Complexation Behavior of Pinene–Bipyridine Ligands towards Lanthanides: The Influence of the Carboxylic Arm
Abstract
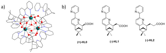
:1. Introduction
2. Materials and Methods
2.1. General
2.2. General Procedure for (–)-PL
2.3. General Procedure for (–)-HL
2.4. General Procedure for the Synthesis of [LnL2](ClO4)
2.5. UV-Vis Titrations
2.6. 1H NMR Titrations
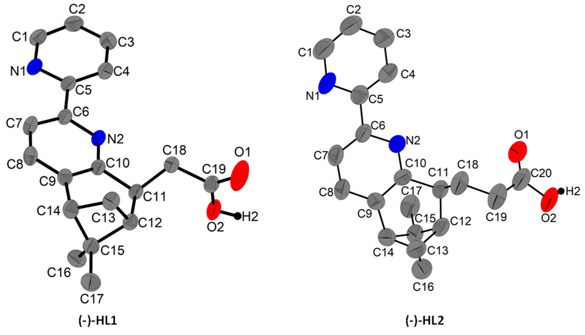
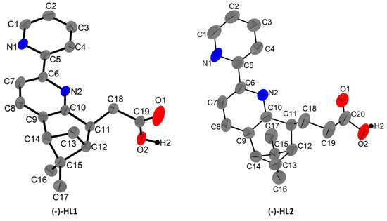
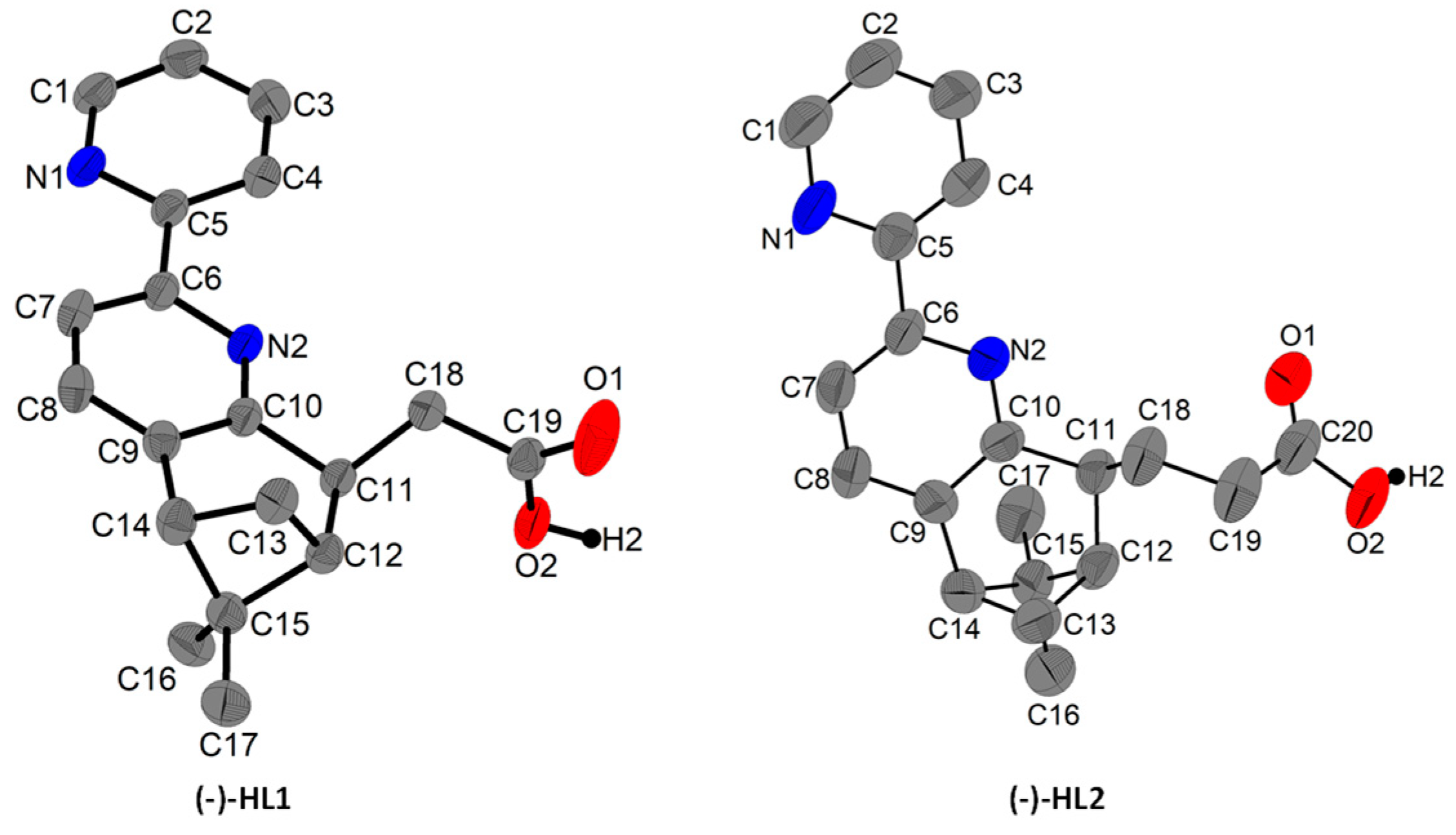
2.7. X-Ray Structure Determinations
3. Results and Discussion
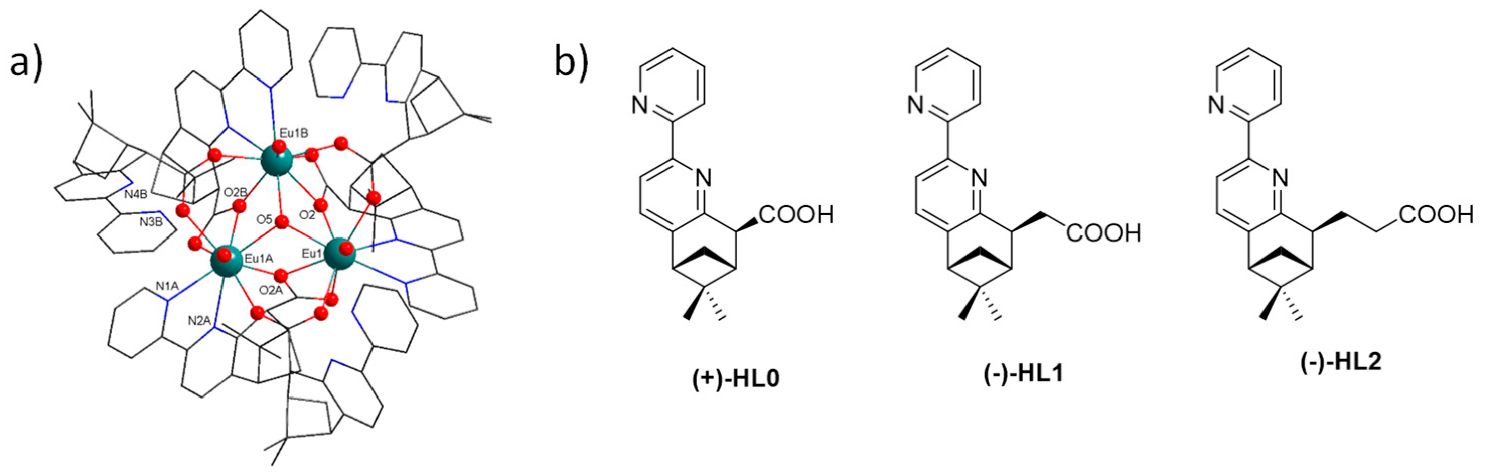
3.1. Synthesis
3.2. Complexation Studies
3.3. Determination of Association Constants by UV-Vis Titrations

3.4. H NMR Titrations
4. Conclusions
Supplementary Materials
Author Contributions
Funding
Acknowledgments
Conflicts of Interest
References
- Varshey, D.B.; Sander, J.R.G.; Friščić, T.; MacGillivray, L.R. Supramolecular Interactions. In Supramolecular Chemistry; Gale, P.A., Steed, J.W., Eds.; Wiley: Hoboken, NJ, USA, 2012. [Google Scholar]
- Kilbas, B.; Mirtschin, S.; Riis-Johannessen, T.; Scopelliti, R.; Severin, K. Dicarboxylate-bridged ruthenium complexes as building blocks for molecular nanostructures. Inorg. Chem. 2012, 51, 5795–5804. [Google Scholar] [CrossRef]
- Jansze, S.M.; Cecot, G.; Wise, M.D.; Zhurov, K.O.; Ronson, T.K.; Castilla, A.M.; Finelli, A.; Pattison, P.; Solari, E.; Scopelliti, R.; et al. Ligand Aspect Ratio as a Decisive Factor for the Self-Assembly of Coordination Cages. J. Am. Chem. Soc. 2016, 138, 2046–2054. [Google Scholar] [CrossRef] [PubMed]
- Zarra, S.; Wood, D.M.; Roberts, D.A.; Nitschke, J.R. Molecular containers in complex chemical systems. Chem. Soc. Rev. 2015, 44, 419–432. [Google Scholar] [CrossRef] [Green Version]
- Metherell, A.J.; Ward, M.D. Stepwise synthesis of a Ru4Cd4 coordination cage using inert and labile subcomponents: Introduction of redox activity at specific sites. Chem. Commun. 2014, 50, 6330–6332. [Google Scholar] [CrossRef] [PubMed] [Green Version]
- Von Zelewsky, A.; Mamula, O. The bright future of stereoselective synthesis of co-ordination compounds. J. Chem. Soc. Dalton Trans. 2000, 219–231. [Google Scholar] [CrossRef] [Green Version]
- Bünzli, J.C.G.; Piguet, C. Taking advantage of luminescent lanthanide ions. Chem. Soc. Rev. 2005, 34, 1048–1077. [Google Scholar] [CrossRef] [PubMed]
- Woodruff, D.N.; Winpenny, R.E.P.; Layfield, R.A. Lanthanide Single-Molecule Magnets. Chem. Rev. 2013, 113, 5110–5148. [Google Scholar] [CrossRef] [PubMed]
- Bünzli, J.C.G.; Piguet, C. Lanthanide-containing molecular and supramolecular polymetallic functional assemblies. Chem. Rev. 2002, 102, 1897–1928. [Google Scholar] [CrossRef] [PubMed] [Green Version]
- Li, X.Z.; Zhou, L.P.; Yan, L.L.; Dong, Y.M.; Bai, Z.L.; Sun, X.Q.; Diwu, J.; Wang, S.; Bünzli, J.C.; Sun, Q.F. A supramolecular lanthanide separation approach based on multivalent cooperative enhancement of metal ion selectivity. Nat. Commun. 2018, 9, 547. [Google Scholar] [CrossRef] [Green Version]
- Lewis, F.W.; Harwood, L.M.; Hudson, M.J.; Drew, M.G.B.; Desreux, J.F.; Vidick, G.; Bouslimani, N.; Modolo, G.; Wilden, A.; Sypula, M.; et al. Highly efficient separation of actinides from lanthanides by a phenanthroline-derived bis-triazine ligand. J. Am. Chem. Soc. 2011, 133, 13093–13102. [Google Scholar] [CrossRef] [Green Version]
- Montgomery, C.P.; Murray, B.S.; New, E.J.; Pal, R.; Parker, D. Cell-penetrating metal complex optical probes: Targeted and responsive systems based on lanthanide luminescence. Acc. Chem. Res. 2009, 42, 925–937. [Google Scholar] [CrossRef] [PubMed]
- Charbonniére, L.J.; Ziessel, R.; Montalti, M.; Prodi, L.; Zaccheroni, N.; Boehme, C.; Wipff, G. Luminescent lanthanide complexes of a bis-bipyridine-phosphine-oxide ligand as tools for anion detection. J. Am. Chem. Soc. 2002, 124, 7779–7788. [Google Scholar] [CrossRef]
- Wei, C.; Ma, L.; Wei, H.; Liu, Z.; Bian, Z.; Huang, C. Advances in luminescent lanthanide complexes and applications. Sci. China Technol. Sci. 2018, 61, 1265–1285. [Google Scholar] [CrossRef]
- Klink, S.I.; Grave, L.; Reinhoudt, D.N.; Van Veggel, F.C.J.M.; Werts, M.H.V.; Geurts, F.A.J.; Hofstraat, J.W. A systematic study of the photophysical processes in polydentate triphenylene-functionalized Eu3+, Tb3+, Nd3+, Yb3+, and Er3+ complexes. J. Phys. Chem. A 2000, 104, 5457–5468. [Google Scholar] [CrossRef]
- Chow, C.Y.; Eliseeva, S.V.; Trivedi, E.R.; Nguyen, T.N.; Kampf, J.W.; Petoud, S.; Pecoraro, V.L. Ga3+/Ln3+ Metallacrowns: A promising family of highly luminescent lanthanide complexes that covers visible and near-infrared domains. J. Am. Chem. Soc. 2016, 138, 5100–5109. [Google Scholar] [CrossRef]
- Barry, D.E.; Kitchen, J.A.; Mercs, L.; Peacock, R.D.; Albrecht, M.; Gunnlaugsson, T. Chiral luminescent lanthanide complexes possessing strong (samarium, Sm III) circularly polarised luminescence (CPL), and their self-assembly into Langmuir–Blodgett films. Dalton Trans. 2019, 48, 11317–11325. [Google Scholar] [CrossRef]
- Walton, J.W.; Bari, L.D.; Parker, D.; Pescitelli, G.; Puschmann, H.; Yufit, D.S. Structure, resolution and chiroptical analysis of stable lanthanide complexes of a pyridylphenylphosphinate triazacyclononane ligand. Chem. Commun. 2011, 47, 12289–12291. [Google Scholar] [CrossRef]
- Rinehart, J.D.; Long, J.R. Exploiting single-ion anisotropy in the design of f-element single-molecule magnets. Chem. Sci. 2011, 2, 2078. [Google Scholar] [CrossRef]
- Li, X.Z.; Zhou, L.P.; Yan, L.L.; Yuan, D.Q.; Lin, C.S.; Sun, Q.F. Evolution of luminescent supramolecular lanthanide M2nL3n complexes from helicates and tetrahedra to cubes. J. Am. Chem. Soc. 2017, 139, 8237–8244. [Google Scholar] [CrossRef]
- Bozoklu, G.; Gateau, C.; Imbert, D.; Pécaut, J.; Robeyns, K.; Filinchuk, Y.; Memon, F.; Muller, G.; Mazzanti, M. Metal-controlled diastereoselective self-assembly and circularly polarized luminescence of a chiral heptanuclear europium wheel. J. Am. Chem. Soc. 2012, 134, 8372–8375. [Google Scholar] [CrossRef] [Green Version]
- Lama, M.; Mamula, O.; Kottas, G.S.; Rizzo, F.; De Cola, L.; Nakamura, A.; Kuroda, R.; Stoeckli-Evans, H. Lanthanide class of a trinuclear enantiopure helical architecture containing chiral ligands: Synthesis, structure, and properties. Chem. Eur. J. 2007, 13, 7358–7373. [Google Scholar] [CrossRef]
- Mamula, O.; Lama, M.; Telfer, S.G.; Nakamura, A.; Kuroda, R.; Stoeckli-Evans, H.; Scopelitti, R. A Trinuclear EuIII Array within a diastereoselectively self-assembled helix formed by chiral bipyridine-carboxylate ligands. Angew. Chem. Int. Ed. 2005, 44, 2527–2531. [Google Scholar] [CrossRef]
- Lama, M.; Mamula, O.; Kottas, G.S.; De Cola, L.; Stoeckli-Evans, H.; Shova, S. Enantiopure, supramolecular helices containing three-dimensional tetranuclear Lanthanide (III) arrays: Synthesis, structure, properties, and solvent-driven trinuclear/tetranuclear interconversion. Inorg. Chem. 2008, 47, 8000–8015. [Google Scholar] [CrossRef] [PubMed]
- Dolomanov, O.V.; Bourhis, L.J.; Gildea, R.J.; Howard, J.A.K.; Puschmann, H. OLEX2: A complete structure solution, refinement and analysis program. J. Appl. Cryst. 2009, 42, 339–341. [Google Scholar] [CrossRef]
- Sheldrick, G.M. SHELXT—Integrated space-group and crystal-structure determination. Acta Cryst. A 2015, 71, 3–8. [Google Scholar] [CrossRef] [PubMed] [Green Version]
- Sheldrick, G.M. Crystal structure refinement with SHELXL. Acta Cryst. C 2015, 71, 3–8. [Google Scholar] [CrossRef]
- Desreux, J.F. Lanthanide Probes in Life, Chemical and Earth Sciences. Theory and Practice; Bünzli, J.-C.G., Choppin, G.R., Eds.; Elsevier Science: Amsterdam, The Netherlands, 1989. [Google Scholar]
- Lötscher, D.; Rupprecht, S.; Collomb, P.; Belser, P.; Viebrock, H.; Von Zelewsky, A.; Burger, P. Stereoselective synthesis of chiral pinene [5,6] bipyridine ligands and their coordination chemistry. Inorg. Chem. 2001, 40, 5675–5681. [Google Scholar] [CrossRef] [PubMed]
- Steiner, T. The hydrogen bond in the solid state. Angew. Chem. Int. Ed. 2002, 41, 49–76. [Google Scholar] [CrossRef]
- Lama, M.A. Enantiopure Helical (Supra) Molecular Arrays Containing Lanthanides: Design, Synthesis and Properties; EPFL: Lausanne, Switzerland, 2006; pp. Nr. 3708. [Google Scholar]
- Mamula, O.; Lama, M.; Stoeckli-Evans, H.; Shova, S. Switchable chiral architectures containing PrIII Ions: An example of solvent-induced adaptive behavior. Angew. Chem. Int. Ed. 2006, 45, 4940–4944. [Google Scholar] [CrossRef]
- Lewis, D.L.; Estes, E.D.; Hodgson, D.J. The infrared spectra of coordinated perchlorates. J. Cryst. Mol. Struct. 1975, 5, 67–74. [Google Scholar] [CrossRef]
- Socrates, G. Infrared and Raman Characteristic Group Frequencies: Tables and Charts, 3rd ed.; Wiley: Chichester, UK, 2001. [Google Scholar]
- Deacon, G. Relationships between the carbon-oxygen stretching frequencies of carboxylato complexes and the type of carboxylate coordination. Coord. Chem. Rev. 1980, 33, 227–250. [Google Scholar] [CrossRef]
- Nakamoto, K. Frontmatter. In Infrared and Raman Spectra of Inorganic and Coordination Compounds; Wiley Online Books; John Wiley & Sons, Inc.: Hoboken, NJ, USA, 2008; pp. 1–147. [Google Scholar]
- Kirby, A.F.; Richardson, F.S. Detailed analysis of the optical absorption and emission spectra of Eu3+ in the trigonal (C3) Eu (DBM)3·H2O system. J. Phys. Chem. 1983, 87, 2544–2556. [Google Scholar] [CrossRef]
- Düggeli, M.; Christen, T.; Von Zelewsky, A. Protonation behaviour of chiral tetradentate polypyridines derived from α-pinene. Chem. Eur. J. 2005, 11, 185–194. [Google Scholar] [CrossRef]
- Dux, F. titrationFitter 2020. Available online: https://pypi.org/project/titrationFitter/ (accessed on 15 November 2020).
- Comby, S.; Imbert, D.; Chauvin, A.S.; Bünzli, J.C.G.; Charbonnière, L.J.; Ziessel, R.F. Influence of anionic functions on the coordination and photophysical properties of lanthanide (III) complexes with tridentate bipyridines. Inorg. Chem. 2004, 43, 7369–7379. [Google Scholar] [CrossRef] [PubMed]
- Souri, N.; Tian, P.; Lecointre, A.; Lemaire, Z.; Chafaa, S.; Strub, J.-M.; Cianferani, S.; Elhabiri, M.; Platas-Iglesias, C.; Charbonniere, L.J. Step by step assembly of polynuclear lanthanide complexes with a phosphonated bipyridine ligand. Inorg. Chem. 2016, 55, 12962–12974. [Google Scholar] [CrossRef] [PubMed]









| L | Ln | log K1 | log K2 | log K3 | log β1 | log β2 | log β3 |
|---|---|---|---|---|---|---|---|
| (–)-L1− | La | 7.9 | 6.3 | 5.6 | 7.9 ± 0.2 | 14.2 ± 0.4 | 19.8 ± 0.4 |
| Eu | 8.0 | 6.4 | 5.1 | 8.0 ± 0.2 | 14.4 ± 0.1 | 19.5 ± 0.2 | |
| Lu | 8.7 | 6.4 | 5.0 | 8.7 ± 0.1 | 15.1 ± 0.1 | 20.1 ± 0.3 | |
| (–)-L2− | La | 5.1 | 4.6 | 5.3 | 5.1 ± 0.2 | 9.7 ± 0.2 | 15.0 ± 0.4 |
| Eu | 5.1 | 4.7 | 5.4 | 5.1 ± 0.1 | 9.8 ± 0.1 | 15.2 ± 0.1 | |
| Lu | 4.9 | 4.9 | 5.7 | 4.9 ± 0.2 | 9.8 ± 0.3 | 15.5 ± 0.1 |
Publisher’s Note: MDPI stays neutral with regard to jurisdictional claims in published maps and institutional affiliations. |
© 2021 by the authors. Licensee MDPI, Basel, Switzerland. This article is an open access article distributed under the terms and conditions of the Creative Commons Attribution (CC BY) license (https://creativecommons.org/licenses/by/4.0/).
Share and Cite
Solea, A.B.; Yang, L.; Crochet, A.; Fromm, K.M.; Allemann, C.; Mamula, O. Complexation Behavior of Pinene–Bipyridine Ligands towards Lanthanides: The Influence of the Carboxylic Arm. Chemistry 2022, 4, 18-30. https://doi.org/10.3390/chemistry4010002
Solea AB, Yang L, Crochet A, Fromm KM, Allemann C, Mamula O. Complexation Behavior of Pinene–Bipyridine Ligands towards Lanthanides: The Influence of the Carboxylic Arm. Chemistry. 2022; 4(1):18-30. https://doi.org/10.3390/chemistry4010002
Chicago/Turabian StyleSolea, Atena B., Liangru Yang, Aurelien Crochet, Katharina M. Fromm, Christophe Allemann, and Olimpia Mamula. 2022. "Complexation Behavior of Pinene–Bipyridine Ligands towards Lanthanides: The Influence of the Carboxylic Arm" Chemistry 4, no. 1: 18-30. https://doi.org/10.3390/chemistry4010002
APA StyleSolea, A. B., Yang, L., Crochet, A., Fromm, K. M., Allemann, C., & Mamula, O. (2022). Complexation Behavior of Pinene–Bipyridine Ligands towards Lanthanides: The Influence of the Carboxylic Arm. Chemistry, 4(1), 18-30. https://doi.org/10.3390/chemistry4010002

