Smart Coffee: Machine Learning Techniques for Estimating Arabica Coffee Yield
Abstract
1. Introduction
2. Materials and Methods
2.1. Study Area and Arabica Coffee Data
2.2. Agrometeorological Variables
2.3. Exploratory Analysis of Arabica Coffee Yield
2.4. Agricultural Modeling of Arabica Coffee Yield
3. Results and Discussion
3.1. Exploratory Analysis Results
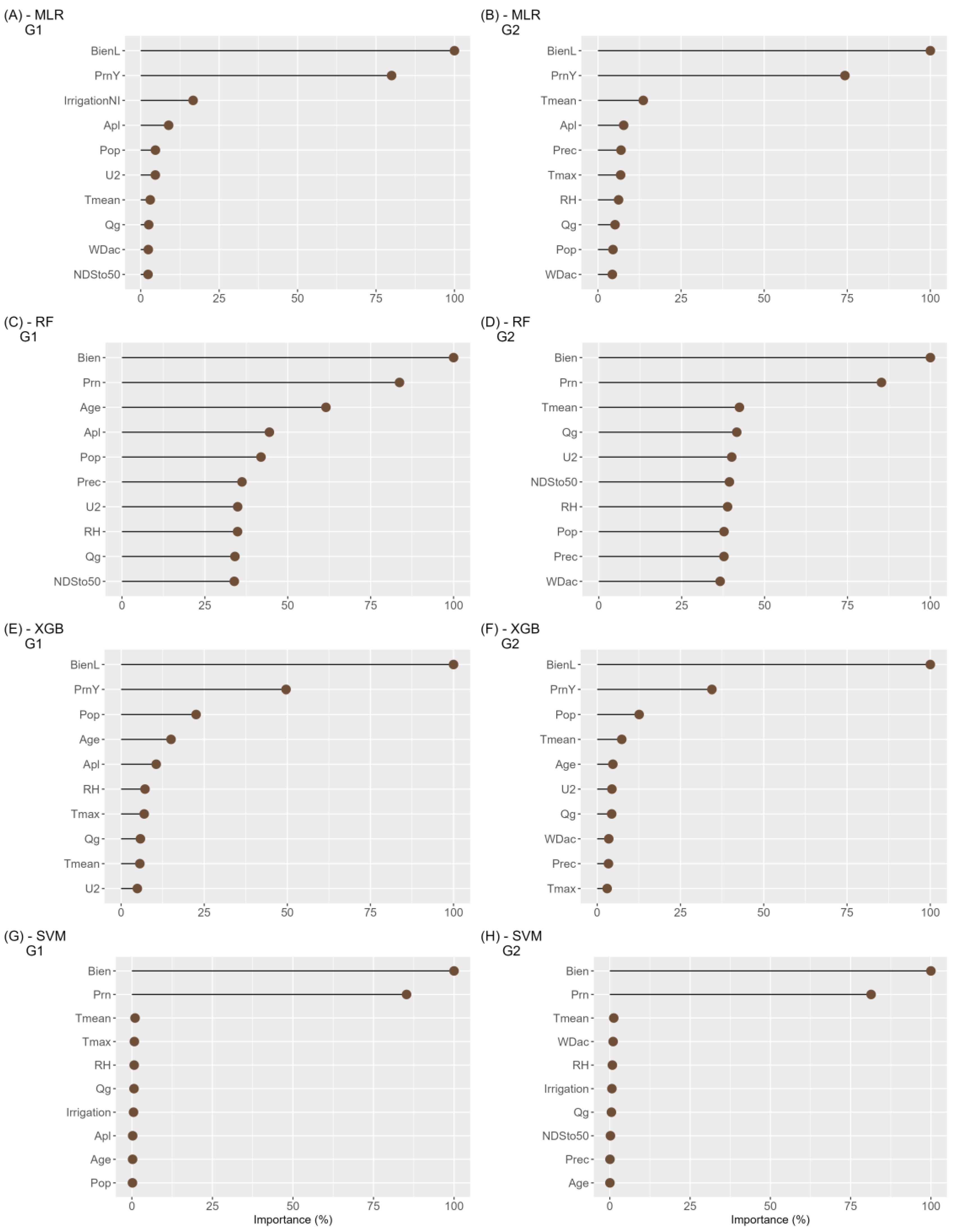
3.2. Model Calibration and Importance of Predictor Variables
3.3. Estimation of Arabica Coffee Yield
3.4. Future Research Directions
4. Conclusions
Author Contributions
Funding
Data Availability Statement
Acknowledgments
Conflicts of Interest
References
- INTERNATIONAL COFFEE ORGANIZATION Trade Statistics Tables—Total Production by All Exporting Countries. Available online: https://ico.org/coffee-development-report-2/ (accessed on 6 July 2023).
- Ubilava, D. El Niño, La Niña, and World Coffee Price Dynamics. Agric. Econ. 2012, 43, 17–26. [Google Scholar] [CrossRef]
- CONAB—Companhia Nacional de Abastecimento Séries Históricas Das Safras—Café Arábica. Available online: https://www.conab.gov.br/info-agro/safras/serie-historica-das-safras/itemlist/category/894-cafe-arabica (accessed on 10 September 2023).
- De Camargo, M.B.P. The Impact of Climatic Variability and Climate Change on Arabic Coffee Crop in Brazil. Bragantia 2010, 69, 239–247. [Google Scholar] [CrossRef]
- da Mota, R.P.; Ferraz-Almeida, R.; de Camargo, R.; Franco, M.H.R.; Delvaux, J.C.; Lana, R.M.Q. Organomineral Fertilizer in Coffee Plant (Coffea Arabica L.): Fertilizer Levels and Application Times. Coffee Sci. 2023, 18, e182098. [Google Scholar] [CrossRef]
- DaMatta, F.M.; Ramalho, J.D.C. Impacts of Drought and Temperature Stress on Coffee Physiology and Production: A Review. Braz. J. Plant Physiol. 2006, 18, 55–81. [Google Scholar] [CrossRef]
- de Souza, T.L.; de Oliveira, D.P.; Santos, C.F.; Reis, T.H.P.; Cabral, J.P.C.; da Silva Resende, É.R.; Fernandes, T.J.; de Souza, T.R.; Builes, V.R.; Guelfi, D. Nitrogen Fertilizer Technologies: Opportunities to Improve Nutrient Use Efficiency towards Sustainable Coffee Production Systems. Agric. Ecosyst. Environ. 2023, 345, 108317. [Google Scholar] [CrossRef]
- Verdin Filho, A.C.; Volpi, P.S.; Ferrão, M.A.G.; Ferrão, R.G.; Mauri, A.L.; da Fonseca, A.F.A.; Tristão, F.A.; de Andrade Júnior, S. New Management Technology for Arabica Coffee: The Cyclic Pruning Program for Arabica Coffee. Coffee Sci. 2016, 4, 475–483. [Google Scholar]
- Bongase, E.D. Impacts of Climate Change on Global Coffee Production Industry: Review. Afr. J. Agric. Res. 2017, 12, 1607–1611. [Google Scholar] [CrossRef]
- Nunes, F.L.; de Camargo, M.B.P.; Fazuoli, L.C.; Rolim, G.d.S.; Pezzopane, J.R.M. Modelos Agrometeorológicos de Estimativa Da Duração Do Estádio Floração-Maturação Para Três Cultivares de Café Arábica. Bragantia 2010, 69, 1011–1018. [Google Scholar] [CrossRef]
- Soares, L.d.S.; Rezende, T.T.; Beijo, L.A.; Franco Júnior, K.S. Interaction between Climate, Flowering and Production of Dry Coffee (Coffea Arabica L.) in Minas Gerais. Coffee Sci. 2021, 16, 1–10. [Google Scholar] [CrossRef]
- Aparecido, L.E.d.O.; Rolim, G.d.S.; Lamparelli, R.A.C.; de Souza, P.S.; dos Santos, E.R.; de Souza Rolim, G.; Camargo Lamparelli, R.A.; de Souza, P.S.; dos Santos, E.R.; Rolim, G.d.S. Agrometeorological Models for Forecasting Coffee Yield. Agron. J. 2017, 109, 249–258. [Google Scholar] [CrossRef]
- Rodríguez, D.; Cure, J.R.; Gutierrez, A.P.; Cotes, J.M.; Cantor, F. A Coffee Agroecosystem Model: II. Dynamics of Coffee Berry Borer. Ecol. Modell. 2013, 248, 203–214. [Google Scholar] [CrossRef]
- van Oijen, M.; Dauzat, J.; Harmand, J.M.; Lawson, G.; Vaast, P. Coffee Agroforestry Systems in Central America: II. Development of a Simple Process-Based Model and Preliminary Results. Agrofor. Syst. 2010, 80, 361–378. [Google Scholar] [CrossRef]
- Vezy, R.; le Maire, G.; Christina, M.; Georgiou, S.; Imbach, P.; Hidalgo, H.G.; Alfaro, E.J.; Blitz-Frayret, C.; Charbonnier, F.; Lehner, P.; et al. DynACof: A Process-Based Model to Study Growth, Yield and Ecosystem Services of Coffee Agroforestry Systems. Environ. Model. Softw. 2020, 124, 104609. [Google Scholar] [CrossRef]
- Kouadio, L.; Tixier, P.; Byrareddy, V.; Marcussen, T.; Mushtaq, S.; Rapidel, B.; Stone, R. Performance of a Process-Based Model for Predicting Robusta Coffee Yield at the Regional Scale in Vietnam. Ecol. Model. 2021, 443, 109469. [Google Scholar] [CrossRef]
- Santos, M.A.; de Camargo, M.B.P. Parametrização de Modelo Agrometeorológico de Estimativa de Productividade Do Cafeeiro Nas Condições Do Estado de São Paulo. Bragantia 2006, 65, 173–183. [Google Scholar] [CrossRef]
- Valeriano, T.T.B.; Rolim, G.d.S.; Aparecido, L.E.d.O.; Moraes, J.R.d.S.C.d. Estimation of Coffee Yield from Gridded Weather Data. Agron. J. 2018, 110, 2462–2477. [Google Scholar] [CrossRef]
- Verhage, F.Y.F.; Anten, N.P.R.; Sentelhas, P.C. Carbon Dioxide Fertilization Offsets Negative Impacts of Climate Change on Arabica Coffee Yield in Brazil. Clim. Change 2017, 144, 671–685. [Google Scholar] [CrossRef]
- Freitas, C.H.d.; Coelho, R.D.; de Oliveira Costa, J.; Sentelhas, P.C. Equationing Arabica Coffee: Adaptation, Calibration, and Application of an Agrometeorological Model for Yield Estimation. Agric. Syst. 2025, 223, 104181. [Google Scholar] [CrossRef]
- de Oliveira Aparecido, L.E.; Lorençone, J.A.; Lorençone, P.A.; Torsoni, G.B.; Lima, R.F.; dade Silva CabralMoraes, J.R. Predicting Coffee Yield Based on Agroclimatic Data and Machine Learning. Theor. Appl. Climatol. 2022, 148, 899–914. [Google Scholar] [CrossRef]
- Aparecido, L.E.d.O.; Rolim, G.d.S. Forecasting of the Annual Yield of Arabic Coffee Using Water Deficiency. Pesqui. Agropecuária Bras. 2018, 53, 1299–1310. [Google Scholar] [CrossRef]
- Kouadio, L.; Byrareddy, V.M.; Sawadogo, A.; Newlands, N.K. Probabilistic Yield Forecasting of Robusta Coffee at the Farm Scale Using Agroclimatic and Remote Sensing Derived Indices. Agric. For. Meteorol. 2021, 306, 108449. [Google Scholar] [CrossRef]
- Miranda, J.M.; Reinato, R.A.O.; Silva, A.B. Modelo Matemático Para Previsão Da Produtividade Do Cafeeiro. Rev. Bras. Eng. Agrícola e Ambient. 2014, 18, 353–361. [Google Scholar] [CrossRef]
- Freitas, C.H.d. Adaptation, Calibration, and Application of Coffee Crop Simulation Models for Assessing the Impact of Climate Change in Brazilian Conditions. Ph.D. Thesis, Universidade de São Paulo, Piracicaba, Brazil, 2024. [Google Scholar] [CrossRef]
- Alves, M.d.C.; Sanches, L.; Pozza, E.A.; Pozza, A.A.A.; da Silva, F.M. The Role of Machine Learning on Arabica Coffee Crop Yield Based on Remote Sensing and Mineral Nutrition Monitoring. Biosyst. Eng. 2022, 221, 81–104. [Google Scholar] [CrossRef]
- Rosa, V.G.C.; Moreira, M.A.; Rudorff, B.F.T.; Adami, M. Estimativa Da Produtividade de Café Com Base Em Um Modelo Agrometeorologico-Espectral. Pesqui. Agropecu. Bras. 2010, 45, 1478–1488. [Google Scholar] [CrossRef]
- Abreu Júnior, C.A.M.d.; Martins, G.D.; Xavier, L.C.M.; Vieira, B.S.; Gallis, R.B.d.A.; Junior, E.F.F.; Martins, R.S.; Paes, A.P.B.; Mendonça, R.C.P.; Lima, J.V.D.N. Estimating Coffee Plant Yield Based on Multispectral Images and Machine Learning Models. Agronomy 2022, 12, 3195. [Google Scholar] [CrossRef]
- Zanella, M.A.; Nogueira Martins, R.; Moreira da Silva, F.; Carvalho, L.C.C.; de Carvalho Alves, M.; Fim Rosas, J.T. Coffee Yield Prediction Using High-Resolution Satellite Imagery and Crop Nutritional Status in Southeast Brazil. Remote Sens. Appl. Soc. Environ. 2024, 33, 101092. [Google Scholar] [CrossRef]
- Liakos, K.G.; Busato, P.; Moshou, D.; Pearson, S.; Bochtis, D. Machine Learning in Agriculture: A Review. Sensors 2018, 18, 2674. [Google Scholar] [CrossRef] [PubMed]
- Zanetti, W.A.L.; Marques, M.d.S.; do Amaral, A.M.S.; da Silva, A.B.; Barcelos, J.P.d.Q.; Goés, B.C.; Putti, F.F. Analysis of the Technological Evolution of Coffee Production in Brazil. J. Agric. Stud. 2021, 9, 352–362. [Google Scholar] [CrossRef]
- Motta, I.V.C.; Vuillerme, N.; Pham, H.H.; de Figueiredo, F.A.P. Machine Learning Techniques for Coffee Classification: A Comprehensive Review of Scientific Research. Artif. Intell. Rev. 2025, 58, 15. [Google Scholar] [CrossRef]
- Bunn, C.; Läderach, P.; Ovalle Rivera, O.; Kirschke, D. A Bitter Cup: Climate Change Profile of Global Production of Arabica and Robusta Coffee. Clim. Chang. 2015, 129, 89–101. [Google Scholar] [CrossRef]
- Johnston, D.B.; Pembleton, K.G.; Huth, N.I.; Deo, R.C. Comparison of Machine Learning Methods Emulating Process Driven Crop Models. Environ. Model. Softw. 2023, 162, 105634. [Google Scholar] [CrossRef]
- Vidhya, K.; George, S.; Suresh, P.; Brindha, D.; Jebaseeli, T.J. Agricultural Farm Production Model for Smart Crop Yield Recommendations Using Machine Learning Techniques. Eng. Proc. 2023, 59, 20. [Google Scholar] [CrossRef]
- Sanya, R.; Nabiryo, A.L.; Tusubira, J.F.; Murindanyi, S.; Katumba, A.; Nakatumba-Nabende, J. Coffee and Cashew Nut Dataset: A Dataset for Detection, Classification, and Yield Estimation for Machine Learning Applications. Data Br. 2024, 52, 109952. [Google Scholar] [CrossRef] [PubMed]
- Arwatchananukul, S.; Xu, D.; Charoenkwan, P.; Aung Moon, S.; Saengrayap, R. Implementing a Deep Learning Model for Defect Classification in Thai Arabica Green Coffee Beans. Smart Agric. Technol. 2024, 9, 100680. [Google Scholar] [CrossRef]
- Przybył, K.; Gawrysiak-Witulska, M.; Bielska, P.; Rusinek, R.; Gancarz, M.; Dobrzański, B.; Siger, A. Application of Machine Learning to Assess the Quality of Food Products—Case Study: Coffee Bean. Appl. Sci. 2023, 13, 10786. [Google Scholar] [CrossRef]
- Martínez, F.; Montiel, H.; Martínez, F. A Machine Learning Model for the Diagnosis of Coffee Diseases. Int. J. Adv. Comput. Sci. Appl. 2022, 13, 968–974. [Google Scholar] [CrossRef]
- Parraga-Alava, J.; Cusme, K.; Loor, A.; Santander, E. RoCoLe: A Robusta Coffee Leaf Images Dataset for Evaluation of Machine Learning Based Methods in Plant Diseases Recognition. Data Br. 2019, 25, 104414. [Google Scholar] [CrossRef] [PubMed]
- de Oliveira Aparecido, L.E.; Lorençone, J.A.; Lorençone, P.A.; de Souza Rolim, G.; de Meneses, K.C.; da Silva Cabral de Moraes, J.R.; Torsoni, G.B. Can Nonlinear Agrometeorological Models Estimate Coffee Foliation? J. Sci. Food Agric. 2022, 102, 584–596. [Google Scholar] [CrossRef]
- Alvares, C.A.; Stape, J.L.; Sentelhas, P.C.; De Moraes Gonçalves, J.L.; Sparovek, G. Köppen’s Climate Classification Map for Brazil. Meteorol. Zeitschrift 2013, 22, 711–728. [Google Scholar] [CrossRef]
- de Camargo, A.P.; de Camargo, M.B.P. Definição e Esquematização Das Fases Fenológicas Do Cafeeiro Arábica Nas Condições Tropicais Do Brasil. Bragantia 2001, 60, 65–68. [Google Scholar] [CrossRef]
- dos Santos, H.G.; Jacomine, P.K.T.; dos Anjos, L.H.C.; de Oliveira, V.A.; Lumbreras, J.F.; Coelho, M.R.; de Almeida, J.A.; Araújo de Filho, J.C.; de Oliveira, J.B.; Cunha, T.J.F. Sistema Brasileiro de Classificação de Solos, 5th ed.; Embrapa Solos: Brasília, DF, Brazil, 2018; ISBN 978-85-7035-800-4. [Google Scholar]
- DaMatta, F.M.; Ronchi, C.P.; Maestri, M.; Barros, R.S. Coffee: Environment and Crop Physiology. In Ecophysiology of Tropical Tree Crops; DaMatta, F., Ed.; Nova Science Publishers, Inc.: New York, NY, USA, 2010; pp. 181–216. ISBN 978-1-60876-392-4. [Google Scholar]
- Xavier, A.C.; Scanlon, B.R.; King, C.W.; Alves, A.I. New Improved Brazilian Daily Weather Gridded Data (1961–2020). Int. J. Climatol. 2022, 42, 8390–8404. [Google Scholar] [CrossRef]
- Dias, H.B.; Sentelhas, P.C. Assessing the Performance of Two Gridded Weather Data for Sugarcane Crop Simulations with a Process-Based Model in Center-South Brazil. Int. J. Biometeorol. 2021, 65, 1881–1893. [Google Scholar] [CrossRef] [PubMed]
- Monteiro, A.F.M.; Martins, F.B.; Torres, R.R.; de Almeida, V.H.M.; Abreu, M.C.; Mattos, E.V. Intercomparison and Uncertainty Assessment of Methods for Estimating Evapotranspiration Using a High-Resolution Gridded Weather Dataset over Brazil. Theor. Appl. Climatol. 2021, 146, 583–597. [Google Scholar] [CrossRef]
- Duarte, Y.C.N.; Sentelhas, P.C. NASA/POWER and DailyGridded Weather Datasets-How Good They Are for Estimating Maize Yields in Brazil? Int. J. Biometeorol. 2020, 64, 319–329. [Google Scholar] [CrossRef] [PubMed]
- Bender, F.D.; Sentelhas, P.C. Solar Radiation Models and Gridded Databases to Fill Gaps in Weather Series and to Project Climate Change in Brazil. Adv. Meteorol. 2018, 2018, 1–15. [Google Scholar] [CrossRef]
- Battisti, R.; Bender, F.D.; Sentelhas, P.C. Assessment of Different Gridded Weather Data for Soybean Yield Simulations in Brazil. Theor. Appl. Climatol. 2019, 135, 237–247. [Google Scholar] [CrossRef]
- Thornthwaite, C.W. An Approach toward a Rational Classification of Climate. Geogr. Rev. 1948, 38, 55. [Google Scholar] [CrossRef]
- Pereira, A.R. Symplifying the Thornthwaite-Mather Water Balance. Bragantia 2005, 64, 311–313. [Google Scholar] [CrossRef]
- Thornthwaite, C.W.; Mather, J.R. (Eds.) The Water Balance, 1st ed.; Laboratory of Climatology: Centerton, AR, USA, 1955. [Google Scholar]
- Zacharias, A.O.; de Camargo, M.B.P.; Fazuoli, L.C. Modelo Agrometeorológico de Estimativa Do Início Da Florada Plena Do Cafeeiro. Bragantia 2008, 67, 249–256. [Google Scholar] [CrossRef]
- Pagès, J. Multiple Factor Analysis by Example Using R; CRC Press: New York, NY, USA, 2014; ISBN 9781482205480. [Google Scholar]
- Le, S.; Josse, J.; Husson, F. FactoMineR: An R Package for Multivariate Analysis. J. Stat. Softw. 2008, 25, 1–18. [Google Scholar] [CrossRef]
- Hu, Y.; Yu, S.; Qi, X.; Zheng, W.; Wang, Q.; Yao, H. An Overview of Multiple Linear Regression Model and Its Application. Chin. J. Prev. Med. 2019, 53, 653–656. [Google Scholar] [CrossRef]
- Breiman, L. Random Forests. Mach. Learn. 2001, 45, 5–32. [Google Scholar] [CrossRef]
- Chen, T.; Guestrin, C. XGBoost: A Scalable Tree Boosting System. In Proceedings of the 22nd ACM SIGKDD International Conference on Knowledge Discovery and Data Mining (KDD’16), San Francisco, CA, USA, 13–17 August 2016; Association for Computing Machinery: New York, NY, USA, 2016; Volume 13, pp. 785–794. [Google Scholar] [CrossRef]
- Boser, B.E.; Guyon, I.M.; Vapnik, V.N. A training algorithm for optimal margin classifiers. In Proceedings of the Fifth Annual Workshop on Computational Learning Theory, Pittsburgh, PA, USA, 27–29 July 1992; pp. 144–152. [Google Scholar] [CrossRef]
- Kohavi, R. A Study of Cross-Validation and Bootstrap for Accuracy Estimation and Model Selection. Int. Jt. Conf. Artif. Intell. 1995, 2, 1137–1143. [Google Scholar]
- Carvalho, H.F.; Galli, G.; Ventorim Ferrão, L.F.; Vieira Almeida Nonato, J.; Padilha, L.; Perez Maluf, M.; Ribeiro de Resende, M.F.; Guerreiro Filho, O.; Fritsche-Neto, R. The Effect of Bienniality on Genomic Prediction of Yield in Arabica Coffee. Euphytica 2020, 216, 1–16. [Google Scholar] [CrossRef]
- Willmott, C.J.; Robeson, S.M.; Matsuura, K. A Refined Index of Model Performance. Int. J. Climatol. 2012, 32, 2088–2094. [Google Scholar] [CrossRef]
- Nash, J.E.; Sutcliffe, J.V. River Flow Forecasting through Conceptual Models Part I—A Discussion of Principles. J. Hydrol. 1970, 10, 282–290. [Google Scholar] [CrossRef]
- Pereira, S.P.; Bartholo, G.F.; Baliza, D.P.; Sobreira, F.M.; Guimarães, R.J. Crescimento, Produtividade e Bienalidade Do Cafeeiro Em Função Do Espaçamento de Cultivo. Pesqui. Agropecuária Bras. 2011, 46, 152–160. [Google Scholar] [CrossRef]
- Li, X.; Su, X.; Li, J.; Anwar, S.; Zhu, X.; Ma, Q.; Wang, W.; Liu, J. Coupling Image-Fusion Techniques with Machine Learning to Enhance Dynamic Monitoring of Nitrogen Content in Winter Wheat from UAV Multi-Source. Agriculture 2024, 14, 1797. [Google Scholar] [CrossRef]
- Victorino, E.C.; Carvalho, L.G.; Ferreira, D.F. Modelagem Agrometeorológica Para a Previsão de Produtividade de Cafeeiros Na Região Sul Do Estado de Minas Gerais. Coffee Sci. 2016, 11, 211–220. [Google Scholar]
- Ovalle-Rivera, O.; Van Oijen, M.; Läderach, P.; Roupsard, O.; de Melo Virginio Filho, E.; Barrios, M.; Rapidel, B. Assessing the Accuracy and Robustness of a Process-Based Model for Coffee Agroforestry Systems in Central America. Agrofor. Syst. 2020, 94, 2033–2051. [Google Scholar] [CrossRef]
- Freitas, C.H.d.; Elli, E.F.; Sentelhas, P.C. On-Farm Assessment of Eucalypt Yield Gaps—A Case Study for the Producing Areas of the State of Minas Gerais, Brazil. Int. J. Biometeorol. 2021, 65, 1659–1673. [Google Scholar] [CrossRef] [PubMed]
- Sentelhas, P.C.; Battisti, R.; Monteiro, L.A.; Duarte, T.C.N.; Visses, F.A.V. Yield Gap: Concepts, Definitions and Examples (in Portuguese). Int. Plant Nutr. Inst. 2016, 155, 9–12. [Google Scholar]
- Van Ittersum, M.K.; Cassman, K.G.; Grassini, P.; Wolf, J.; Tittonell, P.; Hochman, Z. Yield Gap Analysis with Local to Global Relevance-A Review. F. Crop. Res. 2013, 143, 4–17. [Google Scholar] [CrossRef]
- Jones, J.W.; Hoogenboom, G.; Porter, C.H.; Boote, K.J.; Batchelor, W.D.; Hunt, L.A.; Wilkens, P.W.; Singh, U.; Gijsman, A.J.; Ritchie, J.T. The DSSAT Cropping System Model. Eur. J. Agron. 2003, 18, 235–265. [Google Scholar] [CrossRef]
- Holzworth, D.P.; Huth, N.I.; deVoil, P.G.; Zurcher, E.J.; Herrmann, N.I.; McLean, G.; Chenu, K.; van Oosterom, E.J.; Snow, V.; Murphy, C.; et al. APSIM—Evolution towards a New Generation of Agricultural Systems Simulation. Environ. Model. Softw. 2014, 62, 327–350. [Google Scholar] [CrossRef]
- Raes, D.; Steduto, P.; Hsiao, T.C.; Fereres, E. Aquacrop-The FAO Crop Model to Simulate Yield Response to Water: II. Main Algorithms and Software Description. Agron. J. 2009, 101, 438–447. [Google Scholar] [CrossRef]





| Location | State | Latitude | Longitude | Altitude | Mean Temperature 1 | Mean Accumulated Precipitation 1 |
|---|---|---|---|---|---|---|
| (Degree) | (Degree) | (m) | (°C) | (mm) | ||
| Alfenas | MG | −21.54 | −45.93 | 886.3 | 21.1 | 1535.0 |
| Alfenas | MG | −21.30 | −45.93 | 793.0 | 21.2 | 1442.3 |
| Conceição do Rio Verde | MG | −21.90 | −45.21 | 929.0 | 20.5 | 1511.7 |
| Group | Cultivars | Ymean | Yirr | Yrain | Pop | Age | Apl |
|---|---|---|---|---|---|---|---|
| 60 kg Bags ha−1 | Plants ha−1 | Years | m2 pl | ||||
| G1 | ACA, BRB, BNL, CTC, RUB and TPZ | 44.4 | 50.5 | 38.3 | 4642.6 | 10.3 | 2.2 |
| G2 | CTI, ICT and MNV | 40.1 | 41.8 | 38.4 | 3550.2 | 16.1 | 3.1 |
| Variables | Acronym (Unit) | Contribution of Variables by Principal Component (%) | |||
|---|---|---|---|---|---|
| PC1 | PC2 | PC3 | PC4 | ||
| 25.2% | 16.0% | 12.4% | 11.0% | ||
| Group | G1 or G2 | 0.00 | 5.14 | 11.57 | 2.06 |
| Yield | Yield (bags ha−1) | 0.03 | 0.75 | 9.78 | 27.29 |
| Bienniality | Bien (H or L) | 0.04 | 0.44 | 6.20 | 25.29 |
| Area per plant | Apl (m2 plants) | 0.01 | 15.13 | 13.55 | 2.25 |
| Population | Pop (plants ha−1) | 0.09 | 15.17 | 13.88 | 2.30 |
| Age | Age (years) | 0.89 | 3.94 | 12.39 | 2.41 |
| Irrigation | Irrigated or Rainfed | 0.30 | 7.07 | 0.90 | 1.37 |
| Pruning | Pruning (Y or N) | 0.07 | 0.87 | 8.05 | 19.65 |
| Accumulated water deficit | WDac (mm) | 17.08 | 0.16 | 0.75 | 0.63 |
| Accumulated water surplus | SURac (mm) | 10.05 | 0.49 | 0.23 | 2.12 |
| Relative evapotranspiration | rET (--) | 16.11 | 0.82 | 1.32 | 1.07 |
| Number of days with Storage < 50% | NDSto50 (days) | 14.24 | 0.71 | 1.52 | 0.71 |
| Precipitation | Prec (mm) | 11.10 | 0.51 | 0.16 | 1.67 |
| Maximum temperature | Tmax (°C) | 0.83 | 3.74 | 1.44 | 0.26 |
| Mean temperature | Tmean (°C) | 0.84 | 18.61 | 7.66 | 4.06 |
| Minimum temperature | Tmin (°C) | 0.25 | 15.70 | 6.61 | 4.52 |
| Global solar radiation | Qg (MJ m−2 10-day−1) | 6.73 | 9.46 | 3.67 | 2.24 |
| Relative air humidity | RH (%) | 14.11 | 0.95 | 0.15 | 0.06 |
| Wind speed at 2m | U2 (m s−1) | 7.22 | 0.33 | 0.18 | 0.05 |
| Technique | Method | Hyperparameters | Range | Group 1 | Group 2 | ||
|---|---|---|---|---|---|---|---|
| Final Values 1 | Final Values 1 | ||||||
| Multiple Linear Regression | -- | b0 | -- | 64.047 | . | 15.190 | |
| b1—Age | −0.0439 | −0.0124 | |||||
| b2—Pop | 0.0015 | −0.0015 | |||||
| b3—Apl | 3.0162 | * | −1.8851 | . | |||
| b4—Irrigation_NI | −5.4107 | *** | 1.4111 | ||||
| b5—Prn_Y | −25.493 | *** | −22.566 | *** | |||
| b6—BienL | −24.244 | *** | −23.290 | *** | |||
| b7—Tmax | −0.1608 | 0.8149 | . | ||||
| b8—Tmean | −0.5570 | −2.2604 | ** | ||||
| b9—Prec | 0.0011 | −0.0039 | . | ||||
| b10—U2 | 2.9692 | 3.1374 | |||||
| b11—RH | 0.0380 | 0.6643 | |||||
| b12—Qg | −0.6223 | 1.3001 | |||||
| b13—NDSto50 | 0.0180 | 0.0159 | |||||
| b14—WDac | −0.0155 | −0.0279 | |||||
| Random Forest | -- | maxnodes | 10–1000 | 500 | 200 | ||
| ntree | 500–1000 | 1000 | 1000 | ||||
| nodesize | 15–25 | 15 | 25 | ||||
| mtry | 2–8 | 4 | 2 | ||||
| XGBoosting | -- | nrounds | 100–10,000 | 1900 | 200 | ||
| max_depth | 2–6 | 4 | 2 | ||||
| eta | 0.01–0.3 | 0.015 | 0.1 | ||||
| gamma | 0–1 | 0.05 | 0 | ||||
| colsample_bytree | 0.4–1 | 0.6 | 0.6 | ||||
| min_child_weight | 1–3 | 1 | 1 | ||||
| subsample | 0.5–1 | 0.75 | 0.75 | ||||
| Support Vector Machine | Linear | C | 0–2 | 0.1053 | 1.5789 | ||
| Polynomial | degree | 1–3 | 3 | 3 | |||
| scale | 0.001–1 | 0.1 | 0.1 | ||||
| C | 0.25–2 | 0.5 | 0.25 | ||||
| Radial 2 | C | 0.25–128 | 8 | 2 | |||
| sigma | Maximized | 0.0563 | 0.0602 | ||||
Disclaimer/Publisher’s Note: The statements, opinions and data contained in all publications are solely those of the individual author(s) and contributor(s) and not of MDPI and/or the editor(s). MDPI and/or the editor(s) disclaim responsibility for any injury to people or property resulting from any ideas, methods, instructions or products referred to in the content. |
© 2024 by the authors. Licensee MDPI, Basel, Switzerland. This article is an open access article distributed under the terms and conditions of the Creative Commons Attribution (CC BY) license (https://creativecommons.org/licenses/by/4.0/).
Share and Cite
Freitas, C.H.d.; Coelho, R.D.; Costa, J.d.O.; Sentelhas, P.C. Smart Coffee: Machine Learning Techniques for Estimating Arabica Coffee Yield. AgriEngineering 2024, 6, 4925-4942. https://doi.org/10.3390/agriengineering6040281
Freitas CHd, Coelho RD, Costa JdO, Sentelhas PC. Smart Coffee: Machine Learning Techniques for Estimating Arabica Coffee Yield. AgriEngineering. 2024; 6(4):4925-4942. https://doi.org/10.3390/agriengineering6040281
Chicago/Turabian StyleFreitas, Cleverson Henrique de, Rubens Duarte Coelho, Jéfferson de Oliveira Costa, and Paulo Cesar Sentelhas. 2024. "Smart Coffee: Machine Learning Techniques for Estimating Arabica Coffee Yield" AgriEngineering 6, no. 4: 4925-4942. https://doi.org/10.3390/agriengineering6040281
APA StyleFreitas, C. H. d., Coelho, R. D., Costa, J. d. O., & Sentelhas, P. C. (2024). Smart Coffee: Machine Learning Techniques for Estimating Arabica Coffee Yield. AgriEngineering, 6(4), 4925-4942. https://doi.org/10.3390/agriengineering6040281

