Abstract
The one-pot multistep ethyltellurenylation reaction of epoxides with elemental tellurium and lithium triethylborohydride is described. The reaction mechanism was experimentally investigated. Dilithium ditelluride and triethyl borane, formed from elemental tellurium and lithium triethylborohydride, were shown to be the key species involved in the reaction mechanism. Epoxides undergo ring-opening reaction with dilithium ditelluride to afford β-hydroxy ditellurides, which are sequentially converted into the corresponding β-hydroxy-alkyl ethyl tellurides by transmetalation with triethyl borane, reasonably proceeding through the SH2 mechanism.
Keywords:
tellurium; tellurides; ditellurides; superhydride; boranes; ring-opening-reactions; epoxides; transmetalation; radicals 1. Introduction
Organoselenium [1,2] and organotellurium [3] compounds continue to find wide application in chemical sciences and biology [4,5,6,7,8]. Tellurium-containing derivatives play an important role in organic synthesis [3,9], materials science [10,11], and medicinal chemistry [8,12,13,14,15]. The incorporation of tellurium atoms into organic structures is often a rewarding strategy in developing new enzyme modulators [14,15,16,17], catalysts [18], smart materials [10,11], and glutathione-peroxidase-like antioxidants [19,20,21,22,23,24,25]. Additionally, often undergoing regio- and stereo-selective transformations, organotellurium compounds can be employed in synthetically useful functional group conversion reactions [26,27] and carbon-carbon bond-forming processes [28,29,30,31]. Owing to these features, tellurenylation reactions provide an attractive functional handle for further elaboration. Selected examples of biological and synthetic applications of organotellurium compounds are presented in the Figure 1.
Figure 1.
Biological and synthetic applications of organotellurium compounds (selected examples). Part a. A: a tellurium-containing biopolimeric nanogel for anticancer therapy [11]; B: tellurium-containing carbonic anhydrases inhibitors with anticancer activity [15]; LQ7: a ditelluride active as antiparasitic agent [29]; ent-nakamurol A: an organotelluride is involved in the key step of its total synthesis [35]. Part b. Functionalization of organotellurium compounds [29,31].
The development of new, reliable, and general methodologies towards these chalcogen-containing organic molecules is thus highly sought after in organic synthesis. Particularly, the possibility to access densely functionalised and sp3-rich compounds, characterised by high molecular complexity, enables the possibility to define and explore new chemical space and plays a key role in terms of successfully developing new catalysts and drug candidates [32,33]. Furthermore, sp3-rich organochalcogens bearing O- and N-containing functionalities have been demonstrated to possess improved catalytic and pharmacological properties [15,16,17,20,23,34]. However, although a number of methods for the synthesis of selenides and tellurides have been reported, a number of limitations remain, including functional-group compatibility and the harsh reaction conditions. Therefore, the development of mild procedures for the synthesis of densely functionalised molecules still remains challenging.
Three-membered heterocycles such as epoxides and aziridines, often undergoing regioselective nucleophilic ring-opening reactions (NRORs), represent convenient starting materials for the synthesis of functionalised chalcogen-containing systems [36]. A number of ring-opening-based procedures for the synthesis of hydroxy- and amino-substituted selenides and tellurides have been developed over the last decade [37,38,39,40,41,42]. Such functionalised chalcogenides have also been employed as intermediates for the synthesis of valuable compounds [35,43,44] and as organocatalysts for the asymmetric addition of diethylzinc to aldehydes [45].
In this communication, as a part of our growing interest in the study of the chemistry of organotellurium compounds, we report a study on the mechanism of an unexpected reaction of epoxides with elemental tellurium and lithium triethylborohydride, leading to the formation of β-hydroxy-alkyl ethyl tellurides.
2. Materials and Methods
2.1. Experimental Section
All reactions were carried out in an oven-dried glassware. Solvents were dried using a solvent purification system (Pure-Solv™, Darmstadt, Germany). All commercial materials were purchased from various commercial sources and used as received, without further purification. Flash column chromatography purifications were performed with Silica gel 60 (230–400 mesh). Thin layer chromatography was performed with TLC plates Silica gel 60 F254, which was visualised under UV light, or by staining with an ethanolic acid solution of p-anisaldehyde followed by heating. High resolution mass spectra (HRMS) were recorded by electrospray ionization (ESI). In the control experiment with degassed solvent, tetrahydrofuran (THF) was degassed by freeze–pump–thaw cycles (×3) on the high vacuum line.
The 1H and 13C-NMR spectra were recorded in CDCl3 with Mercury 400, Bruker 400 Ultrashield (Bruker, Milan, Italy), and Varian Gemini 200 spectrometers operating at 400 MHz for 1H and 100 MHz for 13C. NMR signals were referenced to nondeuterated residual solvent signals: 7.26 ppm for 1H and 77.0 ppm for 13C. The 125Te-NMR spectra were recorded in CDCl3 at 126 MHz with a Bruker Ultrashield 400 Plus instrument (Bruker, Milan, Italy). (PhTe)2 was used as an external reference (δ = 420 ppm). Chemical shifts (δ) are given in parts per million (ppm), and coupling constants (J) are given in Hertz (Hz), rounded to the nearest 0.1 Hz. The 1H-NMR data are reported as follows: chemical shift, integration, multiplicity (s = singlet, d = doublet, t = triplet, q = quartet, m = multiplet, dd = doublet of doublet, bs = broad singlet, ap = apparent), coupling constant (J), and assignment. Mass spectra (MS) were determined by ESI (Thermo Fisher Scientific, Milan, Italy).
Ditelluride 3a [46] and diselenide 6a [47] were prepared from 2-((benzyloxy)methyl)oxirane according to procedures reported in the literature.
2.2. General Procedure for the Synthesis of β-Hydroxy-alkyl Ethyl Tellurides 2
Li2Te2 was generated according to the literature [48,49] from 1.0 mL of a 1 M THF solution of LiEt3BH (1.0 mmol, 1.0 eq.) and elemental tellurium powder (128 mg, 1.0 mmol, 1.0 eq.), stirred at ambient temperature under inert atmosphere (N2) for 6 h. The dark red suspension of Li2Te2 in THF was treated with the epoxide (1.0 mmol, 1.0 eq.) and the reaction was stirred for 6 h at ambient temperature. Afterwards, the mixture was diluted with Et2O (10 mL), filtered through a short pad of celite, and washed with saturated aq. NH4Cl and then with H2O (2 × 5 mL). The organic phase was dried over Na2SO4, filtered and evaporated under reduced pressure. The crude residue was then purified by flash chromatography (Et2O/petroleum ether) to yield β-hydroxy-alkyl ethyl tellurides 2.
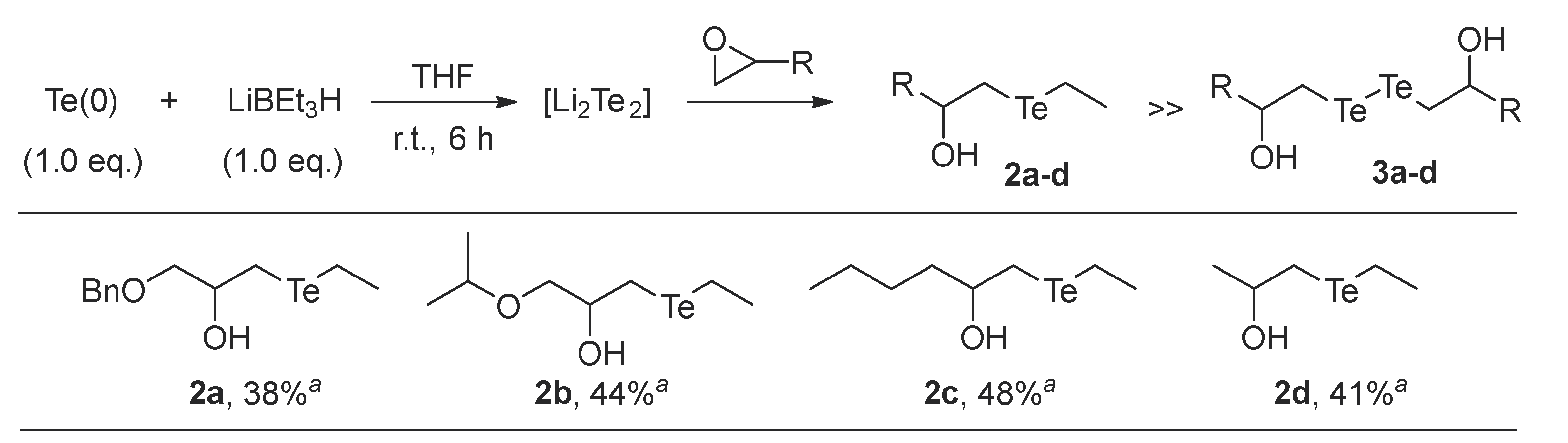
2.2.1. Synthesis of 1-(Benzyloxy)-3-(ethyltellanyl)propan-2-ol 2a
Following the general procedure, 2-((benzyloxy)methyl)oxirane (152 µL, 1.0 mmol) and elemental tellurium (128 mg, 1.0 mmol) gave, after purification by flash chromatography (Et2O/petroleum ether 1:1), 2a as a colourless oil (61 mg, 38%) [49]. 1H-NMR (200 MHz, CDCl3): δ (ppm) 1.60 (3H, t, J = 7.6 Hz, CH3), 2.63 (2H, ap q, J = 7.6 Hz, CH3CH2Te), 2.63 (1H, bs, OH), 2.76–2.89 (2H, m, CH2Te), 3.41–3.48 (1H, m, CHaHbO), 3.59 (1H, dd, J = 4.2, 9.6 Hz, CHaHbO), 3.45–3.97 (1H, m, CHOH), 4.55 (2H, ap s, CH2Ph), 7.26–7.40 (5H, m). 13C-NMR (100 MHz, CDCl3): δ (ppm) −4.5(CH3CH2Te), 7.7 (CH2Te), 17.8, 70.6, 73.4, 74.3, 127.8, 127.8, 128.4, 137.9. 125Te-NMR (126 MHz, CDCl3): δ (ppm) 213.6.
2.2.2. Synthesis of 1-(Ethyltellanyl)-3-isopropoxypropan-2-olol 2b
Following the general procedure, 2-(isopropoxymethyl)oxirane (32 µL, 0.25 mmol), LiEt3BH (0.25 mL, 0.25 mmol) and elemental tellurium (32 mg, 0.25 mmol) gave, after purification by flash chromatography (Et2O/petroleum ether 1:1), 2b as a colourless oil (30 mg, 44%). 1H-NMR (200 MHz, CDCl3): δ (ppm) 1.18 (6H, ap d, J = 6.5 Hz), 1.62 (3H, t, J = 7.6 Hz), 2.64 (2H, ap q, J = 7.6 Hz), 2.75 (1H, ap s, OH), 2.74–2.92 (CH2Te), 3.38 (1H, dd, J = 6.7, 9.3 Hz, CHaHbO), 3.54 (1H, dd, J = 3.6, 9.3 Hz, CHaHbO), 3.59–3.67 (1H, m, CH(CH3)2), 3.83–3.92 (1H, m, CHOH). 13C-NMR (50 MHz, CDCl3): δ (ppm) −4.6 (CH3CH2Te), 7.6 (CH2Te), 17.5 (CH3), 21.8, 71.3, 71.6, 72.2. MS (ESI, positive) [M + H]+ 276.8.
2.2.3. Synthesis of 1-(Ethyltellanyl)hexan-2-ol 2c
Following the general procedure, 2-butyloxirane (25 mg, 0.25 mmol), LiEt3BH (0.25 mL, 0.25 mmol) and elemental tellurium (32 mg, 0.25 mmol) gave, after flash chromatography (Et2O/petroleum ether 2:1), 2d as a colourless oil (31 mg, 48%) [49]. 1H-NMR (200 MHz, CDCl3): δ (ppm): 0.86–0.97 (3H, m, CH3), 1.24–1.62 (6H, m, CH2), 1.61 (3H, t, J = 7.6 Hz), 2.16 (1H, ap s, OH), 2.64 (2H, ap q, J = 7.6 Hz), 2.71–2.94 (2H, m, CH2Te), 3.73–3.78 (1H, m, CHOH). 13C-NMR (100 MHz, CDCl3); δ (ppm): −4.7, 17.6, 14.6, 15.3, 23.3, 28.6, 38.0, 73.3. HRMS (ESI) calculated for C8H18NaOTe: 283.0318; found: 283.0331.
2.2.4. Synthesis of 1-(Ethyltellanyl)propan-2-ol 2d
Following the general procedure, 2-methyloxirane (70 µL, 1.0 mmol), LiEt3BH (1.0 mL, 1.0 mmol) and elemental tellurium (126 mg, 1.0 mmol) gave, after flash chromatography (Et2O/petroleum ether 1:1), 2d as a colourless oil (45 mg, 41%) [49]. 1H-NMR (200 MHz, CDCl3): δ (ppm) 1.30 (3H, d, J = 6.1 Hz, CH3), 1.61 (3H, t, J = 7.6 Hz, CH3CH2), 2.24 (1H, bs, OH), 2.63–2.72 (2H, m, CH3CH2), 2.73 (1H, dd, J = 12.2, 7.4 Hz, CHaHbTe), 2.87 (1H, dd, J = 4.6, 12.2 Hz, CHaHbTe), 3.78–4.02 (1H, m, CHOH). 13C-NMR (100 MHz, CDCl3): δ (ppm) −4.7 (CH3CH2Te), 16.0, 17.7, 23.7, 67.3.
Copy of 1H-NMR, 13C-NMR, and 125Te-NMR spectra can be found in Supplementary Materials.
2.2.5. Control Experiment with the Radical Inhibitor
A solution of 3,3’-ditellanediylbis(1-(benzyloxy)propan-2-ol) 3a (29 mg, 0.05 mmol) and BHT (3,5-di-tert-butyl-4-hydroxytoluene, 22 mg, 0.1 mmol) in dry THF (2 mL) was treated with triethylborane (0.1 mmol, 100 µL of a 1 M solution in THF). The reaction mixture was stirred at ambient temperature for 6 h, and afterwards, the solvent was removed under vacuum.
3. Results
During the course of our studies on the reactivity of strained heterocycles with selenium-centered nucleophiles we developed convenient routes towards generating a variety of hydroxy-, amino-, and mercapto-substituted Se-containing systems [50,51,52,53]. For example, through the tuning of the stoichiometry and the conditions of the reaction of (Me3Si)2Se [(bis(trimethylsilyl)selenide, a synthetic equivalent of hydrogen selenide] with epoxides, thiiranes, and aziridines, we were able to successfully achieve a range of functionalised selenols [50], selenides, and diselenides [47].
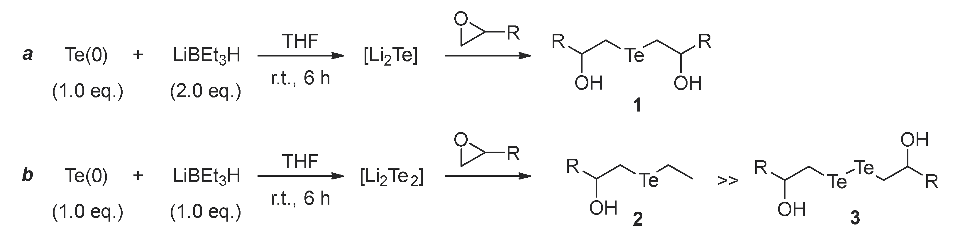
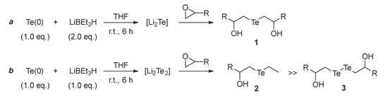
Attracted by the synthetic utility and versatility of organotellurium compounds, we recently moved to evaluate the chemistry of tellurium-centered nucleophiles with strained heterocycles [46,49]. The poor stability of (Me3Si)2Te [48,49] prompted us to employ dilithium telluride and dilithium ditelluride, generated from elemental tellurium and lithium triethylborohydride (superhydride), as tellurenylation reagents for the NRORs of epoxides and aziridines [49]. However, while the ring-opening of epoxides with Li2Te provided access to symmetrical β-hydroxy-tellurides 1 (Scheme 1, part a), the reaction with Li2Te2 gave almost exclusively β-hydroxy-alkyl ethyl tellurides 2 instead of the expected β-hydroxy-ditellurides 3, which were isolated only in trace amounts (Scheme 1, part b). Intrigued by this result, we wished to deeper investigate such a transformation in order to establish the mechanism involved in the formation of asymmetrical β-hydroxy-alkyl ethyl tellurides 2.
Scheme 1.
Reactivity of epoxides with Li2Te and Li2Te2, generated from elemental tellurium under lithium triethylborohydride conditions. (a) Synthesis of tellurides 1. (b) Formation of β-hydroxy-alkyl ethyl tellurides 2.
Notably, this ethyltellurenylation reaction proved to be general and differently substituted epoxides could be smoothly converted into the corresponding β-hydroxy-alkyl ethyl tellurides through this one-pot multistep procedure (Scheme 2).
Scheme 2.
One-pot ethyltellurenylation of epoxides. Traces of ditellurides 3a–d (3%–7%) were detected in the crude material. Isolated yields are reported.
A plausible explanation for the formation of unsymmetrical tellurides 2 involves the transmetalation of triethylborane with β-hydroxy-ditellurides 3. However, an alternative path could proceed through the ring-opening of epoxides with tris(ethyltelluro)borane 4 (Scheme 3) which, in principle, could be generated from dilithium ditelluride and triethyl borane. A series of control experiments were therefore undertaken in order to test these hypotheses.
Scheme 3.
Control experiments. a Only traces (<5%) of 7a were detected by 1H-NMR of the crude material.
We initially evaluated whether tris(ethyltelluro)borane 4 could be generated upon the treatment of elemental tellurium with lithium triethylborohydride. However, the formation of 4 was not observed under the standard reaction conditions (Scheme 3, reaction a). Traces of 4 were not detected performing the reaction in a coaxial NMR tube and monitoring its progress over the time.
On the basis of these results, we next turned our attention to evaluating whether under the studied conditions ditellurides 3 could behave as precursors of β-hydroxy-alkyl ethyl tellurides 2. We recently developed an on-water methodology to access functionalised dialkyl ditellurides from elemental tellurium, sodium hydroxymethanesulfinate, and strained heterocycles [46]. Therefore, we employed this route to prepare β-hydroxy-ditelluride 3a and then we studied its reactivity with organoboranes. As a result, 3a was thus treated with lithium triethylborohydride and, pleasingly, β-hydroxy-alkyl ethyl telluride 2a was formed in 42% yield (Scheme 3, reaction b). However, under these conditions the alkyltellurolate 5a, arising from the LiBEt3H-induced reduction of the ditelluride 3a, could be the species actually involved in the formation of 2a. Unequivocal proof for the direct involvement of ditelluride 3a and triethylborane was obtained by the reaction of these two compounds which, in the absence of hydrides, afforded 2a in 48% yield (Scheme 3, reaction c). Notably, related diselenide 6a reacted slowly with triethylborane under the same conditions and only traces (<5%) of unsymmetrical ethyl-selenide 7a were detected after 6 h (Scheme 3, reaction d).
Trialkyl boranes readily undergo radical reactions generating alkyl radicals. Such processes can be initiated by oxygen, light or radical initiators, such as AIBN (Azobisisobutyronitrile) [54,55]. Additionally, ditellurides have been demonstrated to easily react with alkyl radicals, exhibiting remarkable radical-trapping activity [56]. On the basis of these considerations and supported by a literature precedent describing the reactivity of diphenyl ditelluride with organoboranes [57], we hypothesised a radical process involving ditellurides 3 and ethyl radicals. Control experiments performed using 3,5-di-tert-butyl-4-hydroxytoluene (BHT) as a radical inhibitor further demonstrated a radical pathway. Additionally, performing reactions b and c (Scheme 3) in the dark had no significant effect on the reaction outcome, showing that light was not required for the process leading to 2a. On the other hand, when degassed tetrahydrofuran (THF) was used as the solvent, the ethyltellurenylation reaction was strongly inhibited and only traces of 2a (<10%) were isolated.
On the basis of the control experiments and previous reports, a proposed reaction mechanism is reported in Scheme 4. The first step (I) involves the reduction of elemental tellurium with lithium triethylborohydride, leading to the formation of dilithium ditelluride and triethylborane [58]. Subsequently (II), Li2Te2 reacts with two equivalents of epoxide to afford the corresponding ditelluride 3 through a regioselective nucleophilic ring-opening reaction. The following transmetalation of Et3B with 3 reasonably proceeds through the oxygen-mediated formation of ethyl radicals (III) [54,55] which, in turn, react with ditelluride 3 providing unsymmetrical β-hydroxy-alkyl ethyl telluride 2 through an SH2 process (IV) [59,60]. The tellurium-centered radical 8, formed in the SH2 reaction, undergoes typical propagation and termination processes, including the recombination with a second equivalent of 8 providing ditelluride 3 [61]. Furthermore, the reaction of 8 with oxygen or borylperoxyl radicals (V) would afford reactive tellurenyl peroxides which plausibly decompose, thus explaining the rather low yield of the transmetalation reaction and the absence of ditelluride 3, or unreacted epoxide in the crude mixture.
Scheme 4.
Proposed mechanism for the formation of unsymmetrical β-hydroxy-alkyl ethyl tellurides 2.
4. Conclusions
In conclusion, we have described a one-pot multistep reaction in which epoxides are converted into the corresponding unsymmetrical β-hydroxy-alkyl ethyl tellurides upon treatment with elemental tellurium under lithium triethylborohydride-reducing conditions. The reaction mechanism was experimentally investigated; β-hydroxy ditellurides and triethyl borane were demonstrated to be the key species involved in this one-pot ethyltellurenylation reaction. The transmetalation of triethyl borane with hydroxy-dialkyl ditellurides, reasonably occurring through an oxygen-induced SH2 mechanism, represents the key step of the process. The findings here described can be exploited for the development of novel general methodologies towards the synthesis of synthetically and biologically valuable complex sp3-rich unsymmetrical tellurides. Further studies on the application of this reaction to functionalised boranes (and boronic esters) for the preparation and the elaboration of poly-functionalised unsymmetrical tellurides are currently ongoing in our laboratories.
Supplementary Materials
The following are available online at https://www.mdpi.com/2624-8549/2/3/41/s1, Figure S1. 1H NMR spectrum of compound 2a (CDCl3, 400 MHz); Figure S2. 13C NMR spectrum of compound 2a (CDCl3, 100 MHz); Figure S3. 125Te NMR spectrum of compound 2a (CDCl3, 126 MHz); Figure S4. 1H NMR spectrum of compound 2b (CDCl3, 400 MHz); Figure S5. 13C NMR spectrum of compound 2b (CDCl3, 100 MHz); Figure S6. 1H NMR spectrum of compound 2d (CDCl3, 400 MHz); Figure S7. 13C NMR spectrum of compound 2d (CDCl3, 100 MHz); Figure S8. 125Te NMR spectrum of compound 2d (CDCl3, 126 MHz); Figure S9. 1H NMR spectrum of compound 3a (CDCl3, 400 MHz); Figure S10. 13C NMR spectrum of compound 3a (CDCl3, 100 MHz); Figure S11. 125Te NMR spectrum of compound 3a (CDCl3, 126 MHz).
Author Contributions
Conceptualization, methodology, investigation, data curation, writing—original draft preparation, writing—review and editing, D.T. and A.C.; All authors have read and agreed to the published version of the manuscript.
Funding
This research received no external funding.
Acknowledgments
We thank MIUR-Italy (“Progetto Dipartimenti di Eccellenza 2018–2022” allocated to the Department of Chemistry “Ugo Schiff”).
Conflicts of Interest
The authors declare no conflict of interest.
References and Notes
- Lenardão, E.J.; Santi, C.; Sancineto, L. New Frontiers in Organoselenium Compounds; Springer: New York, NY, USA, 2018. [Google Scholar]
- Wirth, T. Organoselenium Chemistry: Synthesis and Reactions; Wiley-VCH Verlag GmbH & Co: Weinheim, Germany, 2012. [Google Scholar]
- Petragnani, N.; Stefani, H.A. Tellurium in Organic Synthesis, 2nd ed.; Elsevier: Amsterdam, The Netherlands, 2007. [Google Scholar]
- Angeli, A.; Carta, F.; Donnini, S.; Capperucci, A.; Ferraroni, M.; Tanini, D.; Supuran, C.T. Selenolesterase enzyme activity of carbonic anhydrases. Chem. Commun. 2020, 56, 4444–4447. [Google Scholar] [CrossRef] [PubMed]
- Gandin, V.; Khalkar, P.; Braude, J.; Fernandes, A.P. Organic selenium compounds as potential chemotherapeutic agents for improved cancer treatment. Free Radic. Biol. Med. 2018, 127, 80–97. [Google Scholar] [CrossRef]
- Kumar, S.; Yan, J.; Poon, J.; Singh, V.P.; Lu, X.; Karlsson Ott, M.; Engman, L.; Kumar, S. Multifunctional Antioxidants: Regenerable Radical-Trapping and Hydroperoxide-Decomposing Ebselenols. Angew. Chem. Int. Ed. 2016, 55, 3729–3733. [Google Scholar] [CrossRef]
- Ba, L.A.; Doring, M.; Jamier, V.; Jacob, C. Tellurium: An element with great biological potency and potential. Org. Biomol. Chem. 2010, 8, 4203–4216. [Google Scholar] [CrossRef]
- For a review see: Nogueira, C.W.; Zeni, G.; Rocha, J.B.T. Organoselenium and organotellurium compounds: Toxicology and pharmacology. Chem. Rev. 2004, 104, 6255–6286. [Google Scholar] [CrossRef] [PubMed]
- Comasseto, J.V.; Gariani, R.A. Biotransformations on Organic Selenides and Tellurides: Synthetic Applications. Tetrahedron 2009, 65, 8447–8459. [Google Scholar] [CrossRef]
- Liu, J.; Ma, X.; Tong, Y.; Lang, M. Self-healing polyurethane based on ditelluride bonds. Appl. Surf. Sci. 2018, 455, 318–325. [Google Scholar] [CrossRef]
- Xia, X.; Xiang, X.; Huang, F.; Zhang, Z.; Han, L. A tellurylsulfide bond-containing redox-responsive superparamagnetic nanogel with acid-responsiveness for efficient anticancer therapy. Chem. Commun. 2017, 53, 13141–13144. [Google Scholar] [CrossRef]
- Engman, L.; Al-Maharik, N.; McNaughton, M.; Birmingham, A.; Powis, G. Thioredoxin reductase and cancer cell growth inhibition by organotellurium antioxidants. Anti-Cancer Drugs 2003, 14, 153–161. [Google Scholar] [CrossRef]
- Rooseboom, M.; Vermeulen, N.P.E.; Durgut, F.; Commandeur, J.N.M. Comparative study on the bioactivation mechanisms and cytotoxicity of Te-phenyl-L-tellurocysteine, Se-Phenyl-L-selenocysteine, and S-Phenyl-L-cysteine. Chem. Res. Toxicol. 2002, 15, 1610–1618. [Google Scholar] [CrossRef]
- Lin, T.; Ding, Z.; Li, N.; Xu, J.; Luo, G.; Liu, J.; Shen, J. 2-Tellurium-bridged β-cyclodextrin, a thioredoxin reductase inhibitor, sensitizes human breast cancer cells to TRAIL-induced apoptosis through DR5 induction and NF-κB suppression. Carcinogenesis 2010, 32, 154–167. [Google Scholar] [CrossRef] [PubMed]
- Tanini, D.; Ricci, L.; Capperucci, A.; Di Cesare Mannelli, L.; Ghelardini, C.; Peat, T.S.; Carta, F.; Angeli, A.; Supuran, C.T. Synthesis of novel tellurides bearing benzensulfonamide moiety as carbonic anhydrase inhibitors with antitumor activity. Eur. J. Med. Chem. 2019, 181, 111586. [Google Scholar] [CrossRef] [PubMed]
- Tanini, D.; Capperucci, A.; Supuran, C.T.; Angeli, A. Sulfur, selenium and tellurium containing amines act as effective carbonic anhydrase activators. Bioorg. Chem. 2019, 87, 516–522. [Google Scholar] [CrossRef]
- Angeli, A.; Tanini, D.; Capperucci, A.; Supuran, C.T. First evaluation of organotellurium derivatives as carbonic anhydrase I, II, IV, VII and IX inhibitors. Bioorg. Chem. 2018, 76, 268–272. [Google Scholar] [CrossRef]
- Rettig, I.D.; Van, J.; Brauer, J.B.; Luo, W.; McCormick, T.M. Tellurorhodamine photocatalyzed aerobic oxidation of organo-silanes and phosphines by visible-light. Dalton Trans. 2019, 48, 5665–5673. [Google Scholar] [CrossRef] [PubMed]
- Tanini, D.; Lupori, B.; Malevolti, G.; Ambrosi, M.; Lo Nostro, P.; Capperucci, A. Direct biocatalysed synthesis of first sulfur-, selenium- and tellurium- containing L-ascorbyl hybrid derivatives with radical trapping and GPx-like properties. Chem. Commun. 2019, 55, 5705–5708. [Google Scholar] [CrossRef]
- Tanini, D.; Grechi, A.; Ricci, L.; Dei, S.; Teodori, E.; Capperucci, A. Novel functionalized organotellurides with enhanced thiol peroxidase catalytic activity. New J. Chem. 2018, 42, 6077–6083. [Google Scholar] [CrossRef]
- Bortoli, M.; Torsello, M.; Bickelhaupt, F.M.; Orian, L. Role of the Chalcogen (S, Se, Te) in the Oxidation Mechanism of the Glutathione Peroxidase Active Site. ChemPhysChem 2017, 18, 2990–2998. [Google Scholar] [CrossRef]
- Singh, V.P.; Poon, J.F.; Engman, L. Catalytic Antioxidants: Regenerable Tellurium Analogues of Vitamin E. Org. Lett. 2013, 15, 6274–6277. [Google Scholar] [CrossRef]
- Braga, A.L.; Alberto, E.E.; Soares, L.C.; Rocha, J.B.T.; Sudati, J.H.; Roos, D.H. Synthesis of telluroamino acid derivatives with remarkable GPx like activity. Org. Biol. Chem. 2009, 7, 43–45. [Google Scholar] [CrossRef]
- Giles, G.I.; Fry, F.H.; Tasker, K.M.; Holme, A.L.; Peers, C.; Green, K.N.; Klotz, L.O.; Sies, H.; Jacob, C. Evaluation of sulfur, selenium and tellurium catalysts with antioxidant potential. Org. Biomol. Chem. 2003, 1, 4317–4322. [Google Scholar] [CrossRef] [PubMed]
- Tiano, L.; Fedeli, D.; Santroni, A.M.; Villarini, M.; Engman, L.; Falcioni, G. Effect of three diaryl tellurides, and an organoselenium compound in trout erythrocytes exposed to oxidative stress in vitro. Mutat. Res. 2000, 464, 269–277. [Google Scholar] [CrossRef]
- Petragnani, N.; Stefani, H.A. Advances in organic tellurium chemistry. Tetrahedron 2005, 61, 1613–1679. [Google Scholar] [CrossRef]
- Comasseto, J.V.; Barrientos-Astigarraga, R.E. Add a Little Tellurium to Your Synthetic Plans! Aldrichim. Acta 2000, 33, 66–78. [Google Scholar]
- Stefani, H.A.; Pena, J.M.; Manarin, F.; Ando, R.A.; Leal, M.; Petragnani, N. Negishi cross-coupling of organotellurium compounds: Synthesis of biaryls, aryl-, and diaryl acetylenes. Tetrahedron Lett. 2011, 52, 4398–4401. [Google Scholar] [CrossRef]
- Berlin, S.; Ericsson, C.; Engman, L. Radical Carbonylation/Reductive Cyclization for the Construction of Tetrahydrofuran-3-ones and Pyrrolidin-3-ones. J. Org. Chem. 2003, 68, 8386–8396. [Google Scholar] [CrossRef] [PubMed]
- Tucci, F.C.; Chieffi, A.; Comasseto, J.V.; Marino, J.P. Tellurium in Organic Synthesis. Preparation of Z-Vinylic Cuprates from Z-Vinylic Tellurides and Their Reaction with Enones and Epoxides. J. Org. Chem. 1996, 61, 4975–4989. [Google Scholar] [CrossRef]
- Zeni, G.; Comasseto, J.V. Coupling of Z-vinylic tellurides with alkynes catalysed by PdCl2CuI: Synthesis of Z-enynes and Z-enediynes. Tetrahedron Lett. 1999, 40, 4619–4622. [Google Scholar] [CrossRef]
- Hirata, K.; Kotoku, M.; Seki, N.; Maeba, T.; Maeda, K.; Hirashima, S.; Sakai, T.; Obika, S.; Hori, A.; Hase, Y.; et al. SAR Exploration Guided by LE and Fsp3: Discovery of a Selective and Orally Efficacious RORϒ Inhibitor. ACS Med. Chem. Lett. 2016, 7, 23–27. [Google Scholar] [CrossRef]
- Lovering, F.; Bikker, J.; Humblet, C. Escape from Flatland: Increasing Saturation as an Approach to Improving Clinical Success. J. Med. Chem. 2009, 52, 6752–6756. [Google Scholar] [CrossRef]
- Bandeira, P.T.; Souza, J.P.A.; Scariot, D.B.; Garcia, F.P.; Nakamura, C.V.; de Oliveira, A.R.M.; Piovan, L. Diacetal Ditellurides as Highly Active and Selective Antiparasitic Agents toward Leishmania amazonensis. ACS Med. Chem. Lett. 2019, 10, 806–810. [Google Scholar] [CrossRef] [PubMed]
- Díaz, S.; Cuesta, J.; Gonzàlez, A.; Bonjoch, J. Synthesis of (-)-Nakamurol A and Assignment of Absolute Configuration of Diterpenoid (+)-Nakamurol A. J. Org. Chem. 2003, 68, 7400–7406. [Google Scholar] [CrossRef]
- Tanini, D.; Capperucci, A. Ring opening reactions of heterocycles with selenium and tellurium nucleophiles. New J. Chem. 2019, 43, 11451–11468. [Google Scholar] [CrossRef]
- Silva, P.C.; Borges, E.L.; Lima, D.B.; Jacob, R.G.; Lenardão, E.J.; Perin, G.; Silva, M.S. A simple and non-conventional method for the synthesis of selected β-arylalkylchalcogeno substituted alcohols, amines and carboxylic acids. Arkivoc 2016, 5, 376–389. [Google Scholar] [CrossRef]
- Ganesh, V.; Chandrasekaran, S. One-Pot Synthesis of β-Amino/β-Hydroxy Selenides and Sulfides from Aziridines and Epoxides. Synthesis 2009, 2009, 3267–3278. [Google Scholar] [CrossRef]
- Braga, A.L.; Schwab, R.S.; Alberto, E.E.; Salman, S.M.; Vargas, J.; Azaredo, J.B. Ring opening of unprotected aziridines by zinc selenolates in a biphasic system. Tetrahedron Lett. 2009, 50, 2309–2311. [Google Scholar] [CrossRef]
- Santi, C.; Santoro, S.; Battistelli, B.; Testaferri, L.; Tiecco, M. Preparation of the First Bench-Stable Phenyl Selenolate: An Interesting “On Water” Nucleophilic Reagent. Eur. J. Org. Chem. 2008, 5387–5390. [Google Scholar] [CrossRef]
- Vargas, F.; Comasseto, J.V. Practical synthesis of chiral β-telluro amines by ring-opening reaction of aziridines. J. Organomet. Chem. 2009, 694, 122–126. [Google Scholar] [CrossRef]
- Leng, T.; Wu, G.; Zhou, Y.-B.; Gao, W.; Ding, J.; Huang, X.; Liu, M.; Wu, H. Silver-Catalyzed One-Pot Three-Component Selective Synthesis of β-Hydroxy Selenides. Adv. Synth. Catal. 2018, 360, 4336–4340. [Google Scholar] [CrossRef]
- Alvano Pérez-Bautista, J.; Sosa-Rivadeneyra, M.; Quintero, L.; Hüpfl, H.; Tejeda-Dominguez F., A.; Sartillo-Piscil, F. Highly stereoselective aziridine ring-opening with phenylselenide anion and selective intramolecular aldol closure for the enantiopure synthesis of γ-aminocyclopentene derivatives. Tetrahedron Lett. 2009, 50, 5572–5574. [Google Scholar] [CrossRef]
- Liu, L.; Sun, Y.; Wang, J.; Ou, W.; Wang, X.; Huang, S. A New Formal Synthetic Route to Entecavir. Synlett 2019, 30, 748–752. [Google Scholar]
- Braga, A.L.; Paixão, M.W.; Lüdtke, D.S.; Silveira, C.C.; Rodrigues, O.E.D. Synthesis of new chiral aliphatic amino diselenides and their application as catalysts for the enantioselective addition of diethylzinc to aldehydes. Org. Lett. 2003, 5, 2635–2638. [Google Scholar] [CrossRef]
- Tanini, D.; Ricci, L.; Capperucci, A. Rongalite-Promoted on Water Synthesis of Functionalised Tellurides and Ditellurides. Adv. Synth. Catal. 2020, 362, 1323–1332. [Google Scholar] [CrossRef]
- Tanini, D.; Capperucci, A.; Degl’Innocenti, A. Bis-(trimethylsilyl)selenide in the Selective Synthesis of β-Hydroxy, β-Mercapto, and β-Amino Diorganyl Diselenides and Selenides Through Ring Opening of Strained Heterocycles. Eur. J. Org. Chem. 2015, 357–369. [Google Scholar] [CrossRef]
- Detty, M.R.; Seidler, M.D. Bis (trialkylsilyl) chalcogenides. 1. Preparation and reduction of group VIA oxides. J. Org. Chem. 1982, 47, 1354–1356. [Google Scholar] [CrossRef]
- Tanini, D.; Grechi, A.; Dei, S.; Teodori, E.; Capperucci, A. An easy one-step procedure for the synthesis of novel β-functionalised tellurides. Tetrahedron 2017, 73, 5646–5653. [Google Scholar] [CrossRef]
- Tanini, D.; Tiberi, C.; Gellini, C.; Salvi, P.R.; Capperucci, A. A Straightforward access to stable β-functionalized alkyl selenols. Adv. Synth. Catal. 2018, 360, 3367–3375. [Google Scholar] [CrossRef]
- Tanini, D.; Borgogni, C.; Capperucci, A. Mild and selective silicon-mediated access to enantioenriched 1,2-mercaptoamines and β-amino arylchalcogenides. New J. Chem. 2019, 43, 6388–6393. [Google Scholar] [CrossRef]
- Tanini, D.; Scarpelli, S.; Ermini, E.; Capperucci, A. Seleno-Michael reaction of stable functionalised alkyl selenols: A versatile tool for the synthesis of acyclic and cyclic unsymmetrical alkyl and vinyl selenides. Adv. Synth. Catal. 2019, 361, 2337–2346. [Google Scholar] [CrossRef]
- Tanini, D.; D’Esopo, V.; Tatini, D.; Ambrosi, M.; Lo Nostro, P.; Capperucci, A. Selenated and Sulfurated Analogues of triacyl glycerols: Selective synthesis and structural characterization. Chem. Eur. J. 2020, 26, 2719–2725. [Google Scholar] [CrossRef]
- Ollivier, C.; Renaud, P. Organoboranes as a Source of Radicals. Chem. Rev. 2001, 101, 3415–3434. [Google Scholar] [CrossRef] [PubMed]
- Ryohei Uematsu, R.; Saka, C.; Sumiya, Y.; Ichino, T.; Taketsugu, T.; Maeda, S. An autocatalytic cycle in autoxidation of triethylborane. Chem. Commun. 2017, 53, 7302–7305. [Google Scholar] [CrossRef] [PubMed]
- Russell, G.A.; Tashtoush, H. Free-radical chain-substitution reactions of alkylmercury halides. J. Am. Chem. Soc. 1983, 105, 1398–1399. [Google Scholar] [CrossRef]
- Abe, T.; Aso, Y.; Otsuro, T.; Ogura, F. Oxygen-Induced Transmetalation of Organoboranes with Diphenyl Ditelluride. Chem. Lett. 1990, 19, 1671–1674. [Google Scholar] [CrossRef]
- Gladysz, J.A.; Hornby, J.L.; Garbe, J.E. A Convenient One-Flask Synthesis of Dialkyl Selenides and Diselenides via Lithium Triethylborohydride Reduction of Sex. J. Org. Chem. 1978, 43, 1204–1208. [Google Scholar] [CrossRef]
- Krenske, E.H.; Pryor, W.; Houk, K.N. Mechanism of SH2 Reactions of Disulfides: Frontside vs Backside, Stepwise vs Concerted. J. Org. Chem. 2009, 74, 5356–5360. [Google Scholar] [CrossRef]
- Wu, Y.-W.; Huang, S.-H.; Tseng, T.-F.; Yang, J.-F. The Mechanism Study of Free Radical SH2’ Reactions by Leaving Group Effect and Secondary α-Deuterium Kinetic Isotope Effect. J. Chin. Chem. Soc. 2004, 51, 1005–1011. [Google Scholar] [CrossRef]
- If regenerated, ditellurides 3 reasonably undergoes transmetalation with ethyl radicals affording β-hydroxy-alkyl-ethyl-tellurides 2 and radicals 8, following the proposed mechanism reported in the Scheme 3.
© 2020 by the authors. Licensee MDPI, Basel, Switzerland. This article is an open access article distributed under the terms and conditions of the Creative Commons Attribution (CC BY) license (http://creativecommons.org/licenses/by/4.0/).




