | |
| 12 | 67 | 215 | 6.12 ± 0.054 | 190 | 33 | Cu10Ni_T * |
| 20 | 66 | 285 | 5.89 ± 0.025 | 197 | 41 | |
| 25 | 70 | 279 | 3.40 ± 0.036 | 236 | 68 | |
| 12 | 57 | 182 | 0.37 ± 0.029 | 165 | 96 | Cu10Ni_F ** |
| 20 | 58 | 204 | 0.71 ± 0.078 | 201 | 93 | |
| 25 | 55 | 209 | 1.03 ± 0.081 | 184 | 90 |
| Sample | θ (Water)/° | Young–Laplace | |
|---|---|---|---|
| / mN m−1 | / mN m−1 | ||
| Cu10Ni | 63.7 ± 2.2 | 46.0 | 46.0 |
| Cu10Ni|tobacco residue extract | 86.7 ± 1.6 | 30.9 | 30.9 |
| Cu10Ni|filter extract | 96.0 ± 2.2 | 34.2 | 34.2 |
Disclaimer/Publisher’s Note: The statements, opinions and data contained in all publications are solely those of the individual author(s) and contributor(s) and not of MDPI and/or the editor(s). MDPI and/or the editor(s) disclaim responsibility for any injury to people or property resulting from any ideas, methods, instructions or products referred to in the content. |
© 2024 by the authors. Licensee MDPI, Basel, Switzerland. This article is an open access article distributed under the terms and conditions of the Creative Commons Attribution (CC BY) license (https://creativecommons.org/licenses/by/4.0/).
Share and Cite
Šućurović, V.; Vladislavić, N.; Rončević, I.Š. Influence of Cigarette Butt Extract on the Suppression of Metal Corrosion. Electrochem 2024, 5, 585-598. https://doi.org/10.3390/electrochem5040038
Šućurović V, Vladislavić N, Rončević IŠ. Influence of Cigarette Butt Extract on the Suppression of Metal Corrosion. Electrochem. 2024; 5(4):585-598. https://doi.org/10.3390/electrochem5040038
Chicago/Turabian StyleŠućurović, Verena, Nives Vladislavić, and Ivana Škugor Rončević. 2024. "Influence of Cigarette Butt Extract on the Suppression of Metal Corrosion" Electrochem 5, no. 4: 585-598. https://doi.org/10.3390/electrochem5040038
APA StyleŠućurović, V., Vladislavić, N., & Rončević, I. Š. (2024). Influence of Cigarette Butt Extract on the Suppression of Metal Corrosion. Electrochem, 5(4), 585-598. https://doi.org/10.3390/electrochem5040038

