Aromaticity of Heterocirculenes
Abstract
:1. Introduction
2. Aromaticity of Partially Heteroannelated[8]Circulenes
2.1. Structural and NICS Criterion
2.2. Graph-Theoretical Analysis
| Species | TRE | REPE | ||||
|---|---|---|---|---|---|---|
| Dianion | Neutral | Dication | Dianion | Neutral | Dication | |
| 1 | 0.355 | −0.006 | 0.137 | 0.018 | 0.000 | 0.009 |
| 2 | 0.352 | 0.365 | −0.145 | 0.018 | 0.020 | −0.009 |
| 3 | 0.527 | 0.655 | −0.063 | 0.020 | 0.027 | −0.003 |
| 4 | 0.591 | 0.933 | 0.166 | 1.743 | 2.597 | 0.576 |
| 5 | 0.320 | 0.302 | 0.247 | 0.016 | 0.017 | 0.015 |
| 6 | 0.378 | 0.330 | 0.177 | 0.019 | 0.018 | 0.011 |
| 7 | 0.349 | 0.314 | 0.193 | 0.017 | 0.017 | 0.012 |
| 9 | −0.084 | −0.146 | −0.084 | −0.005 | −0.009 | −0.006 |
| c1 | c2 | c3 | c4 | c5 | c6 | c7 | c8 | c9 | c10 | c11 | c12 | c13 | c14 | |
|---|---|---|---|---|---|---|---|---|---|---|---|---|---|---|
| 12− | 0.0629 | 0.0681 | 0.0233 | 0.0681 | 0.0173 | −0.0018 | 0.0173 | 0.0048 | 0.0048 | 0.0014 | 0.0014 | 0.0049 | 0.0006 | 0.0006 |
| 1 | −0.2423 | 0.2250 | 0.0246 | 0.2250 | −0.0910 | −0.0006 | −0.0910 | 0.0103 | 0.0103 | 0.0024 | 0.0024 | −0.0335 | 0.0117 | −0.0121 |
| 12+ | −0.0360 | −0.0093 | 0.0503 | −0.0093 | 0.0232 | −0.0264 | 0.0232 | 0.0103 | 0.0103 | 0.0024 | 0.0024 | 0.0266 | −0.0141 | 0.0137 |
| 22− | −0.0027 | 0.0821 | 0.0850 | 0.0821 | 0.0022 | −0.0052 | 0.0022 | 0.0113 | 0.0113 | 0.0030 | 0.0030 | 0.0100 | 0.0012 | 0.0012 |
| 2 | −0.0049 | 0.1099 | 0.0846 | 0.1099 | −0.0055 | −0.0029 | −0.0055 | 0.0150 | 0.0150 | 0.0012 | 0.0012 | −0.0110 | 0.0034 | −0.0037 |
| 22+ | 0.1661 | 0.0097 | 0.2429 | 0.0097 | −0.1880 | −0.1533 | −0.1880 | −0.0228 | −0.0228 | 0.0266 | 0.0266 | 0.1202 | −0.0560 | 0.0642 |
| 52− | −0.0009 | 0.0556 | 0.0298 | 0.0556 | 0.0196 | −0.0046 | 0.0196 | 0.0066 | 0.0066 | 0.0023 | 0.0023 | 0.0324 | −0.0021 | 0.0043 |
| 5 | −0.0506 | 0.2112 | 0.0284 | 0.2112 | −0.0365 | −0.0017 | −0.0365 | 0.0112 | 0.0112 | 0.0008 | 0.0008 | −0.0303 | 0.0073 | −0.0065 |
| 52+ | −0.0166 | 0.0424 | 0.0297 | 0.0424 | 0.0136 | −0.0058 | 0.0136 | 0.0040 | 0.0040 | 0.0028 | 0.0028 | 0.0415 | −0.0066 | 0.0094 |
| 62− | 0.0030 | 0.0547 | 0.0574 | 0.0547 | 0.0197 | −0.0097 | 0.0197 | 0.0149 | 0.0149 | 0.0048 | 0.0048 | 0.0243 | −0.0029 | 0.0077 |
| 6 | −0.0470 | 0.1796 | 0.0532 | 0.1796 | −0.0314 | −0.0034 | −0.0314 | 0.0234 | 0.0234 | 0.0015 | 0.0015 | −0.0248 | 0.0159 | −0.0144 |
| 62+ | −0.0405 | 0.0389 | 0.0567 | 0.0389 | −0.0003 | −0.0146 | −0.0003 | 0.0034 | 0.0034 | 0.0073 | 0.0073 | 0.0418 | −0.0226 | 0.0299 |
| 72− | 0.0013 | 0.0545 | 0.0427 | 0.0545 | 0.0197 | −0.0075 | 0.0197 | 0.0112 | 0.0112 | 0.0037 | 0.0037 | 0.0278 | −0.0025 | 0.0062 |
| 7 | −0.0486 | 0.1915 | 0.0398 | 0.1915 | −0.0333 | −0.0026 | −0.0333 | 0.0183 | 0.0183 | 0.0012 | 0.0012 | −0.0268 | 0.0125 | −0.0114 |
| 72+ | −0.0335 | 0.0421 | 0.0426 | 0.0421 | 0.0037 | −0.0116 | 0.0037 | 0.0022 | 0.0022 | 0.0058 | 0.0058 | 0.0415 | −0.0183 | 0.0241 |
| 92− | −0.0212 | −0.0274 | −0.2167 | −0.0274 | 0.0487 | 0.0371 | 0.0487 | −0.0212 | −0.0212 | −0.0180 | −0.0180 | 0.0487 | 0.0756 | −0.0667 |
| 9 | −0.1041 | 0.3809 | −0.2461 | 0.3809 | −0.0736 | 0.0136 | −0.0736 | −0.1041 | −0.1041 | −0.0060 | −0.0060 | −0.0736 | −0.0648 | 0.0675 |
| 92+ | −0.0212 | −0.0274 | −0.2167 | −0.0274 | 0.0487 | 0.0371 | 0.0487 | −0.0212 | −0.0212 | −0.0180 | −0.0180 | 0.0487 | 0.0756 | −0.0667 |
2.3. ACID Calculations
3. Aromaticity of Completely Annelated Heterocirculenes
3.1. NICS Aromaticity Criterion

3.2. GIMIC Aromaticity Approach
4. Aromaticity of the “Lower” (n < 8) and “Higher” (n > 8) Hetero[n]circulenes
4.1. Thia[n]circulenes (n = 5–12)
4.2. Heterocyclic[9]- and [10]Circulenes
5. Aromaticity of the π-Extended Hetero[8]circulenes
5.1. Diaza[n]circulenes
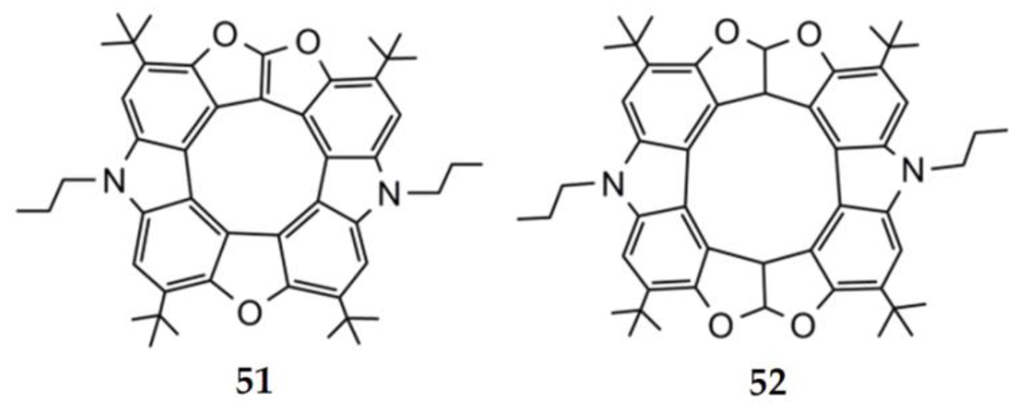
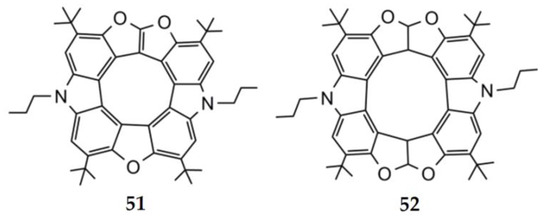
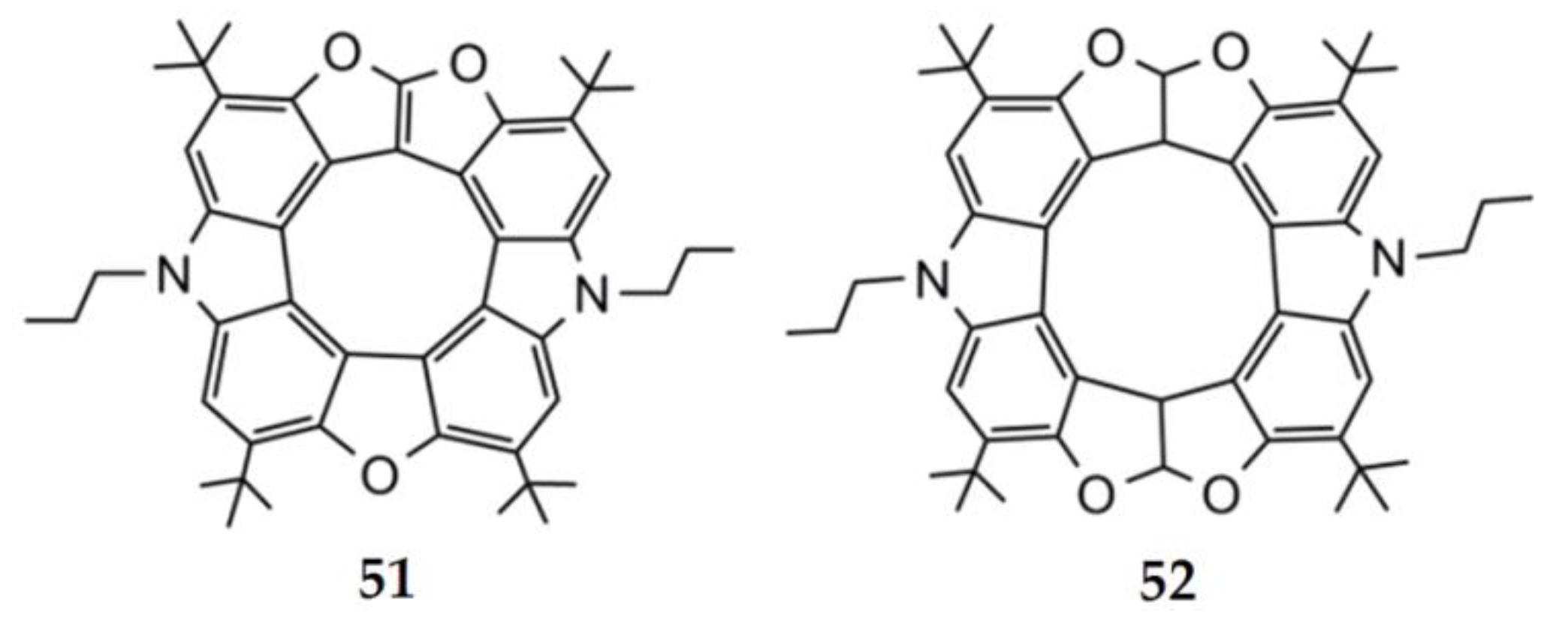
5.2. Dianthracenylazatrioxa[8]circulene
6. Conclusions
Author Contributions
Funding
Institutional Review Board Statement
Informed Consent Statement
Data Availability Statement
Conflicts of Interest
References
- Grunenberg, J. Ill-defined chemical concepts: The problem of quantification. Int. J. Quantum Chem. 2017, 117, e25359. [Google Scholar] [CrossRef]
- Krygowski, T.M.; Cyrański, M.K. Structural Aspects of Aromaticity. Chem. Rev. 2001, 101, 1385–1420. [Google Scholar] [CrossRef]
- Krygowski, T.M.; Szatylowicz, H.; Stasyuk, O.A.; Dominikowska, J.; Palusiak, M. Aromaticity from the Viewpoint of Molecular Geometry: Application to Planar Systems. Chem. Rev. 2014, 114, 6383–6422. [Google Scholar] [CrossRef]
- Cyrański, M.K. Energetic Aspects of Cyclic Pi-Electron Delocalization: Evaluation of the Methods of Estimating Aromatic Stabilization Energies. Chem. Rev. 2005, 105, 3773–3811. [Google Scholar] [CrossRef] [PubMed]
- Zanasi, R.; Lazzeretti, P.; Malagoli, M.; Piccinini, F. Molecular magnetic properties within continuous transformations of origin of the current density. J. Chem. Phys. 1995, 102, 7150–7157. [Google Scholar] [CrossRef]
- Mitchell, R.H. Measuring aromaticity by NMR. Chem. Rev. 2001, 101, 1301–1315. [Google Scholar] [CrossRef]
- Chen, Z.; Wannere, C.S.; Corminboeuf, C.; Puchta, R.; Schleyer, P.v.R. Nucleus-Independent Chemical Shifts (NICS) as an Aromaticity Criterion. Chem. Rev. 2005, 105, 3842–3888. [Google Scholar] [CrossRef] [PubMed]
- Gershoni-Poranne, R.; Stanger, A. Magnetic criteria of aromaticity. Chem. Soc. Rev. 2015, 44, 6597–6615. [Google Scholar] [CrossRef] [PubMed]
- Fliegl, H.; Taubert, S.; Lehtonen, O.; Sundholm, D. The gauge including magnetically induced current method. Phys. Chem. Chem. Phys. 2011, 13, 20500–20518. [Google Scholar] [CrossRef] [PubMed]
- Jusélius, J.; Sundholm, D.; Gauss, J. Calculation of current densities using gauge-including atomic orbitals. J. Chem. Phys. 2004, 121, 3952–3963. [Google Scholar] [CrossRef]
- Poater, J.; Duran, M.; Solà, M.; Silvi, B. Theoretical Evaluation of Electron Delocalization in Aromatic Molecules by Means of Atoms in Molecules (AIM) and Electron Localization Function (ELF) Topological Approaches. Chem. Rev. 2005, 105, 3911–3947. [Google Scholar] [CrossRef]
- Feixas, F.; Matito, E.; Poater, J.; Solà, M. Quantifying aromaticity with electron delocalisation measures. Chem. Soc. Rev. 2015, 44, 6434–6451. [Google Scholar] [CrossRef] [Green Version]
- Mucsi, Z.; Viskolcz, B.; Csizmadia, I.G. A quantitative scale for the degree of aromaticity and antiaromaticity: A comparison of theoretical and experimental enthalpies of hydrogenation. J. Phys. Chem. A 2007, 111, 1123–1132. [Google Scholar] [CrossRef] [PubMed]
- Solà, M. Aromaticity. In Encyclopedia of Physical Organic Chemistry; Wang, Z., Ed.; John Wiley and Sons: Weinheim, Germany; London, UK, 2017; Volume 1, pp. 511–542. [Google Scholar]
- Minaev, B.F.; Baryshnikov, G.V.; Minaeva, V.A. Density functional theory study of electronic structure and spectra of tetraoxa[8]circulenes. Comput. Theor. Chem. 2011, 972, 68–74. [Google Scholar] [CrossRef]
- Valiev, R.R.; Baryshnikov, G.V.; Sundholm, D. Relations between the aromaticity and magnetic dipole transitions in the electronic spectra of hetero[8]circulenes. Phys. Chem. Chem. Phys. 2018, 20, 30239–30246. [Google Scholar] [CrossRef] [PubMed] [Green Version]
- Valiev, R.R.; Gadirov, R.M.; Degtyarenko, K.M.; Grigoryev, D.; Nasubullin, R.T.; Baryshnikov, G.; Minaev, B.F.; Pedersen, S.K.; Pittelkow, M. The blue vibronically resolved electroluminescence of azatrioxa[8]circulene. Chem. Phys. Lett. 2019, 732, 136667–136671. [Google Scholar] [CrossRef]
- Karaush-Karmazin, N.N.; Baryshnikov, G.V.; Kuklin, A.V.; Saykova, D.I.; Ågren, H.; Minaev, B.F. Impact of molecular and packing structure on the charge-transport properties of hetero[8]circulenes. J. Mat. Chem. C 2021, 9, 1451–1466. [Google Scholar] [CrossRef]
- Baryshnikov, G.V.; Minaev, B.F.; Minaeva, V.A. Electronic structure, aromaticity and spectra of hetero[8]circulenes. Russ. Chem. Rev. 2015, 84, 455–484. [Google Scholar] [CrossRef]
- Hensel, T.; Andersen, N.N.; Plesner, M.; Pittelkow, M. Synthesis of Heterocyclic [8]Circulenes and Related Structures. Synlett. 2016, 27, 498–525. [Google Scholar] [CrossRef] [Green Version]
- Karaush, N.N.; Baryshnikov, G.V.; Minaeva, V.A.; Ågren, H.; Minaev, B.F. Recent progress in quantum chemistry of hetero[8]circulenes. Mol. Phys. 2017, 115, 2218–2230. [Google Scholar] [CrossRef]
- Miyake, Y.; Shinokubo, H. Hetero[8]circulenes: Synthetic progress and intrinsic properties. Chem. Commun. 2020, 56, 15605–15614. [Google Scholar] [CrossRef]
- Nielsen, C.B.; Brock-Nannestad, T.; Reenberg, T.K.; Hammershøj, P.; Christensen, J.B.; Stouwdam, J.W.; Pittelkow, M. Organic Light-Emitting Diodes from Symmetrical and Unsymmetrical π-Extended Tetraoxa[8]circulenes. Chem. Eur. J. 2010, 16, 13030–13034. [Google Scholar] [CrossRef]
- Baryshnikov, G.V.; Valiev, R.R.; Karaush, N.N.; Minaeva, V.A.; Sinelnikov, A.N.; Pedersen, S.K.; Pittelkow, M.; Minaev, B.F.; Ågren, H. Benzoannelated aza-, oxa- and azaoxa[8]circulenes as promising blue organic emitters. Phys. Chem. Chem. Phys. 2016, 18, 28040–28051. [Google Scholar] [CrossRef]
- Ivaniuk, K.B.; Baryshnikov, G.V.; Stakhira, P.Y.; Pedersen, S.K.; Pittelkow, M.; Lazauskas, A.; Volyniuk, D.; Grazulevicius, J.V.; Minaev, B.F.; Ågren, H. New WOLEDs based on p-extended azatrioxa[8]circulenes. J. Mater. Chem. C 2017, 5, 4123–4128. [Google Scholar] [CrossRef]
- Pedersen, S.K.; Pedersen, V.B.; Kamounah, F.S.; Broløs, L.M.; Baryshnikov, G.V.; Valiev, R.R.; Ivaniuk, K.; Stakhira, P.; Karaush-Karmazin, N.N.; Minaev, B.; et al. Dianthracenylazatrioxa[8]circulene: Synthesis, Characterization and Application in OLEDs. Chem.-A Eur. J. 2021, 27, 11609–11617. [Google Scholar] [CrossRef]
- Fujimoto, T.; Matsushita, M.M.; Awaga, K. Ionic-Liquid Component Dependence of Carrier Injection and Mobility for Electric-Double-Layer Organic Thin-Film Transistors. J. Phys. Chem. C 2012, 116, 5240–5245. [Google Scholar] [CrossRef]
- Fujimoto, T.; Matsushita, M.M.; Awaga, K. Dual-gate field-effect transistors of octathio[8]circulene thin-films with ionic liquid and SiO2 gate dielectrics. Appl. Phys. Lett. 2010, 97, 123303–123305. [Google Scholar] [CrossRef]
- Dadvand, A.; Cicoira, F.; Chernichenko, K.Y.; Balenkova, E.S.; Osuna, R.M.; Rosei, F.; Nenajdenko, V.G.; Perepichka, D.F. Heterocirculenes as a new class of organic semiconductors. Chem. Commun. 2008, 5354–5356. [Google Scholar] [CrossRef] [PubMed]
- Kuklin, A.V.; Baryshnikov, G.V.; Minaev, B.F.; Ignatova, N.; Ågren, H. Strong Topological States and High Charge Carrier Mobility in Tetraoxa[8]circulene Nanosheets. J. Phys. Chem. C 2018, 122, 22216–22222. [Google Scholar] [CrossRef]
- Begunovich, L.V.; Kuklin, A.V.; Baryshnikov, G.V.; Valiev, R.R.; Ågren, H. Single-layer Polymeric Tetraoxa [8] circulene Modified by s-Metals: Toward Stable Spin Qubits and Novel Superconductors. Nanoscale 2021, 13, 4799–4811. [Google Scholar] [CrossRef]
- Baryshnikov, G.V.; Valiev, R.R.; Karaush, N.N.; Minaev, B.F. Aromaticity of the planar hetero[8]circulenes and their doubly charged ions: NICS and GIMIC characterization. Phys. Chem. Chem. Phys. 2014, 16, 15367–15374. [Google Scholar] [CrossRef] [PubMed]
- Baryshnikov, G.V.; Karaush, N.N.; Valiev, R.R.; Minaev, B.F. Aromaticity of the completely annelated tetraphenylenes: NICS and GIMIC characterization. J. Mol. Model. 2015, 21, 136. [Google Scholar] [CrossRef] [PubMed]
- Baryshnikov, G.V.; Valiev, R.R.; Karaush, N.N.; Sundholm, D.; Minaev, B.F. Aromaticity of the doubly charged [8]circulenes. Phys. Chem. Chem. Phys. 2016, 18, 8980–8992. [Google Scholar] [CrossRef] [PubMed] [Green Version]
- Schleyer, P.v.R.; Maerker, C.; Dransfeld, H.C.; Jiao, H.; van Eikema Hommes, N.J.R. Nucleus-Independent Chemical Shifts: A Simple and Efficient Aromaticity Probe. J. Am. Chem. Soc. 1996, 118, 6317–6318. [Google Scholar] [CrossRef] [PubMed]
- Geuenich, D.; Hess, K.; Köhler, F.; Herges, R. Anisotropy of the Induced Current Density (ACID), a General Method to Quantify and Visualize Electronic Delocalization. Chem. Rev. 2005, 105, 3758–3772. [Google Scholar] [CrossRef]
- Badri, Z.; Pathak, S.; Fliegl, H.; Rashidi-Ranjbar, P.; Bast, R.; Marek, R.; Foroutan-Nejad, C.; Ruud, K. All-Metal Aromaticity: Revisiting the Ring Current Model among Transition Metal Clusters. J. Chem. Theory Comput. 2013, 9, 4789–4796. [Google Scholar] [CrossRef]
- Foroutan-Nejad, C. Is NICS a reliable aromaticity index for transition metal clusters? Theor. Chem. Acc. 2015, 134, 8–16. [Google Scholar] [CrossRef]
- Jusélius, J.; Sundholm, D. Abinitio determination of the induced ring current in aromatic molecules. Phys. Chem. Chem. Phys. 1999, 1, 3429–3435. [Google Scholar] [CrossRef]
- Steiner, E.; Fowler, P.; Soncini, A.; Jenneskens, L.W. Current-density maps as probes of aromaticity: Global and Clar π ring currents in totally resonant polycyclic aromatic hydrocarbons. Faraday Discuss. 2007, 135, 309–323. [Google Scholar] [CrossRef]
- Jusélius, J.; Sundholm, D. The Aromatic Character of Magnesium Porphyrins. J. Org. Chem. 2000, 65, 5233–5237. [Google Scholar] [CrossRef] [PubMed]
- Fowler, P.W.; Havenith, R.W.A.; Steiner, E. Ring current and electron delocalisation in an all-metal cluster, Al42−. Chem. Phys. Lett. 2002, 359, 530–536. [Google Scholar] [CrossRef]
- Lin, Y.-C.; Jusélius, J.; Sundholm, D.; Gauss, J. Magnetically induced current densities in Al4 (2-) and Al4 (4-) species studied at the coupled-cluster level. J. Chem. Phys. 2005, 122, 214308. [Google Scholar] [CrossRef]
- Tsipis, C.A. DFT study of “all-metal” aromatic compounds. Coord. Chem. Rev. 2005, 249, 2740–2762. [Google Scholar] [CrossRef]
- Radenković, S.; Gutman, I.; Bultinck, P. Comparative Study of Aromaticity in Tetraoxa[8]circulenes. J. Phys. Chem. A 2012, 116, 9421–9430. [Google Scholar] [CrossRef] [PubMed]
- Baryshnikov, G.V.; Minaev, B.F.; Pittelkow, M.; Nielsen, C.B.; Salcedo, R. Nucleus-independent chemical shift criterion for aromaticity in π-extended tetraoxa[8]circulenes. J. Mol. Model. 2013, 19, 847–850. [Google Scholar] [CrossRef] [PubMed]
- Baryshnikov, G.V.; Minaev, B.F.; Karaush, N.N.; Minaeva, V.A. The art of the possible: Computational design of the 1D and 2D materials based on the tetraoxa[8]circulene monomer. RSC Adv. 2014, 4, 25843–25851. [Google Scholar] [CrossRef]
- Portella, G.; Poater, J.; Bofill, J.M.; Alemany, P.; Solà, M. Local Aromaticity of [n]Acenes, [n]Phenacenes, and [n]Helicenes (n = 1−9). J. Org. Chem. 2005, 70, 2509–2521. [Google Scholar] [CrossRef]
- Aihara, J. Graph Theory of Aromatic Stabilization. Chem. Soc. Jpn. 2016, 89, 1425–1454. [Google Scholar] [CrossRef] [Green Version]
- Baryshnikov, G.V.; Karaush, N.N.; Minaev, B.F. The electronic structure of heteroannelated cyclooctatetraenes and their UV-Vis absorption spectra. Chem. Heterocycl. Comp. 2014, 50, 349–363. [Google Scholar] [CrossRef]
- Abdukadir, A.; Mattursun, A.; Kerim, A.; Omar, K.; Hushur, L. A study of the aromaticity of heteroannelated cyclooctatetraene derivatives. J. Mol. Mod. 2018, 24, 123–135. [Google Scholar] [CrossRef] [PubMed]
- Aita, K.; Ohmae, T.; Takase, M.; Nomura, K.; Kimura, H.; Nishinaga, T. Dithieno[3,4-b:3′,4′-d]thiophene-annelated antiaromatic planar cyclooctatetraene with olefinic protons. Org. Lett. 2013, 15, 3522–3525. [Google Scholar] [CrossRef]
- Willner, I.; Rabinovitz, M. Cycloocta[def]fluorene: A planar cyclooctatetraene derivative. Paratropicity of hydrocarbon and anion. J. Org. Chem. 1980, 45, 1628–1633. [Google Scholar] [CrossRef]
- Wilcox, C.F., Jr.; Uetrecht, J.P.; Grohman, K.K. Preparation of cycloocta[def]biphenylene, a novel benzenoid antiaromatic hydrocarbon. J. Am. Chem. Soc. 1972, 94, 2532–2533. [Google Scholar] [CrossRef]
- Wilcox, C.F. Empirically corrected ab initio calculation of proton NMR chemical shifts of antiaromatic hydrocarbons. J. Mol. Struct. Theochem 2006, 759, 125–132. [Google Scholar] [CrossRef]
- Karadakov, P.B. Aromaticity and antiaromaticity in the low-lying electronic states of cyclooctatetraene. J. Phys. Chem. A 2008, 112, 12707–12713. [Google Scholar] [CrossRef]
- Nishinaga, T.; Uto, T.; Inoue, R.; Matsuura, A.; Treitel, N.; Rabinovitz, M.; Komatsu, K. Antiaromaticity and reactivity of a planar cyclooctatetraene fully annelated with bicyclo[2.1.1]hexane units. Chem. Eur. J. 2010, 14, 2067–2074. [Google Scholar] [CrossRef]
- Nishinaga, T.; Ohmae, T.; Iyoda, M. Recent studies on the aromaticity and antiaromaticity of planar cyclooctatetraene. Symmetry 2010, 2, 76–97. [Google Scholar] [CrossRef] [Green Version]
- Thompson, S.J.; Emmert, F.L., III; Slipchenko, L.V. Effects of ethynyl substituents on the electronic structure of cyclobutadiene. J. Phys. Chem. A 2012, 116, 3194–3201. [Google Scholar] [CrossRef]
- Aihara, J. A new definition of Dewar-type resonance energies. J. Am. Chem. Soc. 1976, 98, 2750–2758. [Google Scholar] [CrossRef]
- Gutman, I.; Milun, M.; Trinajstic, N. Graph theory and molecular orbitals. 19. Nonparametric resonance energies of arbitrary conjugated systems. J. Am. Chem. Soc. 1977, 99, 1692–1704. [Google Scholar] [CrossRef]
- Sekine, R.; Nakagami, Y.; Aihara, J. Aromatic character of polycyclic π systems formed by fusion of two or more rings of the same size. J. Phys. Chem. A 2011, 115, 6724–6731. [Google Scholar] [CrossRef]
- Aihara, J. Bond resonance energy and verification of the isolated pentagon rule. J. Am. Chem. Soc. 1995, 117, 4130–4136. [Google Scholar] [CrossRef]
- Aihara, J. Bond resonance energies of polycyclic benzenoid and non-benzenoid hydrocarbons. J. Chem. Soc. Perkin Trans. 1996, 2, 2185–2195. [Google Scholar] [CrossRef]
- Aihara, J.; Ishida, T.; Kanno, H. Bond resonance energy as an indicator of local aromaticity. Bull. Chem. Soc. Jpn. 2007, 80, 1518–1521. [Google Scholar] [CrossRef]
- Aihara, J. Circuit resonance energy: A key quantity that links energetic and magnetic criteria of aromaticity. J. Am. Chem. Soc. 2006, 128, 2873–2879. [Google Scholar] [CrossRef]
- Arkin, R.; Kerim, A. A study on the aromaticity and magnetotropicity of 10π-electron azapentalene derivatives. Chem. Phys. Lett. 2012, 546, 144–149. [Google Scholar] [CrossRef]
- Kerim, A. A study on the aromaticity and magnetic properties of triazolephorphyrazines. New J. Chem. 2014, 383, 3783–3790. [Google Scholar] [CrossRef]
- Ilić, P.; Trinajstić, N. Topological resonance energies of conjugated ions, radicals, and ion radicals. J. Org. Chem. 1980, 45, 1738–1748. [Google Scholar] [CrossRef]
- Salcedo, R.; Sansores, L.E.; Picazo, A.; Sanson, L. [8] Circulene. Theoretical approach. J. Mol. Struct. Theochem 2004, 678, 211–215. [Google Scholar] [CrossRef]
- Nielsen, C.B.; Brock-Nannestad, T.; Hammershøj, P.; Reenberg, T.K.; Schau-Magnussen, M.; Trpcevski, D.; Hensel, T.; Salcedo, R.; Baryshnikov, G.V.; Minaev, B.F.; et al. Azatrioxa[8]circulenes: Planar antiaromatic cyclooctatetraenes. Chem. Eur. J. 2013, 19, 3898–3904. [Google Scholar] [CrossRef] [PubMed]
- Hensel, T.; Trpcevski, D.; Lind, C.; Grosjean, R.; Hammershoj, P.; Nielsen, C.B.; Brock-Nannestad, T.; Nielsen, B.E.; Schau-Magnussen, M.; Minaev, B.; et al. Diazadioxa[8]circulenes: Planar antiaromatic cyclooctatetraenes. Chem. Eur. J. 2013, 19, 17097–17102. [Google Scholar] [CrossRef] [PubMed]
- Hellwinkel, D.; Reiff, G. Cyclooctatetraene systems flattened by steric constraints. Angew. Chem. Int. Ed. Engl. 1970, 9, 527–528. [Google Scholar] [CrossRef]
- Serizawa, Y.; Akahori, S.; Kato, S.; Sakai, H.; Hasobe, T.; Miyake, Y.; Shinokubo, H. Synthesis of tetrasilatetrathia[8]circulenes by a fourfold intramolecular dehydrogenative silylation of C-H bonds. Chem. Eur. J. 2017, 23, 6948–6952. [Google Scholar] [CrossRef] [PubMed]
- Xiong, X.-D.; Deng, C.-L.; Peng, X.-S.; Miao, Q.; Wong, H.N.C. Heteroatom-bridged tetraphenylenes: Synthesis, structures, and properties. Org. Lett. 2014, 16, 3252–3255. [Google Scholar] [CrossRef] [PubMed]
- Xiong, X.; Deng, C.-L.; Minaev, B.F.; Baryshnikov, G.V.; Peng, X.-S.; Wong, H.N.C. Tetrathio and tetraseleno[8]circulenes: Synthesis, structures, and properties. Chem. Asian J. 2014, 9, 969–977. [Google Scholar] [CrossRef]
- Minaeva, V.A.; Baryshnikov, G.V.; Minaev, B.F.; Karaush, N.N.; Xiong, X.-D.; Lee, D.P.; Wong, H.N.C. Structure and spectroscopic characterization of tetrathia- and tetraselena[8]circulenes as a new class of polyaromatic heterocycles. Spectrochim. Acta Part A Mol. Biomol. Spectrosc. 2015, 151, 247–261. [Google Scholar] [CrossRef]
- Xiong, X.; Deng, C.-L.; Li, Z.; Penga, X.-S.; Wong, H.N.C. Quasi-planar diazadithio and diazodiseleno[8]circulenes: Synthesis, structures and properties. Org. Chem. Front. 2017, 4, 682–687. [Google Scholar] [CrossRef]
- Akahori, S.; Sakai, H.; Hasobe, T.; Shinokubo, H.; Miyake, Y. Synthesis and photodynamics of tetragermatetrathia[8]circulene. Org. Lett. 2018, 20, 304−307. [Google Scholar] [CrossRef]
- Tai, T.B.; Huong, V.T.T.; Nguyen, M.T. Design of aromatic heteropolycyclics containing borole frameworks. Chem. Commun. 2013, 49, 11548–11550. [Google Scholar] [CrossRef]
- Kar, T.; Scheiner, S.; Roy, A.K. Structure and properties of [8]BN-circulenes—Inorganic analogues of [8]circulenes. J. Phys. Chem. C 2015, 119, 15541–15546. [Google Scholar] [CrossRef]
- Gribanova, T.N.; Zefirov, N.S.; Minkin, V.I. Structure and stability of the heteroannulated [8–10]circulenes: A quantum-chemical study. Pure Appl. Chem. 2010, 82, 1011–1024. [Google Scholar] [CrossRef]
- Mandal, T.K.; Jose, D.; Nijamudheen, A.; Datta, A. Structures and electronic properties of heavier congeners of disk-like molecules: (Si, Ge) sulflower and (Si, Ge) olympicene. J. Phys. Chem. C 2014, 118, 12115–12120. [Google Scholar] [CrossRef]
- Erdtman, H.; Högberg, H.-E. Cyclooligomerisation of quinones. Tetrahedron Lett. 1970, 11, 3389–3392. [Google Scholar] [CrossRef]
- Cyrański, M.K.; Havenith, R.W.A.; Dobrowolski, M.A.; Gray, B.R.; Krygowski, T.M.; Fowler, P.W.; Jenneskens, L.W. The phenalenyl motf: A magnetic chameleon. Chem.—Eur. J. 2007, 13, 2201–2207. [Google Scholar] [CrossRef] [PubMed]
- Steiner, E.; Fowler, P.W. Patterns of Ring Currents in Conjugated Molecules: A Few-Electron Model Based on Orbital Contributions. J. Phys. Chem. A 2001, 105, 9553–9562. [Google Scholar] [CrossRef]
- Johansson, M.P.; Jusélius, J.; Sundholm, D. Sphere Currents of Buckminsterfullerene. Chemie Int. Ed. 2005, 44, 1843–1846. [Google Scholar] [CrossRef]
- Chen, Z.; Wu, J.I.; Corminboeuf, C.; Bohmann, J.; Lu, X.; Hirschf, A.; Schleyer, P.R. Is C60 buckminsterfullerene aromatic? Phys. Chem. Chem. Phys. 2012, 14, 14886–14891. [Google Scholar] [CrossRef] [PubMed]
- Johansson, M.P.; Juselius, J. Arsole aromaticity revisited. Let. Org. Chem. 2005, 2, 469–474. [Google Scholar] [CrossRef]
- Fias, S.; Van Damme, S.; Bultinck, P. Multidimensionality of Delocalization Indices and Nucleus Independent Chemical Shifts in Polycyclic Aromatic Hydrocarbons. J. Comput. Chem. 2008, 29, 358–366. [Google Scholar] [CrossRef]
- Poater, J.; Solà, M.; Viglione, R.G.; Zanasi, R. Local Aromaticity of the Six-Membered Rings in Pyracylene. A Difficult Case for the NICS Indicator of Aromaticity. J. Org. Chem. 2004, 69, 7537–7542. [Google Scholar] [CrossRef]
- Solà, M.; Feixas, F.; Jiménez-Halla, J.O.C.; Matito, E.; Poater, J. A Critical Assessment of the Performance of Magnetic and Electronic Indices of Aromaticity. Symmetry 2010, 2, 1156–1179. [Google Scholar] [CrossRef]
- Baryshnikov, G.V.; Valiev, R.R.; Minaev, B.F.; Ågren, H. A computational study of aromaticity and photophysical properties of unsymmetrical azatrioxa[8]circulenes. New J. Chem. 2017, 41, 2717–2723. [Google Scholar] [CrossRef]
- Lousen, B.; Pedersen, S.K.; Bols, P.; Hansen, K.H.; Pedersen, M.R.; Hammerich, O.; Bondarchuk, S.; Minaev, B.; Baryshnikov, G.V.; Ågren, H.; et al. Compressing a Non-Planar Aromatic Heterocyclic [7]Helicene to a Planar Hetero[8]Circulene. Chem. Eur. J. 2020, 26, 4935–4940. [Google Scholar] [CrossRef]
- Karaush-Karmazin, N.N.; Baryshnikov, G.V.; Valiulina, L.I.; Valiev, R.; Ågren, H.; Minaev, B.F. Impact of heteroatoms (S, Se, and Te) on the aromaticity of heterocirculenes. New J. Chem. 2019, 43, 12178–12190. [Google Scholar] [CrossRef]
- Chernichenko, K.Y.; Sumerin, V.V.; Shpanchenko, R.V.; Balenkova, E.S.; Nenajdenko, V.G. “Sulflower”: A New Form of Carbon Sulfide. Angew. Chem. 2006, 118, 7527–7530. [Google Scholar] [CrossRef]
- Karaush, N.N.; Baryshnikov, G.V.; Ågren, H.; Minaev, B.F. A theoretical study of new representatives of closed- and open-circle benzofuran and benzocyclopentadienone oligomers. New J. Chem. 2018, 42, 11493–11505. [Google Scholar] [CrossRef]
- Barquera-Lozada, J.E. The vorticity of the current density tensor and 3D-aromaticity. Int. J. Quantum Chem. 2019, 119, e25848. [Google Scholar] [CrossRef]
- Pedersen, S.K.; Eriksen, K.; Ågren, H.; Minaev, B.F.; Karaush-Karmazin, N.N.; Hammerich, O.; Baryshnikov, G.V.; Pittelkow, M. A Fully Conjugated Planar Heterocyclic [9] Circulene. J. Am. Chem. Soc. 2020, 142, 14058–14063. [Google Scholar] [CrossRef]
- Pedersen, S.K.; Eriksen, K.; Karaush-Karmazin, N.N.; Minaev, B.; Ågren, H.; Baryshnikov, G.V.; Pittelkow, M. Anti-Aromatic versus Induced Paratropicity: Synthesis and Interrogation of a Dihydro- diazatrioxa[9]circulene with a Proton Placed Directly above the Central Ring. Angew. Chem. Int. Ed. 2020, 59, 5144–5150. [Google Scholar] [CrossRef] [PubMed]
- Nakamura, K.; Li, Q.-Q.; Krejčí, O.; Foster, A.S.; Sun, K.; Kawai, S.; Ito, S. On-Surface Synthesis of a π-Extended Diaza[8]circulene. J. Am. Chem. Soc. 2020, 142, 11363–11369. [Google Scholar] [CrossRef]
- Maeda, C.; Nomoto, S.; Akiyama, K.; Tanaka, T.; Ema, T. Facile Synthesis of Azahelicenes and Diaza[8]circulenes through the Intramolecular Scholl Reaction. Chem. Eur. J. 2021, 27, 15699–15705. [Google Scholar] [CrossRef]
- Baryshnikov, G.V.; Valiev, R.R.; Cherepanov, V.N.; Karaush-Karmazin, N.N.; Minaeva, V.A.; Minaev, B.F.; Ågren, H. Aromaticity and photophysics of tetrasila-and tetragerma-annelated tetrathienylenes as new representatives of the hetero[8]circulene family. Phys. Chem. Chem. Phys. 2019, 21, 9246–9254. [Google Scholar] [CrossRef] [Green Version]
- Karaush, N.N.; Minaev, B.F.; Baryshnikov, G.V.; Minaeva, V.A. A Comparative Study of the Electronic Structure and Spectra of Tetraoxa [8] circulene and Octathio[8]circulene. Opt. Spectrosc. 2014, 116, 33–46. [Google Scholar] [CrossRef]
- Karaush, N.N.; Valiev, R.R.; Baryshnikov, G.V.; Minaev, B.F.; Ågren, H. DFT simulation of the heteroannelated octatetraenes vibronic spectra with the Franck–Condon and Herzberg–Teller approaches including Duschinsky effect. Chem. Phys. 2015, 459, 65–71. [Google Scholar] [CrossRef]
- Karaush, N.N.; Baryshnikov, G.V.; Minaeva, V.A.; Minaev, B.F. A DFT and QTAIM study of the novel d-block metal complexes with tetraoxa[8]circulene-based ligands. New J. Chem. 2015, 39, 7815–7821. [Google Scholar] [CrossRef]
- Karaush, N.N.; Baryshnikov, G.V.; Minaev, B.F. Alkali and alkaline-earth metal complexes with tetraoxa[8]circulene sheet: A computational study by DFT and QTAIM methods. RSC Adv. 2015, 5, 24299–24305. [Google Scholar] [CrossRef]
- Minaeva, V.; Karaush-Karmazin, N.; Baryshnikov, G.; Minaev, B. A complete characterization of vibrational IR and Raman spectra of the highly-symmetrical octathia[8]circulene. Vib. Spectrosc. 2019, 100, 107–116. [Google Scholar] [CrossRef]
- Karaush-Karmazin, N.N.; Kuklin, A.V.; Baryshnikov, G.V.; Begunovich, L.V.; Ågren, H.; Minaev, B.F. Structure, stability and electronic properties of one-dimensional tetrathia-and tetraselena[8]circulene-based materials: A comparative DFT study. New J. Chem. 2020, 44, 6872–6882. [Google Scholar] [CrossRef]
- Nguyen, L.H. A Computational Study of the Electronic Properties of Heterocirculenes: Oxiflowers and Sulflowers. ACS Omega 2021, 6, 30085–30092. [Google Scholar] [CrossRef]



















| Circulene. | Itot | Aromaticity | Circulene | Itot | Aromaticity |
|---|---|---|---|---|---|
| 10 | −2.1 | p ≥ d Weakly antiaromatic | 33 | −2.5 | p ≥ d Weakly antiaromatic |
| 102+ | −55 | p ˃ d Strongly antiaromatic | 332+ | −66 | p ˃ d Strongly antiaromatic |
| 102− | 22 | p ˂ d Aromatic | 332− | 17 | p ˂ d Aromatic |
| 15 | −0.5 | p ≈ d Almost nonaromatic | 34 | −4 | p ≥ d Weakly antiaromatic |
| 152+ | –11.5 | p ˃ d Antiaromatic | 342+ | –8 | p ˃ d Antiaromatic |
| 152− | 26.2 | p ˂ d Aromatic | 342− | 15.4 | p ˂ d Aromatic |
| 19 | −4 | p ≥ d Weakly antiaromatic | 35 | −22.4 | p ˃ d Antiaromatic |
| 192+ | 12.0 | p ˂ d Aromatic | 352+ | 10.5 | p ˂ d Aromatic |
| 192− | 7.8 | p ˂ d Aromatic | 352− | 4.0 | p ˂ d Weakly aromatic |
| 23 | −1 | p ≈ d Almost nonaromatic | 36 | −8 | p ˃ d Antiaromatic |
| 232+ | −84 | p ˃ d Strongly antiaromatic | 362+ | 11.0 | p ˂ d Aromatic |
| 232− | 19.5 | p ˂ d Aromatic | 362− | 1.8 | p ˂ d Weakly antiaromatic |
| 24 | −1 | p ≈ d Almost nonaromatic | 37 | −0.9 | p ≈ d Almost nonaromatic |
| 242+ | −74 | p ˃ d Strongly antiaromatic | 372+ | 8.5 | p ˂ d Aromatic |
| 242− | 17.3 | p ˂ d Aromatic | 372− | 14.5 | p ˂ d Aromatic |
| 40 | −0.5 | p ≈ d Almost nonaromatic | 38 | −0.5 | p ≈ d Almost nonaromatic |
| 402+ | −3 | p ≥ d Weakly antiaromatic | 382+ | 9.0 | p ˂ d Aromatic |
| 402− | 21 | p ˂ d Aromatic | 382− | 14.0 | p ˂ d Aromatic |
| Circulene | Itot nA∙T−1 | Aromaticity |
|---|---|---|
| 17 | −3.1 | Antiaromatic |
| 41 | −3.1 | Antiaromatic |
| 42 | 1.0 | Weakly aromatic |
| 43 | −3.7 | Antiaromatic |
| 44 | −3.4 | Antiaromatic |
| 45 | 0.3 | Nonaromatic |
| 46 | −2.2 | Weakly antiaromatic |
| 47 | −2.2 | Weakly antiaromatic |
| 48 | −4.1 | Antiaromatic |
| 49 | −5.0 | Antiaromatic |
Publisher’s Note: MDPI stays neutral with regard to jurisdictional claims in published maps and institutional affiliations. |
© 2021 by the authors. Licensee MDPI, Basel, Switzerland. This article is an open access article distributed under the terms and conditions of the Creative Commons Attribution (CC BY) license (https://creativecommons.org/licenses/by/4.0/).
Share and Cite
Karaush-Karmazin, N.N.; Baryshnikov, G.V.; Minaev, B.F. Aromaticity of Heterocirculenes. Chemistry 2021, 3, 1411-1436. https://doi.org/10.3390/chemistry3040102
Karaush-Karmazin NN, Baryshnikov GV, Minaev BF. Aromaticity of Heterocirculenes. Chemistry. 2021; 3(4):1411-1436. https://doi.org/10.3390/chemistry3040102
Chicago/Turabian StyleKaraush-Karmazin, Nataliya N., Glib V. Baryshnikov, and Boris F. Minaev. 2021. "Aromaticity of Heterocirculenes" Chemistry 3, no. 4: 1411-1436. https://doi.org/10.3390/chemistry3040102
APA StyleKaraush-Karmazin, N. N., Baryshnikov, G. V., & Minaev, B. F. (2021). Aromaticity of Heterocirculenes. Chemistry, 3(4), 1411-1436. https://doi.org/10.3390/chemistry3040102

