Comparison of Cu-CHA-Zeolites in the Hybrid NSR-SCR Catalytic System for NOx Abatement in Mobile Sources
Abstract
1. Introduction
2. Materials and Methods
2.1. Catalyst Synthesis
2.1.1. NSR Catalyst
2.1.2. SCR Catalysts
2.2. Catalyst Characterization
2.3. Catalytic Activity
NSR Alternating Cycles (DeNOx Activity)
3. Results
3.1. Characterization
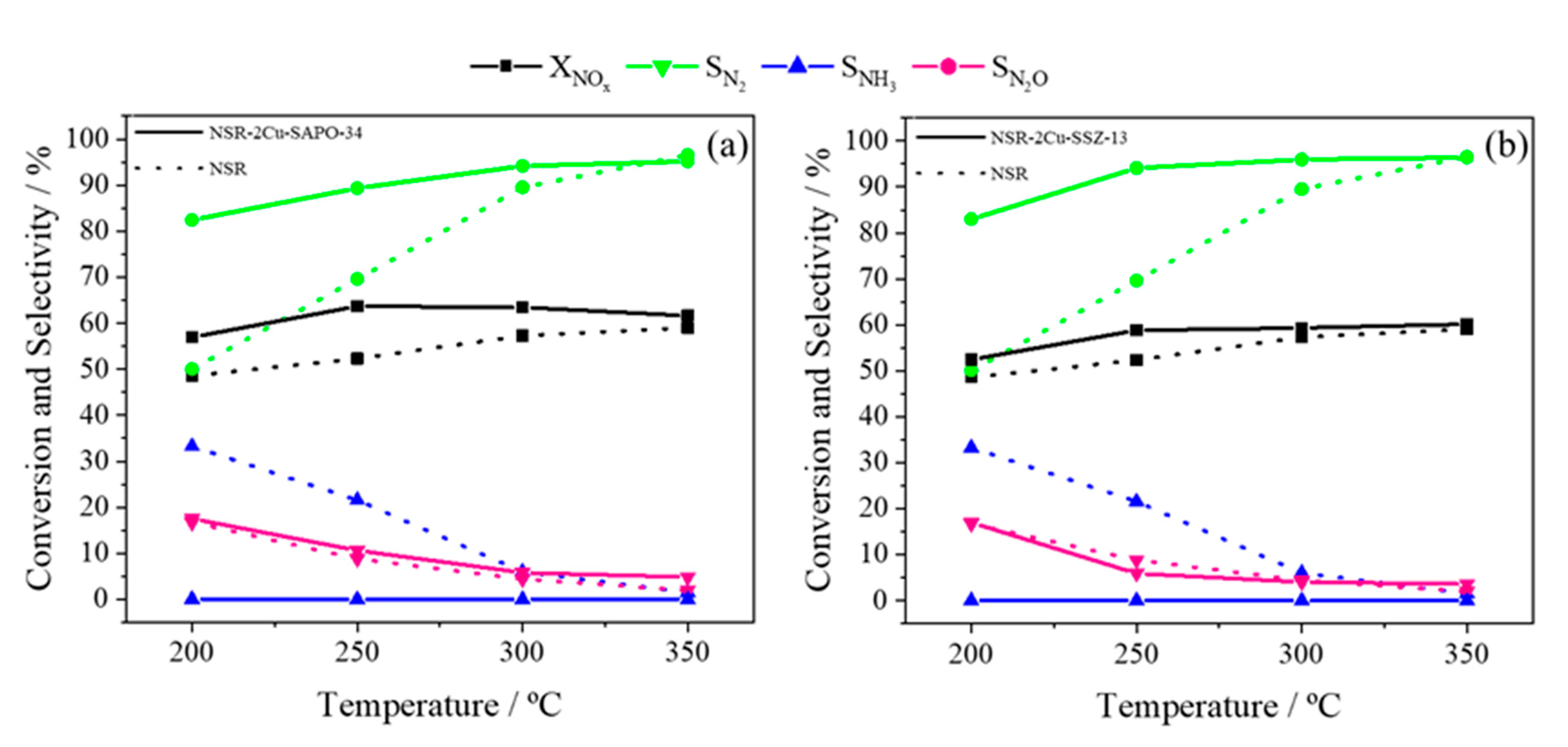
3.2. DeNOx Activity
4. Conclusions
Author Contributions
Funding
Institutional Review Board Statement
Informed Consent Statement
Data Availability Statement
Acknowledgments
Conflicts of Interest
References
- European Environment Agency (EEA). Air Pollutant Emissions Data Viewer (Gothenburg Protocol, LRTAP Convention) 1990–2020. Available online: https://www.eea.europa.eu/data-and-maps/dashboards/air-pollutant-emissions-data-viewer-4 (accessed on 11 January 2023).
- Hooftman, N.; Messagie, M.; van Mierlo, J.; Coosemans, T. A Review of the European Passenger Car Regulations—Real Driving Emissions vs. Local Air Quality. Renew. Sustain. Energy Rev. 2018, 86, 1–21. [Google Scholar] [CrossRef]
- European Commission. ANNEXES to the Proposal for a Regulation of the European Parliament and the Council on Type-Approval of Motor Vehicles and Engines and of Systems, Components and Separate Technical Units Intended for Such Vehicles, with Respect to Their Emissions and Battery Durability (Euro 7) and Repealing Regulations (EC) No 715/2007 and (EC) No 595/2009. COM. 2022. Available online: https://eur-lex.europa.eu/legal-content/EN/TXT/?uri=CELEX%3A52022PC0586 (accessed on 11 January 2023).
- European Commission. Proposal for a Regulation of the European Parliament and of the Council on Type-Approval of Motor Vehicles and Engines and of Systems, Components and Separate Technical Units Intended for Such Vehicles, with Respect to Their Emissions and Battery Durability (Euro 7) and Repealing Regulations (EC) No 715/2007 and (EC) No 595/2009. COM. 2022. Available online: https://eur-lex.europa.eu/legal-content/EN/TXT/?uri=CELEX%3A52022PC0586 (accessed on 11 January 2023).
- Martínez-Munuera, J.C.; Giménez-Mañogil, J.; Castoldi, L.; Lietti, L.; García-García, A. Ceria-Based Catalysts for NOx Removal in NSR Processes: A Fundamental Study of the Catalyst Modifications Explored by in Situ Techniques. Appl. Surf. Sci. 2020, 529, 147019. [Google Scholar] [CrossRef]
- Lietti, L.; Artioli, N.; Righini, L.; Castoldi, L.; Forzatti, P. Pathways for N2 and N2O Formation during the Reduction of NOx over Pt–Ba/Al2O3 LNT Catalysts Investigated by Labeling Isotopic Experiments. Ind. Eng. Chem. Res. 2012, 51, 7597–7605. [Google Scholar] [CrossRef]
- Kim, B.S.; Kim, P.S.; Bae, J.; Jeong, H.; Kim, C.H.; Lee, H. Synergistic Effect of Cu/CeO2 and Pt-BaO/CeO2 Catalysts for a Low-Temperature Lean NOx Trap. Environ. Sci. Technol. 2019, 53, 2900–2907. [Google Scholar] [CrossRef]
- Ren, D.; Wang, C.; Yang, D.; Rong, Y.; Du, J.; Zhao, Y. Rh/CeO2+ Pt/Ba/Mn/Al2O3 Model NSR Catalysts: Effect of Rh/Pt Weight Ratio. Catal. Commun. 2021, 156, 106322. [Google Scholar] [CrossRef]
- Keskin, A.; Yaşar, A.; Candemir, O.C.; Özarslan, H. Influence of Transition Metal Based SCR Catalyst on the NOx Emissions of Diesel Engine at Low Exhaust Gas Temperatures. Fuel 2020, 273, 117785. [Google Scholar] [CrossRef]
- Mohan, S.; Dinesha, P.; Kumar, S. NOx Reduction Behaviour in Copper Zeolite Catalysts for Ammonia SCR Systems: A Review. Chem. Eng. J. 2020, 384, 123253. [Google Scholar] [CrossRef]
- Cortés-Reyes, M.; Herrera, C.; Larrubia, M.Á.; Alemany, L.J. Hybrid Technology for DeNOxing by LNT-SCR System for Efficient Diesel Emission Control: Influence of Operation Parameters in H2O + CO2 Atmosphere. Catalysts 2020, 10, 228. [Google Scholar] [CrossRef]
- Cortés-Reyes, M.; Larrubia, M.Á.; Herrera, C.; Alemany, L.J. Influence of CO2 and H2O Co-Feeding in the NOx Abatement by SCR over an Efficient Cu-CHA Catalyst. Chem. Eng. Sci. 2019, 201, 373–381. [Google Scholar] [CrossRef]
- Yasumura, S.; Qian, Y.; Kato, T.; Mine, S.; Toyao, T.; Maeno, Z.; Shimizu, K.I. In Situ/Operando Spectroscopic Studies on the NH3-SCR Mechanism over Fe-Zeolites. ACS Catal. 2022, 12, 9983–9993. [Google Scholar] [CrossRef]
- Liu, C.; Malta, G.; Kubota, H.; Toyao, T.; Maeno, Z.; Shimizu, K.I. Mechanism of NH3-Selective Catalytic Reduction (SCR) of NO/NO2(Fast SCR) over Cu-CHA Zeolites Studied By In Situ/Operando Infrared Spectroscopy and Density Functional Theory. J. Phys. Chem. C 2021, 125, 21975–21987. [Google Scholar] [CrossRef]
- Can, F.; Courtois, X.; Duprez, D. NSR–SCR Combined Systems: Production and Use of Ammonia. In Urea-SCR Technology for deNOx After Treatment of Diesel Exhausts; Springer: New York, NY, USA, 2014; pp. 587–622. [Google Scholar]
- Cortés-Reyes, M.; Molina-Ramírez, S.; Onrubia-Calvo, J.A.; Herrera, C.; Larrubia, M.Á.; González-Velasco, J.R.; Alemany, L.J. Structured NSR-SCR Hybrid Catalytic Technology: Influence of Operational Parameters on DeNOx Activity. Catal. Today 2022, 383, 287–298. [Google Scholar] [CrossRef]
- Onrubia-Calvo, J.A.; Pereda-Ayo, B.; Urrutxua, M.; de La Torre, U.; Gonzaìlez-Velasco, J.R. Boosting NOx removal by Perovskite-Based Catalyst in NSR-SCR Diesel Aftertreatment Systems. Ind. Eng. Chem. Res. 2021, 60, 6525–6537. [Google Scholar] [CrossRef]
- Gandhi, H.S.; Cavataio, J.V.; Hammerle, R.H.; Cheng, Y. Catalyst System for the Reduction of NOx and NH3 Emissions. 2004. Available online: https://patents.google.com/patent/US7332135B2/en (accessed on 11 January 2023).
- Furbeck, H.; Koermer, G.S.; Moini, A.; Castellano, C. Catalyst, Method for Its Preparation and System to Reduce NOx in an Exhaust Gas Stream. 2008. Available online: https://patents.google.com/patent/CN101534932A/en (accessed on 11 January 2023).
- Wan, C.Z.; Zheng, X.; Stiebels, S.; Wendt, C.; Boorse, S.R. Emissions Treatment System with Ammonia-Generating and SCR Catalyst. 2010. Available online: https://patents.google.com/patent/US20110173950A1/en (accessed on 11 January 2023).
- Cortés-Reyes, M.; Herrera, C.; Larrubia, M.Á.; Alemany, L.J. Advance in the Scaling up of a Hybrid Catalyst for NSR-SCR Coupled Systems under H2O + CO2 Atmosphere. Catal. Today 2020, 356, 292–300. [Google Scholar] [CrossRef]
- De La Torre, U.; Pereda-Ayo, B.; Romero-Sáez, M.; Aranzabal, A.; González-Marcos, M.P.; González-Marcos, J.A.; González-Velasco, J.R. Screening of Fe–Cu-Zeolites Prepared by different Methodology for Application in NSR–SCR Combined DeNOx Systems. Top Catal. 2013, 56, 215–221. [Google Scholar] [CrossRef]
- De-La-Torre, U.; Pereda-Ayo, B.; Moliner, M.; González-Velasco, J.R.; Corma, A. Cu-Zeolite Catalysts for NOx Removal by Selective Catalytic Reduction with NH3 and Coupled to NO Storage/Reduction Monolith in Diesel Engine Exhaust Aftertreatment Systems. Appl. Catal. B 2016, 187, 419–427. [Google Scholar] [CrossRef]
- Zhang, S.; Pang, L.; Chen, Z.; Ming, S.; Dong, Y.; Liu, Q.; Liu, P.; Cai, W.; Li, T. Cu/SSZ-13 and Cu/SAPO-34 Catalysts for DeNOx in Diesel Exhaust: Current Status, Challenges, and Future Perspectives. Appl. Catal. A Gen. 2020, 607, 117855. [Google Scholar] [CrossRef]
- Malpartida, I.; Guerrero-Pérez, M.O.; Herrera, M.C.; Larrubia, M.A.; Alemany, L.J. MS-FTIR Reduction Stage Study of NSR Catalysts. Catal. Today 2007, 126, 162–168. [Google Scholar] [CrossRef]
- Pieta, I.S.; García-Diéguez, M.; Herrera, C.; Larrubia, M.A.; Alemany, L.J. In Situ DRIFT–TRM Study of Simultaneous NOx and Soot Removal over Pt–Ba and Pt–K NSR Catalysts. J. Catal. 2010, 270, 256–267. [Google Scholar] [CrossRef]
- Pieta, I.S.; Epling, W.S.; García-Diéguez, M.; Luo, J.Y.; Larrubia, M.A.; Herrera, M.C.; Alemany, L.J. Nanofibrous Pt-Ba Lean NO Trap Catalyst with Improved Sulfur Resistance and Thermal Durability. Catal. Today 2011, 175, 55–64. [Google Scholar] [CrossRef]
- Cortés-Reyes, M.; Herrera, M.C.; Pieta, I.S.; Larrubia, M.A.; Alemany, L.J. In Situ TG-MS Study of NOx and Soot Removal over LNT Model Catalysts. Appl. Catal. A Gen. 2016, 523, 193–199. [Google Scholar] [CrossRef]
- Cortés-Reyes, M.; Herrera, M.C.; Larrubia, M.A.; Alemany, L.J. Fast Ultrasound Assisted Synthesis of Cu-SAPO-34 for SCR Application. Int. J. Innov. Res. Sci. Eng. Technol. 2016, 5, 5540–5550. [Google Scholar] [CrossRef]
- Yuen, L.T.; Zones, S.I. Verified Syntheses of Zeolitic Materials; Robson, H., Ed.; Elsevier: Amsterdam, The Netherlands, 2001; Volume 13, ISBN 9780444507037. [Google Scholar]
- Cortés-Reyes, M.; Herrera, C.; Larrubia, M.Á.; Alemany, L.J. Intrinsic Reactivity Analysis of Soot Removal in LNT-Catalysts. Appl. Catal. B 2016, 193, 110–120. [Google Scholar] [CrossRef]
- Pieta, I.S.; García-Diéguez, M.; Larrubia, M.A.; Alemany, L.J.; Epling, W.S. Sn-Modified NOX Storage/Reduction Catalysts. Catal. Today 2013, 207, 200–211. [Google Scholar] [CrossRef]
- Turrina, A.; Eschenroeder, E.C.V.; Bode, B.E.; Collier, J.E.; Apperley, D.C.; Cox, P.A.; Casci, J.L.; Wright, P.A. Understanding the Structure Directing Action of Copper–Polyamine Complexes in the Direct Synthesis of Cu-SAPO-34 and Cu-SAPO-18 Catalysts for the Selective Catalytic Reduction of NO with NH3. Microporous Mesoporous Mater. 2015, 215, 154–167. [Google Scholar] [CrossRef]
- International Zeolite Association (IZA) Database of Zeolite Structure. Available online: https://europe.iza-structure.org/IZA-SC/framework.php?STC=CHA (accessed on 28 December 2022).
- Martínez-Franco, R.; Moliner, M.; Thogersen, J.R.; Corma, A. Efficient One-Pot Preparation of Cu-SSZ-13 Materials Using Cooperative OSDAs for Their Catalytic Application in the SCR of NOx. ChemCatChem 2013, 5, 3316–3323. [Google Scholar] [CrossRef]
- Ren, L.; Zhang, Y.; Zeng, S.; Zhu, L.; Sun, Q.; Zhang, H.; Yang, C.; Meng, X.; Yang, X.; Xiao, F. Design and Synthesis of a Catalytically Active Cu-SSZ-13 Zeolite from a Copper-Amine Complex Template. Cuihua Xuebao/Chin. J. Catal. 2012, 33, 92–105. [Google Scholar] [CrossRef]
- Cortés-Reyes, M.; Finocchio, E.; Herrera, C.; Larrubia, M.A.; Alemany, L.J.; Busca, G. A Study of Cu-SAPO-34 Catalysts for SCR of NOx by Ammonia. Microporous Mesoporous Mater. 2017, 241, 258–265. [Google Scholar] [CrossRef]
- Gao, F.; Walter, E.D.; Washton, N.M.; Szanyi, J.; Peden, C.H.F. Synthesis and Evaluation of Cu/SAPO-34 Catalysts for NH3-SCR 2: Solid-State Ion Exchange and One-Pot Synthesis. Appl. Catal. B 2015, 162, 501–514. [Google Scholar] [CrossRef]
- He, J.; Mao, D.; Hou, J.; Zhong, C.; Yin, C.; Zhao, Z.; Yang, R.T. Efficient One-Pot Synthesis of Cu-SAPO-34 Catalysts for NH3-SCR of NOx. Fuel 2022, 339, 126927. [Google Scholar] [CrossRef]
- Bing, L.; Wang, G.; Yi, K.; Tian, A.; Wang, F.; Wu, C. One-Pot Synthesis of Cu-SAPO-34 Catalyst Using Waste Mother Liquid and Its Application in the Selective Catalytic Reduction of NO with NH3. Catal. Today 2018, 316, 37–42. [Google Scholar] [CrossRef]
- Jia, L.; Liu, J.; Huang, D.; Zhao, J.; Zhang, J.; Li, K.; Li, Z.; Zhu, W.; Zhao, Z.; Liu, J. Interface Engineering of a Bifunctional Cu-SSZ-13@CZO Core-Shell Catalyst for Boosting Potassium Ion and SO2 Tolerance. ACS Catal. 2022, 12, 11281–11293. [Google Scholar] [CrossRef]
- Jiang, H.; Guan, B.; Peng, X.; Zhan, R.; Lin, H.; Huang, Z. Influence of Synthesis Method on Catalytic Properties and Hydrothermal Stability of Cu/SSZ-13 for NH3-SCR Reaction. Chem. Eng. J. 2020, 379, 122358. [Google Scholar] [CrossRef]
- Jiang, H.; Guan, B.; Lin, H.; Huang, Z. Cu/SSZ-13 Zeolites Prepared by in Situ Hydrothermal Synthesis Method as NH3-SCR Catalysts: Influence of the Si/Al Ratio on the Activity and Hydrothermal Properties. Fuel 2019, 255, 115587. [Google Scholar] [CrossRef]
- Yong, X.; Chen, H.; Zhao, H.; Wei, M.; Zhao, Y.; Li, Y. Insight into SO2 Poisoning and Regeneration of One-Pot Synthesized Cu-SSZ-13 Catalyst for Selective Reduction of NOx by NH3. Chin. J. Chem. Eng. 2022, 46, 184–193. [Google Scholar] [CrossRef]
- Cheng, J.; Zheng, D.; Dai, C.; Xu, R.; Liu, N.; Yu, G.; Wang, N.; Chen, B. Constructing Active Copper Species in Cu-Zeolites for Coal-Gas-SCR and Elucidating the Synergistic Catalytic Function of CuO and Cu2+ Ion Species. Environ. Sci. Nano 2022, 9, 2372–2387. [Google Scholar] [CrossRef]
- Liu, B.; Lv, N.; Wang, C.; Zhang, H.; Yue, Y.; Xu, J.; Bi, X.; Bao, X. Redistributing Cu Species in Cu-SSZ-13 Zeolite as NH3-SCR Catalyst via a Simple Ion-Exchange. Chin. J. Chem. Eng. 2022, 41, 329–341. [Google Scholar] [CrossRef]
- Deka, U.; Lezcano-Gonzalez, I.; Weckhuysen, B.M.; Beale, A.M. Local Environment and Nature of Cu Active Sites in Zeolite-Based Catalysts for the Selective Catalytic Reduction of NOx. ACS Catal. 2013, 3, 413–427. [Google Scholar] [CrossRef]
- Palčić, A.; Bruzzese, P.C.; Pyra, K.; Bertmer, M.; Góra-Marek, K.; Poppitz, D.; Pöppl, A.; Gläser, R.; Jabłońska, M. Nanosized CU-SSZ-13 and Its Application in NH3-SCR. Catalysts 2020, 10, 506. [Google Scholar] [CrossRef]
- Khurana, I.; Albarracin-Caballero, J.D.; Shih, A.J. Identification and Quantification of Multinuclear Cu Active Sites Derived from Monomeric Cu Moieties for Dry NO Oxidation over Cu-SSZ-13. J. Catal. 2022, 413, 1111–1122. [Google Scholar] [CrossRef]
- Zhang, S.; Chen, J.; Meng, Y.; Pang, L.; Guo, Y.; Luo, Z.; Fang, Y.; Dong, Y.; Cai, W.; Li, T. Insight into Solid-State Ion-Exchanged Cu-Based Zeolite (SSZ-13, SAPO-18, and SAPO-34) Catalysts for the NH3-SCR Reaction: The Promoting Role of NH4-Form Zeolite Substrates. Appl. Surf. Sci. 2022, 571, 151328. [Google Scholar] [CrossRef]
- Zhang, S.; Ming, S.; Guo, L.; Bian, C.; Meng, Y.; Liu, Q.; Dong, Y.; Bi, J.; Li, D.; Wu, Q.; et al. Controlled Synthesis of Cu-Based SAPO-18/34 Intergrowth Zeolites for Selective Catalytic Reduction of NOx by Ammonia. J. Hazard. Mater. 2021, 414, 125543. [Google Scholar] [CrossRef] [PubMed]
- Villamaina, R.; Liu, S.; Nova, I.; Tronconi, E.; Ruggeri, M.P.; Collier, J.; York, A.; Thompsett, D. Speciation of Cu Cations in Cu-CHA Catalysts for NH3-SCR: Effects of SiO2/AlO3 Ratio and Cu-Loading Investigated by Transient Response Methods. ACS Catal. 2019, 9, 8916–8927. [Google Scholar] [CrossRef]
- Paolucci, C.; Parekh, A.A.; Khurana, I.; di Iorio, J.R.; Li, H.; Albarracin Caballero, J.D.; Shih, A.J.; Anggara, T.; Delgass, W.N.; Miller, J.T.; et al. Catalysis in a Cage: Condition-Dependent Speciation and Dynamics of Exchanged Cu Cations in Ssz-13 Zeolites. J. Am. Chem. Soc. 2016, 138, 6028–6048. [Google Scholar] [CrossRef]
- Righini, L.; Kubiak, L.; Morandi, S.; Castoldi, L.; Lietti, L.; Forzatti, P. N-Heptane as a Reducing Agent in the NOx removal over a Pt-Ba/Al2O3NSR Catalyst. ACS Catal. 2014, 4, 3261–3272. [Google Scholar] [CrossRef]






| Catalyst | Surface Area (m2·g−1) | Pore Volume (cm3·g−1) | Cell Unit Parameters * | ||||||
|---|---|---|---|---|---|---|---|---|---|
| Sµ | Sext | SBET | Vµ | Vtotal | V (Å3) | a = b (Å) | c (Å) | Cryst. Size (Å) | |
| 2Cu-SAPO-34 | 435 | 85 | 520 | 0.142 | 0.369 | 2381.51 | 13.589 | 14.892 | 1144.7 |
| 2Cu-SSZ-13 | 793 | 13 | 806 | 0.279 | 0.294 | 2352.15 | 13.564 | 14.761 | 1292.4 |
| Al (wt.%) | Si (wt.%) | O (wt.%) | Cu (wt.%) | P (wt.%) | |
|---|---|---|---|---|---|
| 2Cu-SAPO-34 | 25.75 | 6.17 | 46.45 | 1.95 | 19.67 |
| 2Cu-SSZ-13 | 2.88 | 55.95 | 39.10 | 2.07 | - |
| Sample | Binding Energy (eV) | Cu+/Cu2+ Ratio | |
|---|---|---|---|
| 2Cu-SAPO-34 | Cu+ | 955.98 | 1.69 |
| Cu2+ | 954.96 | ||
| 2Cu-SSZ-13 | Cu+ | 953.05 | 3.11 |
| Cu2+ | 954.88 |
Disclaimer/Publisher’s Note: The statements, opinions and data contained in all publications are solely those of the individual author(s) and contributor(s) and not of MDPI and/or the editor(s). MDPI and/or the editor(s) disclaim responsibility for any injury to people or property resulting from any ideas, methods, instructions or products referred to in the content. |
© 2023 by the authors. Licensee MDPI, Basel, Switzerland. This article is an open access article distributed under the terms and conditions of the Creative Commons Attribution (CC BY) license (https://creativecommons.org/licenses/by/4.0/).
Share and Cite
Molina-Ramírez, S.; Cortés-Reyes, M.; Herrera, C.; Larrubia, M.Á.; Alemany, L.J. Comparison of Cu-CHA-Zeolites in the Hybrid NSR-SCR Catalytic System for NOx Abatement in Mobile Sources. Chemistry 2023, 5, 602-615. https://doi.org/10.3390/chemistry5010043
Molina-Ramírez S, Cortés-Reyes M, Herrera C, Larrubia MÁ, Alemany LJ. Comparison of Cu-CHA-Zeolites in the Hybrid NSR-SCR Catalytic System for NOx Abatement in Mobile Sources. Chemistry. 2023; 5(1):602-615. https://doi.org/10.3390/chemistry5010043
Chicago/Turabian StyleMolina-Ramírez, Sergio, Marina Cortés-Reyes, Concepción Herrera, María Ángeles Larrubia, and Luis José Alemany. 2023. "Comparison of Cu-CHA-Zeolites in the Hybrid NSR-SCR Catalytic System for NOx Abatement in Mobile Sources" Chemistry 5, no. 1: 602-615. https://doi.org/10.3390/chemistry5010043
APA StyleMolina-Ramírez, S., Cortés-Reyes, M., Herrera, C., Larrubia, M. Á., & Alemany, L. J. (2023). Comparison of Cu-CHA-Zeolites in the Hybrid NSR-SCR Catalytic System for NOx Abatement in Mobile Sources. Chemistry, 5(1), 602-615. https://doi.org/10.3390/chemistry5010043

