Methodology for Determining the Main Physical Parameters of Apples by Digital Image Analysis
Abstract
1. Introduction
2. Materials and Methods
2.1. Apple Samples and Fruit Measurement
2.2. Algorithm for Assessing the Quality of Apple Fruits via a Digital Image Analysis
3. Results and Discussion
3.1. Determination of the Physical Parameters of Apple Fruits
3.2. Determination of the Weight and Volume of Apples via Digital Methods
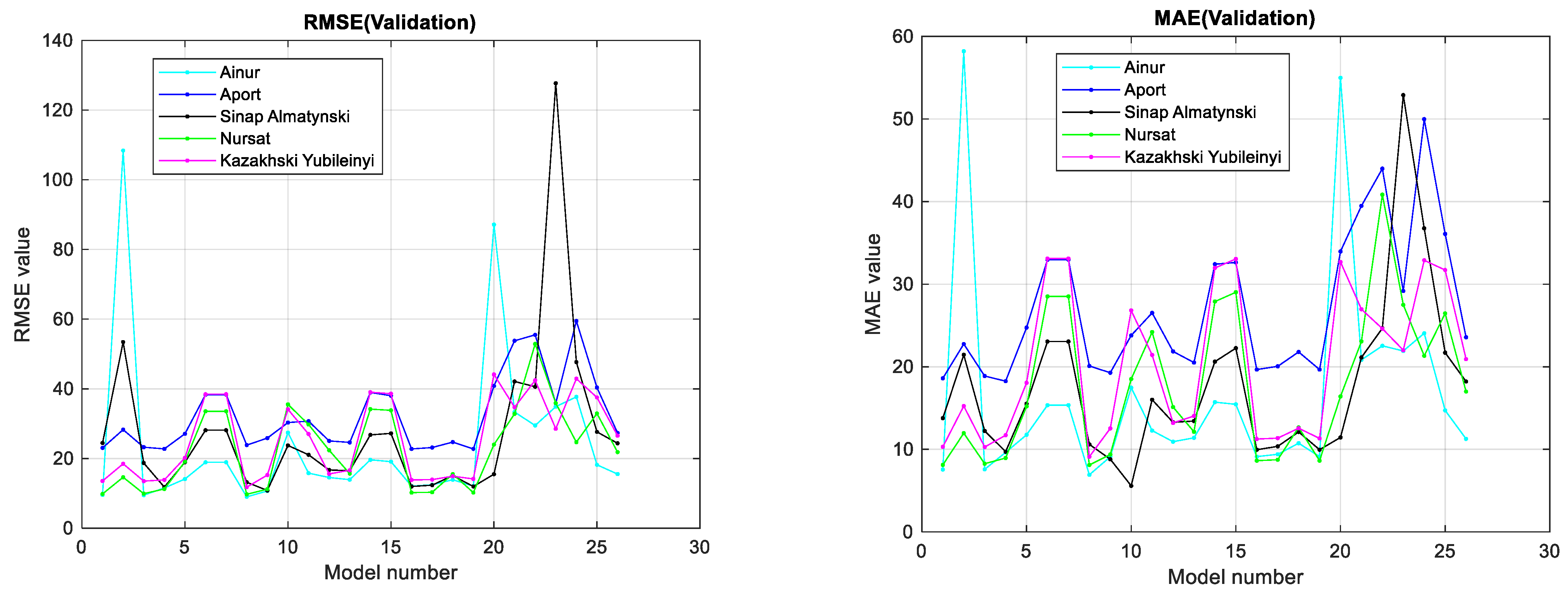
3.2.1. Apple Weight Prediction Results
3.2.2. Apple Volume Prediction Results
4. Conclusions
Author Contributions
Funding
Data Availability Statement
Conflicts of Interest
References
- Fresh Apples Sold in Retail Trade. Technical Conditions. Available online: https://internet-law.ru/gosts/gost/66071/ (accessed on 1 December 2024).
- UNECE STANDARD FFV-50 Concerning the Marketing and Commercial Quality Control of APPLES. Available online: https://unece.org/sites/default/files/2020-12/50_Apples.pdf (accessed on 5 July 2023).
- Pothula, A.K.; Zhang, Z.; Lu, R. Evaluation of a new apple in-field sorting system for fruit singulation, rotation and imaging. Comput. Electron. Agric. 2023, 208, 107789. [Google Scholar] [CrossRef]
- Mizushima, A.; Lu, R. An image segmentation method for apple sorting and grading using support vector machine and Otsu’s method. Comput. Electron. Agric. 2013, 94, 29–37. [Google Scholar] [CrossRef]
- Alikhanov, J.; Penchev, S.M.; Georgieva, T.D.; Moldazhanov, A.; Shynybay, Z.; Daskalov, P.I. An indirect approach for egg weight sorting using image processing. J. Food Meas. Charact. 2018, 12, 87–93. [Google Scholar] [CrossRef]
- Nurtuleuov, A.; Moldazhanov, A.; Kulmahambetova, A.; Zinchenko, D. Methodology and Results Of Experimental Studies Of The Algorithm And Program For Determining Egg Quality Indicators On An Automated Optic Electronic Installation. Res. Results 2021, 3, 66. [Google Scholar]
- Alikhanov, D.; Shynybaj, Z.; Daskalov, P.; Tshonev, R. Express method and device for definition of potato tubers parameters. Bulg. J. Agric. Sci. 2013, 19, 866–874. [Google Scholar]
- Alikhanov, J.; Penchev, S.M.; Georgieva, T.D.; Moldazhanov, A.K.; Kulmakhambetova, A.T.; Shynybay, Z.; Stefanov, E.; Daskalov, P.I. Design and performance of an automatic egg sorting system based on computer vision. TEM J. 2019, 8, 1319–1325. [Google Scholar] [CrossRef]
- Georgieva, T.; Stefanov, E.; Alikhanov, J.; Kulmakhambetova, A.; Shynybay Zh Daskalov, P. Approach for egg defects assessment using image analysis. In Annals of DAAAM and Proceedings of the International DAAAM Symposium; DAAAM International: Vienna, Austria, 2019. [Google Scholar]
- Alikhanov, J.; Moldazhanov, A.; Kulmakhambetova, A.; Shynybay, Z.; Penchev, S.M.; Georgieva, T.D.; Daskalov, P.I. Express Methods and Procedures for Determination of the Main Egg Quality Indicators. TEM J. 2021, 10, 171–176. [Google Scholar] [CrossRef]
- Ozaki, Y.; McClure, W.F.; Christy, A.A. Near-Infrared Spectroscopy in Food Science and Technology; John Wiley & Sons: Hoboken, NJ, USA, 2007. [Google Scholar] [CrossRef]
- Roberts, C.A.; Workman, J.; Reeves, J.B. Near-Infrared Spectroscopy in Agriculture; IM Publications: Boston, MA, USA, 2004. [Google Scholar]
- Bhatt, A.K.; Pant, D. Automatic apple grading model development based on back propagation neural network and machine vision, and its performance evaluation. AI Soc. 2015, 30, 45–56. [Google Scholar] [CrossRef]
- Du, C.-J.; Sun, D.-W. Recent developments in the applications of image processing techniques for food quality evolution. Trends Food Sci. Technol. 2004, 15, 230–249. [Google Scholar]
- Bhargava, A.; Bansal, A. Fruits and vegetables quality evaluation using computer vision: A review. J. King Saud Univ.–Comput. Inf. Sci. 2018, 33, 243–257. [Google Scholar]
- Moallem, P.; Serajoddin, A.; Pourghassem, H. Computer vision based apple grading for golden delicious apples based on surface features. Inf. Process. Agric. 2017, 4, 33–40. [Google Scholar] [CrossRef]
- Ohali, Y. Computer vision based date fruit grading system: Design and implementation. J. King Saud Univ.–Comput. Inf. Sci. 2011, 23, 29–36. [Google Scholar] [CrossRef]
- Mirbod, O.; Choi, D.; Heinemann, P.H.; Marini, R.P.; He, L. On-tree apple fruit size estimation using stereo vision with deep learning-based occlusion handling. Biosyst. Eng. 2023, 226, 27–42. [Google Scholar] [CrossRef]
- Roy, P.; Isler, V. Surveying apple orchards with a monocular vision system. In Proceedings of the IEEE International Conference on Automation Science and Engineering, Fort Worth, TX, USA, 21–25 August 2016. [Google Scholar] [CrossRef]
- Butters, L.; Xu, Z.; Le Trung, K.; Klette, R. Measuring apple size distribution from a near topedown image. In Lecture Notes in Computer Science; Lee, C., Su, Z., Sugimoto, A., Eds.; 11854 LNCS; Springer International Publishing: Cham, Switzerland, 2019; pp. 255–268. [Google Scholar] [CrossRef]
- Nakano, K. Application of neural networks to the color grading of apples. Comput. Electron. Agric. 1997, 18, 105–116. [Google Scholar] [CrossRef]
- Garrido-Novell, C.; Pérez-Marin, D.; Amigo, J.M.; Fernández-Novales, J.; Guerrero, J.E.; Garrido-Varo, A. Grading and color evolution of apples using RGB and hyperspectral imaging vision cameras. J. Food Eng. 2012, 113, 281–288. [Google Scholar] [CrossRef]
- Sofu, M.M.; Er, O.; Kayacan, M.C.; Cetişli, B. Design of an automatic apple sorting system using machine vision. Comput. Electron. Agric. 2016, 127, 395–405. [Google Scholar] [CrossRef]
- Leemans, V.; Magein, H.; Destain, M.F. On-line fruit grading according to their external quality using machine vision. Biosyst. Eng. 2002, 83, 397–404. [Google Scholar] [CrossRef]
- Lee, J.-H.; Vo, H.-T.; Kwon, G.-J.; Kim, H.-G.; Kim, J.-Y. Multi-Camera-Based Sorting System for Surface Defects of Apples. Sensors 2023, 23, 3968. [Google Scholar] [CrossRef]
- Marini, R.P.; Schupp, J.R.; Baugher, T.A.; Crassweller, R. Relationships between fruit weight and diameter at 60 days after bloom and at harvest for three apple cultivars. HortScience 2019, 54, 86–91. [Google Scholar] [CrossRef]
- Rong, J.; Zhou, H.; Zhang, F.; Yuan, T.; Wang, P. Tomato cluster detection and counting using improved YOLOv5 based on RGB-D fusion. Comput. Electron. Agric. 2023, 207, 107741. [Google Scholar] [CrossRef]
- Cardellicchio, A.; Solimani, F.; Dimauro, G.; Petrozza, A.; Summerer, S.; Cellini, F.; Renò, V. Detection of tomato plant phenotyping traits using YOLOv5-based single stage detectors. Comput. Electron. Agric. 2023, 207, 107757. [Google Scholar] [CrossRef]
- Specifications, GOST 34314-2017, Fresh Apples for Retail, 2018. Available online: https://online.zakon.kz/Document/?doc_id=35799925 (accessed on 1 December 2024).
- Anjaneya, L.; Mahanthesha, U. Machine Learning Approach to the Classification and Identification of Hand Gesture Recog-Nition Using Python. Int. J. Recent Sci. Res. 2023, 14, 4372–4377. [Google Scholar]
- Verdhan, V. Computer Vision Using Deep Learning: Neural Network Architectures with Python and Keras; Apress: Berkeley, CA, USA, 2021. [Google Scholar]
- Roffo, G. Feature Selection Library (MATLAB Toolbox). arXiv 2016, arXiv:1607.01327. [Google Scholar]
- Miranda, J.C.; Arnó, J.; Gené-Mola, J.; Lordan, J.; Asín, L.; Gregorio, E. Assessing automatic data processing algorithms for RGB-D cameras to predict fruit size and weight in apples. Comput. Electron. Agric. 2023, 214, 108302. [Google Scholar] [CrossRef]






















| Statistical Value | D, mm | DK, mm | d, mm | dK, mm | h, mm | hK, mm | m, g | V, cm3 | ρ, g/cm3 | δr, % | S, cm2 | |||
|---|---|---|---|---|---|---|---|---|---|---|---|---|---|---|
| Aport Alexander | ||||||||||||||
| Average value | 63.60 | 63.50 | 0.93 | 78.70 | 78.70 | 0.92 | 76.10 | 76.00 | 0.90 | 163.45 | 208.50 | 0.79 | 54.10 | 48.79 |
| Standard deviation | 5.30 | 5.30 | 4.89 | 4.89 | 3.85 | 3.85 | 23.09 | 34.72 | 0.03 | 8.63 | 6.01 | |||
| Min | 56.40 | 56.30 | 68.40 | 68.50 | 69.40 | 69.50 | 126.30 | 150.00 | 0.73 | 42.00 | 36.72 | |||
| Max | 72.40 | 72.30 | 86.40 | 86.40 | 82.40 | 82.30 | 207.19 | 270.00 | 0.84 | 70.00 | 58.59 | |||
| Sinap Almatynski | ||||||||||||||
| Average value | 65.60 | 65.50 | 0.94 | 65.00 | 64.90 | 0.91 | 62.00 | 62.40 | 0.84 | 122.17 | 142.10 | 0.86 | 54.70 | 33.62 |
| Standard deviation | 11.44 | 11.44 | 7.96 | 7.96 | 4.25 | 4.25 | 24.40 | 28.24 | 0.03 | 8.84 | 9.32 | |||
| Min | 35.90 | 35.80 | 54.40 | 54.50 | 55.00 | 55.20 | 77.18 | 88.00 | 0.74 | 40.00 | 23.23 | |||
| Max | 98.80 | 98.70 | 97.0 | 97.20 | 71.40 | 71.50 | 173.25 | 197.50 | 0.88 | 71.00 | 73.86 | |||
| Kazakhskij Yubilejnyj | ||||||||||||||
| Average value | 53.10 | 53.60 | 0.82 | 67.90 | 67.60 | 0.83 | 65.50 | 65.70 | 0.88 | 138.60 | 167.40 | 0.83 | 57.90 | 36.62 |
| Standard deviation | 6.91 | 6.91 | 6.80 | 6.80 | 5.60 | 5.60 | 28.59 | 34.33 | 0.02 | 10.20 | 7.50 | |||
| Min | 43.00 | 43.00 | 58.60 | 58.00 | 57.80 | 57.60 | 99.00 | 115.00 | 0.76 | 38.00 | 26.97 | |||
| Max | 66.50 | 66.50 | 82.70 | 82.50 | 77.70 | 77.80 | 187.00 | 230.00 | 0.86 | 68.00 | 53.72 | |||
| Ainur | ||||||||||||||
| Average value | 58.20 | 58.10 | 0.92 | 64.90 | 64.80 | 0.92 | 62.40 | 62.20 | 0.94 | 110.72 | 137.11 | 0.81 | 5.50 | 33.15 |
| Standard deviation | 3.40 | 3.40 | 3.36 | 3.36 | 4.25 | 4.25 | 16.72 | 22.49 | 0.06 | 0.92 | 3.50 | |||
| Min | 53.40 | 53.30 | 61.30 | 61.50 | 57.10 | 57.20 | 89.86 | 100.00 | 0.72 | 4.00 | 29.51 | |||
| Max | 66.30 | 66.40 | 72.70 | 72.90 | 73.40 | 73.40 | 152.5 | 190.00 | 0.90 | 7.00 | 41.51 | |||
| Nursat | ||||||||||||||
| Average value | 67.70 | 67.80 | 0.96 | 66.00 | 66.20 | 0.97 | 60.50 | 60.20 | 0.96 | 134.16 | 155.83 | 0.86 | 4.17 | 34.44 |
| Standard deviation | 4.72 | 4.72 | 5.54 | 5.54 | 5.20 | 5.20 | 27.48 | 33.61 | 0.02 | 1.09 | 5.80 | |||
| Min | 60.60 | 60.40 | 56.20 | 56.10 | 48.80 | 48.70 | 86.21 | 100.00 | 0.82 | 2.00 | 24.81 | |||
| Max | 76.50 | 76.00 | 75.90 | 76.00 | 69.60 | 69.40 | 189.33 | 230.00 | 0.90 | 5.00 | 45.25 | |||
| Errors | ||||||
|---|---|---|---|---|---|---|
| Aport Alexander | 0.15 | 0.27 | 0.15 | 0.22 | 0.15 | 0.22 |
| Sinap Almatynski | 0.24 | 0.67 | 0.24 | 0.44 | 0.24 | 0.44 |
| Kazakhskij Yubilejnyj | 1.70 | 4.12 | 1.70 | 2.99 | 1.70 | 3.03 |
| Ainur | 0.11 | 0.21 | 0.11 | 0.18 | 0.11 | 0.19 |
| Nursat | 0.07 | 0.12 | 0.07 | 0.12 | 0.07 | 0.14 |
| Statistical values of the errors | ||||||
| Average Value | 0.45 | 1.08 | 0.45 | 0.79 | 0.45 | 0.80 |
| Min | 0.07 | 0.12 | 0.07 | 0.12 | 0.07 | 0.14 |
| Max | 1.7 | 4.12 | 1.7 | 2.99 | 1.7 | 3.03 |
| Feature Selection Algorithm | |||
|---|---|---|---|
| Aport Alexander | - | h, d, and S | D, S, and d |
| Sinap Almatynski | D and h | d, S, and h | h, d, and S |
| Kazakhskij Yubilejnyj | - | h, d, and S | h, d, and S |
| Ainur | - | d, S, and D | h, S, and d |
| Nursat | D, d, and h | h, d, and S | D, h, and S |
| Feature Selection Algorithm | |||
|---|---|---|---|
| Aport Alexander | - | D, S, and h | h, S, and d |
| Sinap Almatynski | d, D, and S | h, d, and S | d, S, and h |
| Kazakhskij Yubileinyj | D | h, d, and S | d, h, and S |
| Ainur | D | d, S, and D | h, S, and d |
| Nursat | D | D, h, and δ | D, h, and δ |
| Training Set | Testing Set | |||||||
|---|---|---|---|---|---|---|---|---|
| Regression Model | RMSE | R2 | MAE | Training Time, s | RMSE | R2 | MAE | |
| Aport Alexander | Linear SVM | 12.83 | 0.74 | 11.33 | 2.77 | 10.20 | 0.61 | 7.42 |
| Sinap Almatynski | Stepwise Linear Regression | 7.17 | 0.92 | 6.12 | 1.88 | 4.83 | 0.96 | 4.14 |
| Kazakhskij Yubileinyj | Rational Quadratic Gaussian Process Regression | 9.64 | 0.88 | 7.97 | 0.60 | 16.97 | 0.68 | 12.29 |
| Ainur | Linear SVM | 9.09 | 0.70 | 6.64 | 1.71 | 4.96 | 0.92 | 3.84 |
| Nursat | Linear Regression | 10.10 | 0.89 | 8.38 | 4.27 | 8.95 | 0.66 | 6.36 |
| Apple Variety | Training Set | Testing Set | ||||||
|---|---|---|---|---|---|---|---|---|
| Regression Model | RMSE | R2 | MAE | Training Time, s | RMSE | R2 | MAE | |
| Aport Alexander | Squared Exponential Gaussian Process Regression | 22.75 | 0.65 | 19.66 | 2.26 | 9.38 | 0.92 | 7.65 |
| Sinap Almatynski | Quadratic SVM | 10.82 | 0.85 | 8.81 | 1.44 | 15.49 | 0.66 | 14.49 |
| Kazakhskij Yubileiny | Linear SVM | 11.77 | 0.91 | 9.11 | 1.02 | 13.95 | 0.68 | 11.16 |
| Ainur | Robust Linear Regression | 9.49 | 0.75 | 7.58 | 0.41 | 14.28 | 0.80 | 11.93 |
| Nursat | Linear Regression | 9.84 | 0.91 | 8.12 | 5.28 | 9.65 | 0.92 | 7.96 |
Disclaimer/Publisher’s Note: The statements, opinions and data contained in all publications are solely those of the individual author(s) and contributor(s) and not of MDPI and/or the editor(s). MDPI and/or the editor(s) disclaim responsibility for any injury to people or property resulting from any ideas, methods, instructions or products referred to in the content. |
© 2025 by the authors. Licensee MDPI, Basel, Switzerland. This article is an open access article distributed under the terms and conditions of the Creative Commons Attribution (CC BY) license (https://creativecommons.org/licenses/by/4.0/).
Share and Cite
Alikhanov, J.; Moldazhanov, A.; Kulmakhambetova, A.; Zinchenko, D.; Nurtuleuov, A.; Shynybay, Z.; Georgieva, T.; Daskalov, P. Methodology for Determining the Main Physical Parameters of Apples by Digital Image Analysis. AgriEngineering 2025, 7, 57. https://doi.org/10.3390/agriengineering7030057
Alikhanov J, Moldazhanov A, Kulmakhambetova A, Zinchenko D, Nurtuleuov A, Shynybay Z, Georgieva T, Daskalov P. Methodology for Determining the Main Physical Parameters of Apples by Digital Image Analysis. AgriEngineering. 2025; 7(3):57. https://doi.org/10.3390/agriengineering7030057
Chicago/Turabian StyleAlikhanov, Jakhfer, Aidar Moldazhanov, Akmaral Kulmakhambetova, Dimitriy Zinchenko, Alisher Nurtuleuov, Zhandos Shynybay, Tsvetelina Georgieva, and Plamen Daskalov. 2025. "Methodology for Determining the Main Physical Parameters of Apples by Digital Image Analysis" AgriEngineering 7, no. 3: 57. https://doi.org/10.3390/agriengineering7030057
APA StyleAlikhanov, J., Moldazhanov, A., Kulmakhambetova, A., Zinchenko, D., Nurtuleuov, A., Shynybay, Z., Georgieva, T., & Daskalov, P. (2025). Methodology for Determining the Main Physical Parameters of Apples by Digital Image Analysis. AgriEngineering, 7(3), 57. https://doi.org/10.3390/agriengineering7030057

