Solid Phase Nitrosylation of Enantiomeric Cobalt(II) Complexes
Abstract
1. Introduction
2. Materials and Methods
2.1. Instrumentation
2.2. Single Crystal X-ray Diffraction
2.3. Computational Details
2.4. Synthesis
2.4.1. Co(LR,R)·CS2 and Co(LS,S)·CS2
2.4.2. Co(LR,R) and Co(LS,S) (Desolvated from Co(LR,R)·CS2 and Co(LS,S)·CS2)
2.4.3. Co(NO)(LR,R) and Co(NO)(LS,S)
3. Results and Discussion
3.1. Reaction of Solid-State Co(II) Complexes with NO
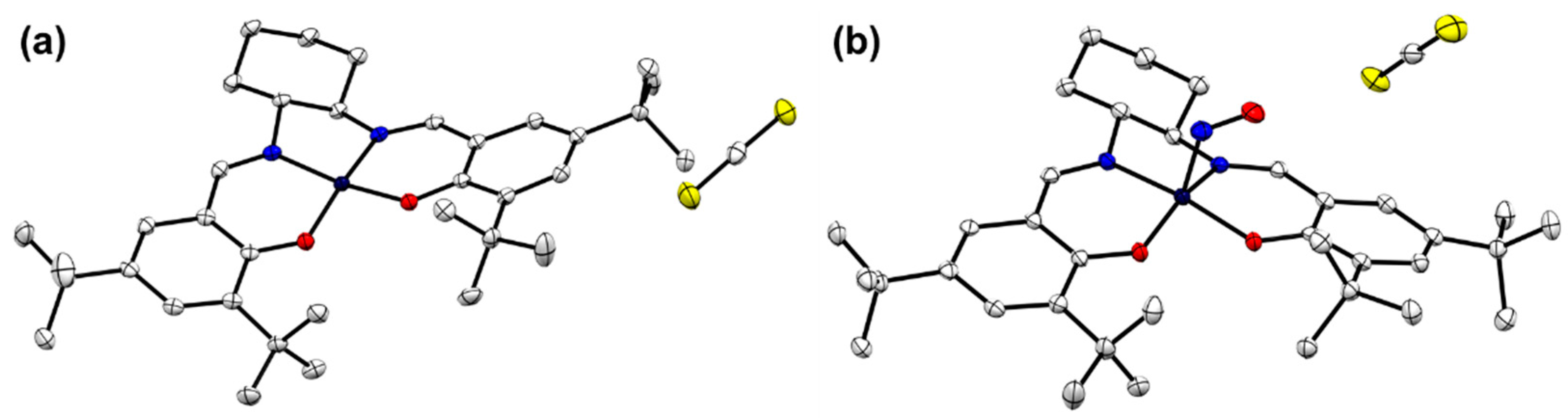
3.2. Structures of Enantiomorphic Phases
3.3. Solution-State Vibrational Circular Dichroism (VCD) Spectra
3.4. Solid State VCD Spectra
4. Conclusions
Supplementary Materials
Author Contributions
Funding
Institutional Review Board Statement
Informed Consent Statement
Data Availability Statement
Conflicts of Interest
References
- Zhang, W.X.; Yahiro, H.; Mizuno, N.; Izumi, J.; Iwamoto, M. Removal of nitrogen monoxide on copper ion-exchanged zeolites by pressure swing adsorption. Langmuir 1993, 9, 2337–2343. [Google Scholar] [CrossRef]
- Xiao, B.; Byrne, P.J.; Wheatley, P.S.; Wragg, D.S.; Zhao, X.; Fletcher, A.J.; Thomas, K.M.; Peters, L.; Evans, J.S.O.; Warren, J.E.; et al. Chemically blockable transformation and ultraselective low-pressure gas adsorption in a non-porous metal organic framework. Nat. Chem. 2009, 1, 289–294. [Google Scholar] [CrossRef] [PubMed]
- Arai, H.; Machida, M. Removal of NOx through sorption-desorption cycles over metal oxides and zeolites. Catal. Today 1994, 22, 97–109. [Google Scholar] [CrossRef]
- Cruz, W.V.; Leung, P.C.W.; Seff, K. Crystal structure of nitric oxide and nitrogen dioxide sorption complexes of partially cobalt(II)-exchanged zeolite A. Inorg. Chem. 1979, 18, 1692–1696. [Google Scholar] [CrossRef]
- Zhang, J.; Kosaka, W.; Kitagawa, S.; Takata, M.; Miyasaka, H. In Situ Tracking of Dynamic NO Capture through a Crystal-to-Crystal Transformation from a Gate-Open-Type Chain Porous Coordination Polymer to a NO-Adducted Discrete Isomer. Chem. Eur. J. 2019, 25, 3020–3031. [Google Scholar] [CrossRef]
- Zhang, W.-X.; Yahiro, H.; Iwamoto, M.; Izumi, J. Reversible and irreversible adsorption of nitrogen monoxide on cobalt lon-exchanged ZSM-5 and mordenite zeolites at 273–523 K. J. Chem. Soc. Faraday Trans. 1995, 91, 767–771. [Google Scholar] [CrossRef]
- Møller, M.S.; Haag, A.; McKee, V.; McKenzie, C.J. NO sorption, in-crystal nitrite and nitrate production with arylamine oxidation in gas-solid single crystal to single crystal reactions. Chem. Commun. 2019, 55, 10551–10554. [Google Scholar] [CrossRef]
- Earnshaw, A.; Hewlett, P.C.; Larkworthy, L.F. 877. Transition metal–Schiff’s base complexes. Part II. The reaction of nitric oxide with some oxygen-carrying cobalt compounds. J. Chem. Soc. 1965, 0, 4718–4723. [Google Scholar] [CrossRef]
- Diehl, H.; Hach, C.C.; Harrison, G.C.; Liggett, L.M.; Chao, T.S. Studies on oxygen-carrying cobalt compounds; cobalt derivatives of the Schiff’s bases of salicylaldehyde with alkylamines. Iowa State Coll. J. Sci. 1947, 21, 287. [Google Scholar]
- Jacobsen, E.N.; Zhang, W.; Muci, A.R.; Ecker, J.R.; Deng, L. Highly enantioselective epoxidation catalysts derived from 1,2-diaminocyclohexane. J. Am. Chem. Soc. 1991, 113, 7063–7064. [Google Scholar] [CrossRef]
- Lee, N.H.; Muci, A.R.; Jacobsen, E.N. Enantiomerically pure epoxychromans via asymmetric catalysis. Tetrahedron Lett. 1991, 32, 5055–5058. [Google Scholar] [CrossRef]
- Hanson, J. Synthesis and use of jacobsen’s catalyst: Enantioselective epoxidation in the introductory organic laboratory. J. Chem. Educ. 2001, 78, 1266. [Google Scholar] [CrossRef]
- Groom, C.R.; Bruno, I.J.; Lightfoot, M.P.; Ward, S.C. The cambridge structural database. Acta Crystallogr. B Struct. Sci. Cryst. Eng. Mater. 2016, 72, 171–179. [Google Scholar] [CrossRef]
- Møller, M.S.; Kongsted, J.; McKenzie, C.J. Preparation of organocobalt(iii) complexes via O2 activation. Dalton Trans. 2021, 50, 4819–4829. [Google Scholar] [CrossRef] [PubMed]
- Brückner, S.; Calligaris, M.; Nardin, G.; Randaccio, L. The crystal structure of the form of N,N’-ethylenebis(salicylaldehydeiminato)cobalt(II) inactive towards oxygenation. Acta Crystallogr. B Struct. Crystallogr. Cryst. Chem. 1969, 25, 1671–1674. [Google Scholar] [CrossRef]
- Hughes, D.L.; Kleinkes, U.; Leigh, G.J.; Maiwald, M.; Sanders, J.R.; Sudbrake, C. New polymeric compounds containing vanadium–oxygen chains. J. Chem. Soc. Dalton Trans. 1994, 2457–2466. [Google Scholar] [CrossRef]
- Garcia-Deibe, A.; Sousa, A.; Bermejo, M.R.; Mac Rory, P.P.; McAuliffe, C.A.; Pritchard, R.G.; Helliwell, M. The visible light induced rearrangement of a manganese(III) complex of an unsymmetrical tetradentate Schiff’s base ligand, 4-[2-(2-hydroxyphenylmethyleneamino)ethylamino]pent-3-en-2-one, to a manganese(III) complex of the symmetrical ligand salen. J. Chem. Soc. Chem. Commun. 1991, 10, 728–729. [Google Scholar] [CrossRef]
- Bhadbhade, M.M.; Srinivas, D. Effects on molecular association, chelate conformation, and reactivity toward substitution in copper Cu(5-X-salen) complexes, salen2- = N,N’-ethylenebis(salicylidenaminato), X = H, CH3O, and Cl: Synthesis, x-ray structures, and EPR investigations. [Erratum to document cited in CA119(26):285036b]. Inorg. Chem. 1993, 32, 6122–6130. [Google Scholar]
- CrysAlis, version 1.171.40.67a; Rigaku Oxford Diffraction: The Woodlands, TX, USA, 2019.
- Hübschle, C.B.; Sheldrick, G.M.; Dittrich, B. ShelXle: A Qt graphical user interface for SHELXL. J. Appl. Crystallogr. 2011, 44, 1281–1284. [Google Scholar] [CrossRef]
- Sheldrick, G.M. SHELXT—Integrated space-group and crystal-structure determination. Acta Crystallogr. A Found. Adv. 2015, 71, 3–8. [Google Scholar] [CrossRef]
- Sheldrick, G.M. Crystal structure refinement with SHELXL. Acta Crystallogr. C Struct. Chem. 2015, 71, 3–8. [Google Scholar] [CrossRef]
- Bochevarov, A.D.; Harder, E.; Hughes, T.F.; Greenwood, J.R.; Braden, D.A.; Philipp, D.M.; Rinaldo, D.; Halls, M.D.; Zhang, J.; Friesner, R.A. Jaguar: A high-performance quantum chemistry software program with strengths in life and materials sciences. Int. J. Quantum Chem. 2013, 113, 2110–2142. [Google Scholar] [CrossRef]
- Jaguar; Schrödinger Release 2019-1; Schrödinger, LLC: New York, NY, USA, 2019.
- Hay, P.J.; Wadt, W.R. Ab initio effective core potentials for molecular calculations. Potentials for K to Au including the outermost core orbitals. J. Chem. Phys. 1985, 82, 299–310. [Google Scholar] [CrossRef]
- Stephens, P.J.; Devlin, F.J.; Chabalowski, C.F.; Frisch, M.J. Ab Initio Calculation of Vibrational Absorption and Circular Dichroism Spectra Using Density Functional Force Fields. J. Phys. Chem. 1994, 98, 11623–11627. [Google Scholar] [CrossRef]
- Banks, J.L.; Beard, H.S.; Cao, Y.; Cho, A.E.; Damm, W.; Farid, R.; Felts, A.K.; Halgren, T.A.; Mainz, D.T.; Maple, J.R.; et al. Integrated modeling program, applied chemical theory (IMPACT). J. Comput. Chem. 2005, 26, 1752–1780. [Google Scholar] [CrossRef] [PubMed]
- Larrow, J.F.; Jacobsen, E.N. (R,R)-N,N’-Bis(3,5-di-tert-butylsalicylidene)-1,2-cyclohexanediamino manganese(III) chloride, a highly enantioselective epoxidation catalyst. Org. Synth. 1998, 75, 1. [Google Scholar]
- Li, G.; Liu, Y.; Zhang, K.; Shi, J.; Wan, X.; Cao, S. Effect of salen-metal complexes on thermosensitive reversibility of stimuli-responsive water-soluble poly(urethane amine)s. J. Appl. Polym. Sci. 2013, 129, 3696–3703. [Google Scholar] [CrossRef]
- North, M.; Quek, S.C.Z.; Pridmore, N.E.; Whitwood, A.C.; Wu, X. Aluminum(salen) complexes as catalysts for the kinetic resolution of terminal epoxides via co2 coupling. ACS Catal. 2015, 5, 3398–3402. [Google Scholar] [CrossRef]
- Xu, N.; Powell, D.R.; Cheng, L.; Richter-Addo, G.B. The first structurally characterized nitrosyl heme thiolate model complex. Chem. Commun. 2006, 19, 2030–2032. [Google Scholar] [CrossRef] [PubMed]
- Xu, N.; Powell, D.R.; Richter-Addo, G.B. Nitrosylation in a crystal: Remarkable movements of iron porphyrins upon binding of nitric oxide. Angew. Chem. Int. Ed. Engl. 2011, 50, 9694–9696. [Google Scholar] [CrossRef] [PubMed]
- Parsons, S.; Flack, H.D.; Wagner, T. Use of intensity quotients and differences in absolute structure refinement. Acta Crystallogr. B Struct. Sci. Cryst. Eng. Mater. 2013, 69, 249–259. [Google Scholar] [CrossRef]
- Haller, K.J.; Enemark, J.H. Structural chemistry of the {CoNO}8 group. III. The structure of N, N’-ethylenebis(salicylideneiminato)nitrosylcobalt(II), Co(NO)(salen). Acta Crystallogr. B Struct. Sci. 1978, 34, 102–109. [Google Scholar] [CrossRef]
- Enemark, J.H.; Feltham, R.D. Principles of structure, bonding, and reactivity for metal nitrosyl complexes. Coord. Chem. Rev. 1974, 13, 339–406. [Google Scholar] [CrossRef]
- Albrecht, E.; Baum, G.; Bellunato, T.; Bressan, A.; Dalla Torre, S.; D’Ambrosio, C.; Davenport, M.; Dragicevic, M.; Duarte Pinto, S.; Fauland, P.; et al. VUV absorbing vapours in n-perfluorocarbons. Nucl. Instrum. Methods Phys. Res. A Accel. Spectrometers Detect. Assoc. Equip. 2003, 510, 262–272. [Google Scholar] [CrossRef][Green Version]
- Nafie, L.A. Vibrational Optical Activity: Principles and Applications; John Wiley & Sons, Ltd.: Chichester, UK, 2011. [Google Scholar]
- Bormett, R.W.; Asher, S.A.; Larkin, P.J.; Gustafson, W.G.; Ragunathan, N.; Freedman, T.B.; Nafie, L.A.; Balasubramanian, S.; Boxer, S.G. Selective examination of heme protein azide ligand-distal globin interactions by vibrational circular dichroism. J. Am. Chem. Soc. 1992, 114, 6864–6867. [Google Scholar] [CrossRef]
- Adão, P.; Costa Pessoa, J.; Henriques, R.T.; Kuznetsov, M.L.; Avecilla, F.; Maurya, M.R.; Kumar, U.; Correia, I. Synthesis, characterization, and application of vanadium-salan complexes in oxygen transfer reactions. Inorg. Chem. 2009, 48, 3542–3561. [Google Scholar] [CrossRef]
- Chen, B.-L.; Zhu, H.-W.; Xiao, Y.; Sun, Q.-L.; Wang, H.; Lu, J.-X. Asymmetric electrocarboxylation of 1-phenylethyl chloride catalyzed by electrogenerated chiral [CoI(salen)]−complex. Electrochem. Commun. 2014, 42, 55–59. [Google Scholar] [CrossRef]
- Bam, R.; Pollatos, A.S.; Moser, A.J.; West, J.G. Mild olefin formation via bio-inspired vitamin B12 photocatalysis. Chem. Sci. 2021, 12, 1736–1744. [Google Scholar] [CrossRef]
- Chang, S.; Lee, N.H.; Jacobsen, E.N. Regio- and enantioselective catalytic epoxidation of conjugated polyenes. Formal synthesis of LTA4 methyl ester. J. Org. Chem. 1993, 58, 6939–6941. [Google Scholar] [CrossRef]
- Huang, J.; Cai, J.; Feng, H.; Liu, Z.; Fu, X.; Miao, Q. Synthesis of salen Mn(III) immobilized onto the ZnPS-PVPA modified by 1,2,3-triazole and their application for asymmetric epoxidation of olefins. Tetrahedron 2013, 69, 5460–5467. [Google Scholar] [CrossRef]
- Buhse, T.; Cruz, J.-M.; Noble-Terán, M.E.; Hochberg, D.; Ribó, J.M.; Crusats, J.; Micheau, J.-C. Spontaneous Deracemizations. Chem. Rev. 2021, 121, 2147–2229. [Google Scholar] [CrossRef] [PubMed]









| Compound | Co(LR,R)·CS2 | Co(LR,R) | Co(NO)(LR,R)·CS2 |
|---|---|---|---|
| Empirical formula | C37H52N2O2S2Co | C36H52N2O2Co | C37H52N3O3S2Co |
| Formula weight | 679.85 | 603.72 | 709.86 |
| Temperature/K | 100.00(10) | 100.00(10) | 100.00(10) |
| Crystal system | monoclinic | monoclinic | monoclinic |
| Space group | P21 | P21 | P21 |
| a [Å] | 13.55410(10) | 26.2740(4) | 14.12020(10) |
| b [Å] | 9.96900(10) | 9.5866(2) | 10.02300(10) |
| c [Å] | 26.59490(10) | 29.2826(4) | 25.9282(2) |
| α [°] | 90 | 90 | 90 |
| β [°] | 92.1290(10) | 113.379(2) | 95.5600(10) |
| γ [°] | 90 | 90 | 90 |
| Volume [Å3] | 3591.04(5) | 6770.1(2) | 3652.27(5) |
| Z | 4 | 8 | 4 |
| µ [mm−1] | 5.085 | 4.210 | 5.052 |
| Tmin/Tmax | 0.499/0.958 | 0.688/1.000 | 0.183/1.000 |
| (sin θ/λ)max | 0.749 | 0.684 | 0.698 |
| Final R1, wR2 indexes [I ≥ 2σ(I)] | 0.0250, 0.0638 | 0.0952, 0.1822 | 0.0292, 0.0757 |
| Final R1, wR2 indexes [all data] | 0.0267, 0.0649 | 0.1113, 0.1898 | 0.0346, 0.0801 |
| Flack parameter [33] | −0.0189(11) | 0.082(4) | −0.019(2) |
| Goof on F2 | 1.022 | 1.198 | 1.013 |
| Peak/hole [e Å−3] | 0.28/−0.30 | 0.58/−0.84 | 0.42/−0.27 |
| CCDC Numbers | 2073657 | 2073658 | 2073659 |
| Compound | Co(LR,R)·CS2 | Co(LR,R) | Co(NO)(LR,R)·CS2 |
|---|---|---|---|
| Co–N [Å] | 1.861(2) | 1.861(9) | 1.894(3) |
| Co–O [Å] | 1.844(2) | 1.847(8) | 1.877(2) |
| ∠O–Co–O [°] | 86.93(7) | 87.3(3) | 84.34(9) |
| ∠N–Co–N [°] | 86.54(9) | 86.9(4) | 85.42(11) |
| ∠N–Co–O [°] | 93.78(8) | 93.5(4) | 93.60(10) |
| Co–NO [Å] | - | - | 1.818(3) |
| CoN=O [Å] | - | - | 1.179(3) |
| ∠Co–N=O [°] | - | - | 122.0(2) |
Publisher’s Note: MDPI stays neutral with regard to jurisdictional claims in published maps and institutional affiliations. |
© 2021 by the authors. Licensee MDPI, Basel, Switzerland. This article is an open access article distributed under the terms and conditions of the Creative Commons Attribution (CC BY) license (https://creativecommons.org/licenses/by/4.0/).
Share and Cite
Møller, M.S.; Liljedahl, M.C.; McKee, V.; McKenzie, C.J. Solid Phase Nitrosylation of Enantiomeric Cobalt(II) Complexes. Chemistry 2021, 3, 585-597. https://doi.org/10.3390/chemistry3020041
Møller MS, Liljedahl MC, McKee V, McKenzie CJ. Solid Phase Nitrosylation of Enantiomeric Cobalt(II) Complexes. Chemistry. 2021; 3(2):585-597. https://doi.org/10.3390/chemistry3020041
Chicago/Turabian StyleMøller, Mads Sondrup, Morten Czochara Liljedahl, Vickie McKee, and Christine J. McKenzie. 2021. "Solid Phase Nitrosylation of Enantiomeric Cobalt(II) Complexes" Chemistry 3, no. 2: 585-597. https://doi.org/10.3390/chemistry3020041
APA StyleMøller, M. S., Liljedahl, M. C., McKee, V., & McKenzie, C. J. (2021). Solid Phase Nitrosylation of Enantiomeric Cobalt(II) Complexes. Chemistry, 3(2), 585-597. https://doi.org/10.3390/chemistry3020041

