Sign in to use this feature.

Years

Between: -

Subjects

remove_circle_outline
remove_circle_outline
remove_circle_outline
remove_circle_outline
remove_circle_outline
remove_circle_outline
remove_circle_outline
remove_circle_outline
remove_circle_outline

Journals

remove_circle_outline
remove_circle_outline
remove_circle_outline
remove_circle_outline
remove_circle_outline
remove_circle_outline
remove_circle_outline
remove_circle_outline
remove_circle_outline

Article Types

Countries / Regions

remove_circle_outline
remove_circle_outline
remove_circle_outline
remove_circle_outline
remove_circle_outline

Search Results (1,153)

Search Parameters:
Keywords = chemisorption

Order results
Result details
Results per page
Select all
Export citation of selected articles as:
25 pages, 1750 KB  
Article
Eco-Friendly Corrosion Inhibition of OLC45 Steel in H2SO4 Solution Using Rhus typhina L. Plant Extracts
by Denisa-Ioana Răuță (Gheorghe), Florina Brânzoi, Sorin Marius Avramescu, Roxana-Doina Truşcă and Ecaterina Matei
Technologies 2026, 14(5), 256; https://doi.org/10.3390/technologies14050256 - 24 Apr 2026
Abstract
This study focuses on the evaluation of eco-friendly corrosion inhibitors derived from extracts of Rhus typhina L. leaves, collected in August during the summer season, on OLC45 metal surfaces in a 0.5 M H2SO4 corrosive environment. The extracts were obtained [...] Read more.
This study focuses on the evaluation of eco-friendly corrosion inhibitors derived from extracts of Rhus typhina L. leaves, collected in August during the summer season, on OLC45 metal surfaces in a 0.5 M H2SO4 corrosive environment. The extracts were obtained using the microwave extraction technique and characterized by HPLC. The protective properties of OLC45 coated with LESRT (leaf extract collected in summer from Rhus typhina L.) were examined by potentiostatic and potentiodynamic polarization procedures and electrochemical impedance spectroscopy (EIS) in 0.5 M H2SO4. The application of the Langmuir isotherm revealed high values of the adsorption constant and standard free energies (ΔG°ads), suggesting a possible mixed adsorption process with an increased tendency toward chemisorption. The influence of temperature on the electrochemical behavior of OLC45 samples in H2SO4, both in the absence and presence of two extracts derived from Rhus typhina leaves at a concentration of 1000 ppm, was investigated over the temperature range of 293–333 K. A comparison of the two inhibitors’ effectiveness revealed high inhibitory efficiency, up to 91% at 1000 ppm LESRT1 (methanol/double-distilled water (50%:50%, v/v)) and 92% for LESRT2 (ethanol/double-distilled water (50%:50%, v/v)) at 1000 ppm LESRT2. Full article
(This article belongs to the Section Environmental Technology)
12 pages, 6136 KB  
Article
Microscopic Insights into Impurity-Modulated Capture of Platinum-Group Metals by Bismuth in Copper Anode Slimes
by Dongji Liu, Hong Zeng, Fupeng Liu, Jing Cao, Huihui Xiong, Feixiong Chen, Tao Zhang and Jie Wang
Molecules 2026, 31(9), 1383; https://doi.org/10.3390/molecules31091383 - 22 Apr 2026
Viewed by 88
Abstract
The efficient recovery of platinum group metals (PGMs) from decoppered anode slimes is essential for sustainable resource management, yet the atomic-level mechanisms underlying their capture remain unclear. Herein, first-principles calculations were employed to elucidate the microscopic interactions by which bismuth acts as a [...] Read more.
The efficient recovery of platinum group metals (PGMs) from decoppered anode slimes is essential for sustainable resource management, yet the atomic-level mechanisms underlying their capture remain unclear. Herein, first-principles calculations were employed to elucidate the microscopic interactions by which bismuth acts as a trapping agent for PGMs (Ru, Ir, Pt, Rh, Os, Pd) and to determine the effects of four representative impurities (As, Sb, Pb, Si). The results demonstrate that pristine Bi(001) exhibits strong chemisorption toward all six PGMs, as proved by the large charge transfer, significant electron sharing and pronounced p-d orbital hybridization. Furthermore, these impurities spontaneously incorporate into the Bi(001) surface due to the large binding energy. Crucially, some impurities such as As and Si function as potent surface activators rather than detrimental contaminants. These dopants significantly enhance the PGM binding strength by inducing intense localized charge redistribution and establishing strong orbital hybridizations among the Bi-5d, PGM-d and p orbitals of dopants. Overall, this work provides a theoretical foundation for strategically utilizing the impurities to optimize the recovery of PGMs in complex smelting systems. Full article
31 pages, 25955 KB  
Article
Enhanced and Efficient Removal of U(VI) from Aqueous Solution by Magnetic Chicken Bone Biochar/Sodium Alginate Composite Gel Beads: Performance and Mechanism
by Cheng Chen, Pengcheng Xian, Xiong Zhang, Liang Huang, Fengyao Fan, Chunhai Lu and Yanjing Yang
Appl. Sci. 2026, 16(9), 4093; https://doi.org/10.3390/app16094093 - 22 Apr 2026
Viewed by 138
Abstract
In this study, chicken bone biochar (CBC) was prepared from waste chicken bones via oxygen-limited pyrolysis. A magnetic component (Fe3O4) was introduced, and the composite was embedded in a sodium alginate (SA) gel network, successfully constructing magnetic chicken bone [...] Read more.
In this study, chicken bone biochar (CBC) was prepared from waste chicken bones via oxygen-limited pyrolysis. A magnetic component (Fe3O4) was introduced, and the composite was embedded in a sodium alginate (SA) gel network, successfully constructing magnetic chicken bone biochar/sodium alginate composite gel beads (M-CBC/SA). The experimental results showed that under the conditions of pH = 4.5, 25 °C, and an adsorbent dosage of 0.5 g/L, the removal efficiency of M-CBC/SA toward 50 mg/L U(VI) reached 91.67%, corresponding to an adsorption capacity of 91.67 mg/g. The adsorption process followed the pseudo-second-order kinetic model and the Langmuir isotherm model, with a theoretical maximum adsorption capacity of 322.58 mg/g, indicating that the adsorption was dominated by monolayer chemisorption. The material exhibited excellent magnetic separability and good anti-interference ability against coexisting ions such as K+, Na+, Cl, and SO42−, and its adsorption behavior was only weakly affected by ionic strength. Characterization by XRD, FTIR, XPS, SEM-EDS and other techniques revealed that the immobilization mechanism of U(VI) involved the synergistic effects of dissolution–precipitation (the formation of a new autunite phase), surface complexation (involving hydroxyl and phosphate groups), ion exchange (exchange with Ca2+), and electrostatic attraction. Using waste chicken bones as the raw material, this composite achieves both efficient uranium immobilization and convenient magnetic separation, fully embodying the environmental concept of “treating waste with waste”, and shows promising application prospects in the treatment of uranium-containing wastewater. Full article
(This article belongs to the Topic Advanced Composite Materials)
Show Figures

Figure 1

17 pages, 3897 KB  
Article
Sustainable Lignocellulosic Biosorbent Derived from Asplenium scolopendrium Leaves for the Adsorptive Removal of Methylene Blue from Aqueous Solutions
by Giannin Mosoarca, Cosmin Vancea, Simona Popa, Maria Elena Radulescu-Grad, Mircea Dan, Cristian Tanasie and Sorina Boran
Sustainability 2026, 18(8), 4145; https://doi.org/10.3390/su18084145 - 21 Apr 2026
Viewed by 246
Abstract
This research evaluates the feasibility of using a lignocellulosic biosorbent prepared from mature leaves of Asplenium scolopendrium (produced through simple mechanical processing of the leaves, without applying any chemical modification or heat treatment) for the removal of methylene blue from water. Before and [...] Read more.
This research evaluates the feasibility of using a lignocellulosic biosorbent prepared from mature leaves of Asplenium scolopendrium (produced through simple mechanical processing of the leaves, without applying any chemical modification or heat treatment) for the removal of methylene blue from water. Before and after adsorption the material was characterized using SEM technique and color analysis. Subsequently, the adsorption behavior was analyzed by examining equilibrium, kinetic, and thermodynamic aspects of the process. The equilibrium data were best represented by the Sips isotherm model, while the adsorption rate followed the Avrami model. Thermodynamic evaluation indicated that the retention of the dye occurs predominantly through a physical adsorption mechanism, while a minor contribution from chemisorption may be present, slightly enhancing the overall dye uptake. Process optimization was performed using the Taguchi experimental design, which also allowed the identification of the most significant operational variable. In addition, analysis of variance (ANOVA) was applied to quantify the contribution of each factor affecting dye removal efficiency. Among the investigated variables, time showed the strongest influence (72.65%), whereas temperature had a negligible effect (1.33%). The maximum adsorption capacity reached 174.1 mg/g, surpassing the performance of several comparable biosorbents reported in the literature. Overall, the findings demonstrate that Asplenium scolopendrium (hart’s-tongue fern) leaves represent an inexpensive, sustainable, and efficient material for eliminating methylene blue from aqueous solutions. Full article
(This article belongs to the Special Issue Sustainable Research Progress on Treatment of Wastewater)
Show Figures

Figure 1

21 pages, 5242 KB  
Article
Adsorption of Pb(II) by Manganese Sand-Modified Drinking Water Treatment Plant Residual Particles
by Xiaoli Du, Shiyi Chen, Huihui Sheng, Xinhong Yu and Yuhao Sun
Sustainability 2026, 18(8), 4130; https://doi.org/10.3390/su18084130 - 21 Apr 2026
Viewed by 103
Abstract
Urban stormwater runoff often contains toxic metals that threaten aquatic environments. Meanwhile, the large quantities of drinking water treatment residuals (DWTRs) generated worldwide offer opportunities for sustainable reuse as pollutant removal materials. In this study, a manganese sand-modified drinking water treatment residual particle [...] Read more.
Urban stormwater runoff often contains toxic metals that threaten aquatic environments. Meanwhile, the large quantities of drinking water treatment residuals (DWTRs) generated worldwide offer opportunities for sustainable reuse as pollutant removal materials. In this study, a manganese sand-modified drinking water treatment residual particle (RDP-M) was prepared from DWTRs and manganese sand for Pb(II) removal from water. Characterization by scanning electron microscopy (SEM), Fourier transform infrared spectroscopy (FTIR), and X-ray photoelectron spectroscopy (XPS) showed that RDP-M had a rough surface morphology and abundant oxygen-containing functional groups, which provided adsorption sites. Batch experiments showed that the maximum Pb(II) adsorption capacity of RDP-M reached 2.79 mg g−1 at 298 K and pH 7.0, which was about 48% higher than that of the unmodified particles (RDP). The adsorption process followed the pseudo-second-order kinetic model and the Langmuir isotherm model, indicating a chemisorption-dominated process. Thermodynamic analysis further showed that the process was spontaneous and exothermic. RDP-M maintained stable Pb(II) removal over a wide pH range, showed low sensitivity to coexisting ions, and retained high efficiency during repeated use. These results demonstrate that RDP-M has potential as a sustainable granular material for stormwater treatment and waste resource valorization. Full article
17 pages, 1658 KB  
Article
Effects of Cu Doping on the Microstructure, Room-Temperature Desulfurization Performance and Reaction Mechanism of Nano-ZnO
by Yue Gao, Chunhong Shao, Xuan Qi, Junfeng Zhang and Xingqian Liu
Molecules 2026, 31(8), 1362; https://doi.org/10.3390/molecules31081362 - 21 Apr 2026
Viewed by 148
Abstract
A nano-CuO/ZnO desulfurizer was successfully prepared via a homogeneous precipitation method, and the effects of Cu doping on its microstructure, oxygen species, desulfurization performance, and reaction mechanism were systematically investigated. The results show that an appropriate Cu doping amount (TZ2, Cu:Zn = 1:18.40) [...] Read more.
A nano-CuO/ZnO desulfurizer was successfully prepared via a homogeneous precipitation method, and the effects of Cu doping on its microstructure, oxygen species, desulfurization performance, and reaction mechanism were systematically investigated. The results show that an appropriate Cu doping amount (TZ2, Cu:Zn = 1:18.40) significantly reduces the particle size (to ~10.9 nm) compared with pure ZnO (14.3 nm), leading to an increased number of surface-active sites. XPS and TG analyses reveal that Cu incorporation increases the proportion of lattice oxygen and decreases the concentration of oxygen vacancies, indicating that the modification effect of Cu dominates over the particle size effect in regulating surface oxygen species. Despite the reduced oxygen vacancy concentration, the desulfurization performance is markedly enhanced, with TZ2 exhibiting the longest breakthrough time under oxygen-free conditions at room temperature. This improvement is attributed to the strong interaction between highly dispersed Cu species and the ZnO matrix, which promotes H2S adsorption and activation. Mechanistic studies demonstrate that, unlike pure nano-ZnO, where oxygen vacancy-mediated reactions dominate, the CuO/ZnO system follows a chemisorption-driven pathway involving the formation of copper sulfides and highly reactive polysulfide intermediates. Furthermore, the presence of oxygen significantly influences the reaction behavior, with an optimal oxygen concentration (~10%) maximizing desulfurization performance by balancing the generation of reactive oxygen species and sulfur intermediates. This work provides new insights into the design of high-performance ZnO-based desulfurizers and highlights the critical role of Cu-induced mechanism transformation. Full article
Show Figures

Figure 1

22 pages, 4997 KB  
Article
Study on β-Cyclodextrin-Functionalized Molten Salt Nitrogen-Doped Biochar and Its Adsorption Performance and Mechanism
by Sining Li, Yong Huang, Qiushuang Cui, Ke Jin, Hanyu Wei, Wen Liu, Huan Li and Ruyun Bai
Molecules 2026, 31(8), 1284; https://doi.org/10.3390/molecules31081284 - 14 Apr 2026
Viewed by 387
Abstract
In this study, we prepare N–doped biochar loaded with β-CD, using cotton stalks as a carbon source, and evaluate its removal efficiency for tetracycline (TC) and methylene blue (MB) from aqueous solutions. This composite uniquely integrates molten salt activation, nitrogen doping, and β-CD [...] Read more.
In this study, we prepare N–doped biochar loaded with β-CD, using cotton stalks as a carbon source, and evaluate its removal efficiency for tetracycline (TC) and methylene blue (MB) from aqueous solutions. This composite uniquely integrates molten salt activation, nitrogen doping, and β-CD grafting, resulting in an exceptionally high specific surface area of 1943 m2/g and abundant active sites. The findings reveal that β-CD-NKBC-1.5 (5 g of N–doped biochar loaded with 1.5 g of β-CD) demonstrates remarkable capabilities for both TC and MB removal across an extensive pH spectrum, reaching peak adsorption levels of 1269.8 and 969.4 mg/g at 308.15 K, respectively—outperforming most previously reported biochar-based adsorbents. The adsorption process is well described by the pseudo-second-order and Langmuir models, indicating that monolayer chemisorption is the dominant mechanism. β-CD-NKBC-1.5 exhibits preferential adsorption for TC and MB and maintains high adsorption efficiency even with coexisting ions (Na+, K+, Ca2+, Mg2+, and SO42−) at concentrations up to 500 mg/L. The adsorption mechanism involves Lewis acid–base interactions, hydrogen bonding, π–π stacking, and pore filling. Full article
(This article belongs to the Section Green Chemistry)
Show Figures

Figure 1

20 pages, 1971 KB  
Article
Olive Pomace-Based Nanobiochar as an Adsorbent Biomass for the Removal of Simple Phenols from Oil Mill Effluents: Experimental Modeling and Computational Approaches
by Rania Abbi, Alexander Mikhalev, Meryem Achira, Ayoub Ainane, Aise Deliboran, Ayla Mumcu, Khadija Oumaskour, Tarik Ainane and Rafail Isemin
Biomass 2026, 6(2), 30; https://doi.org/10.3390/biomass6020030 - 14 Apr 2026
Viewed by 238
Abstract
This study evaluated the sustainability of removing phenolic compounds from olive mill effluents using a nanobiochar synthesized from olive pomace. Catechol, tyrosol, hydroxytyrosol, and homovanillic alcohol were chosen as model pollutants due to their presence in agro-industrial wastewater. The surface morphology, elemental composition, [...] Read more.
This study evaluated the sustainability of removing phenolic compounds from olive mill effluents using a nanobiochar synthesized from olive pomace. Catechol, tyrosol, hydroxytyrosol, and homovanillic alcohol were chosen as model pollutants due to their presence in agro-industrial wastewater. The surface morphology, elemental composition, crystallographic structure, functional groups, porosity, and thermal stability of the nanobiochar were investigated by SEM, EDX, XRD, FTIR, BET analysis, and TGA/DTA. The developed nanobiochar exhibited a predominantly amorphous carbon structure, enriched in carbon (85.6%), with localized graphitic domains. Its mesoporous architecture (SBET = 15.478 m2 g−1; Dp = 2.14 nm) promotes accessibility to active sites, while its thermal stability confirmed its suitability for adsorption applications. In this batch adsorption study, the technological aspect considered is the influence of operating parameters on adsorption efficiency, using kinetic and equilibrium models. Pseudo-first-order and pseudo-second-order kinetic models, as well as Freundlich and Langmuir isotherms, were used to analyze the experimental data. The pseudo-second-order model proved to be the most suitable for describing adsorption, suggesting that the process is primarily dominated by chemisorption. Similarly, the Langmuir model gave the least satisfactory results regarding equilibrium data, indicating monolayer adsorption on homogeneous active sites. The adsorption capacity of phenolic compounds was variable. The highest adsorption capacities were observed for catechol (250 mg g−1), tyrosol (19.23 mg g−1), homovanillic alcohol (15.38 mg g−1), and hydroxytyrosol (13.16 mg g−1). The results of this research indicate that adsorption affinity depends on molecular structure and electronic properties. Furthermore, computer modeling based on molecular simulations and electronic descriptors was performed to explain the adsorption mechanism. Linear regression, principal component analysis, and elastic regression revealed strong correlations between adsorption parameters and molecular descriptors. These results demonstrate that olive pomace-based nanobiochar is an environmentally friendly adsorbent for the treatment of phenolic effluents, with adsorption primarily controlled by surface interactions. Full article
Show Figures

Graphical abstract

22 pages, 10712 KB  
Article
Comparative Study on the Differential Adsorption Mechanisms of Typical Light/Heavy Rare Earth Ions by Kaolinite and Halloysite
by Hongchang Liu, Shiyun Huang, Mengyuan Wang, Yang Liu, Jingna Li and Jun Wang
Minerals 2026, 16(4), 399; https://doi.org/10.3390/min16040399 - 14 Apr 2026
Viewed by 267
Abstract
The inevitable toxicity and bioaccumulation of rare earth elements (REEs) have posed potential pollution risks to the environment. In this study, two major clay minerals from weathered ion-adsorption rare earth deposits—tubular halloysite and platy kaolinite—were used as research objects, and a series of [...] Read more.
The inevitable toxicity and bioaccumulation of rare earth elements (REEs) have posed potential pollution risks to the environment. In this study, two major clay minerals from weathered ion-adsorption rare earth deposits—tubular halloysite and platy kaolinite—were used as research objects, and a series of batch adsorption experiments were conducted on light rare earth elements (La, Eu) and heavy rare earth elements (Y, Dy) at different concentrations, aiming to clarify the adsorption mechanisms of rare earth ions onto clay minerals. The results showed that under the same conditions, the adsorption capacity of halloysite was higher than that of kaolinite. The unit adsorption capacity of both kaolinite and halloysite for REEs increased with rising pH. The adsorption processes of REEs onto kaolinite and halloysite were better fitted by the pseudo-second-order kinetic model and the Langmuir model, indicating that the adsorption was a homogeneous process dominated by chemisorption, with a fast adsorption rate that was basically completed within the first 5 min. The 1/n values fitted by the Freundlich model were all between 0 and 1, suggesting that the adsorption reaction was favorable. Rare earth ions were adsorbed onto halloysite and kaolinite through outer-sphere complexation (electrostatic attraction) and inner-sphere complexation. Full article
(This article belongs to the Collection Advanced Extraction and Recovery of Rare Earth Elements)
Show Figures

Figure 1

24 pages, 4921 KB  
Article
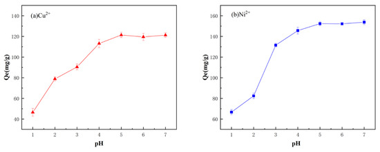
Preparation of Benzimidazole-Modified Resin and Its Adsorption Behavior Toward Cu(II) and Ni(II) Ions in Aqueous Media
by Keyu Chen, Yongming Wei and Kaihuai Duan
Materials 2026, 19(8), 1532; https://doi.org/10.3390/ma19081532 - 11 Apr 2026
Viewed by 326
Abstract
To address heavy metal contamination in wastewater, this study developed a novel chelating resin (PS-2-AB) by grafting 2-aminobenzimidazole onto chloromethylated polystyrene. The resin was characterized using SEM, BET, FTIR, and XPS to confirm successful modification and analyze its structural properties. Batch adsorption tests [...] Read more.
To address heavy metal contamination in wastewater, this study developed a novel chelating resin (PS-2-AB) by grafting 2-aminobenzimidazole onto chloromethylated polystyrene. The resin was characterized using SEM, BET, FTIR, and XPS to confirm successful modification and analyze its structural properties. Batch adsorption tests were conducted to evaluate its removal performance for Cu(II) and Ni(II) ions. Under optimal conditions (pH 5.0–7.0, dosage: 1.0 g/L), PS-2-AB achieved maximum adsorption capacities of 125.04 mg/g for Cu(II) and 157.44 mg/g for Ni(II), which are significantly higher than those of the commercial resin D113 (44.68 mg/g for Cu(II) and 25.17 mg/g for Ni(II)) under the same conditions. Adsorption kinetics followed the pseudo-second-order model, indicating chemisorption-dominated behavior, while equilibrium data fit the Langmuir model, suggesting monolayer adsorption. Thermodynamic parameters confirmed a spontaneous and endothermic process. After five regeneration cycles, PS-2-AB retained approximately 87% (Cu) and 89% (Ni) of its original capacity, demonstrating good reusability. These results indicate that PS-2-AB exhibits markedly better adsorption performance than D113, making it a promising and cost-effective adsorbent for the efficient removal of Cu(II) and Ni(II) from aqueous media. Full article
(This article belongs to the Special Issue Functional Polymers and Materials: Synthesis and Application)
Show Figures

Figure 1

23 pages, 3032 KB  
Article
Experimental Evaluation of Commercial Molecular Sieves 13X, 4A, and JLPM3 for Sustainable Direct Air CO2 Capture from Humid Air via Temperature-Swing Adsorption: “Sieve the Atmosphere”
by Luis Signorelli, Pedro Esparza, Pedro Martín-Zarza and María Emma Borges Chinea
Sustainability 2026, 18(7), 3601; https://doi.org/10.3390/su18073601 - 7 Apr 2026
Viewed by 309
Abstract
Direct air capture (DAC) of CO2 via temperature-swing adsorption (TSA) can support sustainable carbon dioxide removal, but only if sorbents regenerate with low energy demand and maintain performance under humid ambient air. In this paper, we evaluate three commercial molecular sieves (JLPM3, [...] Read more.
Direct air capture (DAC) of CO2 via temperature-swing adsorption (TSA) can support sustainable carbon dioxide removal, but only if sorbents regenerate with low energy demand and maintain performance under humid ambient air. In this paper, we evaluate three commercial molecular sieves (JLPM3, 13X, and 4A) in packed-bed tests using humid ambient air. We compared 40 g samples as received with 200 g samples conditioned for 12 days at 100 °C to emulate prolonged exposure to regeneration temperature (the cumulative effect of many heating/desorption cycles); all cycle-stabilized uptake values are reported from the conditioned materials. JLPM3 delivered the highest stabilized CO2 uptake (0.24 ± 0.01 mmol·g−1), consistent with a combined physisorption/chemisorption mechanism. Its higher total porosity (26.190%) and smaller mesopores (7.569 nm width) promoted rapid mass transfer and site accessibility, while slightly greater micropore area (710.285 m2·g−1) and volume (0.267 cm3·g−1) than 13X supported its marginally higher capacity. Evidence of partial structural degradation under mechanical and thermal stress indicates that minimizing strain during cycling will be important for scale-up and for reducing sorbent replacement. Conditioning at 100 °C activated additional chemisorption sites across all sieves but reduced physisorption capacity. Importantly, a ~100 °C desorption step fully regenerated physisorbed CO2 while purging moisture from zeolite pores, indicating that low-temperature TSA (compatible with low-grade or waste heat) can replace harsher 300 °C regeneration and lower energy demand. CO2–H2O competition experiments confirmed substantial site occupancy by water vapor, which limits capture under humid conditions and motivates water management strategies. Overall, maximizing DAC performance requires tailoring pore structure and operating conditions while preserving sorbent integrity; JLPM3 emerges as a promising candidate for more energy- and resource-efficient DAC. Full article
Show Figures

Figure 1

20 pages, 1835 KB  
Article
Glyphosate Bioremediation Facilitated by Serratia ureilytica-Derived Biosurfactants Using Amazonian Biodiversity: Genomic Insights and Adsorption Dynamics
by Kleyson Willames da Silva, Emilly Cruz da Silva, Giulian César da Silva Sá, Joane de Almeida Alves, Darlisson de Alexandria Santos, Alexandre Orsato, Karoline Leite, Dante Santos da Silva, Adriano Richard Santos da Silva, Zanderluce Gomes Luis, Flavia Karoliny Araujo dos Santos, José Augusto Pires Bitencourt, Cristina Maria Quintella, Pamela Dias Rodrigues, Doumit Camilios-Neto, Paul R. Race, James E. M. Stach and Sidnei Cerqueira dos Santos
J. Xenobiot. 2026, 16(2), 62; https://doi.org/10.3390/jox16020062 - 4 Apr 2026
Viewed by 474
Abstract
The pervasive environmental dispersal of glyphosate has established this herbicide as a dominant anthropogenic xenobiotic, necessitating advanced bioremediation strategies to restore soil integrity. This study assessed the bioremediation efficacy of biosurfactants produced by Serratia ureilytica BM01-BS in glyphosate-contaminated soils, establishing their adsorption dynamics [...] Read more.
The pervasive environmental dispersal of glyphosate has established this herbicide as a dominant anthropogenic xenobiotic, necessitating advanced bioremediation strategies to restore soil integrity. This study assessed the bioremediation efficacy of biosurfactants produced by Serratia ureilytica BM01-BS in glyphosate-contaminated soils, establishing their adsorption dynamics and ecotoxicological safety. The strain S. ureilytica BM01-BS gave a biosurfactant yield of 3.7 g·L−1 with promising surface properties, utilizing babassu (Attalea speciosa) waste as the sole nutrient source. Whole-Genome Sequencing and Biosynthetic Gene Cluster mining identified a Nonribosomal Peptide Synthetase cluster homologous to rhizomide-type lipopeptides responsible for biosurfactant production. Bioremediation assays in glyphosate-contaminated soils demonstrated a removal efficiency exceeding 95% in approximately 60 min, outperforming the synthetic surfactant SDS (20–30% efficiency). Kinetic and isothermal modeling suggest that the bioremediation process is governed by chemisorption, adhering to a pseudo-second-order model (R2 = 0.998) with a maximum adsorption capacity of 845 µg·kg−1. Fourier-Transform Infrared spectroscopy confirmed that the biosurfactant effectively removes glyphosate and restores the soil’s mineral integrity, as evidenced by the complete disappearance of glyphosate-associated phosphonic and carboxylic bands. Ecotoxicological assessments verified the environmental safety of the bioremediation process. These findings position the BM01-BS biosurfactant as a sustainable, biodiversity-based adjuvant for enhancing ecological resilience in glyphosate-impacted landscapes. Full article
(This article belongs to the Section Enzyme Systems, Microorganisms and Biotechnological Products)
Show Figures

Graphical abstract

15 pages, 4227 KB  
Article
Amidoxime-Functionalized Wood-Based Adsorbent for Uranium Extraction
by Xiongxiang Wu, Yu Wang, Haoyang Xu, Chunde Jin and Zhe Wang
Processes 2026, 14(7), 1161; https://doi.org/10.3390/pr14071161 - 3 Apr 2026
Viewed by 305
Abstract
Uranium is a critical raw material for the nuclear industry. Given the vast uranium reserves in seawater, the development of efficient adsorbents is central to extraction technologies. Polyamidoxime (PAO)-based adsorbents are widely utilized due to their high affinity for uranium; however, traditional PAO [...] Read more.
Uranium is a critical raw material for the nuclear industry. Given the vast uranium reserves in seawater, the development of efficient adsorbents is central to extraction technologies. Polyamidoxime (PAO)-based adsorbents are widely utilized due to their high affinity for uranium; however, traditional PAO materials often suffer from low mechanical strength and poor recyclability. To address these limitations, this study utilized natural balsa wood as a substrate. A three-dimensional porous cellulose skeleton (DES-W) featuring high porosity, hydrophilicity, and retained mechanical strength was constructed by partially removing lignin using a deep eutectic solvent (DES). Subsequently, polyamidoxime was loaded onto the inner walls of the DES-W via vacuum impregnation, resulting in a polyamidoxime-functionalized wood-based adsorbent (PAO-WA). The results indicated that PAO-WA achieved an equilibrium adsorption capacity of 45.31 mg/g at pH 6.0 with an initial uranium concentration of 50 mg/L, representing a twofold increase compared to the unmodified DES-W. The adsorption kinetics and isotherms followed the pseudo-second-order and Langmuir models, respectively, suggesting a mechanism dominated by monolayer chemisorption. Mechanism analysis confirmed that uranyl ions were primarily captured via coordination with nitrogen and oxygen atoms in the amidoxime groups, with residual carboxyl groups in the wood contributing to the adsorption process. This work offers a novel strategy for developing efficient, environmentally friendly, and mechanically robust adsorbents for uranium extraction from seawater. Full article
(This article belongs to the Section Chemical Processes and Systems)
Show Figures

Figure 1

28 pages, 6188 KB  
Article
Eggshell-Derived CaO-CuFe2O4 Nanocomposite for Sustainable and Highly Efficient Malachite Green Dye Removal
by Rocío Magdalena Sánchez-Albores, Clara López-Aguilar, Odín Reyes-Vallejo, Francisco Javier Cano, Johana De la Cruz-Ascencio, J. Escorcia-García, A. Cruz-Salomón and A. Ashok
Colorants 2026, 5(2), 11; https://doi.org/10.3390/colorants5020011 - 3 Apr 2026
Viewed by 471
Abstract
Water contamination by synthetic dyes such as malachite green (MG) remains a significant environmental and public health challenge due to their high toxicity, chemical stability, and resistance to biodegradation. In this study, a CaO-CuFe2O4 composite was synthesized through a sustainable [...] Read more.
Water contamination by synthetic dyes such as malachite green (MG) remains a significant environmental and public health challenge due to their high toxicity, chemical stability, and resistance to biodegradation. In this study, a CaO-CuFe2O4 composite was synthesized through a sustainable route using eggshells and orange peel as agro-industrial waste precursors. Comprehensive structural, spectroscopic and microscopic analyses confirmed the coexistence of a predominant CaO-based phase with spinel CuFe2O4, together with nanometric features, satisfactory elemental dispersion and practical magnetic recoverability. Under the experimental conditions employed, the composite exhibited high adsorption performance towards MG, reaching an equilibrium capacity of 2288.4 mg g−1 and 99.98% decolorization within 60 min. The kinetics were better described by the pseudo-second-order model, while the equilibrium behavior was more satisfactorily fitted by the Langmuir isotherm than by the Freundlich model. Thermodynamic analysis indicated that the adsorption process was favorable over the temperature range studied and became more pronounced at higher temperature. The results suggest that the adsorption behavior arises from the combined influence of surface chemistry, calcium-derived basic sites, ferrite-associated metal centers and interfacial accessibility, rather than from surface area alone. In addition, the material could be readily separated from aqueous solution using an external magnetic field, highlighting its practical post-treatment recoverability. Overall, this work demonstrates a viable waste valorization strategy for the development of a magnetically recoverable CaO-CuFe2O4 adsorbent for cationic dye removal. Beyond the specific case of MG, the study underscores the potential of agro-waste-derived hybrid oxides as application-relevant materials for water remediation. Full article
(This article belongs to the Special Issue Structural Modification of Colorants to Safeguard the Environment)
Show Figures

Graphical abstract

12 pages, 1254 KB  
Article
Investigation on the Mechanism of Enhanced Formaldehyde Gas-Sensing Performance of UiO-66 by Amino Modification
by Zijian Wu, Ying Chen, Ming Li, Pengcheng Xu and Xinxin Li
Chemosensors 2026, 14(4), 89; https://doi.org/10.3390/chemosensors14040089 - 3 Apr 2026
Viewed by 337
Abstract
Detection of formaldehyde is of great significance for environmental monitoring and public health. Although amino-modified MOF nanomaterials have been widely adopted to improve the gas-sensing properties for hazardous gases, the fundamental enhancement mechanism is still insufficiently clarified, especially for formaldehyde-sensing material. In this [...] Read more.
Detection of formaldehyde is of great significance for environmental monitoring and public health. Although amino-modified MOF nanomaterials have been widely adopted to improve the gas-sensing properties for hazardous gases, the fundamental enhancement mechanism is still insufficiently clarified, especially for formaldehyde-sensing material. In this work, the adsorption enthalpies of formaldehyde on UiO-66 and UiO-66-NH2 were quantitatively extracted via MEMS variable-temperature adsorption experiments, yielding values of −21.8 and −45.9 kJ/mol, respectively. The results demonstrate that amino-modified UiO-66-NH2 enables reversible adsorption between physisorption and chemisorption, which is more favorable for gas-sensing applications. Furthermore, a formaldehyde sensor was fabricated based on a MEMS resonant microcantilever. Gas-sensing performance tests indicate that the UiO-66-NH2-based sensor displays a remarkable response to 0.5–10 ppm formaldehyde with a detection limit of 17 ppb and high selectivity. The significantly improved sensing performance experimentally validates the reasonability of the proposed mechanism. This work provides a reliable strategy for revealing the sensitivity enhancement mechanism and developing high-performance MOF-based formaldehyde sensors. Full article
Show Figures

Figure 1

Back to TopTop