Abstract
We analyze the (dynamical) classic limit of a special semiclassical system. We describe the interaction of a quantum system with a classical one. This limit has been well studied before as a function of a constant of motion linked to the Heisenberg principle. In this paper, we investigate the existence of the mentioned limit, but with reference to the total energy of the system. Additionally, we find an attractive result regarding the border of the transition.
1. Introduction
The quantum–classical transition (including quantum chaos) is a frontier topic, a subject of transcendental physics [1,2,3,4,5,6,7,8]. One finds, related to this limit, so-called mesoscopic physics, a sub-discipline of condensed matter that deals with materials of intermediate size. These materials range in size from the nanoscale (atoms) to materials of micrometres in size. For example, a macroscopic electronic device, when reduced to mesoscopic size, begins to reveal quantum mechanical properties. Devices used in nanotechnology are examples of mesoscopic systems [9,10,11,12,13,14]. On the other hand, the use of semiclassical systems to describe problems in physics has a long history [15,16,17,18,19,20,21,22,23,24,25,26,27]. A particularly important case to be highlighted is that in which quantum features in one of the two components of a system are negligible in comparison to those in the other. Regarding this scenario as semiclassical simplifies the ensuing description and provides deep insight into the combined system dynamics [28,29,30,31,32]. This methodology is widely used for research into the interaction of matter with a field. In previous studies, we looked at these matters through a known semiclassical model [33,34]. We have studied the associated classical limit (CL) as a function of a constant of motion, which in the mentioned system represents Heisenberg’s principle. We have found that the CL indeed exists and that the quantum–classical path consists of three zones [34,35,36,37]. In this paper, we analyze the CL as a function of the energy of the system and compare our results with those of previous studies [34,35,36,37]. Additionally, we pay special attention to the beginning of the convergence towards the classic result.
2. The Model
We analyze the semiclassical Hamiltonian [33,34] representing the interaction of a quantum oscillator with a dynamical macroscopic system
where the interaction, , introduces a quartic term. Here, and are quantum operators of the coordinate and momentum, respectively, while A and are classical variables. On the other hand, and are quantum and classical masses, respectively, is a quantum frequency, and e is a coupling constant.
The classical variables obey the Hamilton equations. The generator of temporal evolution is the mean value of the total Hamiltonian. Additionally, an ad hoc term can be added that produces dissipation, without violating any quantum property. The dynamical equations for the quantum operators are the canonical ones [38]. This means that, for any quantum operator, , one has, according to the Heisenberg picture,
where ℏ is the reduced Planck constant.
The equation yielding the concomitant evolution for their mean value, , is
where the average is taken with respect to an appropriate quantum density operator, . On the other hand, can always be cast as
where one can have . We are interested in finite q-values. Equation (4) implicitly defines a matrix G with coefficients .
For classical variables, the equations are
where for the system becomes dissipative [38,39]. In this study, we consider the conservative case, .
The set of Equation (2) together with Equation (5) constitutes an autonomous set of non-linear coupled first-order ordinary differential equations (ODE), if q is finite. They allow for a dynamical description in which no quantum rules are violated, e.g, the commutation relations are trivially conserved for all times. This is so because the quantum evolution is canonical for an effective time-dependent Hamiltonian (A and play the role of time-dependent parameters for the quantum system) and the initial conditions are determined with a proper quantum density operator, . These properties are verified for both conservative and dissipative dynamics.
Equations of Motion and Classical Limit
We look now for the equations of motion of the quantum system, taking into account Equation (3). We choose the constraint set because it is the smallest one that takes into account the uncertainty principle (see Equation (10) below). We obtain:
The equations of motion of the concomitant classical variables, derived through Equation (5), are
The system of Equations (6) and (7) is autonomous and also nonlinear due to the quantum–classical interaction.
So as to investigate the classical limit, we also consider the fully classical analogue of the above Hamiltonian, i.e,
which leads, via Hamilton’s equations, to
which is also a non-linear autonomous system where .
We now focus upon the quantity
a relevant motion-invariant for our system including Equations (6) and (7) (see [37]). I is related to the uncertainty principle and describes deviation with respect to “classicity”, a condition characterized by the trivial invariant, .
So as to demonstrate the inequality (10), we consider the uncertainty principle cast in the fashion
where and are the quantum correlations. The Lagrange extremalization of I with the restriction , with K a real number, leads to . Using Equation (11) then leads to
We remark that is a motion-constant for the evolution governed by the Hamiltonian (1).
Equation (6) does not explicitly depend upon ℏ, while the mean values depend on it via the initial conditions through I. The inequality (10) and its classical value are crucial in our study of the classical limit . Consider next the relative energy, , a dimensionless parameter introduced in Ref. [34],
where is the total energy. is also a motion invariant that verifies (due to the uncertainty principle). is an intrinsic quantum relative energy that expresses the relationship between the total energy and the quantity , which has dimension of energy and is related to Heisenberg’s uncertainty principle. For the classical system, . The classical limit can be expressed in terms of in the fashion
In this paper, we show that the classical limit can be reached by also taking (and keeping I fixed), verifying Equation (14).
Physically, as grows, quantum effects diminish. If , quantum effects tend to vanish. This is our interpretation of this limit, since there is no convergence to the classical system for a determined energy.
For us, “convergence to the classical system” means convergence to the solutions of the classical system (9); on the other hand, with “convergence to classicity”, we speak of the appearance of a series of figures with similar classical characteristics to each other (in this case quasi or totally chaotic Poincaré section), since we do not have the corresponding Poincaré section for in this instance.
The relevant analysis is performed by plotting the quantities of interest as a function of , which varies over the interval .
3. Results
All our results are shown in Figure 1, Figure 2, Figure 3, Figure 4, Figure 5, Figure 6, Figure 7, Figure 8, Figure 9 and Figure 10. The systems of Equations (6) and (7) for the semiquantum system and of Equation (9) for the fully classical analogue contain five equations each. Additionally, two motion invariants are available, namely the total energy, E, and the invariant, I, defined in Equation (10). Taking these two facts into account, it follows that there are three independent variables. Therefore, Poincaré sections can be calculated. In our case, we have obtained “cuts” with the plane . We depict the Poincaré sections corresponding to versus , from which the Heisenberg principle can be visualized. We consider to ascertain global aspects of the classical limit. Hence, the use of Poincaré sections. However, it is also useful to look at the time evolution of some of the mean values. In doing this, the concomitant transitions may not all take place at exactly the same value of . We will depict plots corresponding to the temporal evolution of .
In the numerical analysis performed, we use a wide range of values for the parameters and initial conditions. However, in the results shown here, we take . Furthermore, we set , (for the quantum and for the classical instances), while , takes values in the intervals , (verifying ), respectively. All graphs correspond to numerical simulations made in Fortran and Python.
We increase as defined in Equation (13) in two ways. First, we keep fixed the value of E and we decrease I. We show the figures corresponding to , , and (Figure 1, Figure 2 and Figure 3). We can thus compare the present results with those of Refs. [34,35,36], where similar calculations were made for . Second, we fixed the value of I and increased E. We consider several values of the invariant I. In this paper, we present the graphs corresponding to and (Figure 6 and Figure 7, respectively).
Figure 1.
Poincaré sections of versus for different values of the relative energy , where the value of the invariant , keeping the energy fixed at ; see text for details. Three zones can be observed which can be categorized as follows: (1) a quasi-quantum region when (a); (2) a semiquantal transitional region (b,c) up to (d), from where convergence to the classical system solutions starts; or (3) a fully classical zone (e–g). Notice the convergence to the Poincaré section of (h), corresponding to the classic case, (see Equation (9)).
Figure 1.
Poincaré sections of versus for different values of the relative energy , where the value of the invariant , keeping the energy fixed at ; see text for details. Three zones can be observed which can be categorized as follows: (1) a quasi-quantum region when (a); (2) a semiquantal transitional region (b,c) up to (d), from where convergence to the classical system solutions starts; or (3) a fully classical zone (e–g). Notice the convergence to the Poincaré section of (h), corresponding to the classic case, (see Equation (9)).

Figure 2.
Poincaré sections of versus for different values of the relative energy , where the value of the invariant , keeping the energy fixed at . The same features are seen as in Figure 1. Note the convergence to the (h), corresponding to the classic system, (see Equation (9)).

Figure 3.
Poincaré sections of versus for different values of the relative energy , where the value of the invariant , keeping the energy fixed at . The same features are seen as in Figure 1 and Figure 2. Note the convergence to the (h), corresponding to the classic system, (see Equation (9)).

In the first case, the presence of chaos can be detected as increases (decreasing I), for the three values of the considered energies. It is straightforward to see from Equation (10) that is the lower bound curve of the projections versus and also of the concomitant Poincaré sections, as shown in Figure 1a–g, Figure 2a–g and Figure 3a–g, all calculated from Equations (6) and (7). On the other hand, it should be noted in Figure 1d–g, Figure 2d–g and Figure 3d–g converge to Figure 1h, Figure 2h and Figure 3h, corresponding to the Poincaré section for the fully classical case (system (9)). One can think of the transition as consisting of two zones: one semi-quantum region and a classical one (at the moment the convergence to the classical system starts). These features are also observed in Refs. [34,35,36]. In all cases, we verify that the last zone starts approximately at the value , found in Figure 1d, Figure 2d and Figure 3d, where the hyperbole can still be seen. In turn, we can also divide the semi-quantum zone into two subregions: quasi-quantum one when (Figure 1a, Figure 2a and Figure 3a) with oscillatory or quasi-oscillatory dynamics (since corresponds to the totally quantum case), and a transition zone (Figure 1b–d, Figure 2b–d and Figure 3b–d) that displays chaos coexisting with stability islands. The latter sub-region can be dynamically associated with a region with mesoscopic characteristics.
The approximate numerical value of , at which convergence to the classical system starts here is equal to the value , where convergence to the classical system was found in Refs. [35,36]. We have analyzed a wide variety of values of E. The same properties hold for all of them. This last zone is chaotic.
These findings are of an even more general nature. In Ref. [37], we also studied the CL for another Hamiltonian (different from Equation (1)), whose dynamics are non-chaotic. Both the conservative and the dissipative regimes were analyzed. All the features of the CL, including the value , turned out to be the same as those described here.
In Figure 4, we modify the scale so as to better observe what happens for smaller values of and .

Figure 4.
Poincaré sections for small values of and , keeping the energy fixed at and for different values of . Note that the hyperbola, , degenerates into the coordinate axes and (e) representing the classic case, (see Equation (9)).
Figure 4.
Poincaré sections for small values of and , keeping the energy fixed at and for different values of . Note that the hyperbola, , degenerates into the coordinate axes and (e) representing the classic case, (see Equation (9)).


Moreover, we depict in Figure 5 versus t for for different values of I. The pertinent features are similar to those of previous Poincaré sections (Figure 1, Figure 2, Figure 3 and Figure 4).

Figure 5.
Time evolution of for and different values of , where the value of the invariant . The same features are seen as in Figure 1, Figure 2, Figure 3 and Figure 4. The curves shown are associated with the following regions: (1) the quasi-quantum region (a); (2) the semiquantal transitional region (b,c) up to (d), at which convergence to the classical system solution starts; or (3) the fully classical zone (e–g). Note the convergence to the (h), corresponding to the classic case, (see Equation (9)).
Figure 5.
Time evolution of for and different values of , where the value of the invariant . The same features are seen as in Figure 1, Figure 2, Figure 3 and Figure 4. The curves shown are associated with the following regions: (1) the quasi-quantum region (a); (2) the semiquantal transitional region (b,c) up to (d), at which convergence to the classical system solution starts; or (3) the fully classical zone (e–g). Note the convergence to the (h), corresponding to the classic case, (see Equation (9)).


Let us now keep the value of I fixed and change the value of the total energy, E. In this case, we will only use the system of Equations (6) and (7). It is straightforward to show that the system of Equations (6) and (7) has as a solution , with and . Then, is the upper bound of the Poincaré sections as is the lower one.
This curve demontrates how the limit leads one to the classical limit. When , the hyperbola, , degenerates into the coordinate axes and . The upper bound curve indicates that similar to happen with . One can conclude that is well defined by Equation (13) and that the classical limit is reached in general when Equation (14) is satisfied.
Let us now verify such conjecture and at the same time analyze just how the path to the CL behaves. First, in Figure 6 and Figure 7, the presence of chaos is observed when grows (I fixed), as in Figure 1, Figure 2 and Figure 3. Secondly, we detect convergence towards classicity. The basic difference between our second procedure and the first lies in the fact that the total energy, E, does not tend towards a finite value as is the case if . That is why one to speak of a classical limit, since striking similarity can be observed between Figure 6 and Figure 7 on the one hand with Figure 1, Figure 2 and Figure 3 on the other hand (Figure 6a and Figure 7a vs. Figure 1a, Figure 2a and Figure 3a, with oscillatory and quasi-oscilatory dynamics; Figure 6a and Figure 7b,c vs. Figure 1b,c, Figure 2b,c and Figure 3b,c, with chaos and stability islands) and one can even associate the start of convergence to classicity with the value . For example, it makes sense to consider the mesoscopic zone as being represented, as in the alternative case discussed above, by values of between and . Certainly, these are just approximate values that basically establish an order of magnitude. In these circumstances, if necessary, the value of the total energy should be physically determined according to the degree of precision that one considers.

Figure 6.
Poincaré sections of versus for different values of the relative energy, , where the value of the invariant is fixed and the value of the energy, E, is increased. Different from Figure 1, Figure 2 and Figure 3, as expected, no convergence is observed for any value of (since the energy must tend to infinity), but the appearance of classical effects (chaos) is seen. One can also see the three zones for the same values.
Figure 6.
Poincaré sections of versus for different values of the relative energy, , where the value of the invariant is fixed and the value of the energy, E, is increased. Different from Figure 1, Figure 2 and Figure 3, as expected, no convergence is observed for any value of (since the energy must tend to infinity), but the appearance of classical effects (chaos) is seen. One can also see the three zones for the same values.



Figure 7.
Poincaré sections of versus for different values of the relative energy , where the value of the invariant is fixed and the value of the energy, E, is increased. Different from what is seen in Figure 1, Figure 2, Figure 3, Figure 4 and Figure 5; No convergence is observed for just one particular value of , but the emergence of classical effects (chaos) is detected. One can also see the three zones for the same values as in Figure 1, Figure 2, Figure 3, Figure 4 and Figure 5.
Figure 7.
Poincaré sections of versus for different values of the relative energy , where the value of the invariant is fixed and the value of the energy, E, is increased. Different from what is seen in Figure 1, Figure 2, Figure 3, Figure 4 and Figure 5; No convergence is observed for just one particular value of , but the emergence of classical effects (chaos) is detected. One can also see the three zones for the same values as in Figure 1, Figure 2, Figure 3, Figure 4 and Figure 5.


In Figure 8, we modify the coordinate axes scale for smaller values of and . The hyperbola, , can be seen in all cases. Note the difference with what is shown Figure 4. As in Figure 6 and Figure 7, there is no convergence to the classical system for a given value of E, but one detects the presence of classical chaotic dynamics.
Figure 8.
Poincaré sections for small values of and , keeping the energy fixed at and for different values of . Different from what is seen in Figure 4, the hyperbola, , can be observed in all cases. There is no convergence to the classical system for one determined value of E, but one ascertains thepresence of classical chaotic dynamics. It is also observed that the number of representative points systematically decreases when E increases. In this sense it to speak of a “convergent behavior”.
Figure 8.
Poincaré sections for small values of and , keeping the energy fixed at and for different values of . Different from what is seen in Figure 4, the hyperbola, , can be observed in all cases. There is no convergence to the classical system for one determined value of E, but one ascertains thepresence of classical chaotic dynamics. It is also observed that the number of representative points systematically decreases when E increases. In this sense it to speak of a “convergent behavior”.

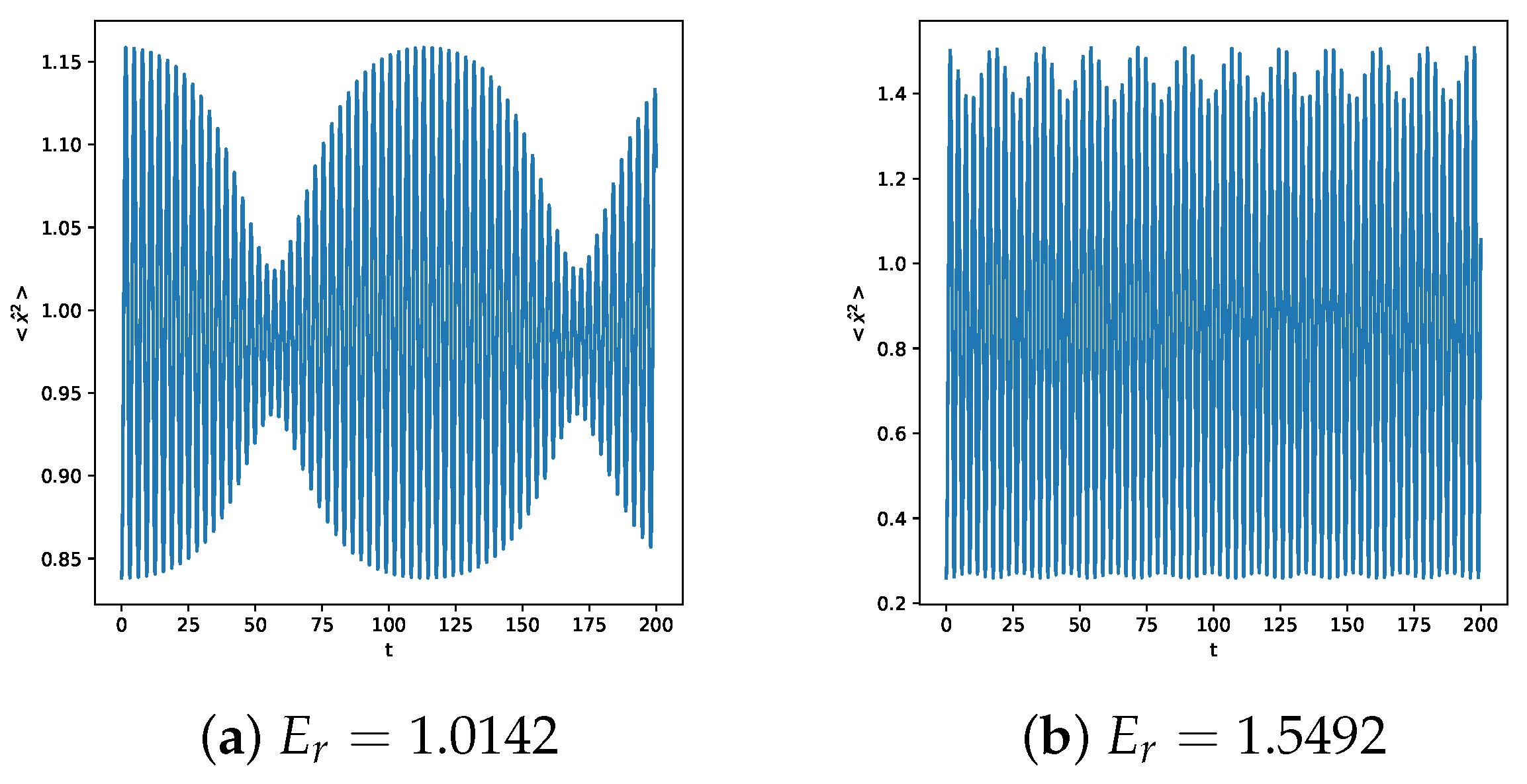
We depict versus t in Figure 9 for and different values of E. One observes the same traits in Figure 6 and Figure 7. There is no convergence to the classical system for a given fixed value of E.
Figure 9.
Time evolution of , where the motion invariant I is fixed at and the energy, E, is varied. The value of , at which convergence to classicity starts, is about . There is no convergence to the classical system for one determined value of E, but there is the presence of classical chaotic and complex dynamics.
Figure 9.
Time evolution of , where the motion invariant I is fixed at and the energy, E, is varied. The value of , at which convergence to classicity starts, is about . There is no convergence to the classical system for one determined value of E, but there is the presence of classical chaotic and complex dynamics.

In Figure 10, we plot versus t, where the motion invariant I is fixed at and the energy, E, is increased. The value of , where convergence to classicity starts, is about . As already mentioned, we are interested in a global description. As in Figure 9, there is no convergence to the classical system for a given value of E. One finds the presence of classical chaotic dynamics. We have also verified the presence of chaos, using the method of Lyapunov exponents.
Figure 10.
Time evolution of , where the motion invariant, I, is fixed at and the energy, E, is increased. The value of , where convergence to classicity starts at about . There is no convergence to the classical system for one determined value of E, but there is the presence of classical chaotic and complex dynamics.
Figure 10.
Time evolution of , where the motion invariant, I, is fixed at and the energy, E, is increased. The value of , where convergence to classicity starts at about . There is no convergence to the classical system for one determined value of E, but there is the presence of classical chaotic and complex dynamics.

4. Conclusions
In this paper, we have given further clarifications to the existing knowledge of the quantum–classical dynamics by considering a different scenario to that studied in the literature [34]. In such references, the classical limit (CL) corresponding to the semiclassical Hamiltonian (1), which depends on both classical and quantum variables, was carefully analyzed. Let us emphasize that this CL had already been analyzed in previous papers [34,36], using both dynamic tools and statistical information quantifiers [35]. Interesting insights and results were found there. Properties were also obtained for another Hamiltonian of different dynamics in Ref. [37], both in the conservative and dissipative regimes. To construct a different picture, here, we investigated the possibility that our precedent results could also be associated with a much more general scenario. The CL was studied here by comparing Poincaré sections, calculated for each relative energy, , as defined by Equation (13). We used this tool because we want to see how one globally reaches the classical limit. We increased the value of the dimensionless parameter , looking for the asymptotic behavior emerging when . To achieve this, we proceeded in two alternative fashions. First, we considered , with the invariant I related to the uncertainty principle (10). That is to say, we kept fixed the value of the total energy E and decreased the value of I. Second, we studied the limit , leaving the value of I fixed as E was increased.
In the first case, we investigated a large number of values of E. We display here the plots corresponding to , , and (Figure 1, Figure 2 and Figure 3). We were thus able to compare these graphs with those depicting the results of Refs. [34,36,37]. In this paper, we found the same features described in previous efforts. Note, however, that this happens now for all values of E. The classical limit does exist. The path towards classicity is smooth and can be divided into three subzones. These regions can be categorized as follows: (1) a quasi-quantum region (when ); (2) a transitional region up to (from where convergence to the classical system starts); or (3) a fully classical zone. The second subzone can be associated with dynamic mesoscopic features. The value must be regarded as yielding just an order of magnitude.
In the second type of procedure, we take ; that is, we grow the value of relative to . We see that as grows, quantum effects diminish. When , the quantum effects tend to vanish.
We have considered a large number of values of the motion invariant I. In this paper, we present only the plots corresponding to and (Figure 6 and Figure 7, respectively). We have detected similar characteristics to those encountered in the limit . The process is a continuous one, and the three zones mentioned above are also present here. We can also associate the start of convergence to classicity with the value .
It is also to assert that, using the second alternative procedure, the mesoscopic zone is represented by a relative energy ranging from to (order of magnitude).
In summary, we have obtained here results similar to those of previous studies [34,35,36,37], but for a more general scenario. We study two ways of dealing with the classical limit. Taking into account the fact that the systems in question, both here and in previous studies [34,37], each display quite different dynamics, we are able to conclude that the properties of the classical limit described in the present effort are of a rather general nature, since we encounter them for variegated types of dynamics.
Author Contributions
All authors contributed equally to this work. All authors have read and agreed to the published version of the manuscript.
Funding
A.M.K. and G.G. acknowledge support from the Comisión de Investigaciones Científicas de la Provincia de Buenos Aires (CICPBA) of Argentina.
Data Availability Statement
Not applicable.
Conflicts of Interest
The authors declare no conflict of interest.
References
- Joos, E.; Zeh, H.D.; Kiefer, C.; Giulini, D.J.; Kupsch, J.; Stamatescu, I.O. Decoherence and the Appearance of a Classical World in Quantum Theory; Springer Science+Business Media: Berlin/Heidelberg, Germany, 2003. [Google Scholar] [CrossRef]
- Struyve, W. Semi-classical approximations based on Bohmian mechanics. Int. J. Mod. Phys. A 2020, 35, 2050070. [Google Scholar] [CrossRef]
- Roy, D.; Mishra, D.; Prosen, T. Spectral form factor in a minimal bosonic model of many-body quantum chaos. Phys. Rev. E 2022, 106, 024208. [Google Scholar] [CrossRef] [PubMed]
- Zhou, Y.; Zhou, T.; Zhang, P. Universal properties of the spectral form factor in open quantum systems. arXiv 2023, arXiv:2303.14352. [Google Scholar] [CrossRef]
- Brack, M.; Bhaduri, R. Semiclassical Physics; CRC Press/Taylor & Francis Group: Boca Raton, FL, USA, 2018. [Google Scholar] [CrossRef]
- Arndt, M.; Hornberger, K.; Zeilinger, A. Probing the limits of the quantum world. Phys. World 2005, 18, 35–40. [Google Scholar] [CrossRef]
- Zeh, H.D. Why Bohm’s quantum theory? Found. Phys. Lett. 1999, 12, 197–200. [Google Scholar] [CrossRef]
- Ali, T.; Bhattacharyya, A.; Haque, S.S.; Kim, E.H.; Moynihan, N.; Murugan, J. Chaos and complexity in quantum mechanics. Phys. Rev. D 2020, 101, 026021. [Google Scholar] [CrossRef]
- Li, X.Q.; Luo, J.; Yang, Y.G.; Cui, P.; Yan, Y. Quantum master-equation approach to quantum transport through mesoscopic systems. Phys. Rev. B 2005, 71, 205304. [Google Scholar] [CrossRef]
- Das, M.P. Mesoscopic systems in the quantum realm: Fundamental science and applications. Adv. Nat. Sci. Nanosci. Nanotechnol. 2010, 1, 043001. [Google Scholar] [CrossRef]
- Brandes, T. Coherent and collective quantum optical effects in mesoscopic systems. Phys. Rep. 2005, 408, 315–474. [Google Scholar] [CrossRef]
- Iachello, F. Quantum phase transitions in mesoscopic systems. Int. J. Mod. Phys. B 2006, 20, 2687–2694. [Google Scholar] [CrossRef]
- Guo, L.Z.; Zheng, Z.G.; Li, X.Q. Quantum dynamics of mesoscopic driven Duffing oscillators. Europhys. Lett. 2010, 90, 10011. [Google Scholar] [CrossRef]
- Goan, H.S.; Milburn, G.J. Dynamics of a mesoscopic charge quantum bit under continuous quantum measurement. Phys. Rev. B 2001, 64, 235307. [Google Scholar] [CrossRef]
- Bloch, F. Nuclear induction. Phys. Rev. 1946, 70, 460. [Google Scholar] [CrossRef]
- Milonni, P.W.; Shih, M.L.; Ackerhalt, J.R. Chaos in Laser-Matter Interactions; World Scientific Publishing Company: Singapore, 1987. [Google Scholar] [CrossRef]
- Nielsen, S.; Kapral, R.; Ciccotti, G. Statistical mechanics of quantum-classical systems. J. Chem. Phys. 2001, 115, 5805–5815. [Google Scholar] [CrossRef]
- Micklitz, T.; Altl, A. Semiclassical theory of chaotic quantum resonances. Phys. Rev. E 2013, 87, 032918. [Google Scholar] [CrossRef]
- Cosme, J.G.; Fialko, O. Thermalization in closed quantum systems: Semiclassical approach. Phys. Rev. A 2014, 90, 053602. [Google Scholar] [CrossRef]
- Prants, S.V. Quantum–classical correspondence in chaotic dynamics of laser-driven atoms. Phys. Scr. 2017, 92, 044002. [Google Scholar] [CrossRef]
- Ring, P.; Schuck, P. The Nuclear Many-Body Problem; Springer Science+Business Media: Berlin/Heidelberg, Germany, 2004. [Google Scholar]
- Ribeiro, R.F.; Burke, K. Deriving uniform semiclassical approximations for one-dimensional fermionic systems. J. Chem. Phys. 2018, 148, 194103. [Google Scholar] [CrossRef] [PubMed]
- Graefe, E.M.; Höning, M.; Korsch, H.J. Classical limit of non-Hermitian quantum dynamics—a generalized canonical structure. J. Phys. A Math. Theor. 2010, 43, 075306. [Google Scholar] [CrossRef]
- Bastarrachea-Magnani, M.A.; Lerma-Hernández, S.; Hirsch, J.G. Comparative quantum and semiclassical analysis of atom-field systems. II. Chaos and regularity. Phys. Rev. A 2014, 89, 032102. [Google Scholar] [CrossRef]
- Allori, V.; Zanghì, N. On the classical limit of quantum mechanics. Found. Phys. 2009, 39, 20–32. [Google Scholar] [CrossRef][Green Version]
- Kurchan, J. Quantum bound to chaos and the semiclassical limit. J. Stat. Phys. 2018, 171, 965–979. [Google Scholar] [CrossRef]
- Oliveira, A.C.; Nemes, M.C.; Romero, K.F. Quantum time scales and the classical limit: Analytic results for some simple systems. Phys. Rev. E 2003, 68, 036214. [Google Scholar] [CrossRef]
- Bracken, A.J.; Wood, J.G. Semiquantum versus semiclassical mechanics for simple nonlinear systems. Phys. Rev. A 2006, 73, 012104. [Google Scholar] [CrossRef]
- Cooper, F.; Dawson, J.; Habib, S.; Kluger, Y.; Meredith, D.; Shepard, H. Semiquantum chaos and the large N expansion. Phys. D Nonlin. Phenom. 1995, 83, 74–97. [Google Scholar] [CrossRef]
- Cooper, F.; Dawson, J.; Habib, S.; Ryne, R.D. Chaos in time-dependent variational approximations to quantum dynamics. Phys. Rev. E 1998, 57, 1489. [Google Scholar] [CrossRef]
- Hui, Y.W.; Dong, J.; Xing, D.Y. Characteristics of the wave function of coupled oscillators in semiquantum chaos. Phys. Rev. E 2000, 62, 6318. [Google Scholar] [CrossRef]
- Godwe, E.; Mibaile, J.; Gambo, B.; Doka, S.Y. Semiquantum chaos in two gaas quantum dots coupled linearly and quadratically by two harmonic potentials in two dimensions. Adv. Math. Phys. 2018, 2018, 6450687. [Google Scholar] [CrossRef]
- Cooper, F.; Dawson, J.F.; Meredith, D.; Shepard, H. Semiquantum chaos. Phys. Rev. Lett. 1994, 72, 1337–1340. [Google Scholar] [CrossRef]
- Kowalski, A.M.; Plastino, A.; Proto, A.N. Classical limits. Phys. Lett. A 2002, 297, 162–172. [Google Scholar] [CrossRef]
- Kowalski, A.M.; Martín, M.T.; Plastino, A.; Rosso, O.A. Bandt–Pompe approach to the classical-quantum transition. Phys. D Nonlin. Phenom. 2007, 233, 21–31. [Google Scholar] [CrossRef]
- Kowalski, A.M.; Plastino, A. Chaotic density matrix in the classical limit. Phys. Lett. A 2020, 384, 126450. [Google Scholar] [CrossRef]
- Gonzalez Acosta, G.; Plastino, A.; Kowalski, A.M. Dynamical classic limit: Dissipative vs. conservative systems. Chaos Interdiscip. J. Nonlin. Sci. 2023, 33, 013126. [Google Scholar] [CrossRef]
- Kowalski, A.M.; Plastino, A.; Proto, A.N. Semiclassical model for quantum dissipation. Phys. Rev. E 1995, 52, 165–177. [Google Scholar] [CrossRef] [PubMed]
- Arnold, V.I. Mathematical Methods of Classical Mechanics; Springer Science+Business Media: New York, NY, USA, 1978. [Google Scholar] [CrossRef]
Disclaimer/Publisher’s Note: The statements, opinions and data contained in all publications are solely those of the individual author(s) and contributor(s) and not of MDPI and/or the editor(s). MDPI and/or the editor(s) disclaim responsibility for any injury to people or property resulting from any ideas, methods, instructions or products referred to in the content. |
© 2023 by the authors. Licensee MDPI, Basel, Switzerland. This article is an open access article distributed under the terms and conditions of the Creative Commons Attribution (CC BY) license (https://creativecommons.org/licenses/by/4.0/).