Macrocyclic Organic Peroxides: Constructing Medium and Large Cycles with O-O Bonds
Abstract
1. Introduction

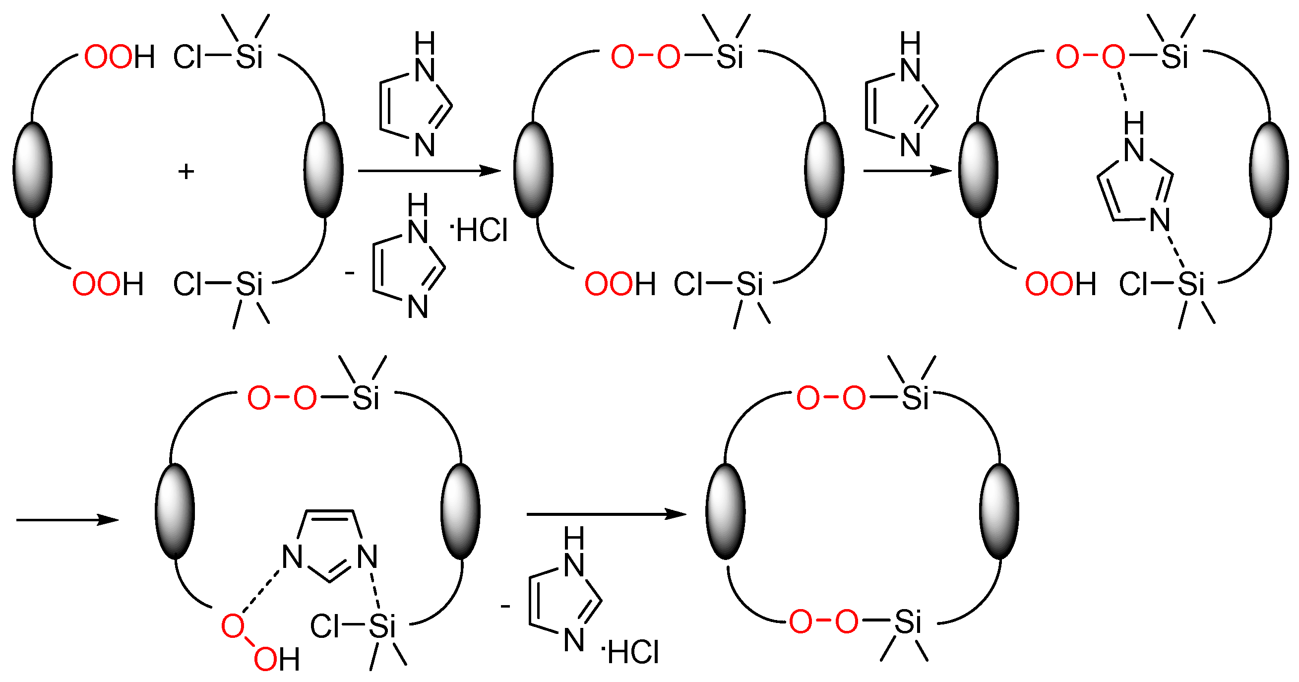
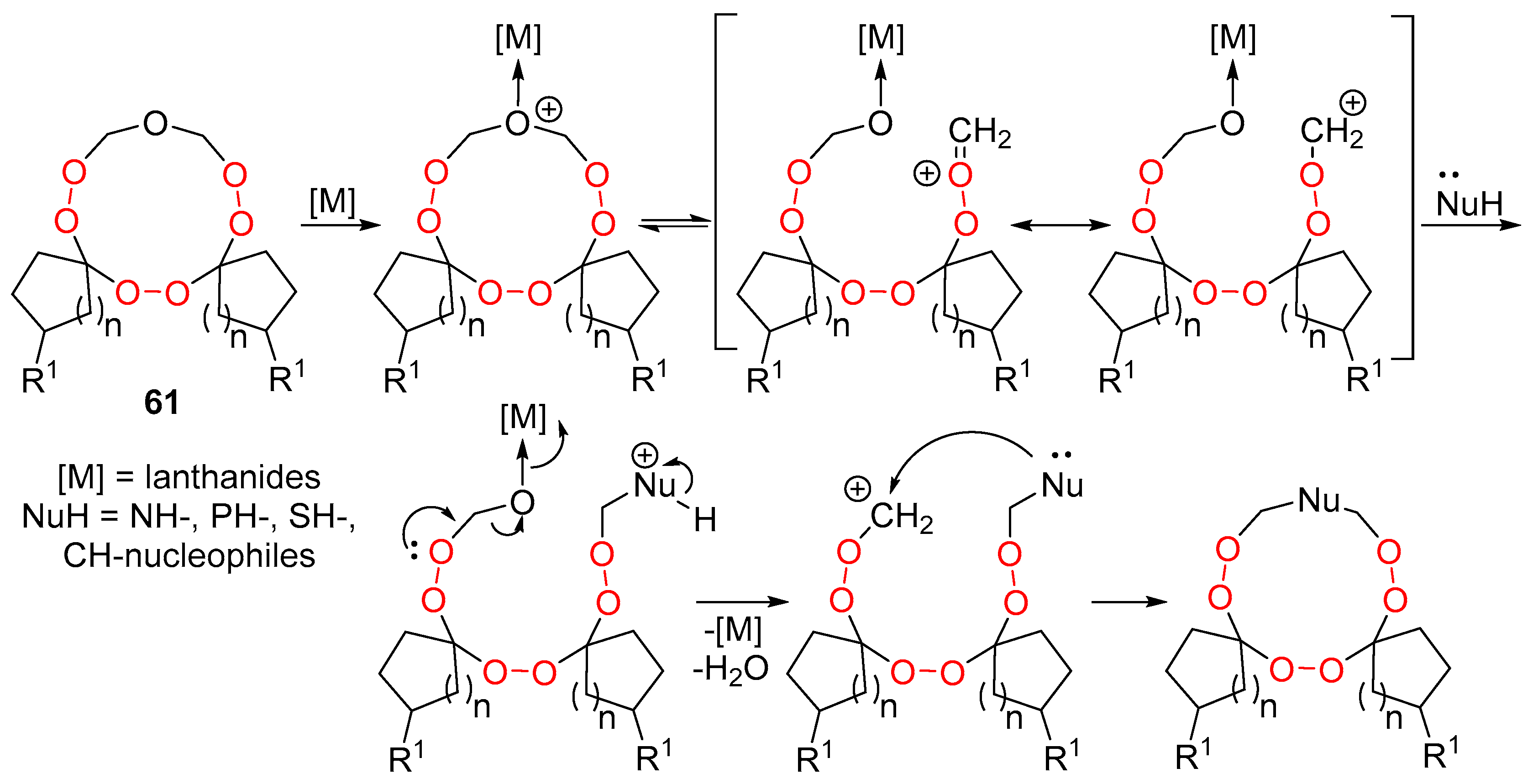
2. Strategies for Macrocyclic Organic Peroxides
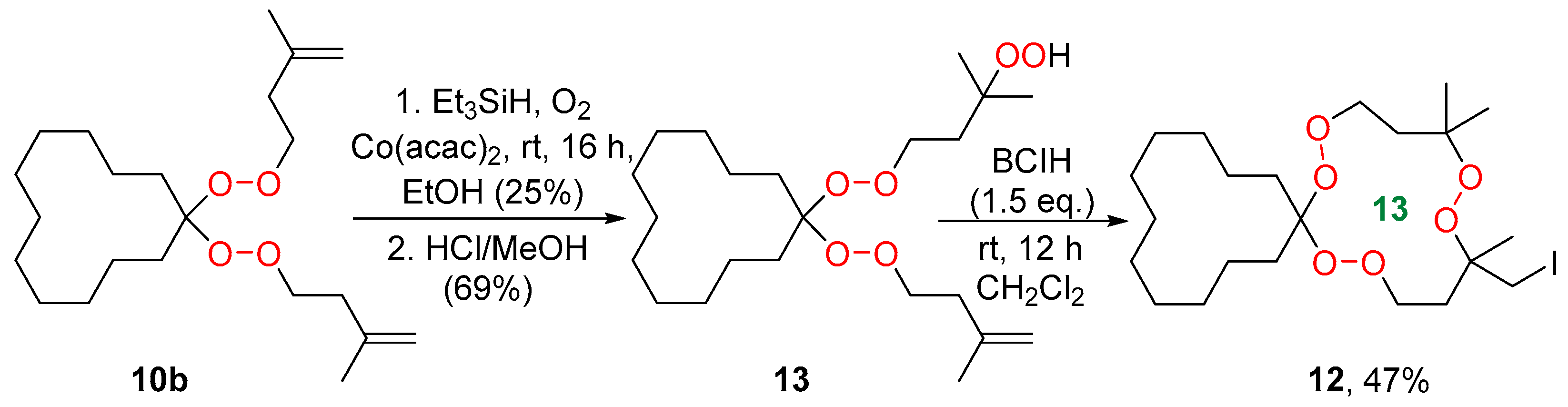
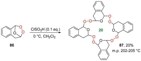
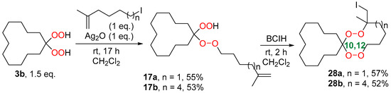
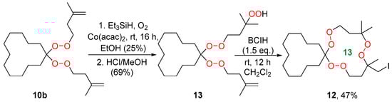
2.1. Intramolecular Iodocyclization of Hydroperoxides
2.2. Intermolecular Cyclization of Hydroperoxides
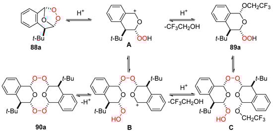
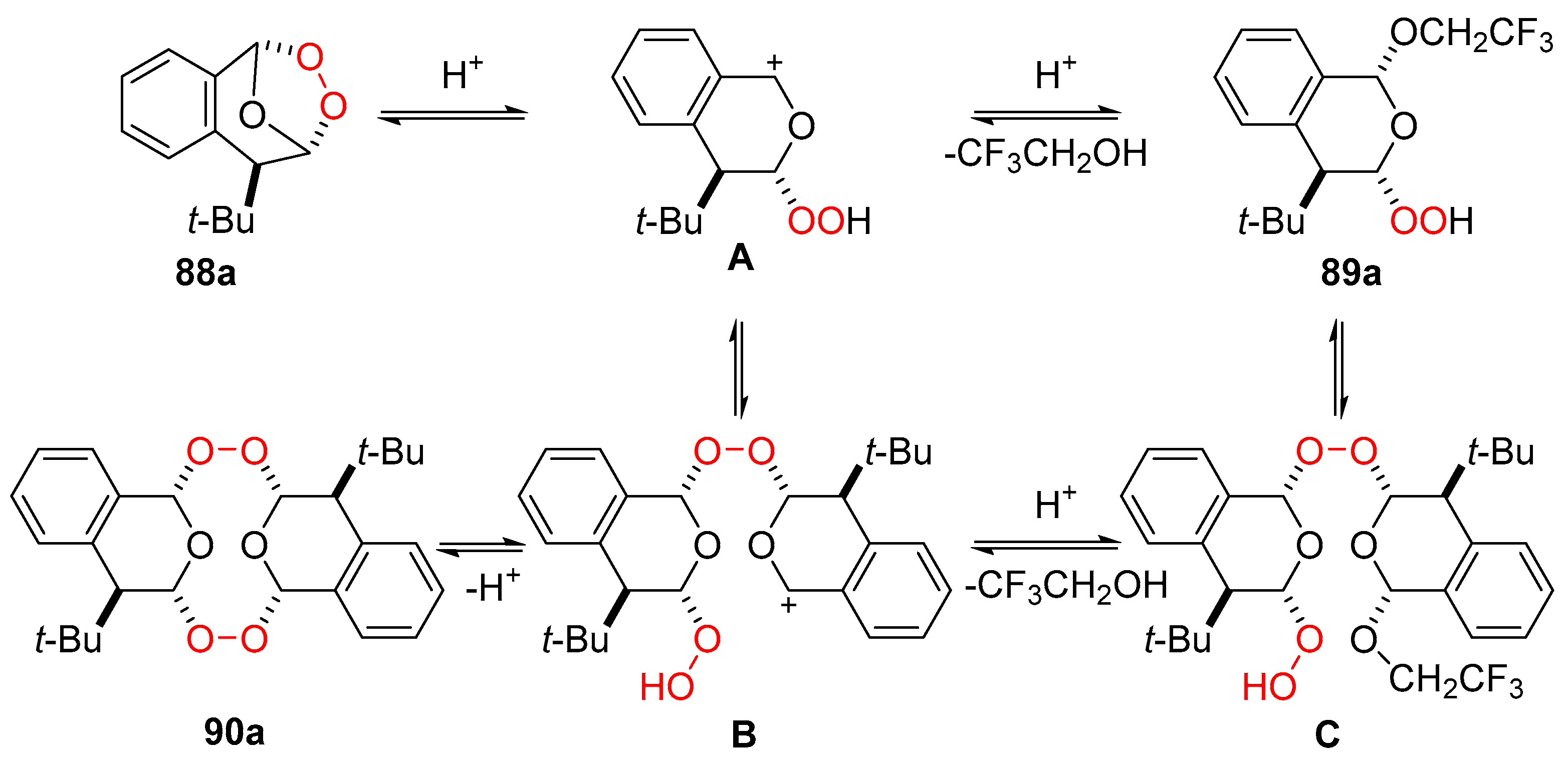
2.3. Cyclic Peroxide Rearrangement via Oxy- or Peroxycarbenium Ions
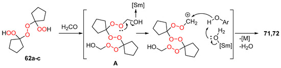
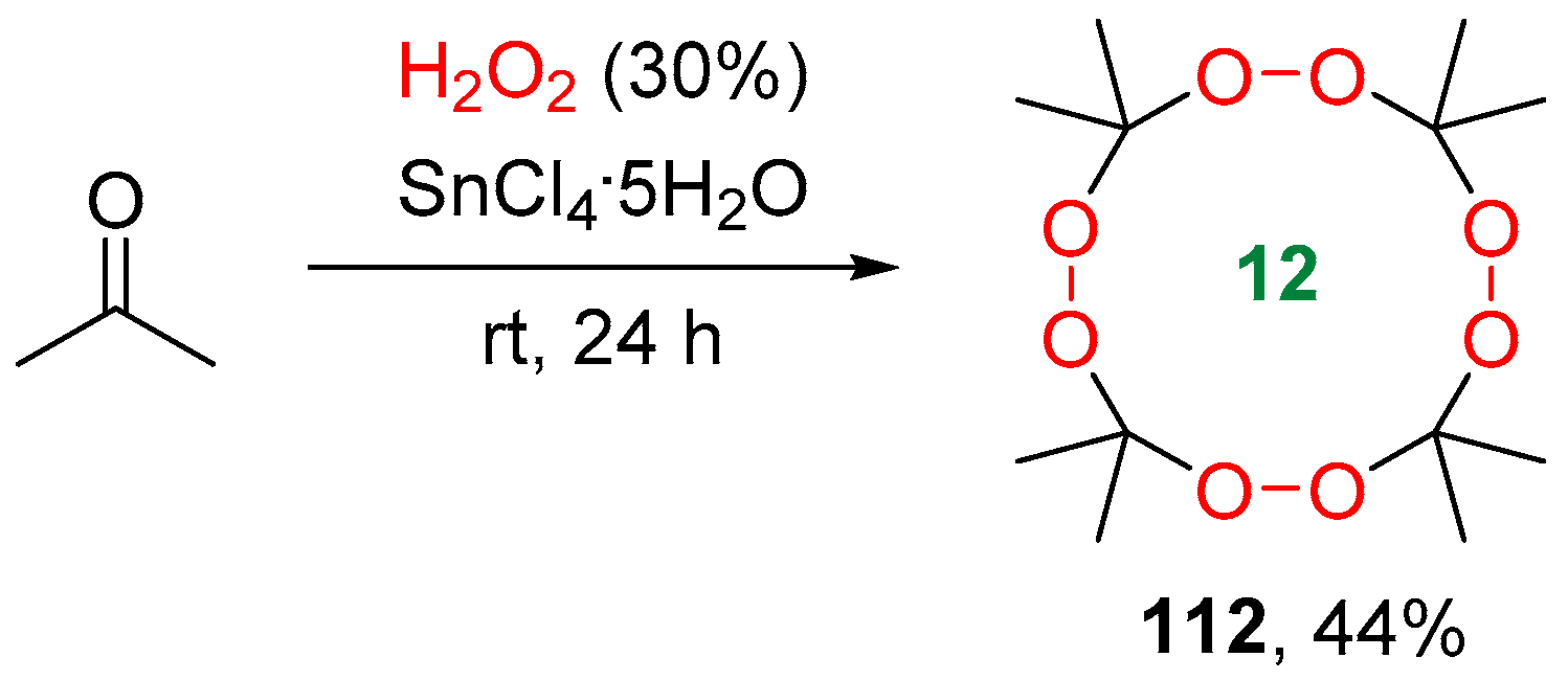
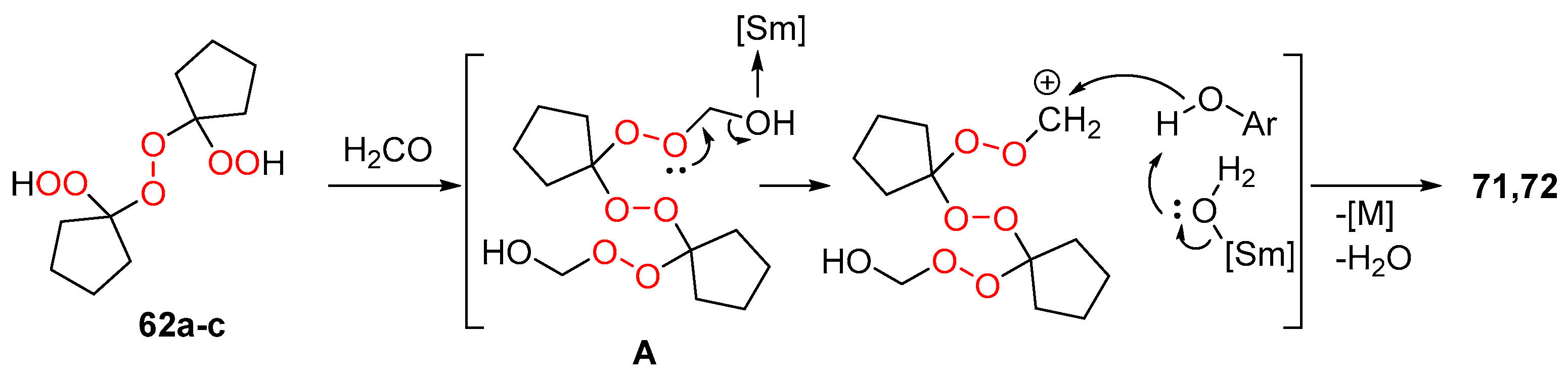
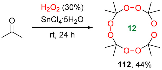
2.4. Peroxidation of Carbonyl Compounds
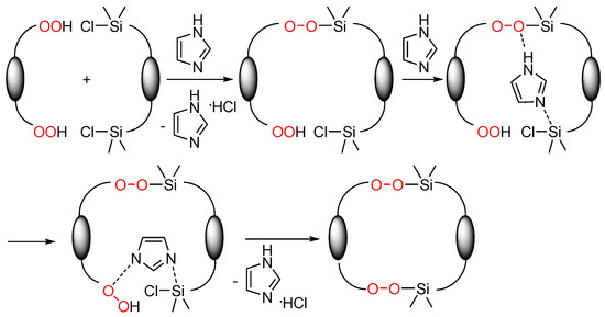
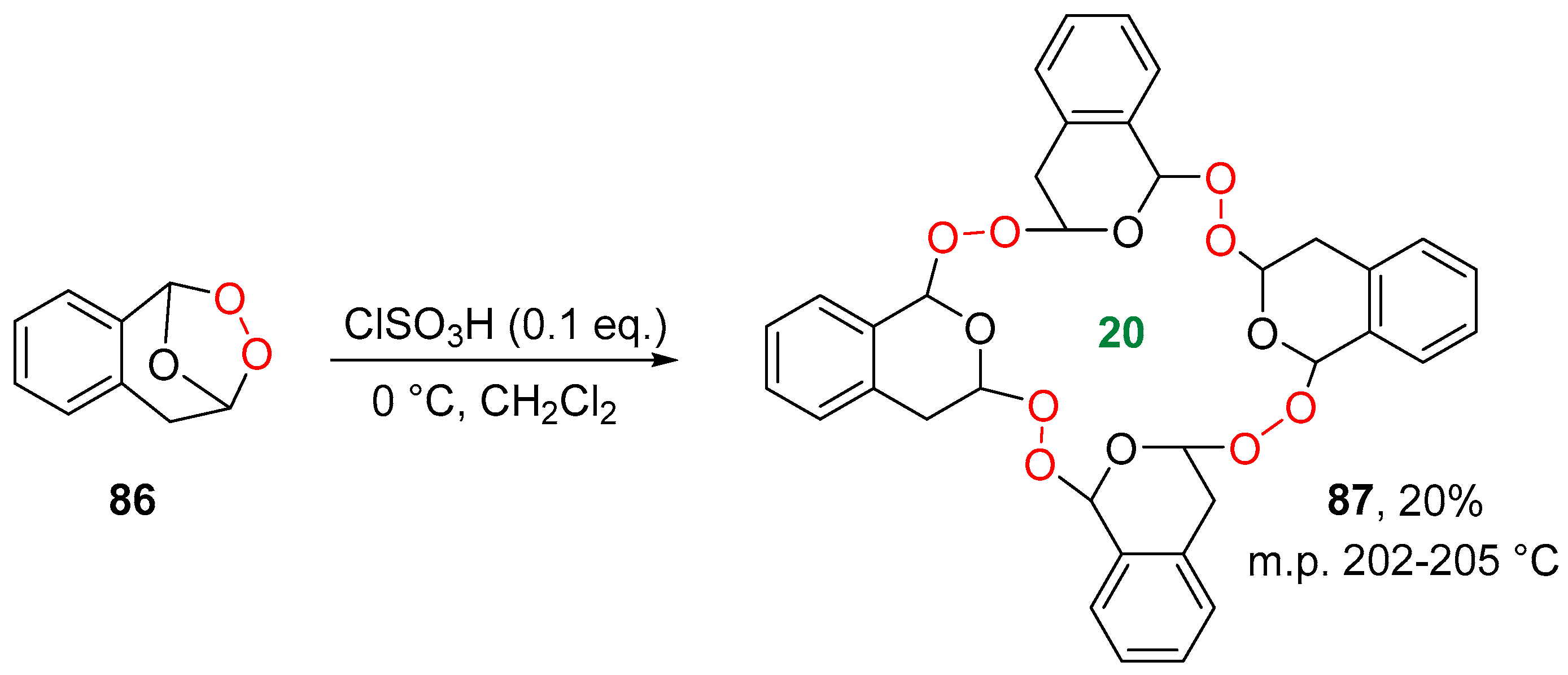
2.5. Miscellaneous Methods
3. Conclusions
Author Contributions
Funding
Data Availability Statement
Conflicts of Interest
Abbreviations
| AcOH | acetic acid |
| Ac2O | acetic anhydride |
| acac | acetylacetonate |
| DABCO | 1,4-diazabicyclo[2.2.2]octane |
| DCE | 1,2-dichloroethane |
| DIB | (diacetoxyiodo)benzene |
| DMAP | 4-dimethylaminopyridine |
| DMF | dimethylformamide |
| FTIR | Fourier-transform infrared spectroscopy |
| LA | Lewis acid |
| TES | triethylsilyl |
| THF | tetrahydrofuran |
| TPP | tetraphenylporphyrin |
References
- Yudin, A.K. Macrocycles: Lessons from the distant past, recent developments, and future directions. Chem. Sci. 2015, 6, 30–49. [Google Scholar] [CrossRef] [PubMed]
- Pedersen, C.J. Cyclic polyethers and their complexes with metal salts. J. Am. Chem. Soc. 1967, 89, 7017–7036. [Google Scholar] [CrossRef]
- Cram, D.J.; Cram, J.M. Host-Guest Chemistry: Complexes between organic compounds simulate the substrate selectivity of enzymes. Science 1974, 183, 803–809. [Google Scholar] [CrossRef] [PubMed]
- Lehn, J.-M. Supramolecular Chemistry: Concepts and Perspectives; Wiley-VCH: Weinheim, Germany, 1995. [Google Scholar]
- Zhang, M.; Yan, X.; Huang, F.; Niu, Z.; Gibson, H.W. Stimuli-responsive host-guest systems based on the recognition of cryptands by organic guests. Acc. Chem. Res. 2014, 47, 1995–2005. [Google Scholar] [CrossRef]
- Hooley, R.J.; Rebek, J., Jr. Chemistry and catalysis in functional cavitands. Chem. Biol. 2009, 16, 255–264. [Google Scholar] [CrossRef] [PubMed]
- Cram, D.J. Preorganization—From Solvents to Spherands. Angew. Chem. Int. Ed. Engl. 1986, 25, 1039–1057. [Google Scholar] [CrossRef]
- Cram, D.J. The Design of Molecular Hosts, Guests, and Their Complexes (Nobel Lecture). Angew. Chem. Int. Ed. Engl. 1988, 27, 1009–1020. [Google Scholar] [CrossRef]
- Lehn, J.M. Supramolecular Chemistry—Scope and Perspectives Molecules, Supermolecules, and Molecular Devices (Nobel Lecture). Angew. Chem. Int. Ed. Engl. 1988, 27, 89–112. [Google Scholar] [CrossRef]
- Pedersen, C.J. The Discovery of Crown Ethers (Noble Lecture). Angew. Chem. Int. Ed. Engl. 1988, 27, 1021–1027. [Google Scholar] [CrossRef]
- Del Valle, E.M.M. Cyclodextrins and their uses: A review. Process Biochem. 2004, 39, 1033–1046. [Google Scholar] [CrossRef]
- Loftsson, T.; Duchene, D. Cyclodextrins and their pharmaceutical applications. Int. J. Pharm. 2007, 329, 1–11. [Google Scholar] [CrossRef] [PubMed]
- Kurkov, S.V.; Loftsson, T. Cyclodextrins. Int. J. Pharm. 2013, 453, 167–180. [Google Scholar] [CrossRef] [PubMed]
- Rodik, R.V.; Boyko, V.I.; Kalchenko, V.I. Calixarenes in Bio-Medical Researches. Curr. Med. Chem. 2009, 16, 1630–1655. [Google Scholar] [CrossRef] [PubMed]
- Böhmer, V. Calixarenes, Macrocycles with (Almost) Unlimited Possibilities. Angew. Chem. Int. Ed. Engl. 2003, 34, 713–745. [Google Scholar] [CrossRef]
- Antipin, I.S.; Alfimov, M.V.; Arslanov, V.V.; Burilov, V.A.; Vatsadze, S.Z.; Voloshin, Y.Z.; Volcho, K.P.; Gorbatchuk, V.V.; Gorbunova, Y.G.; Gromov, S.P.; et al. Functional supramolecular systems: Design and applications. Russ. Chem. Rev. 2021, 90, 895–1107. [Google Scholar]
- Assaf, K.I.; Nau, W.M. Cucurbiturils: From synthesis to high-affinity binding and catalysis. Chem. Soc. Rev. 2015, 44, 394–418. [Google Scholar] [CrossRef]
- Gerasko, O.A.; Samsonenko, D.G.; Fedin, V.P. Supramolecular chemistry of cucurbiturils. Russ. Chem. Rev. 2002, 71, 741–760. [Google Scholar] [CrossRef]
- Kim, K.; Selvapalam, N.; Ko, Y.H.; Park, K.M.; Kim, D.; Kim, J. Functionalized cucurbiturils and their applications. Chem. Soc. Rev. 2007, 36, 267–279. [Google Scholar] [CrossRef]
- Marsault, E.; Peterson, M.L. Macrocycles are great cycles: Applications, opportunities, and challenges of synthetic macrocycles in drug discovery. J. Med. Chem. 2011, 54, 1961–2004. [Google Scholar] [CrossRef]
- Mallinson, J.; Collins, I. Macrocycles in new drug discovery. Future Med. Chem. 2012, 4, 1409–1438. [Google Scholar] [CrossRef]
- Yu, X.; Sun, D. Macrocyclic drugs and synthetic methodologies toward macrocycles. Molecules 2013, 18, 6230–6268. [Google Scholar] [CrossRef] [PubMed]
- Mortensen, K.T.; Osberger, T.J.; King, T.A.; Sore, H.F.; Spring, D.R. Strategies for the Diversity-Oriented Synthesis of Macrocycles. Chem. Rev. 2019, 119, 10288–10317. [Google Scholar] [CrossRef] [PubMed]
- Liu, Z.; Nalluri, S.K.M.; Stoddart, J.F. Surveying macrocyclic chemistry: From flexible crown ethers to rigid cyclophanes. Chem. Soc. Rev. 2017, 46, 2459–2478. [Google Scholar] [CrossRef] [PubMed]
- Gao, M.; Cheng, K.; Yin, H. Targeting protein-protein interfaces using macrocyclic peptides. Biopolymers 2015, 104, 310–316. [Google Scholar] [CrossRef]
- Wu, X.-F.; Gong, J.-L.; Qi, X. A powerful combination: Recent achievements on using TBAI and TBHP as oxidation system. Org. Biomol. Chem. 2014, 12, 5807–5817. [Google Scholar] [CrossRef]
- Schmidt, R.J. Industrial catalytic processes—Phenol production. Appl. Catal. A General 2005, 280, 89–103. [Google Scholar] [CrossRef]
- Zhu, Y.; Wang, Q.; Cornwall, R.G.; Shi, Y. Organocatalytic Asymmetric Epoxidation and Aziridination of Olefins and Their Synthetic Applications. Chem. Rev. 2014, 114, 8199–8256. [Google Scholar] [CrossRef]
- Fisher, T.J.; Dussault, P.H. Alkene ozonolysis. Tetrahedron 2017, 73, 4233–4258. [Google Scholar] [CrossRef]
- Gaylord, N.G.; Mandal, B.M.; Martan, M. Peroxide-induced polymerization of norbornene. J. Polym. Sci. Polym. Lett. Ed. 1976, 14, 555–559. [Google Scholar] [CrossRef]
- Emami, S.H.; Salovey, R.; Hogen-Esch, T.E. Peroxide-mediated crosslinking of poly(ethylene oxide). J. Polym. Sci. Part A Polym. Chem. 2002, 40, 3021–3026. [Google Scholar] [CrossRef]
- Russell, K.E. Free radical graft polymerization and copolymerization at higher temperatures. Prog. Polym. Sci. 2002, 27, 1007–1038. [Google Scholar] [CrossRef]
- Islamova, R.M.; Ishkinina, O.I.; Nazarova, S.V.; Chupakhin, O.N.; Utepova, I.A.; Andriyashina, N.M.; Terent’ev, A.O. Cyclic peroxides and related initiating systems for radical polymerization of methyl methacrylate. Russ. Chem. Bull. 2014, 62, 1282–1285. [Google Scholar] [CrossRef]
- Cerna, J.R.; Morales, G.; Eyler, G.N.; Cañizo, A.I. Bulk polymerization of styrene catalyzed by bi- and trifunctional cyclic initiators. J. Appl. Polym. Sci. 2002, 83, 1–11. [Google Scholar] [CrossRef]
- Sheng, W.-C.; Wu, J.-Y.; Shan, G.-R.; Huang, Z.-M.; Weng, Z.-X. Free-radical bulk polymerization of styrene with a new trifunctional cyclic peroxide initiator. J. Appl. Polym. Sci. 2004, 94, 1035–1042. [Google Scholar] [CrossRef]
- Su, X.Z.; Miller, L.H. The discovery of artemisinin and the Nobel Prize in Physiology or Medicine. Sci. China Life Sci. 2015, 58, 1175–1179. [Google Scholar] [CrossRef]
- Zhou, W.-S.; Xu, X.-X. Total Synthesis of the Antimalarial Sesquiterpene Peroxide Qinghaosu and Yingzhaosu A. Acc. Chem. Res. 1994, 27, 211–216. [Google Scholar] [CrossRef]
- White, N.J. Qinghaosu (Artemisinin): The Price of Success. Science 2008, 320, 330–334. [Google Scholar] [CrossRef]
- Haynes, R.K.; Vonwiller, S.C. From Qinghao, Marvelous Herb of Antiquity, to the Antimalarial Trioxane Qinghaosuand Some Remarkable New Chemistry. Acc. Chem. Res. 1997, 30, 73–79. [Google Scholar] [CrossRef]
- Kumar, V.; Mahajan, A.; Chibale, K. Synthetic medicinal chemistry of selected antimalarial natural products. Bioorg. Med. Chem. 2009, 17, 2236–2275. [Google Scholar] [CrossRef]
- Meshnick, S.R.; Jefford, C.W.; Posner, G.H.; Avery, M.A.; Peters, W. Second-generation antimalarial endoperoxides. Parasitology Today 1996, 12, 79–82. [Google Scholar] [CrossRef]
- Vil’, V.A.; Yaremenko, I.A.; Ilovaisky, A.I.; Terent’ev, A.O. Synthetic Strategies for Peroxide Ring Construction in Artemisinin. Molecules 2017, 22, 117. [Google Scholar] [CrossRef] [PubMed]
- Tang, Y.; Dong, Y.; Vennerstrom, J.L. Synthetic peroxides as antimalarials. Med. Res. Rev. 2004, 24, 425–448. [Google Scholar] [CrossRef] [PubMed]
- Jefford, C.W. New developments in synthetic peroxidic drugs as artemisinin mimics. Drug Discov. Today 2007, 12, 487–495. [Google Scholar] [CrossRef] [PubMed]
- Opsenica, D.M.; Šolaja, B.A. Antimalarial peroxides. J. Serb. Chem. Soc. 2009, 74, 1155–1193. [Google Scholar] [CrossRef]
- Keiser, J.; Utzinger, J. Food-borne trematodiasis: Current chemotherapy and advances with artemisinins and synthetic trioxolanes. Trends Parasitol. 2007, 23, 555–562. [Google Scholar] [CrossRef]
- Muraleedharan, K.M.; Avery, M.A. Progress in the development of peroxide-based anti-parasitic agents. Drug Discov. Today 2009, 14, 793–803. [Google Scholar] [CrossRef]
- Panic, G.; Duthaler, U.; Speich, B.; Keiser, J. Repurposing drugs for the treatment and control of helminth infections. Int. J. Parasitol. Drugs Drug Resist. 2014, 4, 185–200. [Google Scholar] [CrossRef]
- Dembitsky, V.M. Bioactive peroxides as potential therapeutic agents. Eur. J. Med. Chem. 2008, 43, 223–251. [Google Scholar] [CrossRef]
- Chaturvedi, D.; Goswami, A.; Pratim Saikia, P.; Barua, N.C.; Rao, P.G. Artemisinin and its derivatives: A novel class of anti-malarial and anti-cancer agents. Chem. Soc. Rev. 2010, 39, 435–454. [Google Scholar] [CrossRef]
- Liu, D.-Z.; Liu, J.-K. Peroxy natural products. Nat. Prod. bioprospect. 2013, 3, 161–206. [Google Scholar] [CrossRef]
- Efferth, T.; Marschall, M.; Wang, X.; Huong, S.-M.; Hauber, I.; Olbrich, A.; Kronschnabl, M.; Stamminger, T.; Huang, E.-S. Antiviral activity of artesunate towards wild-type, recombinant, and ganciclovir-resistant human cytomegaloviruses. J. Mol. Med. 2002, 80, 233–242. [Google Scholar] [CrossRef] [PubMed]
- Efferth, T.; Romero, M.R.; Wolf, D.G.; Stamminger, T.; Marin, J.J.G.; Marschall, M. The Antiviral Activities of Artemisinin and Artesunate. Clin. Infect. Dis. 2008, 47, 804–811. [Google Scholar] [CrossRef] [PubMed]
- Jia, M.; Zhao, R.; Xu, B.; Yan, W.; Chu, F.; Gu, H.; Xie, T.; Xiang, H.; Ren, J.; Chen, D.; et al. Synthesis and biological activity evaluation of novel peroxo-bridged derivatives as potential anti-hepatitis B virus agents. MedChemComm 2017, 8, 148–151. [Google Scholar] [CrossRef] [PubMed]
- Phillipson, D.W.; Rinehart, K.L. Antifungal peroxide-containing acids from two Caribbean sponges. J. Am. Chem. Soc. 1983, 105, 7735–7736. [Google Scholar] [CrossRef]
- Oh, D.-C.; Scott, J.J.; Currie, C.R.; Clardy, J. Mycangimycin, a Polyene Peroxide from a Mutualist Streptomyces sp. Org. Lett. 2009, 11, 633–636. [Google Scholar] [CrossRef]
- Cusati, R.C.; Barbosa, L.C.A.; Maltha, C.R.A.; Demuner, A.J.; Oliveros-Bastidas, A.; Silva, A.A. Tetraoxanes as a new class of efficient herbicides comparable with commercial products. Pest Manag. Sci. 2015, 71, 1037–1048. [Google Scholar] [CrossRef]
- Antolínez, I.V.; Barbosa, L.C.A.; Maltha, C.R.A.; Pereira, G.A.M.M.; Silva, A.A. Synthesis and phytotoxic profile of a new tetraoxane designed from a commercial auxin. Química Nova 2020, 43, 901–908. [Google Scholar] [CrossRef]
- Nissen, J.H.; Drews, T.; Schroder, B.; Beckers, H.; Steinhauer, S.; Riedel, S. Perfluoro Alkyl Hypofluorites and Peroxides Revisited. Chem.—Eur. J. 2019, 25, 14721–14727. [Google Scholar] [CrossRef]
- Nissen, J.H.; Stuker, T.; Drews, T.; Steinhauer, S.; Beckers, H.; Riedel, S. No Fear of Perfluorinated Peroxides: Syntheses and Solid-State Structures of Surprisingly Inert Perfluoroalkyl Peroxides. Angew. Chem., Int. Ed. 2019, 58, 3584–3588. [Google Scholar] [CrossRef]
- Afonso, M.A.S.; Cormanich, R.A. The preferred geometry of hydroperoxides is the result of an interplay between electrostatic and hyperconjugative effects. Phys. Chem. Chem. Phys. 2020, 22, 27173–27177. [Google Scholar] [CrossRef]
- Juaristi, E.; Dos Passos Gomes, G.; Terent’ev, A.O.; Notario, R.; Alabugin, I.V. Stereoelectronic Interactions as a Probe for the Existence of the Intramolecular alpha-Effect. J. Am. Chem. Soc. 2017, 139, 10799–10813. [Google Scholar] [CrossRef] [PubMed]
- Gomes, G.D.P.; Vil, V.; Terent’ev, A.; Alabugin, I.V. Stereoelectronic source of the anomalous stability of bis-peroxides. Chem. Sci. 2015, 6, 6783–6791. [Google Scholar] [CrossRef] [PubMed]
- Alabugin, I.; Kuhn, L. Oxygen: The Key to Stereoelectronic Control in Chemistry; American Chemical Society: Washington, DC, USA, 2023; pp. 1–390. [Google Scholar]
- He, Z.; Moreno, J.A.; Swain, M.; Wu, J.; Kwon, O. Aminodealkenylation: Ozonolysis and copper catalysis convert C(sp3)-C(sp2) bonds to C(sp3)-N bonds. Science 2023, 381, 877–886. [Google Scholar] [CrossRef] [PubMed]
- Dehnert, B.W.; Dworkin, J.H.; Kwon, O. Dealkenylative Functionalizations: Conversion of Alkene C(sp3)–C(sp2) Bonds into C(sp3)–X Bonds via Redox-Based Radical Processes. Synthesis 2023, 56, 71–86. [Google Scholar] [PubMed]
- Dworkin, J.H.; Dehnert, B.W.; Kwon, O. When all C-C breaks LO-Ose. Trends Chem. 2023, 5, 174–200. [Google Scholar] [CrossRef]
- Swain, M.; Bunnell, T.B.; Kim, J.; Kwon, O. Dealkenylative Alkynylation Using Catalytic Fe(II) and Vitamin C. J. Am. Chem. Soc. 2022, 144, 14828–14837. [Google Scholar] [CrossRef]
- Smaligo, A.J.; Wu, J.; Burton, N.R.; Hacker, A.S.; Shaikh, A.C.; Quintana, J.C.; Wang, R.; Xie, C.; Kwon, O. Oxodealkenylative Cleavage of Alkene C(sp3)-C(sp2) Bonds: A Practical Method for Introducing Carbonyls into Chiral Pool Materials. Angew. Chem., Int. Ed. 2020, 59, 1211–1215. [Google Scholar] [CrossRef]
- Vil, V.A.; Gorlov, E.S.; Bityukov, O.V.; Barsegyan, Y.A.; Romanova, Y.E.; Merkulova, V.M.; Terent’ev, A.O. C−O coupling of Malonyl Peroxides with Enol Ethers via [5+2] Cycloaddition: Non-Rubottom Oxidation. Adv. Synth. Catal. 2019, 361, 3173–3181. [Google Scholar] [CrossRef]
- Vil’, V.A.; Barsegyan, Y.A.; Kuhn, L.; Terent’ev, A.O.; Alabugin, I.V. Creating, Preserving, and Directing Carboxylate Radicals in Ni-Catalyzed C(sp3)–H Acyloxylation of Ethers, Ketones, and Alkanes with Diacyl Peroxides. Organometallics 2023, 42, 2598–2612. [Google Scholar] [CrossRef]
- Bityukov, O.V.; Skokova, K.V.; Vil, V.A.; Nikishin, G.I.; Terent’ev, A.O. Electrochemical Generation of Peroxy Radicals and Subsequent Peroxidation of 1,3-Dicarbonyls in an Undivided Cell. Org. Lett. 2024, 26, 166–171. [Google Scholar] [CrossRef]
- Alabugin, I.V.; Kuhn, L.; Medvedev, M.G.; Krivoshchapov, N.V.; Vil, V.A.; Yaremenko, I.A.; Mehaffy, P.; Yarie, M.; Terent’ev, A.O.; Zolfigol, M.A. Stereoelectronic power of oxygen in control of chemical reactivity: The anomeric effect is not alone. Chem. Soc. Rev. 2021, 50, 10253–10345. [Google Scholar] [CrossRef] [PubMed]
- Alabugin, I.V. Stereoelectronic Effects: A Bridge Between Structure and Reactivity; Wiley: Hoboken, NJ, USA, 2016; pp. 1–400. [Google Scholar]
- Yaremenko, I.A.; Belyakova, Y.Y.; Radulov, P.S.; Novikov, R.A.; Medvedev, M.G.; Krivoshchapov, N.V.; Korlyukov, A.A.; Alabugin, I.V.; Terent Ev, A.O. Inverse alpha-Effect as the Ariadne’s Thread on the Way to Tricyclic Aminoperoxides: Avoiding Thermodynamic Traps in the Labyrinth of Possibilities. J. Am. Chem. Soc. 2022, 144, 7264–7282. [Google Scholar] [CrossRef] [PubMed]
- Gomes, G.D.P.; Yaremenko, I.A.; Radulov, P.S.; Novikov, R.A.; Chernyshev, V.V.; Korlyukov, A.A.; Nikishin, G.I.; Alabugin, I.V.; Terent’ev, A.O. Stereoelectronic Control in the Ozone-Free Synthesis of Ozonides. Angew. Chem. Int. Ed. 2017, 56, 4955–4959. [Google Scholar] [CrossRef] [PubMed]
- Vil, V.A.; Dos Passos Gomes, G.; Bityukov, O.V.; Lyssenko, K.A.; Nikishin, G.I.; Alabugin, I.V.; Terent’ev, A.O. Interrupted Baeyer-Villiger Rearrangement: Building A Stereoelectronic Trap for the Criegee Intermediate. Angew. Chem. Int. Ed. 2018, 57, 3372–3376. [Google Scholar] [CrossRef] [PubMed]
- Vil, V.A.; Barsegyan, Y.A.; Barsukov, D.V.; Korlyukov, A.A.; Alabugin, I.V.; Terent’ev, A.O. Peroxycarbenium Ions as the “Gatekeepers” in Reaction Design: Assistance from Inverse Alpha-Effect in Three-Component beta-Alkoxy-beta-peroxylactones Synthesis. Chem.—Eur. J. 2019, 25, 14460–14468. [Google Scholar] [CrossRef]
- Vil, V.A.; Barsegyan, Y.A.; Kuhn, L.; Ekimova, M.V.; Semenov, E.A.; Korlyukov, A.A.; Terent’ev, A.O.; Alabugin, I.V. Synthesis of unstrained Criegee intermediates: Inverse alpha-effect and other protective stereoelectronic forces can stop Baeyer-Villiger rearrangement of gamma-hydroperoxy-gamma-peroxylactones. Chem. Sci. 2020, 11, 5313–5322. [Google Scholar] [CrossRef]
- Terent’ev, A.O.; Borisov, D.A.; Vil, V.A.; Dembitsky, V.M. Synthesis of five- and six-membered cyclic organic peroxides: Key transformations into peroxide ring-retaining products. Beilstein J. Org. Chem. 2014, 10, 34–114. [Google Scholar] [CrossRef]
- Pinet, A.; Nguyen, L.T.; Figadère, B.; Ferrié, L. Synthesis of 3,5-Disubstituted 1,2-Dioxolanes. Eur. J. Org. Chem. 2020, 2020, 7407–7416. [Google Scholar] [CrossRef]
- Belyakova, Y.Y.; Radulov, P.S. Synthesis of cyclic aza-peroxides (microreview). Chem. Heterocycl. Cmpd. 2021, 57, 908–910. [Google Scholar] [CrossRef]
- Radulov, P.S.; Yaremenko, I.A. Application of BF3·Et2O in the synthesis of cyclic organic peroxides (microreview). Chem. Heterocycl. Cmpd. 2020, 56, 1146–1148. [Google Scholar] [CrossRef]
- Radulov, P.S.; Vil’, V.A. Metal-based Lewis acids in the synthesis of cyclic organic peroxides (microreview). Chem. Heterocycl. Cmpd. 2020, 56, 299–301. [Google Scholar] [CrossRef]
- Yaremenko, I.A.; Radulov, P.S.; Belyakova, Y.Y.; Fomenkov, D.I.; Tsogoeva, S.B.; Terent’ev, A.O. Lewis Acids and Heteropoly Acids in the Synthesis of Organic Peroxides. Pharmaceuticals 2022, 15, 472. [Google Scholar] [CrossRef] [PubMed]
- McCullough, K.; Nojima, M. Recent Advances in the Chemistry of Cyclic Peroxides. Curr. Org. Chem. 2001, 5, 601–636. [Google Scholar] [CrossRef]
- McCullough, K.J. Synthesis and use of cyclic peroxides. Contemp. Org. Synth. 1995, 2, 225–249. [Google Scholar] [CrossRef]
- Ferrié, L. Chapter Two—Advances in the synthesis of 1,2-dioxolanes and 1,2-dioxanes. Adv. Heterocycl. Chem. 2021, 135, 57–146. [Google Scholar]
- Vil, V.A.; Yaremenko, I.A.; Ilovaisky, A.I.; Terent’ev, A.O. Peroxides with Anthelmintic, Antiprotozoal, Fungicidal and Antiviral Bioactivity: Properties, Synthesis and Reactions. Molecules 2017, 22, 1881. [Google Scholar] [CrossRef]
- Tolstikov, G.A.; Tolstikov, A.G.; Tolstikova, O.V. Natural peroxides. Chemistry and biological activity. Russ. Chem. Rev. 1996, 65, 769–783. [Google Scholar] [CrossRef]
- Vil, V.A.; Terent’ev, A.O.; Savidov, N.; Gloriozova, T.A.; Poroikov, V.V.; Pounina, T.A.; Dembitsky, V.M. Hydroperoxy steroids and triterpenoids derived from plant and fungi: Origin, structures and biological activities. J. Steroid Biochem. Mol. Biol. 2019, 190, 76–87. [Google Scholar] [CrossRef]
- Vil, V.A.; Gloriozova, T.A.; Poroikov, V.V.; Terent’ev, A.O.; Savidov, N.; Dembitsky, V.M. Peroxy steroids derived from plant and fungi and their biological activities. Appl. Microbiol. Biotechnol. 2018, 102, 7657–7667. [Google Scholar] [CrossRef]
- Kubo, M.; Minami, H.; Hayashi, E.; Kodama, M.; Kawazu, K.; Fukuyama, Y. Neovibsanin C, a macrocyclic peroxide-containing neovibsane-type diterpene from Viburnum awabuki. Tetrahedron Lett. 1999, 40, 6261–6265. [Google Scholar] [CrossRef]
- McCullough, K.J.; Ito, T.; Tokuyasu, T.; Masuyama, A.; Nojima, M. The synthesis and crystal structure analysis of novel macrocyclic peroxides. Tetrahedron Lett. 2001, 42, 5529–5532. [Google Scholar] [CrossRef]
- Rousseau, G.; Homsi, F. Preparation of seven and larger membered heterocycles by electrophilic heteroatom cyclization. Chem. Soc. Rev. 1997, 26, 453–461. [Google Scholar] [CrossRef]
- Ito, T.; Tokuyasu, T.; Masuyama, A.; Nojima, M.; McCullough, K.J. Synthesis of novel macrocyclic peroxides by bis(sym-collidine)iodine (I) hexafluorophosphate-mediated cyclization of unsaturated hydroperoxides and unsaturated alcohols. Tetrahedron 2003, 59, 525–536. [Google Scholar] [CrossRef]
- Nonami, Y.; Tokuyasu, T.; Masuyama, A.; Nojima, M.; McCullough, K.J.; Kim, H.-S.; Wataya, Y. Synthesis, crystal structure and anti-malarial activity of functionalized spiro-1,2,4,5-tetraoxacycloalkanes from unsaturated hydroperoxy peracetals. Tetrahedron Lett. 2000, 41, 4681–4684. [Google Scholar] [CrossRef]
- Jung, M.E.; Piizzi, G. gem-disubstituent effect: Theoretical basis and synthetic applications. Chem. Rev. 2005, 105, 1735–1766. [Google Scholar] [CrossRef] [PubMed]
- McCullough, K.J.; Nonami, Y.; Masuyama, A.; Nojima, M.; Kim, H.-S.; Wataya, Y. Synthesis, crystal structure and antimalarial activity of novel 1,2,5,6-tetraoxacycloalkanes from 2,3-dihydroperoxy-2-phenylnorbornane. Tetrahedron Lett. 1999, 40, 9151–9155. [Google Scholar] [CrossRef]
- Kim, H.S.; Nagai, Y.; Ono, K.; Begum, K.; Wataya, Y.; Hamada, Y.; Tsuchiya, K.; Masuyama, A.; Nojima, M.; McCullough, K.J. Synthesis and antimalarial activity of novel medium-sized 1,2,4,5-tetraoxacycloalkanes. J. Med. Chem. 2001, 44, 2357–2361. [Google Scholar] [CrossRef]
- Arzumanyan, A.V.; Novikov, R.A.; Terent’ev, A.O.; Platonov, M.M.; Lakhtin, V.G.; Arkhipov, D.E.; Korlyukov, A.A.; Chernyshev, V.V.; Fitch, A.N.; Zdvizhkov, A.T.; et al. Nature Chooses Rings: Synthesis of Silicon-Containing Macrocyclic Peroxides. Organometallics 2014, 33, 2230–2246. [Google Scholar] [CrossRef]
- Legler, L. Ueber Producte der langsamen Verbrennung des Aethyläthers. Ber. Dtsch. Chem. Ges. 1885, 18, 3343–3351. [Google Scholar] [CrossRef]
- Vennerstrom, J.L. Amine peroxides as potential antimalarials. J. Med. Chem. 1989, 32, 64–67. [Google Scholar] [CrossRef]
- Edward, J.T.; Chubb, F.L.; Gilson, D.F.R.; Hynes, R.C.; Sauriol, F.; Wiesenthal, A. Cage peroxides having planar bridgehead nitrogen atoms. Can. J. Chem. 1999, 77, 1057–1065. [Google Scholar] [CrossRef]
- Makhmudiyarova, N.N.; Ishmukhametova, I.R.; Tyumkina, T.V.; Ibragimov, A.G.; Dzhemilev, U.M. Synthesis of N-aryl-hexaoxazadispiroalkanes using lanthanide catalysts. Tetrahedron Lett. 2018, 59, 3161–3164. [Google Scholar] [CrossRef]
- Makhmudiyarova, N.N.; Shangaraev, K.R.; Dzhemileva, L.U.; Tyumkina, T.V.; Mescheryakova, E.S.; D’yakonov, V.A.; Ibragimov, A.G.; Dzhemilev, U.M. New synthesis of tetraoxaspirododecane-diamines and tetraoxazaspirobicycloalkanes. RSC Adv. 2019, 9, 29949–29958. [Google Scholar] [CrossRef] [PubMed]
- Makhmudiyarova, N.N.; Ishmukhametova, I.R.; Ibragimov, A.G. Lanthanide-Catalyzed Synthesis of Cyclic Silicon-Containing Di- and Triperoxides. Russ. J. Org. Chem. 2020, 56, 1685–1690. [Google Scholar] [CrossRef]
- Makhmudiyarova, N.N.; Ishmukhametova, I.R.; Dzhemileva, L.U.; Dyakonov, V.A.; Ibragimov, A.G. Synthesis of Macrocyclic Diazatriperoxides and Their Cytotoxic Activity. Vestnik Bashkirskogo Universiteta 2021, 26, 717–722. (In Russian) [Google Scholar] [CrossRef]
- Makhmudiyarova, N.N.; Ishmukhametova, I.R.; Shangaraev, K.R.; Dzhemileva, L.U.; D’yakonov, V.A.; Ibragimov, A.G.; Dzhemilev, U.M. Catalytic synthesis of benzannelated macrocyclic di- and triperoxides based on phenols. New J. Chem. 2021, 45, 2069–2077. [Google Scholar] [CrossRef]
- Mahmudiyarova, N.N.; Ishmukhametova, I.R.; Dzhemilev, U.M. Catalytic synthesis of spiromacrocyclic diperoxides based on α,ω-diols. Russ. Chem. Bull. 2023, 72, 1161–1165. [Google Scholar] [CrossRef]
- Miura, M.; Nojima, M. Formation of 3,6-dialkyl-1,2,4,5-tetraoxans and related cyclic bis(peroxides) by the action of antimony pentachloride or chlorosulphonic acid on ozonides. J. Chem. Soc., Chem. Commun. 1979, 467–468. [Google Scholar] [CrossRef]
- Miura, M.; Nojima, M. Reaction of ozonide with antimony pentachloride or chlorosulfuric acid. Participation of antimony pentachloride-complexed or protonated carbonyl oxide. J. Am. Chem. Soc. 1980, 102, 288–291. [Google Scholar] [CrossRef]
- Miura, M.; Ikegami, A.; Nojima, M.; Kusabayashi, S. Synthesis of 1,4-disubstituted (or 1,4,4-trisubstituted) 2,3,5,6,11-pentaoxabicyclo[5.3.1]undecanes. J. Chem. Soc., Chem. Commun. 1980, 1279–1281. [Google Scholar] [CrossRef]
- Miura, M.; Ikegami, A.; Nojima, M.; Kusabayashi, S.; McCullough, K.J.; Walkinshaw, M.D. Synthesis and X-ray analysis of 2,3,5,6,11-pentaoxabicyclo[5.3.1]undecanes. J. Chem. Soc., Perkin Trans. 1 1983, 1657–1664. [Google Scholar] [CrossRef]
- Miura, M.; Nojima, M.; Kusabayashi, S.; Nagase, S. Formation of the crossed product 1,4-disubstituted 2,3,5,6,11-pentaoxabicyclo[5.3.1]undecane from a mixture of two kinds of ozonides in the presence of an acid catalyst. Elucidation of the intermediates in the acidolysis of an ozonide. J. Am. Chem. Soc. 1981, 103, 1789–1796. [Google Scholar] [CrossRef]
- Miura, M.; Ikegami, A.; Nojima, M.; Kusabayashi, S.; McCullough, K.J.; Nagase, S. Synthesis, X-ray analysis, and acidolysis of exo- and endo-1-methylindene ozonides. J. Am. Chem. Soc. 1983, 105, 2414–2426. [Google Scholar] [CrossRef]
- Miura, M.; Nagase, S.; Nojima, M.; Kusabayashi, S. Acidolysis of ozonides. An ab initio study. J. Org. Chem. 1983, 48, 2366–2370. [Google Scholar] [CrossRef]
- McCullough, K.J.; Teshima, K.; Nojima, M. Unprecedented formation of a cyclic tetramer from the acidolysis of indene ozonide. Isolation and characterisation of a novel dodecaoxacycloicosane derivative. J. Chem. Soc. Chem. Commun. 1993, 931–933. [Google Scholar] [CrossRef]
- Teshima, K.; Kawamura, S.-i.; Ushigoe, Y.; Nojima, M.; McCullough, K.J. Ozonolyses of Indene and of 1-Alkyl- and 1,1-Dialkyl-Substituted Indenes in Protic Solvents. Remarkable Effects of the Substituent Steric Bulk and the Solvent Nucleophilicity on the Direction of Cleavage of the Primary Ozonides and on the Mode of Capture of the Carbonyl Oxide Intermediates by the Solvents. J. Org. Chem. 1995, 60, 4755–4763. [Google Scholar]
- Ushigoe, Y.; Kawamura, S.-i.; Teshima, K.; Nojima, M.; McCullough, K.J. Transformation of 1-alkyl-substituted indene ozonides and the corresponding solvent-derived ozonolysis products to tricyclic peroxides: Isolation and characterization of novel hexoxecane derivative. Tetrahedron Lett. 1996, 37, 2093–2096. [Google Scholar] [CrossRef]
- Makhmudiyarova, N.N.; Ishmukhametova, I.R.; Dzhemileva, L.U.; D’yakonov, V.A.; Ibragimov, A.G.; Dzhemilev, U.M. Hydrazines in the Synthesis of Cytotoxic N-Aryl(alkyl)-N-(hexaoxazadispiroalkyl)amines. Russ. J. Org. Chem. 2020, 56, 797–801. [Google Scholar] [CrossRef]
- Makhmudiyarova, N.N.; Ishmukhametova, I.R.; Ibragimov, A.G.; Dhzemilev, U.M. Synthesis of a New Class of Macrocyclic Phosphorus-Containing Tri- and Diperoxides in the Presence of Lanthanide Catalysts. Dokl. Chem. 2020, 492, 93–98. [Google Scholar] [CrossRef]
- Makhmudiyarova, N.; Ishmukhametova, I.; Dzhemileva, L.; D’yakonov, V.; Ibragimov, A.; Dzhemilev, U. First Example of Catalytic Synthesis of Cyclic S-Containing Di- and Triperoxides. Molecules 2020, 25, 1874. [Google Scholar] [CrossRef]
- Makhmudiyarova, N.N.; Ishmukhametova, I.R.; Shangaraev, K.R.; Meshcheryakova, E.S.; Ibragimov, A.G. Synthesis of N-Substituted Tetra(hexa)oxazaspiroalkanes Using Amino Acids and Samarium Catalysts. Russ. J. Org. Chem. 2021, 57, 64–70. [Google Scholar] [CrossRef]
- Makhmudiyarova, N.N.; Ishmukhametova, I.R. Urea and Thiourea Derivatives in the Synthesis of Hexaoxaazadispiroalkanecarboxamides. Russ. J. Org. Chem. 2022, 58, 1959–1962. [Google Scholar] [CrossRef]
- Makhmudiyarova, N.N.; Ishmukhametova, I.R. Recyclization of S- and N-Containing Cyclic Peroxides with Aromatic Amines. Russ. J. Org. Chem. 2022, 59, 47–53. [Google Scholar] [CrossRef]
- Makhmudiyarova, N.N.; Ishmukhametova, I.R.; Dzhemileva, L.U.; Tyumkina, T.V.; D’yakonov, V.A.; Ibragimov, A.G.; Dzhemilev, U.M. Synthesis and anticancer activity novel dimeric azatriperoxides. RSC Adv. 2019, 9, 18923–18929. [Google Scholar] [CrossRef]
- Makhmudiyarova, N.N.; Ishmukhametova, I.R. Synthesis of New Macrocyclic Triperoxides. Russ. J. Org. Chem. 2022, 58, 1909–1914. [Google Scholar] [CrossRef]
- Yuryev, Y.K. Catalytic transformations of heterocyclic compounds. Zh. Obshch. Khim. 1936, 6, 972–976. (In Russian) [Google Scholar]
- Milas, N.A.; Golubovic, A. Studies in Organic Peroxides. XXX. Organic Peroxides Derived from 2,5-Hexanedione and Hydrogen Peroxide1a. J. Org. Chem. 1962, 27, 4319–4323. [Google Scholar] [CrossRef]
- Jiang, H.; Chu, G.; Gong, H.; Qiao, Q. Tin Chloride Catalysed Oxidation of Acetone with Hydrogen Peroxide to Tetrameric Acetone Peroxide. J. Chem. Res. 1999, 23, 288–289. [Google Scholar] [CrossRef]
- McCullough, K.J.; Tokuhara, H.; Masuyama, A.; Nojima, M. New approaches to the synthesis of spiro-peroxylactones. Org. Biomol. Chem. 2003, 1, 1522–1527. [Google Scholar] [CrossRef]
- Boto, A.; Hernández, R.; Velázquez, S.M.; Suárez, E.; Prangé, T. Stereospecific Synthesis of 1,2-Dioxolanes by Alkoxy Radical β-Fragmentation of Steroidal Cyclic Peroxyhemiacetals. J. Org. Chem. 1998, 63, 4697–4705. [Google Scholar] [CrossRef]
- Huang, C.-S.; Peng, C.-C.; Chou, C.-H. Reaction of 2,5-dimethylene-2,5-dihydrothiophene with triplet oxygen. Tetrahedron Lett. 1994, 35, 4175–4176. [Google Scholar] [CrossRef]














































Disclaimer/Publisher’s Note: The statements, opinions and data contained in all publications are solely those of the individual author(s) and contributor(s) and not of MDPI and/or the editor(s). MDPI and/or the editor(s) disclaim responsibility for any injury to people or property resulting from any ideas, methods, instructions or products referred to in the content. |
© 2024 by the authors. Licensee MDPI, Basel, Switzerland. This article is an open access article distributed under the terms and conditions of the Creative Commons Attribution (CC BY) license (https://creativecommons.org/licenses/by/4.0/).
Share and Cite
Barsegyan, Y.A.; Vil’, V.A.; Terent’ev, A.O. Macrocyclic Organic Peroxides: Constructing Medium and Large Cycles with O-O Bonds. Chemistry 2024, 6, 1246-1270. https://doi.org/10.3390/chemistry6050072
Barsegyan YA, Vil’ VA, Terent’ev AO. Macrocyclic Organic Peroxides: Constructing Medium and Large Cycles with O-O Bonds. Chemistry. 2024; 6(5):1246-1270. https://doi.org/10.3390/chemistry6050072
Chicago/Turabian StyleBarsegyan, Yana A., Vera A. Vil’, and Alexander O. Terent’ev. 2024. "Macrocyclic Organic Peroxides: Constructing Medium and Large Cycles with O-O Bonds" Chemistry 6, no. 5: 1246-1270. https://doi.org/10.3390/chemistry6050072
APA StyleBarsegyan, Y. A., Vil’, V. A., & Terent’ev, A. O. (2024). Macrocyclic Organic Peroxides: Constructing Medium and Large Cycles with O-O Bonds. Chemistry, 6(5), 1246-1270. https://doi.org/10.3390/chemistry6050072
