Estimated Ocean Climate Velocity Using Satellite Sea Surface Temperature Products Since the Early 2000s in the East Sea
Abstract
1. Introduction
2. Materials and Methods
2.1. Study Domain and SST Data
2.2. Validation of NIFS SST Using In Situ Observation and OSTIA
2.3. Estimation of Ocean Climate Velocity
2.4. Estimation of SST Zone Area
2.5. Climate and Oceanographic Drivers of SST Variability
3. Results
3.1. Long-Term Latitudinal Shifts of SST Isotherms
3.2. Period-Based Features of SST Distribution
3.3. Spatiotemporal Variability in SST Isotherm Locations
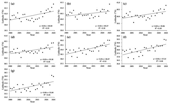
3.3.1. Latitudinal Shift Trends of SST Isotherms
3.3.2. Longitudinal Displacement Distances Across Phases
3.3.3. Comparison of SST Isotherm Distributions Between Period A and Period E
3.4. Variations in SST Zone Areas Associated with Isotherm Shift
3.5. Ocean Climate Velocity on SST Shifts in the East Sea
4. Discussion
4.1. Analysis of SST Front Distribution Variability in the East Sea
4.2. Variability in Ocean Climate Velocity in the East Sea
5. Conclusions
Author Contributions
Funding
Institutional Review Board Statement
Informed Consent Statement
Data Availability Statement
Acknowledgments
Conflicts of Interest
Abbreviations
| SST | Sea Surface Temperature |
| OHC | Ocean Heat Content |
| NOAA | National Oceanic and Atmospheric Administration |
| MCSST | Multi-Channel Sea Surface Temperature |
| EOF | Empirical Orthogonal Function |
| PDO | Pacific Decadal Oscillation |
| TWC | Tsushima Warm Current |
References
- IPCC. Climate Change 2021, The Physical Science Basis. Contribution of Working Group I to the Sixth Assessment Report of the Intergovernmental Panel on Climate Change; Cambridge University Press: Cambridge, UK; New York, NY, USA, 2021; p. 2391. [Google Scholar]
- WMO (World Meteorological Organization). State of the Global Climate 2022; WMO No. 1316; WMO: Geneva, Switzerland, 2023; p. 55. Available online: https://library.wmo.int/records/item/66214-state-of-the-global-climate-2022 (accessed on 21 April 2023).
- Cheng, L.; Abraham, J.; Trenberth, K.E.; Boyer, T.; Mann, M.E.; Zhu, J.; Wang, F.; Yu, F.; Locarnini, R.; Fasullo, J.; et al. New Record Ocean Temperatures and Related Climate Indicators in 2023. Adv. Atmos. Sci. 2024, 41, 1375–1381. [Google Scholar] [CrossRef]
- Li, Z.; England, M.H.; Groeskamp, S. Recent Acceleration in Global Ocean Heat Accumulation by Mode and Intermediate Water. Nat. Commun. 2023, 14, 6888. [Google Scholar] [CrossRef] [PubMed]
- Storto, A.; Balmaseda, M.A.; De Boisseson, E.; Giese, B.S.; Masina, S.; Yang, C. The 20th Century Global Warming Signature on the Ocean at Global and Basin Scales as Depicted from Historical Reanalyses. Int. J. Climatol. 2021, 41, 5977–5997. [Google Scholar] [CrossRef]
- Cheng, L.; Foster, G.; Hausfather, Z.; Trenberth, K.E.; Abraham, J. Improved Quantification of the Rate of Ocean Warming. J. Clim. 2022, 35, 4827–4840. [Google Scholar] [CrossRef]
- Cheng, L.; von Schuckmann, K.; Abraham, J.P.; Trenberth, K.E.; Mann, M.E.; Zanna, L.; England, M.H.; Zika, J.D.; Fasullo, J.T.; Yu, Y.; et al. Past and Future Ocean Warming. Nat. Rev. Earth Environ. 2022, 3, 288–303. [Google Scholar] [CrossRef]
- Kwiatkowski, L.; Torres, O.; Bopp, L.; Aumont, O.; Chamberlain, M.; Christian, J.R.; Dunne, J.P.; Gehlen, M.; Ilyina, T.; John, J.G.; et al. Twenty-First Century Ocean Warming, Acidification, Deoxygenation, and Upper-Ocean Nutrient and Primary Production Decline from CMIP6 Model Projections. Biogeosciences 2020, 17, 3439–3470. [Google Scholar] [CrossRef]
- Kleisner, K.M.; Fogarty, M.J.; McGee, S.; Barnett, A.; Fratantoni, P.; Greene, J.; Hare, J.A.; Lucey, S.M.; McGuire, C.; Odell, J.; et al. The Effects of Sub-Regional Climate Velocity on the Distribution and Spatial Extent of Marine Species Assemblages. PLoS ONE 2016, 11, e0149220. [Google Scholar] [CrossRef]
- Burrows, M.T.; Schoeman, D.S.; Buckley, L.B.; Moore, P.; Poloczanska, E.S.; Brander, K.M.; Brown, C.; Bruno, J.F.; Duarte, C.M.; Halpern, B.S.; et al. The Pace of Shifting Climate in Marine and Terrestrial Ecosystems. Science 2011, 334, 652–655. [Google Scholar] [CrossRef]
- Hoegh-Guldberg, O.; Cai, R.; Poloczanska, E.S.; Brewer, P.G.; Sundby, S.; Hilmi, K.; Fabry, V.J.; Jung, S. The Ocean. In Climate Change 2014: Impacts, Adaptation, and Vulnerability. Part B: Regional Aspects. Contribution of Working Group II to the Fifth Assessment Report of the Intergovernmental Panel on Climate Change; Barros, V.R., Field, C.B., Dokken, D.J., Mastrandrea, M.D., Mach, K.J., Bilir, T.E., Chatterjee, M., Ebi, K.L., Estrada, Y.O., Genova, R.C., et al., Eds.; Cambridge University Press: Cambridge, UK; New York, NY, USA, 2014; pp. 1655–1731. [Google Scholar]
- Taboada, F.G.; Anadón, R. Patterns of Change in Sea Surface Temperature in the North Atlantic during the Last Three Decades: Beyond Mean Trends. Clim. Change 2012, 115, 419–431. [Google Scholar] [CrossRef]
- Tavartkiladze, K.; Bolashvili, N. Impact of Global Warming on Zero Degree Isotherm of Near Surface Temperature. Georgian Geogr. J. 2022, 2, 34–40. [Google Scholar] [CrossRef]
- Palmer, M.D.; Haines, K. Estimating Oceanic Heat Content Change Using Isotherms. J. Clim. 2009, 22, 4953–4969. [Google Scholar] [CrossRef]
- IPCC. The Ocean and Cryosphere in a Changing Climate: A Special Report of the IPCC; Cambridge University Press: Cambridge, UK, 2019; p. 738. [Google Scholar]
- Pinsky, M.L.; Worm, B.; Fogarty, M.J.; Sarmiento, J.L.; Levin, S.A. Marine Taxa Track Local Climate Velocities. Science 2013, 341, 1239–1242. [Google Scholar] [CrossRef]
- Sunday, J.M.; Pecl, G.T.; Frusher, S.; Hobday, A.J.; Hill, N.; Holbrook, N.J.; Edgar, G.J.; Stuart-Smith, R.; Barrett, N.; Wernberg, T.; et al. Species Traits and Climate Velocity Explain Geographic Range Shifts in an Ocean-Warming Hotspot. Ecol. Lett. 2015, 18, 944–953. [Google Scholar] [CrossRef]
- Venegas, R.M.; Acevedo, J.; Treml, E.A. Three Decades of Ocean Warming Impacts on Marine Ecosystems: A Review and Perspective. Deep Sea Res. Part II Top. Stud. Oceanogr. 2023, 212, 105318. [Google Scholar] [CrossRef]
- Poloczanska, E.S.; Burrows, M.T.; Brown, C.J.; Molinos, J.G.; Halpern, B.S.; Hoegh-Guldberg, O.; Kappel, C.V.; Moore, P.J.; Richardson, A.J.; Schoeman, D.S.; et al. Responses of Marine Organisms to Climate Change across Oceans. Front. Mar. Sci. 2016, 3, 62. [Google Scholar] [CrossRef]
- Genner, M.J.; Sims, D.W.; Wearmouth, V.J.; Southall, E.J.; Southward, A.J.; Henderson, P.A.; Hawkins, S.J. Regional Climatic Warming Drives Long-Term Community Changes of British Marine Fish. Proc. Biol. Sci. 2004, 271, 655–661. [Google Scholar] [CrossRef] [PubMed]
- Campana, S.E.; Stefánsdóttir, R.B.; Jakobsdóttir, K.; Sólmundsson, J. Shifting Fish Distributions in Warming Sub-Arctic Oceans. Sci. Rep. 2020, 10, 16448. [Google Scholar] [CrossRef] [PubMed]
- Cheung, W.W.L.; Lam, V.W.Y.; Sarmiento, J.L.; Kearney, K.; Watson, R.; Pauly, D. Projecting Global Marine Biodiversity Impacts under Climate Change Scenarios. Fish Fish. 2009, 10, 235–251. [Google Scholar] [CrossRef]
- Dulvy, N.K.; Rogers, S.I.; Jennings, S.; Stelzenmüller, V.; Dye, S.R.; Skjoldal, H.R. Climate Change and Deepening of the North Sea Fish Assemblage: A Biotic Indicator of Warming Seas. J. Appl. Ecol. 2008, 45, 1029–1039. [Google Scholar] [CrossRef]
- Perry, A.L.; Low, P.J.; Ellis, J.R.; Reynolds, J.D. Climate Change and Distribution Shifts in Marine Fishes. Science 2005, 308, 1912–1915. [Google Scholar] [CrossRef]
- Chivers, W.J.; Walne, A.W.; Hays, G.C. Mismatch between Marine Plankton Range Movements and the Velocity of Climate Change. Nat. Commun. 2017, 8, 14434. [Google Scholar] [CrossRef]
- Lenoir, J.; Bertrand, R.; Comte, L.; Bourgeaud, L.; Hattab, T.; Murienne, J.; Grenouillet, G. Species Better Track Climate Warming in the Oceans than on Land. Nat. Ecol. Evol. 2020, 4, 1044–1059. [Google Scholar] [CrossRef] [PubMed]
- Han, I.S.; Lee, J.S.; Jung, H.K. Long-Term Pattern Changes of Sea Surface Temperature during Summer and Winter Due to Climate Change in the Korea Waters. Fish. Aquat. Sci. 2023, 26, 639–648. [Google Scholar] [CrossRef]
- Han, I.S.; Lee, J.S. Change in the Annual Amplitude of Sea Surface Temperature due to Climate Change in a Recent Decade around the Korean Peninsula. J. Korean Soc. Mar. Environ. Saf. 2020, 26, 233–241. [Google Scholar] [CrossRef]
- NIFS (National Institute of Fisheries Science). Annual Report for Climate Change Trends in Fisheries, 2022; NIFS: Busan, Republic of Korea, 2023; p. 87.
- Chang, K.I.; Zhang, C.I.; Park, C.; Kang, D.J.; Ju, S.J.; Lee, S.H.; Wimbush, M. Oceanography of the East Sea (Japan Sea); Springer International Publishing: Cham, Switzerland, 2016. [Google Scholar] [CrossRef]
- Park, K.A.; Ullman, D.S.; Kim, K.; Chung, J.Y.; Kim, K.R. Spatial and Temporal Variability of Satellite-Observed Subpolar Front in the East/Japan Sea. Deep Sea Res. Part I Oceanogr. Res. Pap. 2007, 54, 453–470. [Google Scholar] [CrossRef]
- Park, K.W.; Chung, M.H.; Yoo, M.H.; O, K.S.; Kim, K.Y.; Park, T.G.; Yoon, S.H. Impact of Phytoplankton Community Structure Changes in the South Sea of Korea on Marine Ecosystems Due to Climate Change. Water 2023, 15, 4043. [Google Scholar] [CrossRef]
- Bhavya, P.S.; Kang, J.J.; Jang, H.K.; Joo, H.T.; Lee, J.H.; Lee, J.H.; Park, J.W.; Kim, K.W.; Kim, H.C.; Lee, S.H. The Contribution of Small Phytoplankton Communities to the Total Dissolved Inorganic Nitrogen Assimilation Rates in the East/Japan Sea: An Experimental Evaluation. J. Mar. Sci. Eng. 2020, 8, 854. [Google Scholar] [CrossRef]
- Kang, J.J.; Jang, H.K.; Lim, J.H.; Lee, D.; Lee, J.H.; Bae, H.; Lee, C.H.; Kang, C.K.; Lee, S.H. Characteristics of Different Size Phytoplankton for Primary Production and Biochemical Compositions in the Western East/Japan Sea. Front. Microbiol. 2020, 11, 560102. [Google Scholar] [CrossRef]
- Kim, J.C.; Kim, J.G. Changes in Climate Factors and Catches of Fisheries in the Republic of Korea over the Three Decades. Water 2023, 15, 1952. [Google Scholar] [CrossRef]
- Jung, S.; Pang, I.C.; Lee, J.H.; Choi, I.; Cha, H.K. Latitudinal Shifts in the Distribution of Exploited Fishes in Korean Waters during the Last 30 Years: A Consequence of Climate Change. Rev. Fish Biol. Fish. 2014, 24, 443–462. [Google Scholar] [CrossRef]
- McClain, E.P.; Pichel, W.G.; Walton, C.C. Comparative Performance of AVHRR-Based Multichannel Sea Surface Temperatures. J. Geophys. Res. 1985, 90, 11609–11618. [Google Scholar] [CrossRef]
- Bernstein, R.L. Sea Surface Temperature Estimation Using the NOAA-6 Satellite Advanced Very High Resolution Radiometer. J. Geophys. Res. 1982, 87, 9455–9465. [Google Scholar] [CrossRef]
- Kim, S.W.; Kang, Y.Q.; Ahn, J.S. Study on the Retreatment Techniques for NOAA Sea Surface Temperature Imagery. J. Korean Soc. Mar. Environ. Saf. 2011, 17, 331–337. [Google Scholar] [CrossRef]
- Shin, H.R.; Lee, J.H.; Kim, C.H.; Yoon, J.H.; Hirose, N.; Takikawa, T.; Cho, K.W. Long-Term Variation in Volume Transport of the Tsushima Warm Current Estimated from ADCP Current Measurement and Sea Level Differences in the Korea/Tsushima Strait. J. Mar. Syst. 2022, 232, 103682. [Google Scholar] [CrossRef]
- Park, W.S.; Oh, I.S. Interannual and Interdecadal Variations of Sea Surface Temperature in the East Asian Marginal Seas. Prog. Oceanogr. 2000, 47, 191–204. [Google Scholar] [CrossRef]
- Minobe, S.; Nakamura, M. Interannual to Decadal Variability in the Southern Okhotsk Sea Based on a New Gridded Upper Water Temperature Data Set. J. Geophys. Res. 2004, 109, C09S05. [Google Scholar] [CrossRef]
- Kim, K.; Kim, K.R.; Min, D.H.; Volkov, Y.; Yoon, J.H.; Takematsu, M. Warming and Structural Changes in the East (Japan) Sea: A Clue to Future Changes in Global Oceans? Geophys. Res. Lett. 2001, 28, 3293–3296. [Google Scholar] [CrossRef]
- Kim, K.; Kim, K.R.; Kim, Y.G.; Cho, Y.K.; Kang, D.J.; Takematsu, M.; Volkov, Y. Water Masses and Decadal Variability in the East Sea (Sea of Japan). Prog. Oceanogr. 2004, 61, 157–174. [Google Scholar] [CrossRef]
- Park, Y.G. The Effect of Tsushima Warm Current on the Interdecadal Variability of the East/Japan Sea Thermohaline Circulation. Geophys. Res. Lett. 2007, 34, L06609. [Google Scholar] [CrossRef]
- Kim, S.J.; Woo, S.H.; Kim, S.M.; Hur, S.D. Trends in Sea Surface Temperature (SST) Change Near the Korean Peninsula for the Past 130 Years. Ocean Polar Res. 2011, 33, 281–290. [Google Scholar] [CrossRef]
- Pak, G. Correlation between the Pacific Decadal Oscillation and East/Japan Sea SST in the Autumn. J. Korean Soc. Oceanogr. 2019, 24, 509–518. [Google Scholar] [CrossRef]
- Toda, M.; Watanabe, M. Mechanisms of Enhanced Ocean Surface Warming in the Kuroshio Region for 1951–2010. Clim. Dyn. 2020, 54, 4129–4145. [Google Scholar] [CrossRef]
- Qiao, Y.X.; Nakamura, H.; Tomita, T. Warming of the Kuroshio Current over the Last Four Decades Has Intensified the Meiyu–Baiu Rainband. Geophys. Res. Lett. 2024, 51, e2023GL107021. [Google Scholar] [CrossRef]
- Kang, D.J.; Park, S.; Kim, Y.G.; Kim, K.; Kim, K.R. A Moving-Boundary Box Model (MBBM) for Oceans in Change: An Application to the East/Japan Sea. Geophys. Res. Lett. 2003, 30, 1274. [Google Scholar] [CrossRef]
- Choi, J.S.; Lee, K.E.; Lee, H.J. Spatial and Temporal Changes in Sea Surface Temperature Circulation and Subpolar Front of the East Sea (Japan Sea) during the Last 130,000 Years. Palaeogeogr. Palaeoclimatol. Palaeoecol. 2012, 313–314, 225–233. [Google Scholar] [CrossRef]
- Choi, B.S.; Byun, D.S.; Lee, K.H. Satellite-Altimeter-Derived East Sea Surface Currents: Estimation, Description and Variability Pattern. Sea J. Korean Soc. Oceanogr. 2012, 17, 225–242. [Google Scholar] [CrossRef][Green Version]
- Sun, C.; Kucharski, F.; Li, J.; Kang, I.S.; Ding, R. Western Tropical Pacific Multidecadal Variability Forced by the Atlantic Multidecadal Oscillation. Nat. Commun. 2017, 8, 15998. [Google Scholar] [CrossRef]
- Chang, P.H.; Cho, C.H.; Ryoo, S.B. Recent changes of mixed layer depth in the East/Japan Sea: 1994-2007. Asia-Pac. J. Atmos. Sci. 2011, 47, 497–510. [Google Scholar] [CrossRef]
- Kim, J.Y.; Kang, D.J.; Lee, T.; Kim, K.R. Long-Term Trend of CO2 and Ocean Acidification in the Surface Water of the Ulleung Basin, the East/Japan Sea Inferred from the Underway Observational Data. Biogeosciences 2014, 11, 2443–2454. [Google Scholar] [CrossRef]
- Lee, E.Y.; Park, K.A. Change in the Recent Warming Trend of Sea Surface Temperature in the East Sea (Sea of Japan) over Decades (1982–2018). Remote Sens. 2019, 11, 2613. [Google Scholar] [CrossRef]
- Belkin, I.M. Rapid Warming of Large Marine Ecosystems. Prog. Oceanogr. 2009, 81, 207–213. [Google Scholar] [CrossRef]
- Tanaka, K. Formation of Bottom Water and Its Variability in the Northwestern Part of the Sea of Japan. J. Geophys. Res. Oceans 2014, 119, 2081–2094. [Google Scholar] [CrossRef]
- Yoon, S.T.; Chang, K.I.; Nam, S.; Rho, T.; Kang, D.J.; Lee, T.; Park, K.A.; Lobanov, V.; Kaplunenko, D.; Tishchenko, P.; et al. Re-Initiation of Bottom Water Formation in the East Sea (Japan Sea) in a Warming World. Sci. Rep. 2018, 8, 1576. [Google Scholar] [CrossRef]
- Chiba, S.; Aita, M.N.; Tadokoro, K.; Saino, T.; Sugisaki, H.; Nakata, K. From Climate Regime Shifts to Lower Trophic Level Phenology: Synthesis of Recent Progress in Retrospective Studies of the Western North Pacific. Prog. Oceanogr. 2008, 77, 112–126. [Google Scholar] [CrossRef]
- Joo, H.T.; Park, J.W.; Son, S.; Noh, J.H.; Jeong, J.Y.; Kwak, J.H.; Saux-Picart, S.; Choi, J.H.; Kang, C.-K.; Lee, S.H. Long-Term Annual Primary Production in the Ulleung Basin as a Biological Hot Spot in the East/Japan Sea. J. Geophys. Res. Oceans 2014, 119, 3002–3011. [Google Scholar] [CrossRef]
- Lee, S.H.; Son, S.; Dahms, H.U.; Park, J.W.; Lim, J.H.; Noh, J.H.; Kwon, J.I.; Joo, H.T.; Jeong, J.Y.; Kang, C.K. Decadal Changes of Phytoplankton Chlorophyll-a in the East Sea/Sea of Japan. Oceanology 2014, 54, 771–779. [Google Scholar] [CrossRef]
- Jang, H.K.; Lee, D.; Lee, S.H. Long-Term Trend of Picophytoplankton Contribution to the Phytoplankton Community in the East Sea. J. Korean Soc. Mar. Environ. Saf. 2023, 29, 525–535. [Google Scholar] [CrossRef]
- Joo, H.T.; Son, S.H.; Park, J.W.; Kang, J.J.; Jeong, J.Y.; Lee, C.I.; Kang, C.K.; Lee, S.H. Long-Term Pattern of Primary Productivity in the East/Japan Sea Based on Ocean Color Data Derived from MODIS-Aqua. Remote Sens. 2016, 8, 25. [Google Scholar] [CrossRef]
- Zhang, C.I.; Lee, J.B.; Seo, Y.I.; Yoon, S.C.; Kim, S. Variations in the Abundance of Fisheries Resources and Ecosystem Structure in the Japan/East Sea. Prog. Oceanogr. 2004, 61, 245–264. [Google Scholar] [CrossRef]
- Chiba, S.; Batten, S.; Sasaoka, K.; Sasai, Y.; Sugisaki, H. Influence of the Pacific Decadal Oscillation on Phytoplankton Phenology and Community Structure in the Western North Pacific. Geophys. Res. Lett. 2012, 39, L15603. [Google Scholar] [CrossRef]
- Jo, M.J.; Kim, J.J.; Yang, J.H.; Kim, C.S.; Kang, S.K. Changes in the Ecological Characteristics of Todarodes pacificus Associated with Long-Term Catch Variations in the Jigging Fishery. Korean J. Fish. Aquat. Sci. 2019, 52, 685–695. [Google Scholar] [CrossRef]
- Seol, K.S.; Lee, C.I.; Jung, H.K. Long-Term Changes in Sea Surface Temperature Around Habitat Ground of Walleye Pollock (Gadus chalcogrammus) in the East Sea. J. Korean Soc. Mar. Environ. Saf. 2020, 26, 195–205. [Google Scholar] [CrossRef]










| TWC | West Channel | East Channel | Air Temperature | PDO | Wind Speed | ||
|---|---|---|---|---|---|---|---|
| Mean isotherm latitude | r | 0.62 | 0.64 | 0.15 | 0.90 | −0.48 | 0.19 |
| p-value | <0.01 | <0.01 | 0.46 | <0.01 | <0.05 | 0.36 |
| SST Zone | 12 °C | 13 °C | 14 °C | 15 °C | 16 °C | 17 °C | 18 °C | |
|---|---|---|---|---|---|---|---|---|
| Area (103 km2) | Period A | 43.01 | 43.41 | 46.32 | 80.16 | 89.09 | 96.74 | 39.04 |
| Period B | 47.79 | 41.73 | 48.64 | 70.73 | 100.43 | 88.02 | 32.13 | |
| Period C | 44.96 | 39.22 | 47.64 | 51.02 | 92.31 | 105.71 | 42.82 | |
| Period D | 49.97 | 44.99 | 40.55 | 54.73 | 82.89 | 112.92 | 53.25 | |
| Period E | 58.33 | 53.56 | 41.25 | 42.12 | 75.39 | 122.49 | 91.95 |
| Isotherm (°C) | 12 | 13 | 14 | 15 | 16 | 17 | 18 | Mean | |
|---|---|---|---|---|---|---|---|---|---|
| Shift velocity (km/decade) | Period E–Period A | 62.57 | 31.01 | 30.84 | 40.88 | 86.67 | 106.17 | 110.81 | 66.99 |
| Phase 1 | −25.57 | −32.97 | −32.48 | −40.11 | −17.77 | −48.26 | −31.27 | −32.63 | |
| Phase 2 | −35.64 | −29.94 | 0.62 | 5.00 | 52.33 | 81.47 | 51.35 | 17.89 | |
| Phase 3 | 72.91 | 49.03 | 22.37 | 37.78 | 37.41 | 68.30 | 62.99 | 50.11 | |
| Phase 4 | 144.73 | 91.40 | 86.60 | 99.54 | 144.70 | 163.90 | 193.97 | 132.12 |
Disclaimer/Publisher’s Note: The statements, opinions and data contained in all publications are solely those of the individual author(s) and contributor(s) and not of MDPI and/or the editor(s). MDPI and/or the editor(s) disclaim responsibility for any injury to people or property resulting from any ideas, methods, instructions or products referred to in the content. |
© 2025 by the authors. Licensee MDPI, Basel, Switzerland. This article is an open access article distributed under the terms and conditions of the Creative Commons Attribution (CC BY) license (https://creativecommons.org/licenses/by/4.0/).
Share and Cite
Ahn, J.; Kim, C.; Han, I.; Joo, H. Estimated Ocean Climate Velocity Using Satellite Sea Surface Temperature Products Since the Early 2000s in the East Sea. Oceans 2025, 6, 56. https://doi.org/10.3390/oceans6030056
Ahn J, Kim C, Han I, Joo H. Estimated Ocean Climate Velocity Using Satellite Sea Surface Temperature Products Since the Early 2000s in the East Sea. Oceans. 2025; 6(3):56. https://doi.org/10.3390/oceans6030056
Chicago/Turabian StyleAhn, Jisuk, Changsin Kim, Inseong Han, and Huitae Joo. 2025. "Estimated Ocean Climate Velocity Using Satellite Sea Surface Temperature Products Since the Early 2000s in the East Sea" Oceans 6, no. 3: 56. https://doi.org/10.3390/oceans6030056
APA StyleAhn, J., Kim, C., Han, I., & Joo, H. (2025). Estimated Ocean Climate Velocity Using Satellite Sea Surface Temperature Products Since the Early 2000s in the East Sea. Oceans, 6(3), 56. https://doi.org/10.3390/oceans6030056

