Automatic Method of Exploring the Landscape of Freeform Dioptric Optical Problems, Working in the Infrared Region
Abstract
1. Introduction
2. Material and Methods
2.1. General Principle of the SMS Method
- Studied fields (, , and );
- F-number (F/#);
- Focal length;
- Refractive indices;
- Position of the image plane;
- Central curved radii of surfaces 1 and 2 ( and );
- Thicknesses between all surface vertices.
2.2. Explanation of the SMS Method Applied to 3 Surfaces in 3D (SMS-3S-3D)
2.2.1. Explanation of Phase 1
- Computation of the central curve of surface 3, : We propagate rays from field through the central curve of surfaces 1 and 2. The size of the central curve of surface 1 is defined by , as surface 1 is set as the pupil of our SMS system. This imposes the size of the central curve of surface 2. Then, using the Cartesian oval principle, we compute the central curve of surface 3, such that the rays are focused on after their propagation through the central curve of surfaces 3 and 4. This step is shown in Figure 3a.
- Computation of the upper curve of surface 3, : We propagate rays from field through the lower curve of surface 1 and the central curve of surface 2. The lower curve of surface 1 is the curve of surface 1 that refracts rays of field onto the central curve of surface 2. Then, using the Cartesian oval principle again, we compute the upper curve of surface 3, such that the rays are focused on . This step is shown in Figure 3b.
- Computation of the lower curve of surface 3, : We compute by symmetry the lower curve of surface 3. We can perform this thanks to the symmetry of the problem (symmetry of fields and surfaces with respect to the XZ plane). Otherwise, it is possible to compute this curve in the same manner as step 2, by substituting and with and . This step is shown in Figure 3c.
- Approximation of surfaces 1 and 3 into NURBS surfaces: Using the CLP algorithm, we approximate surfaces 1 and 3 into NURBS surfaces.
2.2.2. Explanation of Phase 2
2.3. Description of the Automated Method of Exploring the Landscape of an Optical Problem
2.3.1. SMS System Generation
2.3.2. Automatic Optimization
2.3.3. Automatic Analysis and Classification of Systems
2.3.4. Best Systems Optimization
2.4. The Automated Method Applied to Monochromatic Fast Two-Lens Infrared Systems
2.4.1. Context and Specifications of the Study
2.4.2. Study of a Monochromatic Two-Lens Infrared System with an Aperture of F/2
2.4.3. Study of a Monochromatic Two-Lens Infrared System with an Aperture of F/1.2
2.4.4. Study of a Monochromatic Two-Lens Infrared System with an Aperture of F/0.9
2.5. Current Limitations of the Automated Method and Major Source of Error
3. Conclusions
Author Contributions
Funding
Institutional Review Board Statement
Informed Consent Statement
Data Availability Statement
Conflicts of Interest
References
- Plummer, W.T. Unusual optics of the Polaroid SX-70 Land camera. Appl. Opt. 1982, 21, 196. [Google Scholar] [CrossRef] [PubMed]
- Rolland, J.P.; Davies, M.A.; Suleski, T.J.; Evans, C.; Bauer, A.; Lambropoulos, J.C.; Falaggis, K. Freeform optics for imaging. Optica 2021, 8, 161. [Google Scholar] [CrossRef]
- Schiesser, E.M.; Bauer, A.; Rolland, J.P. Effect of freeform surfaces on the volume and performance of unobscured three mirror imagers in comparison with off-axis rotationally symmetric polynomials. Opt. Express 2019, 27, 21750. [Google Scholar] [CrossRef] [PubMed]
- Buquet, J.; Parent, J.; Lalonde, J.F.; Thibault, S. Challenges using data-driven methods and deep learning in optical engineering. In Proceedings of the Current Developments in Lens Design and Optical Engineering XXIII; Padilla-Vivanco, A., Johnson, R.B., Mahajan, V.N., Thibault, S., Eds.; SPIE: San Diego, CA, USA, 2022; p. 17. [Google Scholar] [CrossRef]
- Thibault, S.; Buquet, J.; Coté, G.; Lalonde, J.F. Recent progress of AI in lens design (Conference Presentation). In Proceedings of the Optical Design and Testing XII; Wu, R., Wang, Y., Kidger, T.E., Eds.; SPIE: Beijing, China, 2022; p. 23. [Google Scholar] [CrossRef]
- Nie, Y.; Zhang, J.; Su, R.; Ottevaere, H. Freeform optical system design with differentiable three-dimensional ray tracing and unsupervised learning. Opt. Express 2023, 31, 7450. [Google Scholar] [CrossRef] [PubMed]
- Yang, T.; Cheng, D.; Wang, Y. Direct generation of starting points for freeform off-axis three-mirror imaging system design using neural network based deep-learning. Opt. Express 2019, 27, 17228. [Google Scholar] [CrossRef] [PubMed]
- Wang, L. Advances in the Simultaneous Multiple Surface Optical Design Method for Imaging and Non-Imaging Applications; Universidad Politécnica de Madrid: Madrid, Spain, 2012. [Google Scholar]
- Nikolić, M. SMS for Imaging Systems Using Free-Forms. Ph.D. Thesis, Universidad Politécnica de Madrid, Madrid, Spain, 2017. [Google Scholar] [CrossRef]
- Miñano, J.C.; Benítez, P.; Lin, W.; Infante, J.; Muñoz, F.; Santamaría, A. An application of the SMS method for imaging designs. Opt. Express 2009, 17, 24036. [Google Scholar] [CrossRef] [PubMed]
- Miñano, J.C.; Benítez, P.; Narasimhan, B. Freeform aplanatic systems as a limiting case of SMS. Opt. Express 2016, 24, 13173. [Google Scholar] [CrossRef] [PubMed]
- Miñano, J.C.; González, J.C. New method of design of nonimaging concentrators. Appl. Opt. 1992, 31, 3051. [Google Scholar] [CrossRef] [PubMed]
- Muñoz, F.; Infante Herrero, J.M.; Benítez, P.; Miñano, J.C.; Lin, W.; Vilaplana, J.; Biot, G.; de la Fuente, M. Novel Fast Catadioptric Objective with Wide Field of View. In Proceedings of the SPIE NanoScience + Engineering; SPIE: San Diego, CA, USA, 2010; p. 77800T. [Google Scholar] [CrossRef]
- Lin, W.; Benítez, P.; Miñano, J.C.; Infante, J.M.; Biot, G.; de la Fuente, M. SMS-based optimization strategy for ultra-compact SWIR telephoto lens design. Opt. Express 2012, 20, 9726. [Google Scholar] [CrossRef] [PubMed][Green Version]
- Mohedano, R.; Benítez, P.; Nikolic, M.; Chaves, J.; Miñano, J.C.; Grabovickic, D.; Buljan, M.; Zamora, P. Notes on the design of free-form optics. In Proceedings of the AI and Optical Data Sciences; Kitayama, K.i., Jalali, B., Eds.; SPIE: San Francisco, CA, USA, 2020; p. 3. [Google Scholar] [CrossRef]
- Miñano, J.C.; Benítez, P.; Lin, W.; Muñoz, F.; Infante, J.; Santamaría, A. Overview of the SMS Design Method Applied to Imaging Optics. In Proceedings of the SPIE Optical Engineering + Applications; SPIE: San Diego, CA, USA, 2009; p. 74290C. [Google Scholar] [CrossRef]
- Lin, W.; Benítez, P.; Miñano, J.C.; Infante, J.; Biot, G. Progress in the SMS Design Method for Imaging Optics. In Proceedings of the SPIE Optical Engineering + Applications; SPIE: San Diego, CA, USA, 2011; p. 81280F. [Google Scholar] [CrossRef]
- Benitez, P. Freeform optics design. In Proceedings of the Optical Design and Engineering VIII; Babington, J., Fuchs, U., Mazuray, L., Eds.; SPIE: Noáin, Spain, 2021; p. 501. [Google Scholar] [CrossRef]
- Benitez, P. Simultaneous multiple surface optical design method in three dimensions. Opt. Eng. 2004, 43, 1489. [Google Scholar] [CrossRef]
- Yang, T.; Zhu, J.; Wu, X.; Jin, G. Direct design of freeform surfaces and freeform imaging systems with a point-by-point three- dimensional construction-iteration method. Opt. Express 2015, 23, 10233–10246. [Google Scholar] [CrossRef] [PubMed]
- Yang, T.; Zhu, J.; Hou, W.; Jin, G. Design method of freeform off-axis reflective imaging systems with a direct construction process. Opt. Express 2014, 22, 9193–9205. [Google Scholar] [CrossRef] [PubMed]
- Volatier, J.B.; Menduiña-Fernández, Á.; Erhard, M. Generalization of differential ray tracing by automatic differentiation of computational graphs. J. Opt. Soc. Am. A 2017, 34, 1146. [Google Scholar] [CrossRef] [PubMed]
- Volatier, J.B.; Druart, G. Differential method for freeform optics applied to two-mirror off-axis telescope design. Opt. Lett. 2019, 44, 1174. [Google Scholar] [CrossRef] [PubMed]
- Duerr, F.; Thienpont, H. Optical design of first time right imaging systems. In Proceedings of the Optical Design and Testing XII; Wu, R., Wang, Y., Kidger, T.E., Eds.; SPIE: Beijing, China, 2022; p. 27. [Google Scholar] [CrossRef]
- Nie, Y.; Shafer, D.R.; Ottevaere, H.; Thienpont, H.; Duerr, F. Automated freeform imaging system design with generalized ray tracing and simultaneous multi-surface analytic calculation. Opt. Express 2021, 29, 17227. [Google Scholar] [CrossRef] [PubMed]
- Duerr, F.; Thienpont, H. Freeform imaging systems: Fermat’s principle unlocks “first time right” design. Light Sci. Appl. 2021, 10, 95. [Google Scholar] [CrossRef] [PubMed]
- Druart, G.; Reux, V.; Calvez, L.; Zhang, X.H.; de la Barrière, F.; Volatier, J.B.; Tartas, E.; Proux, R. Evaluation of the potential of high index chalcogenide lenses for automotive applications. In Proceedings of the Advanced Optics for Imaging Applications: UV through LWIR VII; Marasco, P.L., Sanghera, J.S., Vizgaitis, J.N., Eds.; SPIE: Orlando, FL, USA, 2022; p. 16. [Google Scholar] [CrossRef]
- Bigwood, C.; Wood, A. “It’s Only Two Lenses in a Tube: How Complicated Can it Be”. In Proceedings of the SPIE Defense, Security, and Sensing; SPIE: Orlando, Florida, USA, 2009; p. 72980Z. [Google Scholar]
- Schuster, N.; Franks, J. Two-Lens Designs for Modern Uncooled and Cooled IR Imaging Devices. In Proceedings of the SPIE Defense, Security, and Sensing; SPIE: Orlando, Florida, USA, 2009; p. 889604. [Google Scholar] [CrossRef]
- Duerr, F.; Meuret, Y.; Thienpont, H. Potential benefits of free-form optics in on-axis imaging applications with high aspect ratio. Opt. Express 2013, 21, 31072. [Google Scholar] [CrossRef] [PubMed]
- Duerr, F.; Benítez, P.; Miñano, J.C.; Meuret, Y.; Thienpont, H. Analytic Free-Form Lens Design for Imaging Applications with High Aspect Ratio. In Proceedings of SPIE Optical Engineering + Applications; SPIE: San Diego, CA, USA, 2012; p. 848609. [Google Scholar] [CrossRef]
- Sasián, J. Field Curvature Aberration. In Proceedings of the International Optical Design Conference, Kohala Coast, HI, USA, 23–26 June 2014; p. 929322. [Google Scholar] [CrossRef]



















| Surface | Associated Field |
|---|---|
| Parameter | Value | Parameter | Value |
|---|---|---|---|
| Focal | 5.6 mm | HFOV | |
| F/# | 1.2 | VGA Detector | |
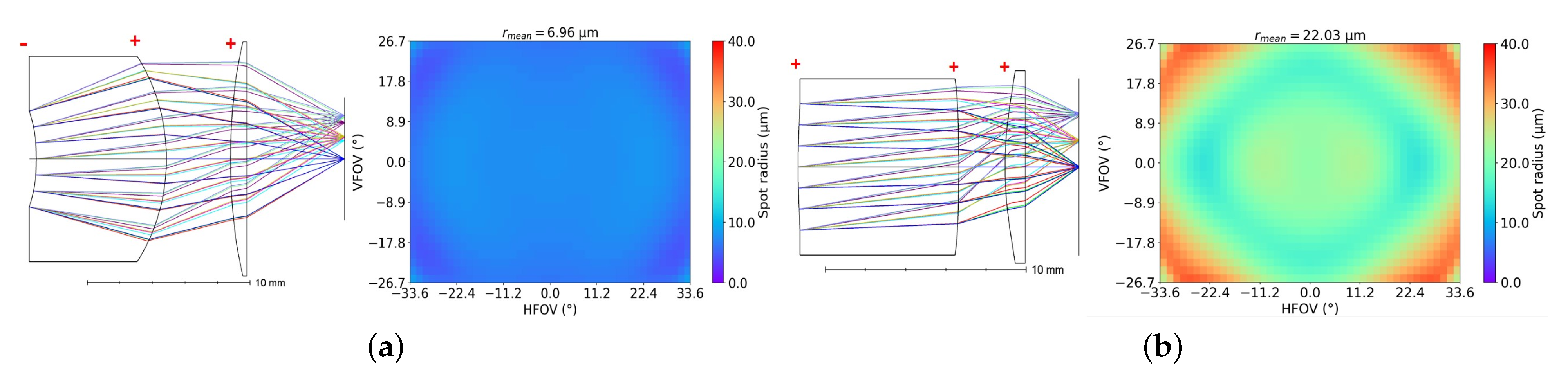
| Pixel pitch | 10 µm | Mean RMS spot radius | 7.62 µm |
| TGG refractive index | 3.39 | Silicon refractive index | 3.47 |
Disclaimer/Publisher’s Note: The statements, opinions and data contained in all publications are solely those of the individual author(s) and contributor(s) and not of MDPI and/or the editor(s). MDPI and/or the editor(s) disclaim responsibility for any injury to people or property resulting from any ideas, methods, instructions or products referred to in the content. |
© 2023 by the authors. Licensee MDPI, Basel, Switzerland. This article is an open access article distributed under the terms and conditions of the Creative Commons Attribution (CC BY) license (https://creativecommons.org/licenses/by/4.0/).
Share and Cite
Mayeur, T.; Volatier, J.-B.; Druart, G.; Cau, F.; Tartas, E.; Durand, A. Automatic Method of Exploring the Landscape of Freeform Dioptric Optical Problems, Working in the Infrared Region. Optics 2023, 4, 482-499. https://doi.org/10.3390/opt4030035
Mayeur T, Volatier J-B, Druart G, Cau F, Tartas E, Durand A. Automatic Method of Exploring the Landscape of Freeform Dioptric Optical Problems, Working in the Infrared Region. Optics. 2023; 4(3):482-499. https://doi.org/10.3390/opt4030035
Chicago/Turabian StyleMayeur, Thibaut, Jean-Baptiste Volatier, Guillaume Druart, Françoise Cau, Elodie Tartas, and Alain Durand. 2023. "Automatic Method of Exploring the Landscape of Freeform Dioptric Optical Problems, Working in the Infrared Region" Optics 4, no. 3: 482-499. https://doi.org/10.3390/opt4030035
APA StyleMayeur, T., Volatier, J.-B., Druart, G., Cau, F., Tartas, E., & Durand, A. (2023). Automatic Method of Exploring the Landscape of Freeform Dioptric Optical Problems, Working in the Infrared Region. Optics, 4(3), 482-499. https://doi.org/10.3390/opt4030035

