Abstract
A series of 4-aminoquinoline derivatives were prepared using a microwave-assisted method. The reactions were initially carried out on a small scale and subsequently scaled up using a sealed tube. Heating the reactions to 90–150 °C for 90–120 minutes obtained products with up to 95% yields. Structural analysis and characterization were achieved using FT-IR, 1H- and 13C-NMR spectroscopy and HR-MS. Four compounds displayed low-to-moderate antibacterial activity, with 6-chlorocyclopentaquinolinamine (7b) exhibiting potent inhibition against MRSA (MIC = 0.125 mM) and 2-fluorocycloheptaquinolinamine (9d) showing activity against S. pyogenes (MIC = 0.25 mM). Structure–activity relationship (SAR) docking studies within the Penicillin Binding Protein (PBP2a) binding site (PDB: 4DK1) showed that compounds 7b and 5b (7-chlorophenylquinolinamine) bind through hydrophobic interactions (ALA601, ILE614), hydrogen bonding (GLN521), and halogen contacts (TYR519, THR399). Compound 7b demonstrated enhanced MRSA inhibition due to additional π-alkyl interactions and optimal docking parameters. Conversely, the bulky structure of 9d may explain its weaker activity as it likely hindered binding to the target site. This paper highlights the role of structural features in antibacterial efficacy and guides the future optimization of 4-aminoquinoline derivatives.
1. Introduction
Organic chemistry has significantly shifted toward sustainable and environmentally friendly approaches, collectively known as green chemistry. These principles aim to minimize or eliminate the use and generation of hazardous substances throughout the design, manufacturing, and application of chemical processes [1]. Microwave-assisted (MW) synthesis has emerged as an effective strategy for implementing green chemistry, offering shorter reaction times and reduced energy consumption compared to conventional heating methods [2]. Within this context, the synthesis of novel hydroxychloroquine (HCQ) derivatives has gained increasing attention due to HCQ’s notable therapeutic applications [3]. These advancements align with green chemistry principles, addressing the growing demand for new pharmaceuticals and promoting sustainable methodologies for drug synthesis.
The quinoline scaffold is considered to be the main core of the synthesis of HCQ and its derivatives (Figure 1). The quinoline ring has been found in various natural products, particularly in alkaloids [4], and was first isolated from coal tar by Runge (1834) [5]. It is intensively used to synthesize compounds with pharmacological effects [6]. Chloroquine (CQ), the most well-known 4-aminoquinoline derivative, has been used extensively over the past century, raising hopes that malaria may be eradicated. (Figure 1) [7,8,9]. 4-aminoquinoline derivatives were first synthesized in 1934 by Andersag [8]. CQ was also found to exhibit antitumor activities [10]. Moreover, CQ and HCQ have been used as growth inhibition agents of the coronavirus. Researcher recommended the CQ and HCQ to be used as preventive medication for healthy and not infected persons [11].
Figure 1.
The structure of chloroquine (CQ) and hydroxychloroquine (HCQ), two 4-aminoquinoline (red) derivatives.
Another 4-aminoquinoline derivative, HCQ (Figure 1), was synthesized in 1946 and was found to be a safer alternative to chloroquine in 1955 [12]. Replacing an ethyl group in CQ with a hydroxyethyl group in HCQ resulted in a higher antimalarial activity and lower toxicity in humans [13,14]. Besides its antiparasitic activity, HCQ is now utilized as an immunomodulatory and anti-inflammatory drug to treat many autoimmune diseases, such as rheumatoid arthritis and lupus erythematosus [15]. During the recent COVID-19 pandemic, the researchers discussed using HCQ for treating coronavirus patients [16].
The exceptional pharmacological profiles of both HCQ and CQ have promoted researchers to synthesize novel 4-aminoquinolines derivatives to increase their efficiency, minimize side effects, and expand their therapeutic applications [17,18,19]. Recently, Zhao et al. reported synthesizing 4-aminoquinolines in aromatic solvents for several hours using conventional reflux techniques [20]. Earlier research works have described the microwave-assisted preparation of some 4-aminoquinoline derivatives. Still, the conditions so developed were with less regard to the principles of green chemistry, namely, reducing waste, energy, and the use of toxic substances [21,22,23]. By using microwave-assisted reactions, this study aimed to synthesize 4-aminoquinoline derivatives without the need for a reaction solvent or additional product purification techniques while adhering to green chemistry principles.
2. Materials and Methods
2.1. Chemicals and Materials
All the starting materials and solvents were purchased from Scharlau, (Barcelona, Spain), Fluka, and Sigma-Aldrich (Steinheim, Germany) and were used without further purification. Thin Layer Chromatography (TLC) silica gel sheets (Alugram® Xtra Sil G/UV254); 20 × 20 cm, Macherey-Nagel GmbH, (Dueren, Germany) were used to monitor the completion of the reactions. A UV lamp of 254 nm was used to visualize the TLC plates. The NMR spectra were recorded at room temperature using AVANCE-III 400 MHz, FT-NMR NanoBay spectrometer (Bruker, Zurich, Switzerland). All NMR spectra were made in DMSO-d6 as a solvent and an internal standard. 13C-NMR spectra were recorded at 101.00 MHz, and calibrated at 39.52 ppm, while 1H-NMR spectra were measured at 400.00 MHz instrument and calibrated at 2.5 ppm. The Fourier-Transform InfraRed spectra (FTIR spectra) were recorded using the ATR method by a Bruker Vertex 70-FT-IR Spectrometer (Bruker, Switzerland) at room temperature in the 4000–400 cm−1 region. Melting points (mp) were obtained on Stuart Scientific Melting Apparatus (Stuart, Cambridgeshire, UK) and were reported in °C, in one-end open glass capillaries. High-resolution mass spectroscopy was achieved using a Bruker Daltonik (Bremen, Germany) Impact II ESI-Q-TOF System equipped with Bruker Dalotonik (Bremen, Germany). Biotage® Initiator+ (Uppsala, Sweden) Fourth Generation Microwave Synthesizer was used to carry out all MW-assisted reactions.
2.2. Synthesis
2.2.1. General Procedure (GP)
Substituted 2-aminobenzonitrile (1.0 eq., 1a–e) was mixed with excess amounts of the ketones 2, 3, and 6a–d. Anhydrous ZnCl2 (1.0 eq.) was added to the mixture in a sealed tube. The tube was inserted into the MW instrument and heated for 90–120 min at 90–140 °C as indicated. The mixture was washed with dichloromethane several times to remove the rest of the starting materials and possible side products. Zn-bound product was isolated and dried for the next step. The Zn-bound solid was dissolved in isopropanol as indicated and treated with NaOH (40%) solution to obtain the Zn-free product in highly pure form as solid products in good yields as indicated. The compounds 7a, 7c–e, 8a–e, 9a, 9c–e, and 10a had been previously reported in the literature [21,22,23]. Full spectral data for these compounds are provided in the Supp. Info. and align with published records. Melting points for the known compounds, consistent with literature values, are summarized in Table S3.
2.2.2. Synthesis and Spectral Analysis
- 2-Methylquinolin-4-amine (4a)
Quantities of 2.0 g (16.95 mmol) of 1a, 3 mL of ketone 2, and 2.31 g (16.95 mmol) of anhydrous ZnCl2 were mixed in neat form and reacted according to the general procedure (GP) for 120 min at 130 °C. The Zn-combined solid (3.64 g) was treated with NaOH (40%) solution as indicated in GP to obtain the Zn-free product 4a in a good yield as pale-yellow solid, 1.73 g (9.39 mmol, 55.4%); mp = 155.0–156.5 °C [24]; FT-IR (neat, cm−1): 3392 (N-H), 3336 (N-H), 3190 (N-H), 2917, 1667 (C=N), 1591 (C=C), 1567 (C=C), 1515 (C=N), 1432 (C=C), 1369, 755; 1H-NMR (400 MHz, DMSO-d6, ppm) δ: 8.07 (dd, J = 8.3, 1.4 Hz, 1H, HAr), 7.66 (dd, J = 8.4, 1.3 Hz, 1H, HAr), 7.53 (ddd, J = 8.3, 6.7, 1.4 Hz, 1H, HAr), 7.30 (ddd, J = 8.2, 6.8, 1.3 Hz, 1H, HAr), 6.62 (s, 2H, NH2), 6.43 (s, 1H, HAr), 2.40 (s, 3H, CH3); 13C-NMR (101 MHz, DMSO-d6, ppm) δ: 158.26 (CAr), 151.47 (CAr), 148.53 (CAr), 128.75 (CAr), 128.18 (CAr), 122.72 (CAr), 122.08 (CAr), 117.29 (CAr), 102.01(CAr), 24.88 (CH3); HRMS (ESI-TOF) m/z: C10H10N2; Calcu. (M+H)+: 159.0922/Found (M+H)+: 159.0930.
- 7-Chloro-2-methylquinolin-4-amine (4b)
Quantities of 2.5 g (16.38 mmol) of 1b, 5 mL of ketone 2, and 2.23 g (16.38 mmol) of anhydrous ZnCl2 were mixed in neat form and reacted according to the general procedure (GP) for 120 min at 130 °C. The Zn-combined solid (4.46 g) was treated with NaOH (40%) solution as indicated in GP to obtain the Zn-free product 4b in a good yield as pale-yellow solid, 1.99 g (10.34 mmol, 63.2%); mp = 232.8–235.0 °C [25]; FT-IR (neat, cm−1): 3460 (N-H), 3308 (N-H), 3128 (N-H), 2914, 1646 (C=N), 1610 (C=C), 1578 (C=C), 1452 (C=N), 813; 1H-NMR (400 MHz, DMSO-d6, ppm) δ: 8.13 (d, J = 8.9 Hz, 1H, HAr), 7.68 (d, J = 2.2 Hz, 1H, HAr), 7.33 (dd, J = 8.9, 2.2 Hz, 1H, HAr), 6.80 (s, 2H, NH2), 6.45 (s, 1H, HAr), 2.40 (s, 3H, CH3);13C-NMR (101 MHz, DMSO-d6, ppm) δ: 159.82 (CAr), 151.66 (CAr), 149.31 (CAr), 133.43 (CAr), 126.72 (CAr), 124.37 (CAr), 123.02 (CAr), 115.89 (CAr), 102.44 (CAr), 24.84 (CH3); HRMS (ESI-TOF) m/z: C10H9ClN2; Calcu. (M+H)+: 193.0533/Found (M+H)+: 193.0538.
- 6-Chloro-2-methylquinolin-4-amine (4c)
Quantities of 0.5 g (3.28 mmol) of 1c, 3 mL of ketone 2, and 0.45 g (3.28 mmol) of anhydrous ZnCl2 were mixed in neat form and reacted according to the general procedure (GP) for 120 min at 130 °C. The Zn-combined solid (1.0 g) was treated with NaOH (40%) solution as indicated in GP to obtain the Zn-free product 4c in a good yield as colorless solid, 0.52 g (2.70 mmol, 82.3%); mp = 190.5–193.7 °C [26]; FT-IR (neat, cm−1): 3468 (N-H), 3353 (N-H), 3183 (N-H), 3088, 2915, 1639 (C=N), 1585 (C=C), 1503 (C=N), 1401 (C=C), 822; 1H-NMR (400 MHz, DMSO-d6, ppm) δ: 8.22 (d, J = 2.3 Hz, 1H, HAr), 7.66 (d, J = 9.0 Hz, 1H, HAr), 7.53 (dd, J = 9.0, 2.3 Hz, 1H, HAr), 6.73 (s, 2H, NH2), 6.45 (s, 1H, HAr), 2.40 (s, 3H, CH3); 13C-NMR (101 MHz, DMSO-d6, ppm) δ: 158.92 (CAr), 150.92 (CAr), 147.07 (CAr), 130.31 (CAr), 129.15 (CAr), 127.17 (CAr), 121.33 (CAr), 118.03 (CAr), 102.65 (CAr), 24.81 (CH3); HRMS (ESI-TOF) m/z: C10H9ClN2; Calcu. (M+H)+: 193.0533/Found (M+H)+: 193.0535.
- 6-Fluoro-2-methylquinolin-4-amine (4d)
Quantities of 0.33 g (2.43 mmol) of 1d, 3 mL of ketone 2, and 0.26 g (1.87 mmol) of anhydrous ZnCl2 were mixed in neat form and reacted according to the general procedure (GP) for 120 min at 90 °C. The Zn-combined solid (0.51 g) was treated with NaOH (40%) solution as, indicated in GP to obtain the Zn-free product 4d in a good yield as colorless solid, 0.25 g (1.42 mmol, 58.4%); mp = 199–200 °C; FT-IR (neat, cm−1): 3493 (N-H), 3416 (N-H), 3359 (N-H), 3188(N-H), 1635 (C=N), 1593 (C=C), 1521 (C=C), 1475 (C=N), 1196, 826; 1H-NMR (400 MHz, DMSO-d6, ppm) δ: 7.89 (dd, J = 10.8, 2.9 Hz, 1H, HAr), 7.71 (ddd, J = 7.8, 5.8, 1.9 Hz, 1H, HAr), 7.43 (ddt, J = 9.0, 5.3, 2.7 Hz, 1H, HAr), 6.60 (s, 2H, NH2), 6.44 (s, 1H, HAr), 2.39 (s, 3H, CH3);13C-NMR (101 MHz, DMSO-d6, ppm) δ: 157.93 (d, J = 241.4 Hz, CAr) 157.81 (d, J = 2.1 Hz, CAr), 156.73 (CAr), 151.14 (d, J = 4.5 Hz, CAr), 145.68 (CAr), 130.73 (d, J = 8.8 Hz, CAr), 118.26 (d, J = 25.0 Hz, CAr), 117.47 (d, J = 9.0 Hz, CAr), 105.90 (d, J = 22.6 Hz, CAr), 102.25 (CAr), 24.73 (CH3); HRMS (ESI-TOF) m/z: C10H9FN2; Calcu. (M+H)+: 177.0828/Found (M+H)+: 177.0808.
- 2,6-Dimethylquinolin-4-amine (4e)
Quantities of 0.33 g (2.5 mmol) of 1e, 3 mL of ketone 2, and 0.35 g (2.5 mmol) of anhydrous ZnCl2 were mixed in neat form and reacted according to the general procedure (GP) for 120 min at 130 °C. The Zn-combined solid (0.52 g) was treated with NaOH (40%) solution as indicated in GP to obtain the Zn-free product 4e in a good yield as colorless solid, 0.36 g (2.1 mmol, 84.0%); mp = 219.7–223.2 °C; FT-IR (neat, cm−1): 3458 (N-H), 3389 (N-H), 3324 (N-H), 3206 (N-H), 2914, 1651 (C=N), 1567 (C=C), 1405 (C=C), 825; 1H-NMR (400 MHz, DMSO-d6, ppm) δ: 7.85 (s, 1H, HAr), 7.55 (d, J = 8.5 Hz, 1H, HAr), 7.36 (dd, J = 8.6, 2.0 Hz, 1H, HAr), 6.48 (s, 2H, NH2), 6.38 (s, 1H, HAr), 2.43 (s, 3H, CH3), 2.37 (s, 3H, CH3);13C-NMR (101 MHz, DMSO-d6, ppm) δ: 157.29 (CAr), 150.91 (CAr), 146.95 (CAr), 131.75 (CAr), 130.65 (CAr), 130.61 (CAr), 128.02 (CAr), 121.01 (CAr), 117.13 (CAr), 102.06 (CAr), 24.78 (CH3), 21.18 (CH3); HRMS (ESI-TOF) m/z: C11H12N2; Calcu. (M+H)+: 173.1079/Found (M+H)+: 173.1087.
- 2-Phenylquinolin-4-amine (5a)
Quantities of 2.0 g (16.95 mmol) of 1a, 3 mL of ketone 3, and 2.31 g (16.95 mmol) of anhydrous ZnCl2 were mixed in neat form and reacted according to the general procedure (GP) for 120 min at 130 °C. The Zn-combined solid (3.06 g) was treated with NaOH (40%) solution as indicated in GP to obtain the Zn-free product 5a in a good yield as pale-yellow solid, 1.58 g (7.15 mmol, 42.2%). Mp = 163.5–165.5 °C [27]; FT-IR (neat, cm−1): 3462 (N-H), 3406 (N-H), 3303 (N-H), 3055, 1647 (C=N), 1579 (C=C), 1546 (C=C), 1514 (C=N), 1434 (C=C), 752, 694; 1H-NMR (400 MHz, DMSO-d6, ppm) δ: 8.17 (d, J = 8.4, 1H, HAr), 8.12–8.06 (m, 2H, HAr), 7.84 (d, J = 8.5, 1H, HAr), 7.62 (ddd, J = 8.3, 6.8, 1.4 Hz, 1H, HAr), 7.50 (t, J = 7.3 Hz, 2H, HAr), 7.47–7.34 (m, 2H, HAr), 7.13 (s, 1H, HAr), 6.85 (s, 2H, NH2);13C-NMR (101 MHz, DMSO-d6, ppm) δ: 156.23 (CAr), 152.39 (CAr), 148.79 (CAr), 139.99 (CAr), 129.29 (CAr), 129.20 (CAr), 128.82 (CAr), 128.54 (2 × CAr), 126.78 (2 × CAr), 123.52 (CAr), 122.21 (CAr), 117.84 (CAr), 99.08 (CAr); HRMS (ESI-TOF) m/z: C15H12N2; Calcu. (M+H)+: 221.1079/Found (M+H)+: 221.1095.
- 7-Chloro-2-phenylquinolin-4-amine (5b)
Quantities of 2.5 g (16.38 mmol) of 1b, 5 mL of ketone 3, and 2.23 g (16.38 mmol) of anhydrous ZnCl2 were mixed in neat form and reacted according to the general procedure (GP) for 120 min at 130 °C. The Zn-combined solid (4.08 g) was treated with NaOH (40%) solution as indicated in GP to obtain the Zn-free product 5b in a good yield as pale-yellow solid, 2.0 g (7.82 mmol, 47.8%); mp = 199.1–201.9 °C [28]; FT-IR (neat, cm−1): 3461 (N-H), 3307 (N-H), 3056, 2923, 1651 (C=N), 1607 (C=C), 1578 (C=C), 1489 (C=N), 695; 1H-NMR (400 MHz, DMSO-d6, ppm) δ: 8.21 (d, J = 8.9 Hz, 1H, HAr), 8.11–8.04 (m, 2H, HAr), 7.85 (d, J = 2.2 Hz, 1H, HAr), 7.55–7.37 (m, 4H, HAr), 7.14 (s, 1H, HAr), 7.01 (s, 2H, NH2);13C-NMR (101 MHz, DMSO-d6, ppm) δ: 157.46 (CAr), 152.60 (CAr), 149.57 (CAr), 139.53 (CAr), 133.97 (CAr), 129.13 (2 × CAr), 128.59 (CAr), 127.62 (2 × CAr), 126.86 (CAr), 124.51 (CAr), 123.78 (CAr), 116.40 (CAr), 99.51 (CAr); HRMS (ESI-TOF) m/z: C15H11ClN2; Calcu. (M+H)+: 255.0689/Found (M+H)+: 255.0695.
- 6-Chloro-2-phenylquinolin-4-amine (5c)
Quantities of 0.5 g (3.28 mmol) of 1c, 3 mL of ketone 3, and 0.45 g (3.28 mmol) of anhydrous ZnCl2 were mixed in neat form and reacted according to the general procedure (GP) for 120 min at 130 °C. The Zn-combined solid (1.1 g) was treated with NaOH (40%) solution as indicated in GP to obtain the Zn-free product 5c in a good yield as pale-yellow solid, 0.56 g (2.2 mmol, 67.0%); mp = 184.1–187.5 °C; FT-IR (neat, cm−1): 3457 (N-H), 3306 (N-H), 3027, 2918, 1653 (C=N), 1576 (C=C), 1492 (C=N), 693; 1H-NMR (400 MHz, DMSO-d6, ppm) δ: 8.31 (d, J = 2.4 Hz, 1H, HAr), 8.11–8.04 (m, 2H, HAr), 7.84 (d, J = 9.0 Hz, 1H, HAr), 7.61 (dd, J = 9.0, 2.3 Hz, 1H, HAr), 7.56–7.33 (m, 3H, HAr), 7.15 (s, 1H, HAr), 6.95 (s, 2H, NH2);13C-NMR (101 MHz, DMSO-d6, ppm) δ: 156.71 (CAr), 151.86 (CAr), 147.35 (CAr), 139.58 (CAr), 131.29 (CAr), 129.72 (CAr), 129.04 (CAr), 128.59 (2X CAr), 127.93 (CAr), 126.79 (2X CAr), 121.46 (CAr), 118.54 (CAr), 99.71(CAr); HRMS (ESI-TOF) m/z: C15H11ClN2; Calcu. (M+H)+: 255.0689/Found (M+H)+: 255.0695.
- 6-Fluoro-2-phenylquinolin-4-amine (5d)
Quantities of 0.33 g (2.43 mmol) of 1d, 3 mL of ketone 3, and 0.26 g (1.87 mmol) of anhydrous ZnCl2 were mixed in neat form and reacted according to the general procedure (GP) for 120 min at 90 °C. The Zn-combined solid (0.83 g) was treated with NaOH (40%) solution as indicated in GP to obtain the Zn-free product 5d in a good yield as colorless solid, 0.54 g (2.27 mmol, 93.4%); mp = 297–298 °C; FT-IR (neat, cm−1): 3518 (N-H), 3486 (N-H), 3316 (N-H), 3206, 3054, 3030, 1650 (C=N), 1592 (C=C), 1525 (C=C), 1474 (C=N), 1191, 817; 1H-NMR (400 MHz, DMSO-d6, ppm) δ: 8.10–8.04 (m, 2H, HAr), 7.99 (dd, J = 10.7, 2.8 Hz, 1H, HAr), 7.89 (dd, J = 9.2, 5.7 Hz, 1H, HAr), 7.57–7.39 (m, 4H, HAr), 7.14 (s, 1H, HAr), 6.84 (s, 2H, NH2);13C-NMR (101 MHz, DMSO-d6, ppm) δ: 158.41 (d, J = 241.4 Hz, CAr), 155.94 (d, J = 2.2 Hz, CAr), 152.14 (d, J = 4.6 Hz, CAr), 145.99 (CAr), 139.74 (CAr), 131.85 (d, J = 8.8 Hz, CAr), 128.91 (CAr), 128.59 (2X CAr), 126.76 (2X CAr), 118.99 (d, J = 25.3 Hz, CAr), 118.11 (d, J = 9.1 Hz, CAr), 106.09 (d, J = 22.7 Hz, CAr), 99.34 (CAr); HRMS (ESI-TOF) m/z: C15H11FN2; Calcu. (M+H)+: 239.0985/Found (M+H)+: 239.0962.
- 6-Methyl-2-phenylquinolin-4-amine (5e)
Quantities of 0.33 g (2.5 mmol) of 1e, 3 mL of ketone 3, and 0.35 g (2.5 mmol) of anhydrous ZnCl2 were mixed in neat form and reacted according to the general procedure (GP) for 120 min at 130 °C. The Zn-combined solid (0.42 g) was treated with NaOH (40%) solution as indicated in GP to obtain the Zn-free product 5e in a good yield as pale-brown solid, 0.42 g (1.79 mmol, 71.7%); mp = 197.9–201.9 °C [27]; FT-IR (neat, cm−1): 3463 (N-H), 3353 (N-H), 3306 (N-H), 3028, 2913, 1650 (C=N), 1576 (C=C), 1504 (C=N), 1448 (C=C), 815, 692; 1H-NMR (400 MHz, DMSO-d6, ppm) δ: 8.10–8.03 (m, 2H, HAr), 7.94 (s, 1H, HAr), 7.74 (d, J = 8.5 Hz, 1H, HAr), 7.53–7.38 (m, 4H, HAr), 7.09 (s, 1H, HAr), 6.70 (s, 2H, NH2), 2.47 (s, 3H, CH3); 13C-NMR (101 MHz, DMSO-d6, ppm) δ: 155.40 (CAr), 151.79 (CAr), 147.22 (CAr), 140.06 (CAr), 132.72 (CAr), 131.22 (CAr), 129.03 (CAr), 128.64 (CAr), 128.49 (2X CAr), 126.66 (2X CAr), 121.10 (CAr), 117.69 (CAr), 99.11 (CAr), 21.27 (CH3); HRMS (ESI-TOF) m/z: C16H14N2; Calcu. (M+H)+: 235.1235/Found (M+H)+: 235.1250.
- 6-Chloro-2,3-dihydro-1H-cyclopenta[b]quinolin-9-amine (7b)
Quantities of 2.5 g (16.38 mmol) of 1b, 5 mL of ketone 6a, and 2.23 g (16.38 mmol) of anhydrous ZnCl2 were mixed in neat form and reacted according to the general procedure (GP) for 120 min at 130 °C. The Zn-combined solid (5.28 g) was treated with NaOH (40%) solution as indicated in GP to obtain the Zn-free product 7b in a good yield as pale-yellow solid, 1.85 g (8.50 mmol, 51.6%); mp = 285.5–287.0 °C; FT-IR (neat, cm−1): 3462 (N-H), 3303 (N-H), 3058, 2964, 1649 (C=N), 1612 (C=C), 1564 (C=C), 1439 (C=C); 1H-NMR (400 MHz, DMSO-d6, ppm) δ: 8.16 (d, J = 8.9 Hz, 1H, HAr), 7.67 (d, J = 2.3 Hz, 1H, HAr), 7.31 (dd, J = 8.9, 2.3 Hz, 1H, HAr), 6.57 (s, 2H, NH2), 2.89 (t, J = 7.7 Hz, 2H, CH2), 2.80 (t, J = 7.3 Hz, 2H, CH2), 2.05 (p, J = 7.5 Hz, 2H, CH2); 13C-NMR (101 MHz, DMSO-d6, ppm) δ: 168.00 (CAr), 149.33 (CAr), 146.28 (CAr), 132.29 (CAr), 126.79 (CAr), 124.21 (CAr), 122.76 (CAr), 116.20 (CAr), 113.86 (CAr), 34.60 (CH2), 27.60 (CH2), 22.15 (CH2); HRMS (ESI-TOF) m/z: C12H11ClN2; Calcu.(M+H)+: 219.0689/Found (M+H)+: 219.0703.
- 3-Chloro-7,8,9,10-tetrahydro-6H-cyclohepta[b]quinolin-11-amine (9b)
Quantities of 2.5 g (16.38 mmol) of 1b, 5 mL of ketone 6c, and 2.23 g (16.38 mmol) of anhydrous ZnCl2 were mixed in neat form and reacted according to the general procedure (GP) for 120 min at 130 °C. The Zn-combined solid (5.20 g) was treated with NaOH (40%) solution as indicated in GP to obtain the Zn-free product 9b in a good yield as pale-yellow solid, 1.91 g (7.73 mmol, 47.2%); mp = 238.2–241.0 °C; FT-IR (neat, cm−1): 3458 (N-H), 3308 (N-H), 3059, 2919, 1651 (C=N), 1606 (C=C), 1559 (C=C), 1426 (C=C), 869; 1H-NMR (400 MHz, DMSO-d6, ppm) δ: 8.16 (d, J = 9.1 Hz, 1H, H-1), 7.65 (s, 1H, H-4) 7.31 (d, J = 9.0 Hz, 1H, H-2), 6.47 (s, 2H, NH2), 2.98–2.93 (m, 2H, CH2), 2.80–2.76 (m, 2H, CH2), 1.90–1.70 (m, 2H, CH2), 1.68– 1.42 (m, 4H, 2 × CH2); 13C-NMR (101 MHz, DMSO-d6, ppm) δ: 165.54 (CAr), 147.12 (CAr), 146.93 (CAr), 132.34 (CAr), 126.74 (CAr), 124.54 (CAr), 123.25 (CAr), 116.49 (CAr), 114.63 (CAr), 38.89 (CH2), 31.58 (CH2), 27.58 (CH2), 26.56 (CH2), 25.26 (CH2); HRMS (ESI-TOF) m/z: C14H15ClN2; Calcu. (M+H)+: 247.1002/Found (M+H)+: 247.1018.
- 3-Chloro-6,7,8,9,10,11-hexahydrocycloocta[b]quinolin-12-amine (10b)
Quantities of 2.5 g (16.38 mmol) of 1b, 5 mL of ketone 6d, and 2.23 g (16.38 mmol) of anhydrous ZnCl2 were mixed in neat form and reacted according to the general procedure (GP) for 120 min at 130 °C. The Zn-combined solid (5.06 g) was treated with NaOH (40%) solution as indicated in GP to obtain the Zn-free product 10b in a good yield as colorless solid, 1.96 g (7.52 mmol, 45.9%); mp = 252.7–255.0 °C; FT-IR (neat, cm−1): 3480 (N-H), 3461 (N-H), 3306 (N-H), 3095, 2925, 1646 (C=N), 1605 (C=C), 1565 (C=C), 1431 (C=C); 1H-NMR (400 MHz, DMSO-d6, ppm) δ: 1H-NMR (400 MHz, DMSO-d6) δ 8.18 (d, J = 9.0 Hz, 1H), 7.66 (d, J = 2.3 Hz, 1H), 7.30 (dd, J = 8.9, 2.3 Hz, 1H), 6.47 (s, 2H), 2.92 (t, J = 6.1 Hz, 2H), 2.85 (t, J = 6.3 Hz, 2H), 1.69 (p, J = 6.2 Hz, 2H), 1.62 (p, J = 6.1 Hz, 2H), 1.40 (p, J = 5.6 Hz, 2H), 1.23 (p, J = 5.1 Hz, 2H); 13C-NMR (101 MHz, DMSO-d6, ppm) δ: 163.60 (CAr), 147.56 (CAr), 147.48 (CAr), 132.34 (CAr), 126.76 (CAr), 124.41(CAr), 122.96 (CAr), 116.09 (CAr), 111.96 (CAr), 35.97 (CH2), 30.95 (CH2), 27.83 (CH2), 26.10 (CH2), 25.84 (CH2), 23.84 (CH2); HRMS (ESI-TOF) m/z C15H17ClN2; Calcu. (M+H)+: 261.1159/Found (M+H)+: 261.1180.
- 2-Chloro-6,7,8,9,10,11-hexahydrocycloocta[b]quinolin-12-amine (10c)
Quantities of 0.5 g (3.28 mmol) of 1c, 3 mL of ketone 6d, and 0.45 g (3.28 mmol) of anhydrous ZnCl2 were mixed in neat form and reacted according to the general procedure (GP) for 120 min at 130 °C. The Zn-combined solid (0.92 g) was treated with NaOH (40%) solution as indicated in GP to obtain the Zn-free product 10c in a good yield as pale-yellow solid, 0.34 g (1.30 mmol, 39.6%); mp = 276.4–280.3 °C; FT-IR (neat, cm−1): 3470 (N-H), 3314 (N-H), 3230 (N-H), 3159 (N-H), 2961, 2913, 1650 (C=N), 1572 (C=C), 1491 (C=N), 1438 ر, 820; 1H-NMR (400 MHz, DMSO-d6, ppm) δ: 8.27 (d, J = 2.3 Hz, 1H, HAr), 7.66 (d, J = 8.9 Hz, 1H, HAr), 7.47 (dd, J = 8.9, 2.3 Hz, 1H, HAr), 6.42 (s, 2H, NH2), 2.93 (t, J = 6.2 Hz, 2H, CH2), 2.85 (t, J = 6.3 Hz, 2H, CH2), 1.75–1.66 (m, 2H, CH2), 1.64–1.55 (m, 2H, CH2), 1.42–1.38 (m, 2H, CH2), 1.25–1.21 (m, 2H, CH2); 13C-NMR (101 MHz, DMSO-d6, ppm) δ: 162.78 (CAr), 146.68 (CAr), 145.37 (CAr), 130.44 (CAr), 128.07 (CAr), 127.22 (CAr), 121.27 (CAr), 118.26 (CAr), 112.28 (CAr), 35.97 (CH2), 30.96 (CH2), 27.79 (CH2), 26.10 (CH2), 25.82 (CH2), 23.90 (CH2); HRMS (ESI-TOF) m/z: C15H17ClN2; Calcu. (M+H)+: 261.1159/Found (M+H)+: 261.1176.
- 2-Fluoro-6,7,8,9,10,11-hexahydrocycloocta[b]quinolin-12-amine (10d)
Quantities of 0.33 g (2.43 mmol) of 1d, 3 mL of ketone 6d, and 0.26 g (1.87 mmol) of anhydrous ZnCl2 were mixed in neat form and reacted according to the general procedure (GP) for 120 min at 90 °C. The Zn-combined solid (0.70 g) was treated with NaOH (40%) solution as indicated in GP to obtain the Zn-free product 10d in a good yield as pale-yellow solid, 0.20 g (0.82 mmol, 33.7%); mp = 291–293 °C; FT-IR (neat, cm−1): 3489 (N-H), 3321 (N-H), 3123 (N-H), 2926, 2905, 1653 (C=N), 1564 (C=C), 1505 (C=N), 1451 (C=C), 1201, 821; 1H-NMR (400 MHz, DMSO-d6, ppm) δ: 7.95 (dd, J = 11.3, 2.8 Hz, 1H, HAr), 7.70 (dd, J = 9.2, 5.8 Hz, 1H, HAr), 7.37 (td, J = 8.7, 2.7 Hz, 1H, HAr), 6.29 (s, 2H, NH2), 2.93 (t, J = 6.1 Hz, 2H, CH2), 2.86 (t, J = 6.3 Hz, 2H, CH2), 1.70 (p, J = 6.5 Hz, 2H, CH2), 1.62 (p, J = 6.1 Hz, 2H, CH2), 1.43–1.39 (m, 2H, CH2), 1.26–1.21 (m, 2H, CH2);13C-NMR (101 MHz, DMSO-d6, ppm) δ: 161.75 (d, J = 2.1 Hz, CAr), 158.08 (d, J = 239.6 Hz, CAr), 146.90 (d, J = 4.5 Hz, CAr), 144.03 (CAr), 130.87 (d, J = 9.0 Hz, CAr), 117.73 (d, J = 8.9 Hz, CAr), 117.25 (d, J = 25.3 Hz, CAr), 111.87 (CAr), 105.79 (d, J = 22.5 Hz, CAr), 35.91 (CH2), 31.00 (CH2), 27.81 (CH2), 26.11 (CH2), 25.83 (CH2), 23.91 (CH2); HRMS (ESI-TOF) m/z: C15H17FN2; Calcu. (M+H)+: 245.1454/Found (M+H)+: 245.1430.
- 2-Methyl-6,7,8,9,10,11-hexahydrocycloocta[b]quinolin-12-amine (10e)
Quantities of 0.33 g (2.5 mmol) of 1e, 3 mL of ketone 6d, and 0.35 g (2.5 mmol) of anhydrous ZnCl2 were mixed in neat form and reacted according to the general procedure (GP) for 120 min at 130 °C. The Zn-combined solid (0.30 g) was treated with NaOH (40%) solution as indicated in GP to obtain the Zn-free product 10e in a good yield as pale-yellow solid, 0.18 g (0.75 mmol, 30.0%); mp = 213.1–216.5 °C; FT-IR (neat, cm−1): 3474 (N-H), 3360 (N-H), 3248 (N-H), 2924, 1643 (C=N), 1566 (C=C), 1504 (C=N), 1434 (C=C), 826; 1H-NMR (400 MHz, DMSO-d6, ppm) δ: 7.90 (s, 1H, HAr), 7.55 (d, J = 8.5 Hz, 1H, HAr), 7.31 (dd, J = 8.5, 1.9 Hz, 1H, HAr), 6.17 (s, 2H, NH2), 2.91 (t, J = 6.1 Hz, 2H, CH2), 2.84 (t, J = 6.2 Hz, 2H, CH2), 2.43 (s, 3H, CH3), 1.70 (p, J = 5.9 Hz, 2H, CH2), 1.62 (p, J = 6.1 Hz, 2H, CH2), 1.40 (p, J = 5.6 Hz, 2H, CH2), 1.23 (p, J = 5.6 Hz, 2H, CH2);13C-NMR (101 MHz, DMSO-d6, ppm) δ: 161.23 (CAr), 146.57 (CAr), 145.32 (CAr), 131.71 (CAr), 129.56 (CAr), 128.16 (CAr), 120.96 (CAr), 117.40 (CAr), 111.37 (CAr), 37.04 (CH2), 31.05 (CH2), 27.94 (CH2), 26.15 (CH2), 25.85 (CH2), 23.91 (CH2), 21.27(CH3); HRMS (ESI-TOF) m/z: C16H20N2; Calcu. (M+H)+: 241.1705/Found (M+H)+: 241.1710.
2.3. Antibacterial and Antifungal Activities
2.3.1. Microorganisms
The microorganisms used in this study were obtained from ATCC: Bacillus spizizenii (ATCC 6633), Staphylococcus aureus (ATCC 6538), methicillin-resistant Staphylococcus aureus (MRSA) (ATCC 33591), Streptococcus pyogenes (ATCC 19615), Escherichia coli (ATCC 8739), Proteus mirabilis (ATCC 12453), Klebsiella pneumoniae (ATCC 13883), Salmonella typhimurium (ATCC 14028), and Candida albicans (ATCC 10231). Others were obtained from clinical laboratories (MRSA, Streptococcus pyogenes, Klebsiella pneumonia, Salmonella typhimurium, and Candida albicans). The bacterial strains and yeast were grown at 37 °C and maintained on Nutrient Agar.
2.3.2. Well Diffusion Method
Compounds listed in Table S1 (Supplementary Materials) were tested in vitro for their antimicrobial activity against Gram-positive and Gram-negative bacteria by Kirby–Bauer method [29]. Bacterial colonies were prepared in 5 mL Phosphate Buffered Saline (PBS) at 0.5 McFarland standard (1 × 108 CFU/mL), then 100 µL of bacterial culture was inoculated on fresh Mueller–Hinton agar using a cotton swab. Next, wells were filled with 50 µL of each tested compound at the concentration of 2 mM prepared in DMSO 5%. Imipenem and Fluconazole were used as positive antibacterial controls and DMSO 5% as a negative control. The inoculated plates were incubated at 37 °C for 18 h. Antimicrobial activity was evaluated by measuring the inhibition zones against the tested organisms. The assay was repeated three times.
2.3.3. Minimum Inhibitory Concentration (MIC)
A broth microdilution method was employed to determine the minimum inhibitory concentration (MIC) [29]. The microorganisms used in this test were MRSA ATCC 33591, S. aureus ATCC 6538, S. pyogenes ATCC 19615, and clinical MRSA. Bacterial suspensions were prepared to 0.5 McFarland standard. Two-fold serial dilution was prepared in this experiment to obtain the concentration range of the derived compounds (1–0.00195) [30]. Mueller–Hinton broth was used as a diluent. The compounds concentration was 2 mM. The 96-micro well plates were prepared by dispensing 100 µL of an appropriate medium into each well, followed by the addition of 100 µL of the tested compounds to the first well and dilution to well ten and finally the addition of 100 µL of bacterial inoculums to each well. Each experiment included a sterility check (medium), negative control (medium), and positive control (medium and inoculum) [31,32]. The micro-well plates were covered with a sterile sealer and incubated at 37 °C for 24 h. The absorbance was read at 570 nm using a microtiter plate reader.
2.3.4. Minimum Bactericidal Concentration (MBC)
After MIC determination of the compounds, 10 µL from all the wells that showed no visible bacterial growth (no turbidity) were seeded on Mueller–Hinton agar plates and incubated for 24 h at 37 °C. When 99.9% of the bacterial population is killed at the lowest concentration of an antimicrobial agent, it is termed as MBC endpoint. This assay was performed by observing pre- and post-incubated agar plates for the presence or absence of bacteria [31,32].
2.4. Molecular Docking Methodology
2.4.1. Software Packages
We Used the Following Software
- CS ChemDraw® Ultra Cambridge Soft Corp. (www.cambridgesoft.com, accessed in 15 October 2024) as a 2D chemical drawing tool.
BIOVIA. Discovery Studio® 4.1 (DS 4.1) implemented with Standalone Application, https://www.3dsbiovia.com, accessed in 15 October 2024, for ligand docking protocols.
2.4.2. Ligand Preparation and Molecular Docking
Protein Preparation
The receptor structures used in this study were retrieved from the Protein Data Bank (PDB). Two proteins were targeted: the MRSA–Penicillin Binding Protein 2a (PBP2a) (PDB code: 4DKI, resolution = 2.9 Å) and the MRSA integrase enzyme (PDB code: 3NKH, resolution = 2.5 Å). Both proteins were prepared by adding hydrogens and ensuring all-atom valencies were satisfied to enable accurate docking simulations. The proteins were standardized for docking by using the Define Site from PDB Site Records protocol in Discovery Studio 4.1 (BIOVIA), which identified the binding pockets based on the PDB site records.
Ligand Preparation
The ligands were prepared using the Prepare Ligands protocol in Discovery Studio 4.1. This protocol standardized the charges for common groups, represented the ligands in Kekulé form, and fixed their ionization states at physiological pH (pH = 7) to ensure consistency in ligand representation. The prepared ligands were then docked into the defined binding pockets of the two proteins.
Binding Site Definition
The binding sites for the receptors were defined using the following parameters:
- PBP2a Binding Site:
The binding site of MRSA–Penicillin Binding Protein 2a (PBP2a) was centered at coordinates X = 27.060575, Y = 25.812963, and Z = 80.608915, with dimensions of 2.034884 Å in length, 1.547685 Å in width, and 0.838396 Å in height. The orientation of the binding site was described by the following three vectors: (−0.187688, −0.291828, 2.005084), (−0.910866, 1.247547, 0.096310), and (−0.673394, −0.481387, −0.133097).
- 3NKH Integrase Enzyme Binding Site:
The binding site of the MRSA integrase enzyme was centered at coordinates X = 4.660522, Y = 7.027135, and Z = 39.349048, with dimensions of 3.368529 Å in length, 0.990695 Å in width, and 0.692630 Å in height. The orientation of the binding site was described by the following three vectors: (−0.367956, −1.454230, 3.016092), (−0.980396, −0.037196, −0.137540), and (0.064797, −0.624219, −0.293066).
2.5. Docking Procedure
Molecular docking was conducted using the LigandFit Docking Protocol in Discovery Studio 4.1 (BIOVIA). Ligands were docked into the predefined binding sites using a multi-stage process. First, the site was partitioned by matching the ligand and site shapes. Then, the selected ligand conformation was positioned within the binding site. A rigid-body energy minimization step followed utilizing the DockScore energy function to refine the ligand pose within the binding site. Finally, a pose-saving algorithm was applied to compare the candidate pose with previously stored poses, ensuring that redundant (similar) poses were excluded from further analysis.
The Monte Carlo trials were employed during the docking process to explore the conformational and positional space of the ligands within the binding site. This stochastic method allowed for efficient sampling of ligand poses and ensured a thorough exploration of the binding site. The Deriding energy grid was used for energy calculations during the docking process, providing accurate results based on the molecular mechanics force field. Additionally, an RMS threshold of 2 was applied for pose convergence to ensure that only high-confidence poses were considered for analysis.
2.5.1. Scoring and Evaluation
The docked ligand poses were evaluated using a variety of scoring functions integrated into the LigandFit protocol. These included CDOCKER Scores, which utilized the CHARMm forcefield for physics-based evaluations [33], and empirical scoring functions such as LigScore1 and LigScore2 [34]. The PLP1 and PLP2 scoring functions [35] were used for their piecewise linear potential approximations while the Jain scoring function [36] evaluated hydrophobic, polar, and steric interactions. Knowledge-based scoring functions, including PMFand PMF04, were also applied [37] using statistical potentials derived from the Protein Data Bank (PDB).
2.5.2. Ligand Pose Analysis
Following the docking step, the Analyze Ligand Poses protocol in Discovery Studio 4.1 was employed to calculate and enumerate the non-bond receptor–ligand interactions for the ligand poses generated in the docking run. This protocol identifies various interaction types, including favorable, unfavorable, charge, halogen, hydrophobic, and hydrogen bond interactions. Table S2 (Supplementary Materials) provides a summary of these interactions.
3. Results
3.1. Synthesis and Characterization
Synthesis was carried out using different substituted 2-aminobenzonitriles 1a–e on the 2 and 3 positions (as indicated in Scheme 1 and Scheme 2) to achieve different quinoline derivatives. The condensation reaction was achieved with a large excess of acetone (2) and acetophenone (3) to prevent the possible decomposition of the starting materials at their melting points. The 2-substituted quinoline-4-amine derivatives 4a–e and 5a–e were obtained in good-to-excellent yields of 42–93% (Scheme 1).
Scheme 1.
Reaction of substituted 2-aminobenzonitriles 1a–e and methylketones 2 and 3.
Scheme 2.
Reaction of substituted 2-aminobenzonitriles 1a–e and cycloketones 6a–d.
The reaction of 2-aminobenzonitriles 1a–e with cyclic ketones 6a–d and ZnCl2 yielded tetrahydroacridines 8a–e, and cycloalka[b]quinolines 7a–e, 9a–e, and 10a–e in good-to-excellent yields of 30–95% (Scheme 2).
Green synthesis principles guided the development of these promising small molecules. The reaction of 2-aminobenzonitriles 1a–e with ketones was performed under solvent-free, MW-assisted conditions using ZnI2 as a catalyst. To improve cost-effectiveness, the reaction was also conducted with the more affordable and safer anhydrous ZnCl2, yielding comparable results. One equivalent of ZnCl2 was used to achieve the completion of the reaction. Due to the volume limitations of microwave vessels, the reactions were successfully scaled up in sealed tubes heated at 90–150 °C for 1–2 h, achieving similar yields to those obtained under microwave conditions.
The Zn-bound products were washed three times with dichloromethane (DCM) to remove excess starting materials and any side products, taking advantage of the low solubility of the products in DCM. The purity of the Zn-bound products was confirmed using NMR analysis. In the second step, the Zn-bound solids were dissolved in isopropanol and treated with 40% NaOH solution at RT for 30 min, yielding the Zn-free final products in highly pure form, as confirmed by NMR and HRMS (see Supplementary Information). No further purification methods were required.
The FT-IR spectra of all products were recorded to observe two to three weak broad peaks in the region of 3500–3300 cm−1 belonging to the NH2 stretching. At the same time, all compounds showed strong-to-medium peaks between 1650 and 1450 cm−1, proving the C=N and C=C stretching bands of the quinoline rings (see Supplementary Information). The presence of the Zn2+ ion combined with the product after the MW step showed an effect on the shape and the chemical shift of the 1H-and 13C-NMR peaks, especially the 1H-NMR peaks of NH2 protons. The protons of the aromatic ring, as well the protons of NH2, appeared broader with a slightly higher chemical shift in the presence of the Zn ion (Figure 2A), and sometimes the C-H peaks lost their multiplicity, as compared with the Zn-free product after the treatment of the Zn-bound product with the NaOH (40%) solution (Figure 2B) of compound 7b (Scheme 3). The chemical shift values of the 1H-NMR of compound 7b are summarized in Table 1.
Figure 2.
(A) 1H-NMR spectra of the aromatic region of Zn-bound 7b; (B) 1H-NMR spectra of the aromatic region of Zn-free 7b.
Scheme 3.
The structure of compound 7b including numbering of carbon atoms.
Table 1.
The chemical shift (δ = ppm) of the NH2 and aromatic protons of Zn-bound and Zn-free compounds of 7b.
In the aromatic region of the 13C-NMR, nine peaks were observed for the quinoline moiety, e.g., compound 7b, Figure 3. The Zn-free product showed a slight difference in the chemical shift compared with the Zn-bound one.
Figure 3.
(A) 13C-NMR spectra of the aromatic region of Zn-bound 7b; (B) 13C-NMR spectra of the aromatic region of Zn-free 7b.
The synthesis of the fluorinated quinoline derivatives 4d, 5d, and 7d–10d was conducted using the same chemical procedure except that the reaction temperature was applied to 90 °C, which was around the melting point of the starting material, 2-amino-5-fluorobenzonitrile (1d).
As the reaction was carried out over this temperature, the decomposition of 1d in the reaction tube was observed. The fluorinated products 4d, 5d, and 7d–10d showed characteristic 1H- and 13C-NMR spectra according to the coupling behavior of 19F-atom with both 1H and 13C. The high-resolution mass spectrometry (HRMS) values of all compounds were recorded to prove the purity of final products in order to carry out the biological studies.
3.2. Antibacterial and Antifungal Activity
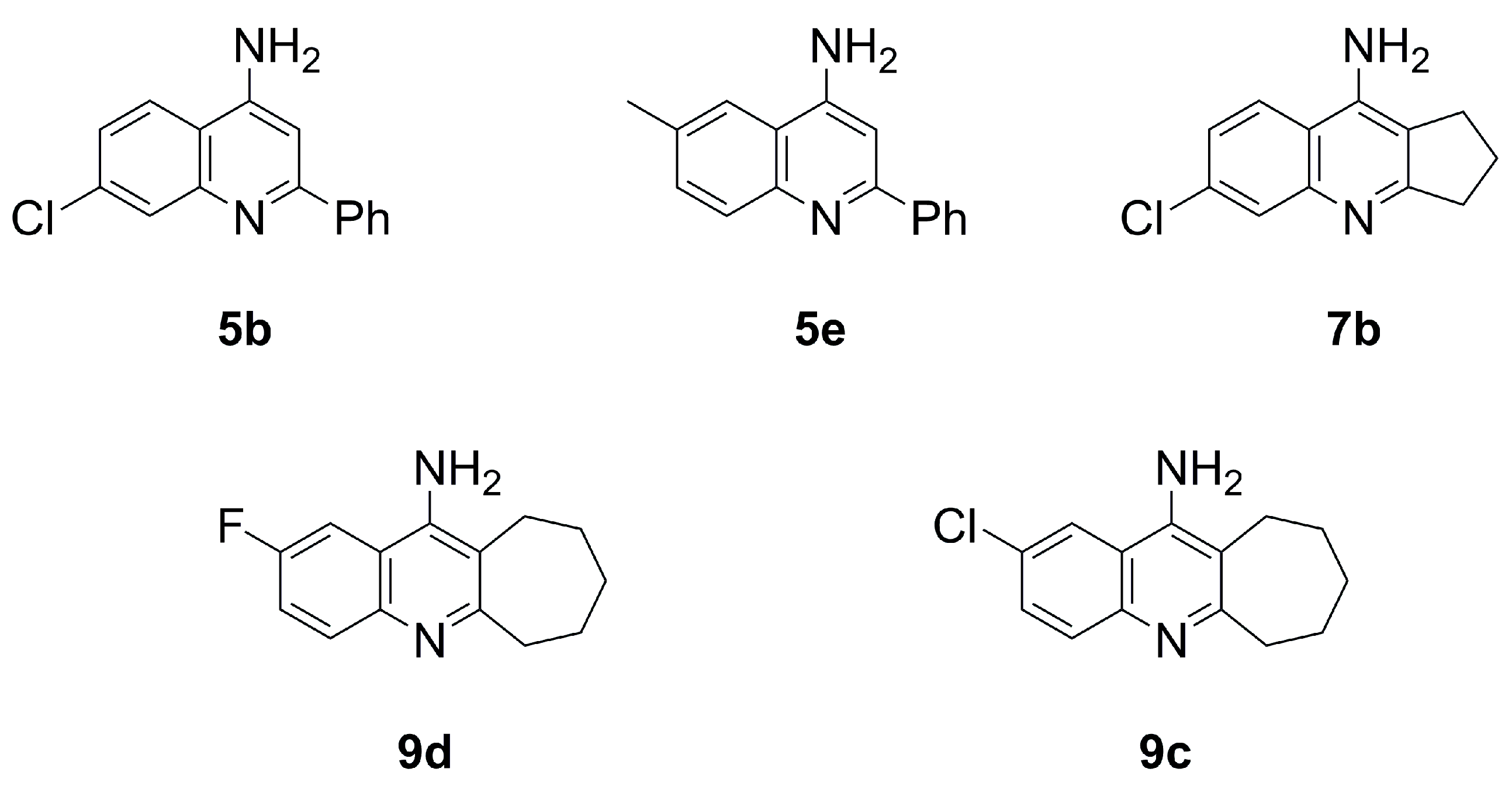
The newly synthesized compounds 4–10 were evaluated, adopting the well diffusion method, for their antibacterial activity using the Gram-negative and Gram-positive bacterial strains as described in the Methods section [29]. Only four compounds—5b, 5e, 7b, and 9d—were found to exhibit antibacterial activity (Scheme 4). Compounds 5b, 5e, and 7b were found to have a modest inhibition effect against methicillin-resistant Staphylococcus aureus (MRSA), with 7b being the best (Table 2).
Scheme 4.
Structures of antimicrobial compounds 5b, 5e, 7b and 9d.
Table 2.
Antimicrobial activity of compounds 5b, 5e, 7b, 9c and 9d by agar diffusion method. The data represent the diameter of the zone of inhibition in mm. (NZ = No zone of inhibition.).
Compound 9d exhibited good activity against three bacteria strains: Staphylococcus aureus, Streptococcus pyogenes, and clinical MRSA. The best activity of this compound was against Streptococcus pyogenes (Table 2).
The minimum inhibitory concentration (MIC) and minimum bactericidal concentration (MBC) were determined as shown in Table 3. Compound 7b exhibited a good MIC against MRSA (0.125 mM); also, compound 9d exhibited a good MIC against S. pyogenes (0.25 mM) (Table 3) [30,31]. Imipenem was used as a reference for the antibacterial activity.
Table 3.
Minimum inhibitory concentration (MIC) and minimum bactericidal concentration (MBC) (in mM) results for the synthesized compounds 7b and 9d (NT = Not Tested).
3.3. Results of the Molecular Docking Experiment
Methicillin-resistant Staphylococcus aureus (MRSA) is a strain of S. aureus that has developed resistance to the Beta-lactam antibiotics [38]. The results in Table 2 indicate that compounds 5b, 5e, and 7b had clear antibacterial effects on the MRSA ATCC 33591 strains with inhibition zones of 12.5, 8.0, and 20 mm, respectively (Table 2). Simultaneously, these compounds showed no activity against the clinical MRSA strains (Table 2). Meanwhile, compound 9d exhibited antibacterial effects on the clinical MRSA strains (inhibition zone = 22 mm), and no inhibitory activity was observed against the non-clinical MRSA strains. This variation in activity between these compounds suggests different mechanisms of action in inhibiting the different MRSA strains.
In general, the inhibition of MRSA happens through two different mechanisms. Firstly, it occurs through inhibiting the transpeptidase enzymes also known as Penicillin Binding Proteins (PBPs) [39]. PBPs are responsible for crosslinking the bacterial cell wall and thus protecting the bacteria from osmotic pressure and ultimately cell lysis and bursting. Secondly, it occurs through inhibiting the integrase enzyme [39]. The integrase enzyme is a nucleic acid processing enzyme found in bacteriophages [40]. Integrase is responsible for inserting the DNA resistance genome into the MRSA genome. Integrase enzymes aid in the movement of specific DNA fragments from one DNA molecule to another and hence help in developing resistance in clinical and nosocomial bacterial strands [40].
To clarify the molecular mechanism of action of our anti-MRSA active compounds, we investigated their interaction with PBP2a (PDB code: 4DKI (https://www.rcsb.org accessed in 15 October 2024); resolution 2.9 Å) and the integrase enzyme (PDB code: 3NKH (https://www.rcsb.org, accessed in 15 October 2024); resolution 2.5 Å).
3.3.1. Docking of Anti-MRSA Active Compounds into the Binding Pocket of MRSA PBP2a
Both compounds 5b and 7b could accommodate clear interactions with residue Gln521 (Figure 4). In addition, compound 7b could accommodate extra Pi-alkyl interaction with residue Tyr519 (Figure 4A,B).
Figure 4.
Active compounds docked into the Penicillin Binding Protein (PBP) enzyme structure (PDB code: 4DK1): (A) docked structure of 7b; (B) 2D docked structure of 7b. The types of molecular interactions observed are represented as follows: van der Waals contacts are shown with light green shaded residues; conventional hydrogen bonds are depicted as bright green dashed lines; halogen bonds are shown as cyan dashed lines; Pi-Sigma interactions are indicated by purple dashed lines and/or purple shading on the interacting residue; Alkyl interactions involve light pink shaded residues; and Pi-Alkyl interactions are represented by light pink dashed lines.
This extra interaction could explain the anti-MRSA superiority of compound 7b over compound 5b. Moreover, compounds 5b and 7b showed several Pi-alkyl, Pi-sigma, and alkyl interactions with residue Ala601. Although the binding modes of compounds 5b and 7b were different and were positioning the chlorine atom in opposite directions, still, in both compounds, the chlorine atom was able to make critical interactions inside the Penicillin Binding Protein (PBP2a) enzyme binding pocket so that the chlorine atom was able to accommodate halogen interaction and Pi-alkyl interactions with Gln521 and Tyr519. On the other side, the chlorine atom in compound 5b was able to make several bonding interactions with residues Try616 and Asn632 (Figure 5A,B).
Figure 5.
Active compounds docked into the Penicillin Binding Protein (PBP) enzyme structure (PDB code: 4DK1): (A) 2D docked structure of 5b; (B) docked structure of 5b. The types of molecular interactions observed are represented as follows: van der Waals contacts are shown with light green shaded residues; conventional hydrogen bonds are depicted as bright green dashed lines; halogen bonds are shown as cyan dashed lines; Pi-Sigma interactions are indicated by purple dashed lines and/or purple shading on the interacting residue; Alkyl interactions involve light pink shaded residues; and Pi-Alkyl interactions are represented by light pink dashed lines.
Compound 9d failed to accommodate properly inside the PBP2a binding pocket due to the huge heptacyclic ring and the lack of chlorine atoms within its structure. The only interactions that compound 9d was able to make were the van der Waals and the alkyl interactions (Figure 6A,B).
Figure 6.
Active compounds docked into the Penicillin Binding Protein (PBP) enzyme structure (PDB code: 4DK1): (A) docked structure of 9d; (B) 2D docked structure of 9d. The types of molecular interactions observed are represented as follows: van der Waals contacts are shown with light green shaded residues; conventional hydrogen bonds are depicted as bright green dashed lines; halogen bonds are shown as cyan dashed lines; Pi-Sigma interactions are indicated by purple dashed lines and/or purple shading on the interacting residue; Alkyl interactions involve light pink shaded residues; and Pi-Alkyl interactions are represented by light pink dashed lines.
The docking results (Table 4) highlighted distinct differences in the performances of 7b and 9d. Compound 7b demonstrated good binding affinity with a docking score of −1.916, indicating a more stable interaction with the target compared to 9d, which had a score of −1.148. Furthermore, 7b exhibited stronger polar interactions, reflected by higher PLP1 (59.15), compared to 9d, which achieved a PLP1 value of 51.16.
Table 4.
Docking results for 7b and 9d inside the binding pocket of MRSA–Penicillin Binding Protein 2a (PBP2a) (PDB code: 4DKI, resolution = 2.9Å), showing key binding parameters including Ligscore (1 and 2), PLP1, PLP2, Jain score, PMF, docking score, and Ligand Internal Energy.
Additionally, 7b showed favorable internal energy (−0.3) and higher steric complementarity (9.93) versus 9d, which had an internal energy of 2.15 and lower steric complementarity (−16.25). These findings suggest that 7b had stronger binding potential and may be a more promising candidate for further investigation.
3.3.2. Docking of the Anti-MRSA Active Compounds into the Binding Pocket of MRSA Integrase
According to the obtained results in Table 2, it was clear that compound 9d was showing a noticeable inhibitory activity against the clinical MRSA strain (inhibition zone = 14 mm). Meanwhile, no other compound showed any activity against this strain of bacteria. Remarkably, compound 9c also showed no activity against the resistant MRSA clinical strain of bacteria although both compounds 9c and 9d represented very similar isosteres that differed only in the halogen atom on position 6, wherein compound 9d acquired the fluorine atom and compound 5e acquired the chlorine atom.
Upon investigating the MRSA pathogenicity and its underlying molecular mechanisms, we found that nearly all S. aureus strains could acquire up to four bacteriophages, classified into eight families based on the integrase gene and integration site [40]. Briefly, the integrase enzyme is a nucleic acid processing enzyme found in bacteriophages. Integrase is responsible for inserting the DNA genome into the MRSA genome. The genetic modification caused by the integrase enzyme is related to the resistance properties of MRSA and other virulent pathogenic processes caused by this bacterium.
Compound 9d (MIC = 1 mM against clinical MRSA) lay freely inside the MRSA integrase binding site (Figure 7 and Figure 8). Several interactions were observed. The most interesting were the strong Pi-cation and charge interactions between 9d and Arg46 and Asp191, in addition to hydrogen bonding with His167. Moreover, the fluorine atom was able to act as a hydrogen bond acceptor and make a hydrogen bonding interaction with Ile47 (Figure 7A,B). The fluorine-Ile47 hydrogen bonding interaction seemed to be very critical since 9c (the chlorine isostere of 9d) failed to acquire this specific interaction and hence showed no inhibitory activity against the clinical MRSA strains (Figure 8A,B). Compound 9d demonstrated good binding properties as reflected in its docking scores (Table 5). Specifically, 9d had a Ligscore1 of 2.42, Ligscore2 of 3.09, PLP1 of 24.22, and PLP2 of 42.31, significantly outperforming 9c, which scored 0.78, 2.4, 16.85, and 20.76, respectively. Compound 9d’s higher docking score of 20.617 compared to 9c’s 13.094 highlighted its stronger binding affinity.
Figure 7.
Active compounds docked into the integrase enzyme structure (PDB code: 3NKH): (A) docked structure of 9d; (B) 2D docked structure of 9d. The molecular interactions observed are represented as follows: van der Waals contacts are shown with light green shaded residues; Attractive Charge interactions are depicted as orange dashed lines; Conventional Hydrogen Bonds are shown as bright green dashed lines; Pi-Cation or Pi-Anion interactions are indicated by an orange dashed line involving an orange shaded residue; Pi-Donor Hydrogen Bonds are shown as light green-grey dashed lines; Pi-Pi T-shaped stacking interactions are represented by magenta dashed lines; and Pi-Alkyl interactions are depicted as light pink dashed lines.
Figure 8.
Active compounds docked into the integrase enzyme structure (PDB code: 3NKH): (A) Docked structure of 9c; (B) 2D docked structure of 9c. The molecular interactions observed are represented as follows: van der Waals contacts are shown with light green shaded residues; Attractive Charge interactions are depicted as orange dashed lines; Conventional Hydrogen Bonds are shown as bright green dashed lines; Pi-Cation or Pi-Anion interactions are indicated by an orange dashed line involving an orange shaded residue; Pi-Donor Hydrogen Bonds are shown as light green-grey dashed lines; Pi-Pi T-shaped stacking interactions are represented by magenta dashed lines; and Pi-Alkyl interactions are depicted as light pink dashed lines.
Table 5.
Docking results for 5e and 9d inside the binding pocket of MRSA integrase enzyme (PDB code: 3NKH, resolution = 2.5Å), showing key binding parameters including Ligscore (1 and 2), PLP1, PLP2, Jain score, PMF, docking score, and Ligand Internal Energy.
Notably, 9d exhibited critical Pi-cation and charge interactions with Arg46 and Asp191, hydrogen bonding with His167, and a unique fluorine-mediated hydrogen bond with Ile47, which appeared to be vital for its activity. The inability of 9c to form this specific interaction with Ile47 likely accounted for its lack of inhibitory activity.
3.3.3. Ligand Pose Analysis Inside the Binding Pocket of MRSA–Penicillin Binding Protein 2a (PBP2a)
Our docking run resulted in 110 poses for our docked compounds inside the binding pocket of the MRSA PBP2A (PDB code: 4DK1). Table S2 (Supplementary Materials) shows the statistical residue analysis for the non-bond receptor–ligand interactions. Clearly, the interaction analysis revealed a strong binding profile characterized by a mix of hydrophobic and hydrogen-bond interactions. Hydrophobic interactions dominated, particularly from residues ALA601and ILE614, which contributed significantly to the binding affinity with 110 and 101 interactions, respectively. Polar residues such as SER400 and THR399 enhanced specificity through numerous hydrogen bonds (59 and 31, respectively) while halogen bonds from THR399 and others added unique stabilizing features.
This combination of strong hydrophobic and specific polar interactions indicates a robust and well-balanced binding mechanism. Key residues such as ALA601, ILE614, and SER400 could serve as focal points for further optimization in drug design or structural studies, given their critical roles in stabilizing the interaction.
The statistical residue analysis aligned with the docking data of anti-MRSA compounds 5b, 7b, and 9d in the MRSA PBP2a binding pocket, highlighting key interactions critical to their activity.
Both 5b and 7b interacted significantly with Gln521, a residue shown in the statistical data to form 29 hydrogen bonds, emphasizing its role in stabilizing ligand binding. Compound 7b’s additional Pi-alkyl interaction with Tyr519 explains its superior MRSA inhibition (20 mm zone vs. 12.5 mm for 5b, Table 2). Ala601, which formed the highest number of hydrophobic interactions (110 in the statistical data), was crucial for the binding of both compounds, as indicated by their Pi-alkyl, Pi-sigma, and alkyl interactions with this residue.
The chlorine atom in both 5b and 7b interacted with Gln521 and Tyr519, facilitating halogen and Pi-alkyl interactions, consistent with the statistical finding of halogen bonding for Tyr399, Asn632, and Trp616 (8–30 interactions). Compound 5b additionally formed halogen bonds with Trp616 and Asn632 residues identified as minor contributors in the analysis. Conversely, 9d’s lack of a chlorine atom and bulky heptacyclic ring limited its interactions to weaker van der Waals and alkyl interactions, which explains its failure to properly bind and its reduced activity.
4. Discussion
The presented research focused on the green synthesis and characterization of 4-aminoquinoline derivatives and their activities as antibacterial agents against resistant bacterial strains (MRSA). The study involved benign preparation procedures, structural characterization, bioactivity determination, and molecular docking studies, ending in an investigation of their mechanism of action and a thorough analysis of their antibacterial activities.
The synthesis of 4-aminoquinoline derivatives was achieved using a microwave-promoted, solvent-free condensation reaction with zinc halides catalysts (ZnI2 and ZnCl2). The green chemical process produced excellent yields of 65–95% while using less energy and wasting no solvents. The upscaling of the reaction was achieved through the use of sealed tubes. Molecular structures were determined using spectroscopy techniques (NMR, FTIR, and HRMS). 1H- and 13C-NMR spectra showed a significant difference between Zn-bound and Zn-free 4-aminoquinolines. The Zn-bound had broader NH2 peaks, as well as altered aromatic proton multiplicities and shapes, due to the coordination with Zn2+ ions. The treatment of the Zn-bound compound with 40% NaOH solution produced Zn-free compounds. The syntheses of fluorinated derivatives such as 4d and 5d involved dealing carefully with reaction temperature. The reaction was carried out at 90 °C to prevent decomposition due the sensitivity of fluorinated precursors. High-resolution mass spectrometry (HRMS) and NMR measurements confirmed the purity of the target compounds, with no additional purification processes, a significant condition in terms of drug development.
The screening for antimicrobial activity showed significant activities of compounds 7b and 9d. Compounds 7b (MIC = 0.125 mM) and 9d (MIC = 0.25 mM) showed strong activity against MRSA ATCC 33591 and S. pyogenes ATCC 19615, respectively. Compound 7b showed better activity for MRSA ATCC 33591 over clinical MRSA strains, indicating strain-specific processes, while compound 9d gave a broader range of activity, inferring a target with a different mechanism of activity. The presence of halogens (Cl in 7b, F in 9d) seemed to be significant for activity, possibly due to electronic and steric factors contributing to target complexation.
Molecular docking studies provided information regarding compounds 7b and 9d’s mechanisms of action. Compound 7b showed a high preference for PBP2a (docking score: 34.317) through halogen bonding with Gln521 and Tyr519, supplemented with a hydrophobic contact with Ala601. The presence of a chlorine atom seemed to facilitate π-alkyl and halogen bonding, enhancing its binding efficiency over other compounds. Statistical residue analysis supported Ala601 and Tyr519’s importance, which explains 7b’s efficacy towards MRSA ATCC 33591. On the other hand, compound 9d selectively inhibited integrase (docking score: 20.617) by forming hydrogen bonds with His167 and Ile47 through fluorine atom, and charge with Arg46/Asp191. The small atomic size of the fluorine helped in creating specific contacts not observed in the presence of the chlorine atom. Therefore, 9d’s activity towards MRSA strains could be understood. Concluded through such a mechanism, 9d disrupted virulence gene integration processes through its activity towards integrase, an activity involved in the integration of phage-conferred resistances.
A structure–activity relationship study clarified the importance of halogen substituents. Chlorine in 5b and 7b enhanced PBP2a binding through halogen bonds while fluorine in 9d enabled integrase inhibition via hydrogen bonding. The sizes and shapes of the ring systems also played a significant role. Bulky cyclohepta-ring moiety, as in 9d, favored integrase binding but hindered PBP2a interaction, highlighting the need for target-specific structural optimization.
5. Conclusions
4-aminoquinoline derivatives were synthesized using solvent-free MW-assisted reaction and scaled up in sealed tubes to obtain the same yields. Different substituted 2-aminobenzonitriles were reacted with some methylketones and cyclic ketones to achieve different quinoline derivatives. The purity of all products was approved using different spectroscopic methods. The SI file contains Table S3 with literary melting points and the references. All compounds were tested for antibacterial activity, and four compounds were found to exhibit moderate antibacterial activity. Compound 7b showed a moderate MIC against MRSA while 9d exhibited weaker activity against S. Pyogenes. Furthermore, a structure–activity relationship (SAR) docking study was performed inside the Penicillin Binding Protein (PBP). The docking analysis of our synthesized anti-MRSA compounds 5b, 7b, and 9d inside the MRSA PBP2a binding pocket (PDB: 4DK1) showed that 7b and 5b exhibited binding through hydrophobic (ALA601, ILE614), hydrogen bonding (GLN521), and halogen (TYR519, THR399) interactions, with 7b showing moderate MRSA inhibition due to additional Pi-alkyl interactions and favorable docking parameters, including a higher Ligscore2 (4.03), PLP1 (59.15) and docking score (34.31). Compound 9d showed weaker activity due to its bulky structure, limited interactions, and less favorable scores. The next step of this work will focus on structural modifications and the further derivatization of the potent compounds to enhance their activities.
Supplementary Materials
The following supporting information can be downloaded at: https://www.mdpi.com/article/10.3390/chemistry7030071/s1, Figures S1–S6: Spectral data (1H-, 13C-NMR, Dept135, FTIR and HRMS); Table S1: Antimicrobial activity of various chemical compounds by agar diffusion method, with the diameters of zones of inhibition measured in mm; Table S2: Statistical residue analysis of receptor–ligand interactions inside MRSA–Penicillin Binding Protein 2a (PBP2a); Table S3: Melting points for the known compounds, consistent with literature values. References [22,23,24,25,26,27,28,41] is cited in the Supplementary Materials.
Author Contributions
Conceptualization, P.A.K. and L.A.A.-M.; methodology, U.A.A.S., A.H.A.S., M.K.A.-S. and N.J.M.; software, R.S.; formal analysis, L.A.A.-M., U.A.A.S. and A.H.A.S.; resources, L.A.A.-M.; data curation, U.A.A.S., A.H.A.S. and N.J.M.; writing—original draft preparation, L.A.A.-M.; writing—review and editing, P.A.K., R.S. and M.K.A.-S.; supervision, P.A.K. and L.A.A.-M.; project administration, L.A.A.-M.; funding acquisition, L.A.A.-M. All authors have read and agreed to the published version of the manuscript.
Funding
This work was supported by the Hashemite University (HU) via research grant no. 113/2022.
Data Availability Statement
Data are contained within the article or Supplementary Materials.
Acknowledgments
The authors thank the Hashemite University (HU) for the financial support and Al-Zaytoonah University of Jordan (ZU) for the biological studies. Many thanks also go to the NMR and IR unit at HU and Naba Hikma Labs for the high-resolution mass spectrometry (HR-MS).
Conflicts of Interest
The authors declare no conflicts of interest.
References
- Anastas, P.; Eghbali, N. Green Chemistry: Principles and Practice. Chem. Soc. Rev. 2010, 39, 301–312. [Google Scholar] [CrossRef] [PubMed]
- Bassyouni, F.A.; Abu-Bakr, S.M.; Rehim, M.A. Evolution of microwave irradiation and its application in green chemistry and biosciences. Res. Chem. Intermed. 2012, 38, 283–322. [Google Scholar] [CrossRef]
- Van Praet, S.; Preegel, G.; Rammal, F.; Sels, B.F. One-Pot Consecutive Reductive Amination Synthesis of Pharmaceuticals: From Biobased Glycolaldehyde to Hydroxychloroquine. ACS Sustain. Chem. Eng. 2022, 10, 6503–6508. [Google Scholar] [CrossRef]
- Ray, R.L. Alkaloids—The World’s Pain Killers. J. Chem. Educ. 1960, 37, 451–454. [Google Scholar] [CrossRef]
- Nainwal, L.M.; Tasneem, S.; Akhtar, W.; Verma, G.; Khan, M.F.; Parvez, S.; Shaquiquzzaman, M.; Akhter, M.; Alam, M.M. Green Recipes to Quinoline: A Review. Eur. J. Med. Chem. 2019, 164, 121–170. [Google Scholar] [CrossRef] [PubMed]
- Matada, B.S.; Pattanashettar, R.; Yernale, N.G. A Comprehensive Review on the Biological Interest of Quinoline and Its Derivatives. Bioorg. Med. Chem. 2021, 32, 115973. [Google Scholar] [CrossRef] [PubMed]
- Kaur, K.; Jain, M.; Reddy, R.P.; Jain, R. Quinolines and Structurally Related Heterocycles as Antimalarials. Eur. J. Med. Chem. 2010, 45, 3245–3264. [Google Scholar] [CrossRef]
- Browning, D.J. Pharmacology of Chloroquine and Hydroxychloroquine. In Hydroxychloroquine and Chloroquine Retinopathy; Browning, D.J., Ed.; Springer: New York, NY, USA, 2014; pp. 35–63. ISBN 978-1-4939-0597-3. [Google Scholar] [CrossRef]
- Pandey, A.V.; Bisht, H.; Babbarwal, V.K.; Srivastava, J.; Pandey, K.C.; Chauhan, V.S. Mechanism of Malarial Haem Detoxification Inhibition by Chloroquine. Biochem. J. 2001, 355, 333–338. [Google Scholar] [CrossRef]
- Kimura, T.; Takabatake, Y.; Takahashi, A.; Isaka, Y. Chloroquine in Cancer Therapy: A Double-Edged Sword of Autophagy. Cancer Res. 2013, 73, 3–7. [Google Scholar] [CrossRef]
- Li, X.; Wang, Y.; Agostinis, P.; Agostinis, P.; Rabson, A.; Melino, G.; Carafoli, E.; Shi, Y.; Sun, E. Is hydroxychloroquine beneficial for COVID-19 patients? Cell Death Dis. 2020, 11, 512. [Google Scholar] [CrossRef]
- Tzekov, R. Ocular Toxicity Due to Chloroquine and Hydroxychloroquine: Electrophysiological and Visual Function Correlates. Doc. Ophthalmol. 2005, 110, 111–120. [Google Scholar] [CrossRef]
- Verbaanderd, C.; Maes, H.; Schaaf, M.B.; Sukhatme, V.P.; Pantziarka, P.; Sukhatme, V.; Agostinis, P.; Bouche, G. Repurposing Drugs in Oncology (ReDO)—Chloroquine and Hydroxychloroquine as Anti-Cancer Agents. Ecancermedicalscience 2017, 11, 781. [Google Scholar] [CrossRef] [PubMed]
- Zhou, W.; Wang, H.; Yang, Y.; Chen, Z.-S.; Zou, C.; Zhang, J. Chloroquine against Malaria, Cancers and Viral Diseases. Drug Discov. Today 2020, 25, 2012–2022. [Google Scholar] [CrossRef] [PubMed]
- Lei, Z.-N.; Wu, Z.-X.; Dong, S.; Yang, D.-H.; Zhang, L.; Ke, Z.; Zou, C.; Chen, Z.-S. Chloroquine and Hydroxychloroquine in the Treatment of Malaria and Repurposing in Treating COVID-19. Pharmacol. Ther. 2020, 216, 107672. [Google Scholar] [CrossRef] [PubMed]
- Nardi, N.; Baumgarten, L.G.; Dreyer, J.P.; Santana, E.R.; Winiarski, J.P.; Vieira, I.C. Nanocomposite Based on Green Synthesis of Gold Nanoparticles Decorated with Functionalized Multi-Walled Carbon Nanotubes for the Electrochemical Determination of Hydroxychloroquine. J. Pharm. Biomed. Anal. 2023, 236, 115681. [Google Scholar] [CrossRef]
- Bray, P.; Park, B.; Asadollaly, E.; Biagini, G.; Jeyadevan, J.; Berry, N.; Ward, S.; O’Neill, P. A Medicinal Chemistry Perspective on 4-Aminoquinoline Antimalarial Drugs. Curr. Top. Med. Chem. 2006, 6, 479–507. [Google Scholar] [CrossRef]
- De, D.; Krogstad, F.M.; Byers, L.D.; Krogstad, D.J. Structure−Activity Relationships for Antiplasmodial Activity among 7-Substituted 4-Aminoquinolines. J. Med. Chem. 1998, 41, 4918–4926. [Google Scholar] [CrossRef]
- O’Neill, P.M.; Willock, D.J.; Hawley, S.R.; Bray, P.G.; Storr, R.C.; Ward, S.A.; Park, B.K. Synthesis, Antimalarial Activity, and Molecular Modeling of Tebuquine Analogues. J. Med. Chem. 1997, 40, 437–448. [Google Scholar] [CrossRef]
- Zhao, Z.; Song, J.; Shang, Y.; Shan, M.; Tang, L.; Pang, T.; Ye, Q.; Cheng, G.; Jiang, G. Design, Synthesis, Biological Evaluation and Docking Study of a New Series of 9-Aminoacridine Derivatives as Anti-Inflammatory Agents. ChemistrySelect 2024, 9, e202302387. [Google Scholar] [CrossRef]
- Gorecki, L.; Misiachna, A.; Damborsky, J.; Dolezal, R.; Korabecny, J.; Cejkova, L.; Hakenova, K.; Chvojkova, M.; Karasova, J.Z.; Prchal, L.; et al. Structure-activity relationships of dually-acting acetylcholinesterase inhibitors derived from tacrine on N-methyl-d-Aspartate receptors. Eur. J. Med. Chem. 2021, 219, 113434. [Google Scholar] [CrossRef]
- Hasaninejad, A.; Zare, A.; Shekouhy, M.; Ameri-Rad, J. Sulfuric acid-modified PEG-6000 (PEG-OSO3H): An efficient, biodegradable and reusable polymeric catalyst for the solvent-free synthesis of poly-substituted quinolines under microwave irradiation. Green Chem. 2011, 13, 958–964. [Google Scholar] [CrossRef]
- Khalilzadeh, M.A.; Hosseini, A.; Tajbakhsh, M. Synthesis of tacrine derivatives under solventless conditions. J. Heterocycl. Chem. 2007, 44, 535–538. [Google Scholar] [CrossRef]
- Moore, J.A.; Kornreich, L.D. A direct synthesis of 4-aminoquinolines. Tetrahedron Lett. 1963, 4, 1277–1281. [Google Scholar] [CrossRef]
- Malhotra, R.C.; Ramachandran, P.K. Amination of hydroxyquinolines. Indian J. Chem. Sec. B Org. Chem. Incl. Med. Chem. 1978, 16B, 329. [Google Scholar]
- Royer, R. The preparation of 4-amino-2-styrylquinoline and some related compounds. J. Chem. Soc. 1949, 386, 1803–1806. [Google Scholar] [CrossRef]
- White, H.C.; Bergstrom, F.W. A Hofmann Type Rearrangement in Liquid Ammonia. J. Org. Chem. 1942, 6, 497–507. [Google Scholar] [CrossRef]
- Elderfield, R.C.; Gensler, W.J.; Bembry, T.H.; Kremer, C.B.; Head, J.D.; Brody, F.; Frohardt, R. Synthesis of 2-Phenyl-4-chloroquinolines. J. Am. Chem. Soc. 1946, 68, 1272–1276. [Google Scholar] [CrossRef] [PubMed]
- Bauer, A.W.; Kirby, W.M.M.; Sherris, J.C.; Turck, M. Antibiotic Susceptibility Testing by a Standardized Single Disk Method. Am. J. Clin. Pathol. 1966, 45, 493–496. [Google Scholar] [CrossRef]
- Gedam, V.V.; Punyapwar, S.V.; Raut, P.A.; Chahande, A.D. Rapid In Vitro Proliferation of Tinospora cordifolia Callus Biomass from Stem and Leaf with Phytochemical and Antimicrobial Assessment. In Waste Valorisation and Recycling; Springer: Singapore, 2019; Volume 2, pp. 421–431. ISBN 978-981-13-2783-4. Available online: https://link.springer.com/chapter/10.1007/978-981-13-2784-1_39 (accessed on 20 May 2024).
- Ibrahim, A.I.M.; Abul-Futouh, H.; Bourghli, L.M.S.; Abu-Sini, M.; Sunoqrot, S.; Ikhmais, B.; Jha, V.; Sarayrah, Q.; Abulebdah, D.H.; Ismail, W.H. Design and Synthesis of Thionated Levofloxacin: Insights into a New Generation of Quinolones with Potential Therapeutic and Analytical Applications. Curr. Issues Mol. Biol. 2022, 44, 4626–4638. [Google Scholar] [CrossRef]
- Magwaza, R.N.; Abubaker, M.; Hussain, B.; Haley, M.; Couper, K.; Freeman, S.; Nirmalan, N.J. Evaluation of 4-Aminoquinoline Hydrazone Analogues as Potential Leads for Drug-Resistant Malaria. Molecules 2023, 28, 6471. [Google Scholar] [CrossRef]
- Wu, G.; Robertson, D.H.; Brooks III, C.L.; Vieth, M. Detailed Analysis of Grid-Based Molecular Docking: A Case Study of CDOCKER—A CHARMm-Based MD Docking Algorithm. J. Comput. Chem. 2003, 24, 1549–1562. [Google Scholar] [CrossRef] [PubMed]
- Krammer, A.; Kirchhoff, P.D.; Jiang, X.; Venkatachalam, C.M.; Waldman, M. LigScore: A Novel Scoring Function for Predicting Binding Affinities. J. Mol. Graph. Model. 2005, 23, 395–407. [Google Scholar] [CrossRef] [PubMed]
- Gehlhaarl, D.K.; Verkhivkerl, G.M.; Rejtol, P.A.; Sherman, C.J.; Fogel, D.B.; Fogel, L.J.; Freer’, S.T. Molecular Recognition of the Inhibitor AC-1343 by HIV-l Protease: Conformationally Flexible Docking by Evolutionary Programming. Chem. Biol. 1995, 2, 317–324. [Google Scholar] [CrossRef]
- Jain, A.N. Scoring Functions for Protein-Ligand Docking. Curr. Protein Pept. Sci. 2006, 7, 407–420. [Google Scholar] [CrossRef]
- Muegge, I.; Martin, Y.C. A General and Fast Scoring Function for Protein-Ligand Interactions: A Simplified Potential Approach. J. Med. Chem. 1999, 42, 791–804. [Google Scholar] [CrossRef] [PubMed]
- Bæk, K.T.; Gründling, A.; Mogensen, R.G.; Thøgersen, L.; Petersen, A.; Paulander, W.; Frees, D. β-Lactam Resistance in Methicillin-Resistant Staphylococcus Aureus USA300 Is Increased by Inactivation of the ClpXP Protease. Antimicrob. Agents Chemother. 2014, 58, 4593–4603. [Google Scholar] [CrossRef]
- Lovering, A.L.; Gretes, M.C.; Safadi, S.S.; Danel, F.; De Castro, L.; Page, M.G.P.; Strynadka, N.C.J. Structural Insights into the Anti-Methicillin-Resistant Staphylococcus Aureus (MRSA) Activity of Ceftobiprole. J. Biol. Chem. 2012, 287, 32096–32102. [Google Scholar] [CrossRef]
- Purrello, S.M.; Daum, R.S.; Edwards, G.F.S.; Lina, G.; Lindsay, J.; Peters, G.; Stefani, S. Meticillin-Resistant Staphylococcus Aureus (MRSA) Update: New Insights into Bacterial Adaptation and Therapeutic Targets. J. Glob. Antimicrob. Resist. 2014, 2, 61–69. [Google Scholar] [CrossRef]
- Sigal, M.V., Jr.; Brent, B.I.; Marchini, P. 7,8,9,10-tetrahalo-6h-cyclohepta-(b)-quinolines U.S. Patent No. 3,232,945, 1 February.
Disclaimer/Publisher’s Note: The statements, opinions and data contained in all publications are solely those of the individual author(s) and contributor(s) and not of MDPI and/or the editor(s). MDPI and/or the editor(s) disclaim responsibility for any injury to people or property resulting from any ideas, methods, instructions or products referred to in the content. |
© 2025 by the authors. Licensee MDPI, Basel, Switzerland. This article is an open access article distributed under the terms and conditions of the Creative Commons Attribution (CC BY) license (https://creativecommons.org/licenses/by/4.0/).











