Impact of Probiotic and Bioprotective Cultures on the Quality and Shelf Life of Butter and Buttermilk
Abstract
1. Introduction
2. Materials and Methods
2.1. Butter and Buttermilk Production
- (1)
- Inoculated with 5% (v/v) aromatic culture (Flora Danica, FD-DVS™, CHR Hansen, supplied by Promolac, Lisbon, Portugal) containing Lactococcus lactis subsp. cremoris, Leuconostoc, Lactococcus lactis subsp. lactis, and Lactococcus lactis subsp. lactis biovar diacetylactis; kept for 24 h at 20 °C in defatted pasteurised milk; then maintained at 4 ± 2 °C for 24 h (A).
- (2)
- Inoculated with 5% (v/v) of the aromatic culture plus bioprotective culture containing Lactobacillus rhamnosus and Lactobacillus paracasei (Fresh Q4, CHR Hansen, supplied by Promolac, Lisbon, Portugal) at a level of 1.5 U/15 L cream according to the manufacturer’s instructions (ABC).
- (3)
- Inoculated with 5% (v/v) probiotic culture containing Lactobacillus acidophilus (nu-trish LA-5™, CHR Hansen), kept for 24 h at 20 °C in defatted pasteurised milk, then maintained at 4 ± 2 °C for 24 h (P).
- (4)
- Inoculated with 5% (v/v) probiotic culture plus bioprotective culture containing Lactobacillus rhamnosus and Lactobacillus paracasei (Fresh Q4, CHR Hansen, supplied by Promolac, Lisbon, Portugal) at a level of 1.5 U/15 L cream according to the manufacturer’s instructions (PBC).
2.2. Physicochemical Analysis
2.3. Microbiological Analysis
2.4. Sensory Analysis
2.5. Statistical Analysis
3. Results
3.1. Physicochemical Properties
3.1.1. Butter Samples
3.1.2. Buttermilk Samples
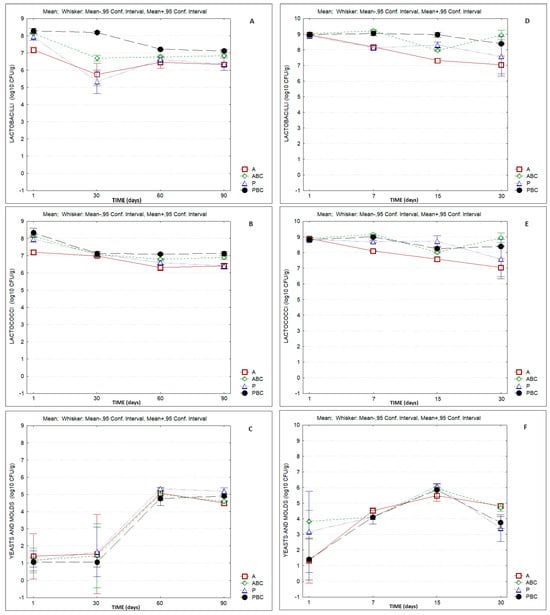
3.2. Microbiological Characteristics of Butter and Buttermilk Samples
3.3. Sensory Characteristics of Butter and Buttermilk Samples
4. Discussion
5. Conclusions
Author Contributions
Funding
Institutional Review Board Statement
Informed Consent Statement
Data Availability Statement
Acknowledgments
Conflicts of Interest
References
- Natt, S.; Katyal, P. Current trends in non-dairy probiotics and their acceptance among consumers: A review. Agr. Rev. 2021, 43, 450–456. [Google Scholar] [CrossRef]
- Dahiya, D.; Nigam, P. The gut microbiota influenced by the intake of probiotics and functional foods with prebiotics can sustain wellness and alleviate certain ailments like gut-inflammation and colon-cancer. Microorganisms 2022, 10, 665. [Google Scholar] [CrossRef] [PubMed]
- Siciliano, R.; Reale, A.; Mazzeo, M.; Morandi, S.; Silvetti, T.; Brasca, M. Paraprobiotics: A new perspective for functional foods and nutraceuticals. Nutrients 2021, 13, 1225. [Google Scholar] [CrossRef]
- Sherwani, K.; Bukhari, D. Probiotics in processed dairy products and their role in gut microbiota health. In Effect of Microbiota on Health and Disease; El-Sayed, H., Ed.; Intechopen: London, UK, 2022. [Google Scholar] [CrossRef]
- Vargas-Ramella, M.; Pateiro, M.; Maggiolino, A.; Faccia, M.; Franco, D.; Palo, P. Buffalo milk as a source of probiotic functional products. Microorganisms 2021, 9, 2303. [Google Scholar] [CrossRef]
- Hammam, A.; Ahmed, M. Technological aspects, health benefits, and sensory properties of probiotic cheese. Appl. Sci. 2019, 1, 1113. [Google Scholar] [CrossRef]
- Akter, S.; Park, J.; Jung, H. Potential health-promoting benefits of paraprobiotics, inactivated probiotic cells. J. Microb. Biotech. 2020, 30, 477–481. [Google Scholar] [CrossRef] [PubMed]
- Syiemlieh, I.; Morya, S. Dairy and non-dairy based probiotics: A review. Pharma Innov. 2022, 11, 2956–2964. [Google Scholar] [CrossRef]
- Agamennone, V.; Krul, C.; Rijkers, G.; Kort, R. A practical guide for probiotics applied to the case of antibiotic-associated diarrhea in the netherlands. BMC Gastroent. 2018, 18, 103. [Google Scholar] [CrossRef]
- Colombo, M.; Todorov, S.; Eller, M.; Nero, L. The potential use of probiotic and beneficial bacteria in the brazilian dairy industry. J. Dairy Res. 2018, 85, 487–496. [Google Scholar] [CrossRef] [PubMed]
- Wojciechowska-Alwin, N.; Sikora, D.; Lipski, A.; Skrypnik, D. Influence of natural dairy probiotics on health. J. Pre-Clin. Clin. Res. 2019, 13, 153–161. [Google Scholar] [CrossRef]
- García-Díez, J.; Saraiva, C. Use of starter cultures in foods from animal origin to improve their safety. Int. J. Environ. Res. Public Health 2021, 18, 2544. [Google Scholar] [CrossRef]
- Austrich-Comas, A.; Serra-Castelló, C.; Jofré, A.; Gou, P.; Bover-Cid, S. Control of Listeria monocytogenes in chicken dry-fermented sausages with bioprotective starter culture and high-pressure processing. Front. Microbiol. 2022, 13, 983265. [Google Scholar] [CrossRef] [PubMed]
- Bhattacharya, D.; Nanda, P.; Pateiro, M.; Lorenzo, J.; Dhar, P.; Das, A. Lactic acid bacteria and bacteriocins: Novel biotechnological approach for biopreservation of meat and meat products. Microorganisms 2022, 10, 2058. [Google Scholar] [CrossRef]
- Gao, J.; Li, X.; Zhang, G.; Sadiq, F.; Simal-Gándara, J.; Xiao, J.; Sang, Y. Probiotics in the dairy industry—Advances and opportunities. Compr. Rev. Food Sci. Food Saf. 2021, 20, 3937–3982. [Google Scholar] [CrossRef]
- Kaur, H.; Kaur, G.; Ali, S. Dairy-based probiotic-fermented functional foods: An update on their health-promoting properties. Fermentation 2022, 8, 425. [Google Scholar] [CrossRef]
- González, F.; Delgado, S.; Ruiz, L.; Margolles, A.; Ruas-Madiedo, P. Functional bacterial cultures for dairy applications: Towards improving safety, quality, nutritional and health benefit aspects. J. Appl. Microb. 2022, 133, 212–229. [Google Scholar] [CrossRef]
- Meloni, M.; Piras, F.; Siddi, G.; Cabras, D.; Comassi, E.; Lai, R.; Scarano, C. Comparison of activity of commercial protective cultures and thermophilic lactic acid bacteria against listeria monocytogenes: A new perspective to improve the safety of sardinian pdo cheeses. Foods 2023, 12, 1182. [Google Scholar] [CrossRef] [PubMed]
- Vasiliauskaite, A.; Milerienė, J.; Kasparaviciene, B.; Aleksandrovas, E.; Songisepp, E.; Rud, I.; Šernienė, L. Screening for antifungal Indigenous lactobacilli strains isolated from local fermented milk for developing bioprotective fermentates and coatings based on acid whey protein concentrate for fresh cheese quality maintenance. Microorganisms 2023, 11, 557. [Google Scholar] [CrossRef] [PubMed]
- Shi, C.; Maktabdar, M. Lactic acid bacteria as biopreservation against spoilage molds in dairy products—A review. Front. Microbiol. 2022, 12, 819684. [Google Scholar] [CrossRef]
- Shi, C.; Knøchel, S. Sensitivity of molds from spoiled dairy products towards bioprotective lactic acid bacteria cultures. Front. Microbiol. 2021, 12, 631730. [Google Scholar] [CrossRef]
- Farrokh, A.; Ehsani, M.; Moayednia, N.; Nezhad, R. Lactic acid fermentation of synbiotic cream: Effects on physicochemical characteristics and formation of l (+), and d (–)-lactic acid isomers. Appl. Ecol. Environ. Res. 2018, 16, 7447–7466. [Google Scholar] [CrossRef]
- Bellinazo, P.; Vitola, H.; Cruxen, C.; Braun, C.; Hackbart, H.; Silva, W.; Fiorentini, Â. Probiotic butter: Viability of Lactobacillus casei strains and bixin antioxidant effect (Bixa orellana L.). J. Food Process. Preserv. 2019, 43, e14088. [Google Scholar] [CrossRef]
- Ostadzadeh, M.; Najafi, M.; Ehsani, M. Lactic acid bacteria isolated from traditional iranian butter with probiotic and cholesterol-lowering properties: In vitro and in situ activity. Food Sci. Nutr. 2022, 11, 350–363. [Google Scholar] [CrossRef] [PubMed]
- Ferreira, L.; Borges, A.; Gomes, D.; Dias, S.; Pereira, C.; Henriques, M. Adding value and innovation in dairy smes: From butter to probiotic butter and buttermilk. J. Food Process. Pres. 2020, 46, e14867. [Google Scholar] [CrossRef]
- Silva, T.; Pires, A.; Gomes, D.; Viegas, J.; Pereira-Dias, S.; Pintado, M.; Pereira, C. Sheep’s butter and correspondent buttermilk produced with sweet cream and cream fermented by aromatic starter, kefir and probiotic culture. Foods 2023, 12, 331. [Google Scholar] [CrossRef] [PubMed]
- Prasad, A.; Kothari, N. Cow products: Boon to human health and food security. Trop. Anim. Health Prod. 2021, 54, 12. [Google Scholar] [CrossRef]
- Vlasenko, I.; Bandura, V.; Semko, T.; Fialkovska, L.; Ivanishcheva, O.; Palamarchuk, V. Innovative approaches to the development of a new sour milk product. Potravin. Slovak J. Food Sci. 2021, 15, 970–981. [Google Scholar] [CrossRef]
- Sakkas, L.; Evageliou, V.; Igoumenidis, P.; Moatsou, G. Properties of sweet buttermilk released from the churning of cream separated from sheep or cow milk or sheep cheese whey: Effect of heat treatment and storage of cream. Foods 2022, 11, 465. [Google Scholar] [CrossRef]
- Barukčić, I.; Božanić, R. Valorisation of whey and buttermilk for production of functional beverages—An overview of current possibilities. Food Tech. Biotech. 2019, 57, 448–460. [Google Scholar] [CrossRef]
- Skryplonek, K.; Dmytrów, I.; Mituniewicz-Małek, A. The use of buttermilk as a raw material for cheese production. Int. J. Dairy Tech. 2019, 72, 610–616. [Google Scholar] [CrossRef]
- Szkolnicka, K.; Dmytrów, I.; Mituniewicz-Małek, A. Buttermilk ice cream—New method for buttermilk utilization. Food Sci. Nutr. 2020, 8, 1461–1470. [Google Scholar] [CrossRef] [PubMed]
- Zhao, L.; Feng, R.; Mao, X. Addition of buttermilk powder improved the rheological and storage properties of low-fat yogurt. Food Sci. Nutr. 2020, 8, 3061–3069. [Google Scholar] [CrossRef]
- Monteiro, P.; Gomes, P. Production of kefir as an alternative for utilization of buttermilk. Rev. Inst. Lat. Cândido Tostes 2019, 73, 162–171. [Google Scholar] [CrossRef]
- Ozturkoglu-Budak, S.; Akal, H.; Turkmen, N. Use of kefir and buttermilk to produce an innovative quark cheese. J. Food Sci. Tech. 2020, 58, 74–84. [Google Scholar] [CrossRef] [PubMed]
- Latoch, A.; Libera, J.; Stasiak, D. Physicochemical properties of pork loin marinated in kefir, yoghurt or buttermilk and cooked sous vide. Acta Sci. Pol. Tech. Aliment. 2019, 18, 163–171. [Google Scholar] [CrossRef]
- Mahmoudi, I.; Moussa, O.; Chouaibi, M.; Telmoudi, A.; Boukari, W.; Hassouna, M. Development and characterisation of functional cultured buttermilk fortified with flaxseed. Acta Aliment. 2022, 51, 218–227. [Google Scholar] [CrossRef]
- Rose, H.; Bakshi, S.; Kanetkar, P.; Lukose, S.; Felix, J.; Yadav, S.; Paswan, V. Development and characterization of cultured buttermilk fortified with Spirulina plantensis and its physico-chemical and functional characteristics. Dairy 2023, 4, 271–284. [Google Scholar] [CrossRef]
- Deinychenko, G.; Huzenko, V.; Dmytrevskyi, D.; Zoltukhina, I.; Chervonyi, V.; Horielkov, D. A new method of elimination the polarizing layer during the membrane processing of buttermilk. Acta Period. Tech. 2022, 53, 1–10. [Google Scholar] [CrossRef]
- Hickey, C.; O’Sullivan, M.; Davis, J.; Scholz, D.; Kilcawley, K.; Wilkinson, M.; Sheehan, J. The effect of buttermilk or buttermilk powder addition on functionality, textural, sensory and volatile characteristics of cheddar-style cheese. Food Res. Int. 2018, 103, 468–477. [Google Scholar] [CrossRef]
- Borges, A.R.; Pires, A.F.; Marnotes, N.G.; Gomes, D.G.; Henriques, M.F.; Pereira, C.D. Dairy by-products concentrated by ultrafiltration used as ingredients in the production of reduced fat washed curd cheese. Foods 2018, 9, 1020. [Google Scholar] [CrossRef]
- AOAC International. Official Methods of Analysis of AOAC International, 16th ed.; AOAC Official Method 925.23: Washington, DC, USA, 1995. [Google Scholar]
- AOAC International. Official Methods of Analysis of AOAC International, 16th ed.; AOAC Official Method 945.46: Washington, DC, USA, 1995. [Google Scholar]
- Portuguese Standard No.1712; Butter—Determination of Total Acidity (1981). Instituto Português da Qualidade (NP): Setubal, Portugal, 1981. (In Portuguese)
- Portuguese Standard No. 47; Milk—Determination of Total Acidity (1981). Instituto Português da Qualidade (NP): Setubal, Portugal, 1981. (In Portuguese)
- Funke-Guerber (Ed.) Laboratory Catalogue for Milk Analysis; Funke-Dr. N. Gerber Labortechnik GmbH: Berlin, Germany, 2018. [Google Scholar]
- A Simple Review of CIE ΔE* (Colour Difference) Equations. Available online: https://techkonusa.com/a-simple-review-of-cie-δe-color-difference-equations/ (accessed on 22 July 2024).
- ISO Standard, No. 15214; Microbiology of Food and Animal Feeding Stuffs—Horizontal Method for the Enumeration of Mesophilic Lactic Acid Bacteria—Colony-Count Technique at 30 Degrees °C. International Organization for Standardization: Geneva, Switzerland, 1998.
- ISO Standard No 6611|IDF 94:2004; Milk and Milk Products—Enumeration of Colony-Forming Units of Yeasts and/or Moulds—Colony-Count Technique at 25 °C. International Organization for Standardization: Geneva, Switzerland, 2004.
- Stone, H.; Sidel, J. Sensory Evaluation Practices, 3rd ed.; Food Science and Technology; Academic Press: New York, NY, USA, 2004; pp. 247–277. [Google Scholar]
- Portuguese Standard, No. 1711; Pasteurized Butter-Definition, Classification, Characteristics, Packaging and Labelling. Instituto Português da Qualidade (NP): Setubal, Portugal, 1986. (In Portuguese)
- Guarner, F.; Sanders, M.H.; Al, E. World Gastroenterology Organisation Global Guidelines, Probiotics and Prebiotics; World Gastroenterology Organisation: Milwaukee, WI, USA, 2023. [Google Scholar]
- Seki, H.; Sugimoto, R. Evaluation of a colourimetric method for the measurement of oxidation in butter. Food Res. 2022, 6, 303–308. [Google Scholar] [CrossRef] [PubMed]
- Karaca, Y. Production and quality of kefir cultured butter. Mljekarstvo 2018, 68, 64–72. [Google Scholar] [CrossRef]
- Panchal, B.; Truong, T.; Prakash, S. Influence of emulsifiers and dairy ingredients on manufacturing, microstructure, and physical properties of butter. Foods 2021, 10, 1140. [Google Scholar] [CrossRef]
- Panchal, B.; Truong, T.; Prakash, S. Influence of fat globule size, emulsifiers, and cream-aging on microstructure and physical properties of butter. Int. Dairy J. 2021, 117, 105003. [Google Scholar] [CrossRef]
- Jones, A.; Martini, S. Relationship between the physical properties of butter and water loss during lamination. J. American Oil Chem. Soc. 2022, 99, 585–597. [Google Scholar] [CrossRef]
- Brożek, O.; Kiełczewska, K.; Bohdziewicz, K. Physicochemical and sensory properties with special emphasis on thermal characteristics of whey butter from gouda cheese production compared to milk butter. Pol. J. Food Nutr. Sci. 2022, 72, 407–419. [Google Scholar] [CrossRef]
- Vioque-Amor, M. Butter from different species: Composition and quality parameters of products commercialized in the south of spain. Animals 2023, 13, 3559. [Google Scholar] [CrossRef]
- Pedrotti, M.; Khomenko, I.; Cappellin, L.; Fontana, M.; Marco, S.; Falchero, L.; Biasioli, F. Rapid and noninvasive quality control of anhydrous milk fat by ptr-ms: The effect of storage time and packaging. Biol. Mass Spec. 2018, 53, 753–762. [Google Scholar] [CrossRef]
- Topnikova, E. Effect of packaging method on butter quality preservation. Dairy Ind. 2024, 2, 53–60. [Google Scholar] [CrossRef]
- Sahin, E.; Erem, E.; Güzey, M.; Kesen, M.; Icyer, N.; Ozmen, D.; Cakmak, H. High potential food wastes: Evaluation of melon seeds as spreadable butter. J. Food Process. Pres. 2022, 46, e16841. [Google Scholar] [CrossRef]
- Lopes, F.; Ribeiro, C.; Rodriguez, N.; Gama, M.; Morenz, M.; Antoniassi, R.; Bizzo, H. Butter fatty acid composition as a function of soybean oil supplementation and time of milking, and performance of holstein x gyr cows fed with chopped elephant grass-based diets. Semin. Ciênc. Agrárias 2019, 40, 2025. [Google Scholar] [CrossRef]
- Musayeva, K.; Sederevičius, A.; Monkevičienė, I.; Žymantienė, J.; Oberauskas, V.; Kerzienė, S.; Želvytė, R. Milk fatty acid profile in cows as influenced by diet supplementation with rapeseed pomace and extruded full-fat soya in different feeding periods. Acta Vet. Brno 2021, 90, 27–34. [Google Scholar] [CrossRef]
- Magan, J.; O’Callaghan, T.; Kelly, A.; McCarthy, N. Compositional and functional properties of milk and dairy products derived from cows fed pasture or concentrate-based diets. Compr. Rev. Food Sci. Food Safety 2021, 20, 2769–2800. [Google Scholar] [CrossRef] [PubMed]
- Lis, A.; Staniewski, B.; Ziajka, J. A comparison of butter texture measurements with the AP 4/2 penetrometer and TA.XT. Plus texture analyzer. Int. J. Food Prop. 2021, 24, 1744–1757. [Google Scholar] [CrossRef]
- Ziarno, M.; Derewiaka, D.; Florowska, A.; Szymańska, I. Comparison of the spreadability of butter and butter substitutes. Appl. Sci. 2023, 13, 2600. [Google Scholar] [CrossRef]
- Pădureț, S. The effect of fat content and fatty acids composition on colour and textural properties of butter. Molecules 2021, 26, 4565. [Google Scholar] [CrossRef]
- Nayanangi, W.; Pagthinathan, M.; Gunathilaka, S. Evaluation of chemical, physical, microbial and sensory properties of garlic butter by using cow milk. Eur. J. Agr. Food Sci. 2022, 4, 81–86. [Google Scholar] [CrossRef]
- Pourfarzad, A.; Kisomi, R. Effect of lecithin and mono- and di-glyceride on quality and shelf life of hazelnut butter: Chemometric approach. Pol. J. Food Nutr. Sci. 2020, 70, 399–408. [Google Scholar] [CrossRef]
- Gaba, K.; Anand, S.; Syamala, A. Development of value-added butter by incorporating whey protein hydrolysate-encapsulated probiotics. Microorganisms 2023, 11, 1139. [Google Scholar] [CrossRef]
- El-Hameed, M.; El-Sattar, E.; Khalifa, S.; El-Neshawy, A. An attempt to produce synbiotic buttermilk beverages supplemented with barley and oat flour. Zagazig J. Agr. Res. 2019, 46, 1985–1994. [Google Scholar] [CrossRef]
- Iriondo-DeHond, M.; Miguel, E.; Castillo, M. Food byproducts as sustainable ingredients for innovative and healthy dairy foods. Nutrients 2018, 10, 1358. [Google Scholar] [CrossRef] [PubMed]
- Garvey, E.; Sander, T.; O’Callaghan, T.; Drake, M.; Fox, S.; O’Sullivan, M.; Kilcawley, K. A cross-cultural evaluation of liking and perception of salted butter produced from different feed systems. Foods 2020, 9, 1767. [Google Scholar] [CrossRef] [PubMed]
- Stephenson, R.; Ross, R.; Stanton, C. Carotenoids in milk and the potential for dairy based functional foods. Foods 2021, 10, 1263. [Google Scholar] [CrossRef] [PubMed]
- Aydin, S.; Kahyaoğlu, D. Antioxidant effect potential of garlic in vitro and real food system: Effects of garlic supplementation on oxidation stability and sensory properties of butter. Eu. J. Lipid Sci. Tech. 2020, 122, 1900261. [Google Scholar] [CrossRef]
- Mehdizadeh, T.; Mohammadipour, N.; Langroodi, A.; Raeisi, M. Effect of walnut kernel septum membranes hydroalcoholic extract on the shelf life of traditional butter. Heliyon 2019, 5, e01296. [Google Scholar] [CrossRef]








| Product | Dry Matter (% w/w) | Fat (% w/w) | OSNF (% w/w) | Ashes. (% w/w) | pH | Titratable Acidity (mL NaOH 1 N/100 g) |
|---|---|---|---|---|---|---|
| A | 84.66 ± 1.25 | 81.71 ± 1.27 | 2.95 ± 0.97 | 0.73 ± 0.06 | 4.73 ± 0.06 | 2.43 ± 0.40 |
| ABC | 85.33 ± 0.47 | 82.66 ± 0.53 | 2.67 ± 0.12 | 0.69 ± 0.03 | 4.73 ± 0.15 | 2.13 ± 0.45 |
| P | 84.67 ± 1.70 | 81.14 ± 1.70 | 3.52 ± 0.35 | 0.95 ± 0.04 | 4.63 ± 0.06 | 2.00 ± 0.26 |
| PBC | 85.67 ± 1.25 | 82.06 ± 0.93 | 3.60 ± 0.49 | 0.72 ± 0.03 | 4.72 ± 0.06 | 2.23 ± 0.35 |
| Product | L* | a* | b* |
|---|---|---|---|
| A | 92.83 ± 0.05 a | −6.73 ± 0.12 a | 18.77 ± 0.26 ac |
| ABC | 93.73 ± 0.09 bc | −6.70 ± 0.08 a | 18.97 ± 0.41 ac |
| P | 93.80 ± 0.08 bc | −6.67 ± 0.05 a | 17.93 ± 0.05 b |
| PBC | 94.23 ± 0.05 c | −6.67 ± 0.09 a | 19.23 ± 0.21 c |
| ABC | P | PBC | |
|---|---|---|---|
| A | 0.43 | 0.82 | 1.09 |
| ABC | 0.54 | 0.16 | |
| P | 0.94 |
| Product | Firmness (N) | Softness (N.s) | Adhesiveness (N.s) |
|---|---|---|---|
| A:10 °C | 26.50 ± 1.77 a | 116.83 ± 7.47 a | −66.72 ± 0.57 a |
| A:20 °C | 7.07 ± 0.87 c | 29.91 ± 4.05 c | −46.39 ± 3.86 d |
| ABC:10 °C | 24.92 ± 0.97 a | 108.84 ± 3.91 a | −78.66 ± 8.14 b |
| ABC:20 °C | 6.94 ± 0.35 c | 29.84 ± 1.33 c | −51.37 ± 4.76 d |
| P:10 °C | 36.17 ± 1.79 b | 157.47 ± 7.76 b | −116.56 ± 11.69 c |
| P:20 °C | 9.13 ± 0.48 d | 38.31 ± 1.64 d | −60.79 ± 12.41 d |
| PBC:10 °C | 27.79 ± 1.42 a | 118.90 ± 6.20 a | −82.46 ± 5.91 b |
| PBC:20 °C | 7.65 ± 0.46 c | 33.69 ± 1.88 c | −58.35 ± 2.29 e |
| Product | Dry Matter (% w/w) | Fat (% w/w) | Ashes (% w/w) | pH | Titratable Acidity (% Lactic Acid) |
|---|---|---|---|---|---|
| A | 10.16 ± 0.18 a | 1.53 ± 0.06 a | 0.77 ± 0.03 a | 4.40 ± 0.10 a | 0.88 ± 0.05 a |
| ABC | 11.15 ± 0.05 b | 0.63 ± 0.15 b | 0.77 ± 0.02 a | 4.30 ± 0.00 a | 0.97 ± 0.11 a |
| P | 9.79 ± 0.25 a | 0.37 ± 0.23 b | 0.75 ± 0.02 a | 4.30 ± 0.02 a | 1.01 ± 0.08 a |
| PBC | 10.14 ± 0.03 a | 1.20 ± 0.52 a | 0.75 ± 0.00 a | 4.20 ± 0.03 b | 0.99 ± 0.14 a |
| Product | Viscosity (cPs) |
|---|---|
| A | 65.63 ± 0.06 a |
| ABC | 61.10 ± 0.17 b |
| P | 65.77 ± 0.15 a |
| PBC | 78.70± 0.17 c |
| Product | L* | a* | b* |
|---|---|---|---|
| A | 79.70 ± 0.14 a | −2.63 ± 0.12 a | 0.57 ± 0.09 a |
| ABC | 80.97 ± 0.12 b | −2.53 ± 0.33 a | 1.13 ± 0.31 a |
| P | 78.73 ± 0.05 c | −3.33 ± 0.05 b | 1.17 ± 0.47 a |
| PBC | 79.63 ± 0.52 a | −3.77 ± 0.09 b | 2.63 ± 0.12 b |
| ABC | P | PBC | |
|---|---|---|---|
| A | 0.97 | 0.89 | 2.78 |
| ABC | 2.81 | 2.77 | |
| P | 1.57 |
Disclaimer/Publisher’s Note: The statements, opinions and data contained in all publications are solely those of the individual author(s) and contributor(s) and not of MDPI and/or the editor(s). MDPI and/or the editor(s) disclaim responsibility for any injury to people or property resulting from any ideas, methods, instructions or products referred to in the content. |
© 2024 by the authors. Licensee MDPI, Basel, Switzerland. This article is an open access article distributed under the terms and conditions of the Creative Commons Attribution (CC BY) license (https://creativecommons.org/licenses/by/4.0/).
Share and Cite
Pereira, C.; Gomes, D.; Dias, S.; Santos, S.; Pires, A.; Viegas, J. Impact of Probiotic and Bioprotective Cultures on the Quality and Shelf Life of Butter and Buttermilk. Dairy 2024, 5, 625-643. https://doi.org/10.3390/dairy5040047
Pereira C, Gomes D, Dias S, Santos S, Pires A, Viegas J. Impact of Probiotic and Bioprotective Cultures on the Quality and Shelf Life of Butter and Buttermilk. Dairy. 2024; 5(4):625-643. https://doi.org/10.3390/dairy5040047
Chicago/Turabian StylePereira, Carlos, David Gomes, Susana Dias, Sandra Santos, Arona Pires, and Jorge Viegas. 2024. "Impact of Probiotic and Bioprotective Cultures on the Quality and Shelf Life of Butter and Buttermilk" Dairy 5, no. 4: 625-643. https://doi.org/10.3390/dairy5040047
APA StylePereira, C., Gomes, D., Dias, S., Santos, S., Pires, A., & Viegas, J. (2024). Impact of Probiotic and Bioprotective Cultures on the Quality and Shelf Life of Butter and Buttermilk. Dairy, 5(4), 625-643. https://doi.org/10.3390/dairy5040047

