Next Article in Journal
Production and Harvest Quality of Tomato Fruit Cultivated Under Different Water Replacement Levels and Photoprotector Strategies
Next Article in Special Issue
Multispectral Sensors and Machine Learning as Modern Tools for Nutrient Content Prediction in Soil
Previous Article in Journal
Agronomic Performance and Technological Attributes of Sugarcane Cultivars Under Split-Irrigation Management
Previous Article in Special Issue
Nutritional Monitoring of Rhodena Lettuce via Neural Networks and Point Cloud Analysis
 
 
Font Type:
Arial Georgia Verdana
Font Size:
Aa Aa Aa
Line Spacing:
Column Width:
Background:
Article

Climate-Based Prediction of Rice Blast Disease Using Count Time Series and Machine Learning Approaches

by
Meena Arumugam Gopalakrishnan
1,
Gopalakrishnan Chellappan
1,*,
Santhosh Ganapati Patil
2,
Santosha Rathod
3,
Kamalakannan Ayyanar
1,
Jagadeeswaran Ramasamy
4,
Sathyamoorthy Nagaranai Karuppasamy
5 and
Manonmani Swaminathan
6
1
Department of Plant Pathology, Tamil Nadu Agricultural University, Coimbatore 641003, India
2
Agricultural Statistics, Tamil Nadu Agricultural University, Coimbatore 641003, India
3
Agricultural Statistics, Indian Council of Agricultural Research-Indian Institute of Rice Research, Hyderabad 500030, India
4
Department of Remote Sensing (RS) and Geographic Information System (GIS), Tamil Nadu Agricultural University, Coimbatore 641003, India
5
Department of Agriculture Climate Research Centre (ACRC), Tamil Nadu Agricultural University, Coimbatore 641003, India
6
Department of Rice, Tamil Nadu Agricultural University, Coimbatore 641003, India
*
Author to whom correspondence should be addressed.
AgriEngineering 2024, 6(4), 4353-4371; https://doi.org/10.3390/agriengineering6040246
Submission received: 18 September 2024 / Revised: 15 October 2024 / Accepted: 16 October 2024 / Published: 19 November 2024
(This article belongs to the Special Issue Application of Artificial Neural Network in Agriculture)

Abstract

Magnaporthe oryzae, the source of the rice blast, is a serious threat to the world’s rice supply, particularly in areas like Tamil Nadu, India. In this study, weather-based models were developed based on count time series and machine learning techniques like INGARCHX, Artificial Neural Networks (ANNs), and Support Vector Regression (SVR), to forecast the incidence of rice blast disease. Between 2015 and 2023, information on rice blast occurrence was gathered weekly from three locations (Thanjavur, Tirunelveli, and Coimbatore), together with relevant meteorological data like temperature, humidity, rainfall, sunshine, evaporation, and sun radiation. The associations between the occurrence of rice blast and environmental factors were investigated using stepwise regression analysis, descriptive statistics, and correlation. Mean Squared Error (MSE) and Root Mean Squared Error (RMSE) were used to assess the model’s prediction ability. The best prediction accuracy was given by the ANN, which outperformed SVR and INGARCHX in every location, according to the results. The complicated and non-linear relationships between meteorological variables and disease incidence were well-represented by the ANN model. The Diebold–Mariano test further demonstrated that ANNs are more predictive than other models. This work shows how machine learning algorithms can improve the prediction of rice blast, offering vital information for early disease management. The application of these models can help farmers make timely decisions to minimize crop losses. The findings suggest that machine learning models offer promising potential for accurate disease forecasting and improved rice management.

1. Introduction

More than half of the world’s population is fed by rice (Oryza sativa L.), which is an essential component of global agriculture. It is grown in over 100 countries, with Asia accounting for the majority of production. With an anticipated production of 11 million metric tonnes in 2022 [1], the USA is another major producer of rice. For many people in India, rice is a staple item and an essential component of the diet [2]. However, India’s average rice yield is still relatively low, which makes it difficult to meet both domestic consumption and export requirements despite growing local and worldwide demand [3]. Meeting rice production has become more challenging due to changing climatic conditions [2]. With an estimated total production of 7.98 million tonnes, Tamil Nadu is the fourth-most productive state in India. Tamil Nadu is ranked third in terms of yield per hectare, producing about 3379 kg per hectare. The physiological processes of rice, such as growth, development, and grain production, are impacted by climate change. It also indirectly affects the prevalence of pests and diseases, which has an effect on yields [4]. The crop is susceptible to pathogen infection, which can result in a variety of diseases depending on the weather. This highlights the importance of early detection and suitable treatment to minimize damage and guarantee maximum efficacy [5,6,7]. A fungus known as Magnaporthe oryzae attacks rice crops from seedling to harvesting. When the infection is severe, it can cause the panicles to topple over. It can also occur on the seeds, neck, and branches of the panicles, which show greyish-brown, spindle-shaped lesions when infected (Figure 1) [8]. Blast is considered a major disease of rice because of its wide distribution and extent of destruction under favourable conditions. Count time series modelling is an extensively used statistical methodology in which integer autocorrelated discrete count observations are available as the inputs with a typically assumed Poisson or negative binomial distribution. This method is especially pertinent in the modelling of crop disease, as data for the number of days or weeks it takes until the first individual becomes infected by a particular incidence are correlated. While the count time series models and machine learning methods have been applied extensively to different types of problems, including epidemiological studies [9], these models are under-exploited in modelling and predicting rice blast incidence data streams.
Count time series models have been applied to a variety of scenarios, including disease prediction, manufacturing industry claims, and stock market data [10,11,12,13]. Machine learning models have been successfully used to predict agricultural outcomes like oilseed production, banana and rice yields, susceptibility to pests in rice, and disease severity in crops like tomatoes and sugarcane [14,15,16,17,18,19]. The adoption of preventive measures can be greatly aided by an accurate weather-based prediction of rice blast. However, multiple regression analysis and conventional time series models were frequently used in previous studies on crop disease forecasting. The accuracy of the prediction model is not improved by normalizing count data that follows non-Gaussian distributions, such as those characterized by Poisson and negative binomial distributions. Although the generalized linear model (INGARCH) is well suited for count data, little to no use has been made of it for disease modelling, including rice blast. In addition, it has been shown that the standard models such as multiple linear regression and ARIMA are less successful for highly variable and nonlinear data [14]. On the other hand, data-driven machine learning models such as SVR and ANN, which do not rely on rigid assumptions, exhibit potential in these kinds of situations. Modelling and forecasting disease incidence like rice blast is crucial for informed decision-making and effective crop management. The goal of this research is to use count time series (INGARCH) and machine learning techniques (ANN, SVR) to create a reliable statistical model for rice blast prediction based on important weather data. In order to minimize yield losses, the models are made to predict when rice blast will occur. This work highlights the innovative use of machine learning techniques like ANN and SVR in the field of rice disease modelling by combining weather variables with the count time series model or INGARCH for the first time. In order to determine the causal linkages between environmental conditions and the incidence of rice blast, this study used stepwise regression analysis, basic descriptive statistics, and correlation analysis.
This study aims to develop a robust statistical model for predicting rice blast based on critical weather parameters using count time series (INGARCH) and machine learning methods (ANN, SVR). The models are designed to forecast the occurrence of rice blast, thereby minimizing yield losses. For the first time, this study applies the count time series model, specifically INGARCH, with weather variables to the area of rice disease modelling, highlighting the novel application of machine learning techniques like ANN and SVR in this field. In this study, the work carried out included conducting basic descriptive statistics, performing correlation analysis, and utilizing stepwise regression analysis to identify the causal relationships between environmental factors and the incidence of rice blast. Utilizing exogenous meteorological information, sophisticated computational methods including INGARCH, ANN, and SVR are used to predict the incidence of rice blast in high-risk areas.

2. Materials and Method

2.1. Data Collection

The rice blast disease data were collected from three different survey points in Tamil Nadu (Thanjavur, Tirunelveli, and Coimbatore) from the year 2015 to 2023 (Figure 2). The disease incidence was calculated using percent disease incidence (PDI) according to IRRI, 1990. The weekly disease data were obtained from the cumulative of the daily data collected. Corresponding meteorological data, including maximum temperature (MaxT), minimum temperature (MinT), relative humidity morning (RHm), relative humidity evening (RHe), rainfall (RF), sunshine (SS), solar radiation (SR), wind speed (WS), leaf wetness (LW), and evaporation (EVP) were also collected from the automatic weather stations situated at the respective locations. Standard Meteorological Week (SMW) wise disease incidence and weekly meteorological observation were considered for this study. A total of 80% of the dataset was used as a training set and the remaining 20% of observations were used as a testing set.

2.2. Pre-Processing of Meteorological Variables

Missing meteorological data were addressed using linear interpolation and mean imputation techniques. These methods were implemented using R software (version 4.x) with the “zoo” and “imputeTS” packages for handling time series data gaps and missing values [20,21].
Meteorological data were normalized using the min-max scaling method to ensure comparability across variables. This was executed in R using the “scales” package [22]. Time lags (1 to 3 weeks) were introduced for the weather variables to account for the delayed effects of meteorological factors on rice blast disease [23]. This step was implemented using the “dplyr” and “zoo” packages in R.

2.3. Statistical Models

Descriptive statistics were carried out with the parameters including mean, standard error (SE), skewness, kurtosis, minimum and maximum observation, and coefficient of variance (CV) to describe the nature of the data under study. The data were graphically distributed as the time series plots. The interrelationships between the variables were analysed with Pearson product–moment correlation, and stepwise multiple regression was carried out to observe the cause-and-effect relationship between rice blast disease incidence and exogenous weather variables [9]. The regression equation in matrix form was given as follows:
Y = Xβ + e
where ‘Y’ is the dependent variable, ‘X’ is the vector of exogenous/independent variable, ‘β’ is the regression coefficient and ‘e’ is the residual error assumed to be normally distributed with e ~ N (0, σ2). The three models, INGARCH, ANN, and SVR, as well as time series plots, were completed with R software (version 4.3.1, R Core Team 2018). Correlation and stepwise regression analysis were carried out in SAS (version 9.3).

2.4. Integer-Valued Generalized Autoregressive Conditional Heteroscedastic (INGARCH) Model

The time series analysis is structured within the generalized linear model (GLM) framework, which has been extensively explored by [24]. INGARCH models, a subset of these GLMs, assume that the conditional distribution of the dependent variable follows one of the well-known discrete distributions such as Poisson, negative binomial, generalized Poisson, or double Poisson [11,25,26]. For a count time series {Yt: t ∈ N} where λt represents the time-varying r-dimensional covariate vector {Xt: t ∈ N} i.e., Xt = (Xt,1, …, Xt, r,) T, the conditional mean of Yt, denoted as E (Yt|Ft−1) = λt, is based on historical data Ft. The generalized form of INGARCH model is expressed as follows
g λ t = β 0 + k = 1 p α k g ~ Y t i k + l = 1 q β 1 g λ t j 1 + η T
In the case where the functions g and g ~ are identity functions, that is g (x) = g ~ (x) = x, the model simplifies significantly. Under this configuration, the process Yt is assumed to follow a Poisson distribution conditional on its past values. Specifically, Yt is Poisson distributed with a conditional mean λt = E (Yt∣Yt−1, Yt−2, …), which is a linear function of both its past values and the lagged values of λt. The model is characterized by the equation:
λ t = β 0 + i = 1 p α y t i + j = 1 q β j λ t j
with β 0 > 0 and α 1 , ,   α p   , , β 1 , ,   β q   0 where the coefficients αk and βi are non-negative. When the model is simplified in this way, it is referred to as an INGARCH model of order p and q (abbreviated as INGARCH (p, q)), or simply as an INGARCH(p) model if q = 0. These models are also known as autoregressive conditional Poisson (ACP) models [10].
In situations where the conditional variance of Yt is larger than its mean λt, indicating over-dispersion, the negative binomial distribution is employed instead of the Poisson distribution. In this scenario, Yt is assumed to follow a negative binomial distribution conditional on past information, specifically Yt∣Ft−1~NegBinom (λt, ∅), where ∅ represents the overdispersion parameter [27]. As ∅ increases, the model converges towards the Poisson distribution. This negative binomial extension accounts for over-dispersion and provides a more flexible model in such cases.
The estimation of parameters in INGARCH models typically uses conditional likelihood methods, with special attention given to the asymptotic properties. The standard INGARCH model relies on past values of the forecast variable, predicting future values based on this historical data. The INGARCHX model is an extension of this framework that incorporates additional external covariates to the INGARCH model, allowing for a more comprehensive analysis by including exogenous factors in the prediction model [28].

2.5. Support Vector Regression (SVR)

The methodology employed in this study involves the use of Support Vector Regression (SVR) to transform the original input data into a higher-dimensional feature space [29]. This transformation enables the construction of a linear regression model in the newly mapped feature space, facilitating more accurate predictions. Given a dataset Z = x i y i i = 1 N , where xi ∈ Rn represents the input variables, yi is the corresponding scalar output and N is the size of the data set, the SVR model is formulated as:
f x = w T ϕ x + b
In this equation, w denotes the weight vector, b is the bias term, and ϕ(x) is a function that maps the input data x into a higher-dimensional space. The parameters w and b are determined by minimizing a regularized risk function, which combines model complexity and prediction error:
R θ = 1 2 w 2 + c 1 N Σ i = 1 N L ε y i , f x i
The first component of the risk function, 1 2 w 2 is the regularisation term, which controls the complexity of the model by penalising large weights, ensuring that the model remains as flat as possible. The second component 1 N Σ i = 1 N L ε y i , f x i is the empirical error term, evaluated using the ε -insensitive loss function as defined by:
L ε y i , f x i = f x = y i , f x i ε ; y i f x i ε ,   0   y i f x i < ε ,
This loss function allows the model to ignore small deviations (within ε ) from the actual values, thereby focusing only on significant prediction errors. For this study, the Radial Basis Function (RBF) kernel was utilized to map the input data into the higher-dimensional feature space. The RBF kernel is defined as:
k x i , x j = e x p γ x x i 2
The effectiveness of the RBF kernel depends on the proper selection of two hyperparameters: the regularization parameter C, which balances the trade-off between the model’s complexity and its prediction accuracy, and the kernel parameter γ, which defines the influence of a single training example. These parameters were optimized during the training process to enhance the model’s performance. Additionally, SVR, in conjunction with the radial basis function, was applied to model the relationship between input variables and outcomes, similar to the approach used in the INGARCHX model for time series forecasting. The structural design of the SVR architecture is typically illustrated visually to provide a clearer understanding of the kernel’s composition and data flow (Figure 3).

2.6. Artificial Neural Network

Over the past few decades, Artificial Neural Networks (ANNs) have emerged as a dominant machine learning methodology. In the realm of time series analysis, a specialized form of ANN has gained traction, known as the autoregressive neural network. This variant is particularly adept at handling temporal data by incorporating time lags as input features.
The mathematical framework underpinning ANNs in time series contexts can be conceptualized as a neural network with an implicit functional representation of time. For multi-layer feed-forward autoregressive neural networks, the final output Yt can be expressed through the following equation
Y t = α 0 + j = 1 q α j g β 0 j + i = 1 p β i j Y t p + ε t
In this formulation the α j (j = 0, 1, 2, …, q) and β i j (i = 0, 1, 2, …, p; j = 0, 1, 2, …, q) represent the model parameters also referred to as synapsis weights, p signifies the number of input nodes, q denotes the number of hidden nodes, and g represents the activation function. The training process for ANNs in this context focuses on minimizing the disparity between actual and predicted values. This is achieved through an error function specific to autoregressive ANNs, which can be expressed as
E = 1 N Σ t = 1 N e t 2 = 1 N Σ t = 1 N X t w 0 + j = 1 q w J g w o j + Σ i = 1 p w i j X t i } 2
where N represents the total number of error terms. The parameters of the neural network (wij) are adjusted based on the magnitude of changes in Δwij as Δ w i j = η E w i j , where η is the learning rate [14,30]. This approach shares similarities with INGARCHX and SVRX models in that exogenous variables can be incorporated to account for external factors. When extended in this manner, the model becomes known as an ANNX model. The structural design of the ANN architecture is typically illustrated visually to provide a clearer understanding of the network’s composition and data flow (Figure 4).

2.7. Model Evaluation Metrics

To assess the accuracy and reliability of predictive models, two key performance indicators were employed: the mean square error (MSE) and its square root, the root mean square error (RMSE).
The Mean Square Error (MSE) is defined as the average of the squared differences between predicted and actual values. It is calculated by summing the squared differences between each predicted value and its corresponding actual value, then dividing by the total number of observations. The formula for MSE is presented as
M S E = i = 1 N y i y ^ i 2 N
Root Mean Square Error (RMSE) is described as the standard error of estimate in regression analysis. It is calculated by taking the square root of the MSE. The formula for RMSE is given as
R M S E = i = 1 N y i Y ^ i N 2
where y i is the actual value, y ^ i is the predicted value, and N is the number of observations The sum is taken from i = 1 to N.

2.8. Diebold–Mariano Test

The Diebold–Mariano (DM) test, is used to assess whether there is a statistically significant difference between two forecasting models based on their residuals. The test considers the residuals of two models (r1 and r2) and di was the absolute difference between these residuals:
di = |r1| − |r2|. An autocovariance function γk is calculated as
γ k = 1 n i = k + 1 n d 1 d ¯ d i k d ¯
where d ¯ is the mean of di, and the sum is from i = k + 1 to n.
The DM test statistic is then given by
D M = d ¯ γ 0 + 2 k = 1 h 1 γ k n
where the sum in the denominator goes from k = 1 to h − 1, and h = n1/3 + 1. For hypothesis testing: Null hypothesis (H0): E(d) = 0, meaning the forecast accuracy is similar for both models. Alternative hypothesis (H1): E(d) ≠ 0, indicating different forecast accuracies between the models. This test helps researchers determine if one forecasting model significantly outperforms another in terms of accuracy.

3. Results

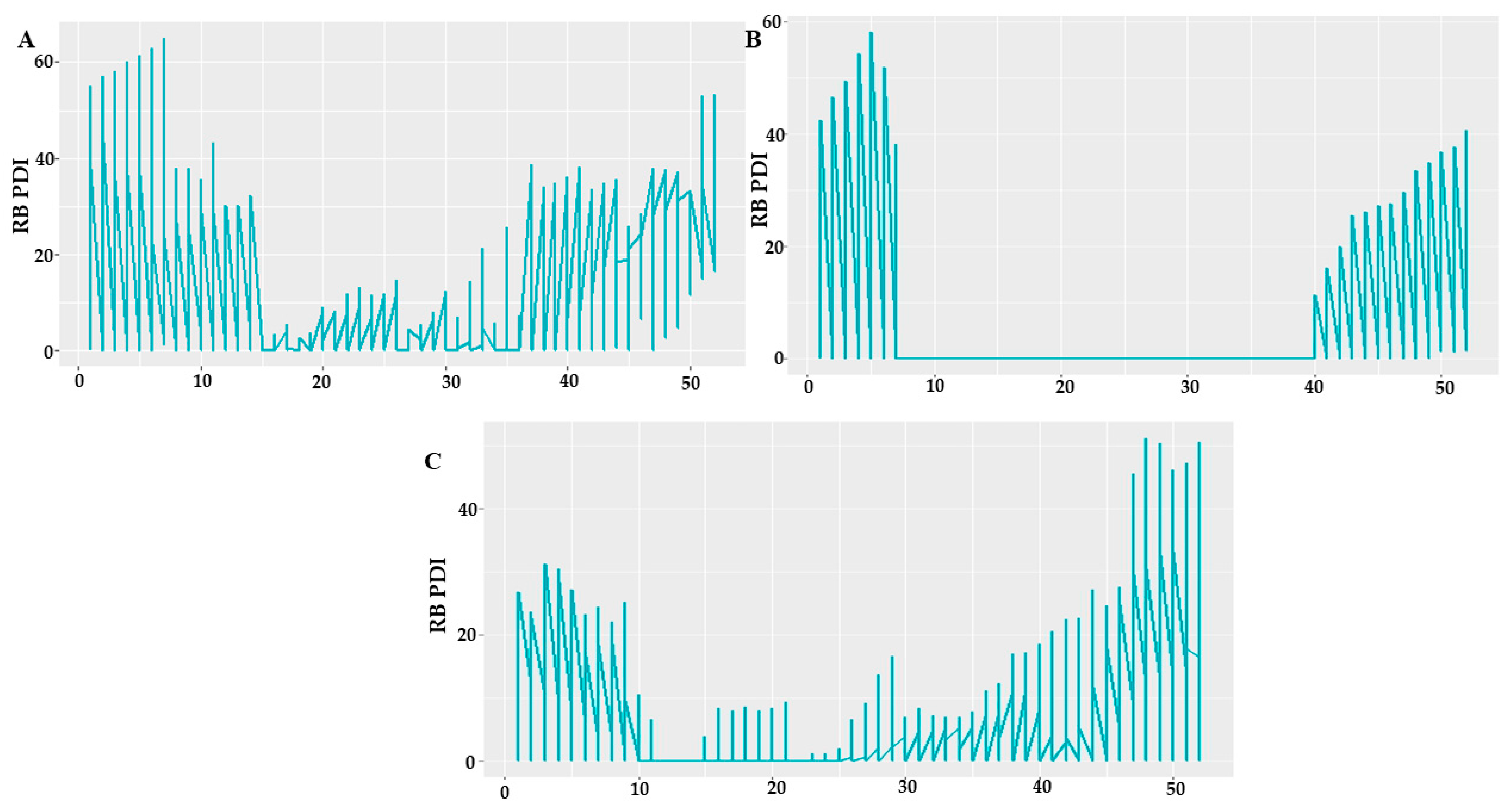
The time series plot of rice blast disease incidence from 2015 to 2023 across three locations in Tamil Nadu is presented in Figure 4. The plot reveals that, in all the locations studied, the disease was most severe between the 40th and 15th Standard Meteorological Weeks (SMWs), with minor occurrences during other periods as well. However, an exception was observed at the Thanjavur centre, where severe incidence was confined to the period between the 40th and 6th SMWs.
The summary statistics of the dependent variable, i.e., the rice blast, and the exogenous weather variable given in Table 1 are self-explanatory. For instance, rice blast incidence at Tirunelveli, Thanjavur and Coimbatore were 11.54, 3.88 and 3.30 per cent, respectively. The data under consideration were highly heterogeneous in nature, with rice blast incidence varying in a wide range (0 to 65), leading to a high standard deviation (SD) and abnormality in data distribution as indicated by skewness and kurtosis values out of the normal range.

3.1. Correlation Analysis

The Pearson correlation coefficients between rice blast incidence and weather parameters are presented in Table 2. A strong positive correlation was observed between rice blast incidence and evening relative humidity (RHe), morning relative humidity (RHm), and leaf wetness (LW). Conversely, a strong negative correlation was noted with minimum temperature (MinT) at the Tirunelveli centre. In Thanjavur, the morning and evening relative humidity (RHm and RHe) showed strong positive correlations, while maximum temperature (MaxT) and minimum temperature (MinT) exhibited strong negative correlations. Similarly, in Coimbatore, RHm and RHe had strong positive correlations with disease incidence, whereas MinT displayed a strong negative correlation. Overall, the correlation analysis indicates that rice blast incidence is associated with MaxT, MinT, RHm, RHe, and LW, highlighting the influence of weather heterogeneity on the disease’s variability.

3.2. Stepwise Regression Analysis

To determine the weather factors influencing rice blast incidence, stepwise regression analysis was conducted, and the results are presented in Table 3. The findings indicate that weather parameters such as MaxT, RHe, EVP, and RF in Thanjavur; MinT, RHm, WS, LW, and RF in Tirunelveli; and MaxT, RHm, RHe, and EVP in Coimbatore have a significant impact on rice blast incidence. Although these variables exhibit a notable influence, the model’s R2 value suggests moderate explanatory power for Tirunelveli and Coimbatore. However, the R2 value for Thanjavur is lower, indicating a weaker fit, likely due to non-linearity and high heterogeneity in the dependent variables.

3.3. INGARCHX Model

Prior to the development of the INGARCH model, the Box–Pierce non-correlation test was used to assess the presence of autocorrelation in the blast incidence count time series data (Table 4). The test results indicated a highly significant autocorrelation (p < 0.0001) across all centres, confirming the presence of autocorrelation in the data. The INGARCH model, incorporating exogenous weather variables, was applied and while the overall model parameters were significant, none of the weather variables were significant across all locations. The over-dispersion parameters obtained for Thanjavur (3.97), Tirunelveli (1.64), and Coimbatore (7.10) suggest that the data are heterogeneous and over-dispersed, fitting a negative binomial distribution. The over-dispersion parameters for Thanjavur (3.97), Tirunelveli (1.64), and Coimbatore (7.10) indicate that the data are heterogeneous and over-dispersed, aligning with a negative binomial distribution. Further diagnostic checks using the Box–Pierce test on the residuals confirmed that they were autocorrelated and non-random (p < 0.0001) at all locations. The inability of the INGARCHX model to account for the data’s heterogeneity and complexity likely explains the non-significance of the weather variables and the persistence of significant residuals. This suggests that the model may not fully capture the intricate relationships within the data.

3.4. SVRX Model

The parameter specifications for the SVRX model applied to rice blast incidence at the study locations are outlined in Table 5. The model used a Radial Basis Function (RBF) kernel across all three centres (Thanjavur, Tirunelveli, and Coimbatore). The number of support vectors ranged from 223 to 269, with a cost of 1. The gamma values were 0.125 for Thanjavur, 0.09 for Tirunelveli, and 0.111 for Coimbatore. The epsilon value was set to 0.1 across all locations, with cross-validation errors of 0.019 for Thanjavur, 0.66 for Tirunelveli, and 0.370 for Coimbatore. The Box–Pierce non-correlation test for residuals showed significant autocorrelation (p < 0.001) for all locations, indicating that the residuals were not random.

3.5. ANNX Model

The ANNX model parameters presented in Table 5 show that for Thanjavur, Tirunelveli, and Coimbatore, the model configurations included input lags of 9, 2, and 2, respectively. Each location had one dependent variable and one hidden layer, with the number of hidden nodes set to 1, 2 and 2 for each location, respectively. Eight exogenous variables were used across all locations. The model architecture was a feed-forward network with a total of 12, 31, and 27 parameters (or synaptic weights) for Thanjavur, Tirunelveli, and Coimbatore, respectively. The activation function used for the input-to-hidden layer was sigmoidal, and an identity function was applied from the hidden layer to the output layer. Diagnostic checking using the Box–Pierce non-correlation test indicated that the residuals were uncorrelated and random for Thanjavur (p = 0.065), and highly uncorrelated for Tirunelveli (p = 0.575) and Coimbatore (p = 0.337), suggesting a good fit for these locations.

3.6. Model Performance Evaluation Across Different Centres

Comparisons of model performance for predicting rice blast incidence in Thanjavur, Tirunelveli, and Coimbatore using three different models—INGARCHX, ANNX, and SVRX—are shown in Table 6. The performance is evaluated based on Mean Squared Error (MSE) and Root Mean Squared Error (RMSE) for both the training and testing datasets. Table 6 highlights that the ANNX model consistently demonstrated superior performance across all locations and datasets, particularly excelling in the training sets with the lowest MSE and RMSE values.

4. Discussion

Based on MSE and RMSE in both training and testing datasets, the results of modelling and forecasting rice blast incidence at the research areas using various models were evaluated, as indicated in Table 6. The investigation revealed that the stepwise regression model’s fitness was low (low R2) as a result of the dependent variable’s high heterogeneity and non-linearity. However, ref. [23] demonstrated a strong association between the onset of rice blast illness and the morning, afternoon, and dew point temperatures, as well as evaporation and dew explained using stepwise regression. The reduced MSE and RMSE values of the ANNX model among the evaluated methods show that it performs better than other machine learning models and classical statistical models, including SVR and INGARCH, in both training and testing datasets in forecasting blast incidence. Additionally, in both datasets, the SVRX model fared better than the INGARCHX model. ANNX > SVRX > INGARCHX was the model’s performance rating in both the training and validation stages at all three locations.
The ANN model outperformed the conventional autoregressive integrated moving average and SVR models, according to similar findings published by [31,32]. Table 5 illustrates how candidate hyperparameters for the SVR model were chosen from a variety of user-defined combinations. The robustness of the models was confirmed by 10-fold cross-validation. This method allowed the models to be trained on 80% of the data and tested on the remaining 20%, thereby providing reliable performance estimates and reducing the risk of overfitting. In addition to cross-validation, an independent test set comprising 20% of the data was held out for further validation. Using a feed-forward network and the “Levenberg-Marquardt back-propagation algorithm”, the ANN model was improved via repeated testing. The model was modified over 25 iterations and a maximum of 1000 cycles, with the learning rate and momentum terms set at 0.03 and 0.01, respectively. Following testing of various input lag and hidden node combinations, the final model parameters were selected based on the lowest possible training error. Figure 5 shows how well the ANNX model predicted the incidence of rice blasts, exceeding both the INGARCHX and SVRX models in terms of accuracy. The model’s prediction disparities were emphasized by the MSE and RMSE comparison criterion (Figure 6). The ANN model’s consistent performance across both cross-validation and independent test datasets confirmed its ability to generalize well to unseen data, reinforcing its suitability for practical applications. The Diebold–Mariano test (Table 7) further validated the ANN model’s performance, confirming the statistical significance of its superiority over traditional models such as INGARCHX and SVR. These findings highlight the practical importance of the ANN model in capturing complex, non-linear relationships between weather variables and rice blast incidence. In both datasets, the ANN model outperformed the INGARCHX and SVRX models. The superior performance of the ANN model across different datasets and statistical validation through tests like Diebold–Mariano strongly supports its applicability for real-time disease prediction in varied environmental conditions.
The RBF function in SVR approached a Gaussian distribution with an increasing gamma value, whereas the ANN model used a sigmoidal activation function to map inputs to the hidden layer. Since count time series data are produced from non-Gaussian distributions, this may help to explain why INGARCH has trouble identifying patterns in these kinds of data. Similar outcomes were noted by [14], who found that when it came to modelling and forecasting rice gall midge, ANN performed better than INGARCH and SVR. Further evidence that the ANNX model fits the data better than the other two comes from diagnostic checks that showed the residuals from the SVRX and INGARCHX models were non-random and correlated, while those from the ANNX model were random and uncorrelated. Table 7 presents the inter-model significance differences in a simple manner.
Machine learning algorithms provide better predictive performance, as shown by similar studies by [33] for early potato yield prediction, [34] for rice blast, and [35] for wheat yield in Pakistan. Earlier models, such as those developed in Japan, Korea, and India, often relied on linear regression models and statistical methods, which limited their ability to capture complex non-linear interactions between environmental factors and disease incidence. Many models, including EPIBLAST in Korea and PYRICULARIA in Japan, struggled to integrate important variables like nitrogen fertilization and canopy-level leaf wetness (LW) [36,37]. The limited incorporation of these factors reduced the reliability of predictions, as excessive nitrogen or microclimatic variability can alter disease severity significantly. Another shortcoming in these earlier models was the lack of real-time data integration. Many models, such as those developed in Taiwan and Iran, relied heavily on historical weather data collected from stations located far from rice fields [37]. This spatial disconnect resulted in inaccurate predictions, especially during periods of rapid environmental changes. Our machine learning models (ANN and SVR) address these limitations by incorporating a wider range of inputs—such as solar radiation, wind speed, and localized meteorological data—collected from in-field sensors. This reduces the spatial and temporal uncertainties that limit older models. Furthermore, statistical validation through the Diebold–Mariano (DM) test confirmed the superiority of ANN over traditional approaches, ensuring more robust predictions for Tamil Nadu’s climate. Unlike simpler regression-based models, the developed ANN can detect non-linear relationships, making it better suited for conditions where multiple variables interact simultaneously, such as high humidity combined with fluctuating temperatures. This allows for early disease detection and timely interventions. Recent models, like EPIRICE, and modifications to older frameworks, such as BLASTSIM, have shown improvements by using climate change projections and geographic information systems (GIS) to predict disease risk under different future scenarios [36]. The model developed in this study aligns with these advancements by integrating real-time environmental inputs with localized weather data, thus improving prediction accuracy under variable climatic conditions.
The ANNX model has been shown to be more accurate than other models in predicting outbreaks of rice blast disease through field-level application. Farmers can gain useful insights into how weather variations may impact disease risk by utilizing the model, which incorporates essential meteorological characteristics including sunshine, minimum temperature and relative humidity. This model is a particularly useful tool for site-specific disease management because it provided localized predictions after being trained on data from certain regions of Tamil Nadu, namely Thanjavur, Tirunelveli, and Coimbatore. This makes it possible for farmers to prevent rice blast disease by adopting preventative measures, including modifying irrigation schedules, using fungicides at the required times and choosing more resilient rice types which were identified as critical but underutilized in previous models. These actions greatly lower the frequency and intensity of rice blast disease. Agricultural extension services can assist in converting the complex predictions of the ANNX model into practical insights for farmers. Based on the model’s predictions, these services can offer frequent updates that help farmers decide when to take preventive measures. The predictive models developed in this study have significant practical applications for real-time rice blast disease management. Farmers and agricultural extension services can leverage these models through mobile apps or web-based platforms. By inputting current meteorological data, the models can provide real-time alerts on the likelihood of disease outbreaks, allowing farmers to take preventive actions such as applying fungicides or adjusting irrigation schedules. Additionally, the models can be integrated into Decision Support Systems (DSS) used by agricultural officers to recommend the optimal timing for interventions based on weather forecasts. Governments and cooperatives could also use these models to develop early warning systems, notifying farmers of potential risks during critical growth stages. Moreover, combining the models with smart farming technologies and IoT devices would enable automatic weather data input, offering real-time recommendations for precise disease management, reducing crop losses, and improving overall yield sustainability.

5. Conclusions

This study demonstrates the effectiveness of using machine learning models, particularly the Artificial Neural Network (ANN) model, for predicting rice blast disease based on meteorological data. The models developed in this research can serve as vital tools for farmers and agricultural extension services in Tamil Nadu, India, allowing for timely interventions to minimize crop losses and optimize fungicidal sprays. There is significant scope to scale up these models to other rice-growing regions beyond Tamil Nadu. The developed models not only improve upon the predictive accuracy of traditional approaches but also offer a practical solution for early disease management. By addressing the limitations identified in previous studies, such as inadequate data collection, lack of non-linear modelling, and accounting for regional climatic variations, the proposed model is expected to forecast rice blast disease more accurately. By integrating these models into national agricultural strategies and facilitating the development of real-time disease monitoring systems and decision support tools, this research paves the way for more reliable and accessible forecasting systems for sustainable agriculture.

Author Contributions

Conceptualization, M.A.G., G.C., S.G.P. and S.R.; methodology, M.A.G., G.C., S.G.P. and S.R.; software, M.A.G., S.G.P. and S.R.; validation M.A.G., G.C., S.G.P. and S.R.; formal analysis, M.A.G., G.C., S.G.P. and S.R.; investigation, G.C., K.A., S.G.P. and S.R.; resources G.C. and M.S.; data curation, M.A.G.; writing—original draft preparation, M.A.G. and G.C.; writing—review and editing, G.C., J.R., S.N.K. and K.A.; visualization, G.C., S.G.P. and S.R.; supervision, G.C., S.G.P. and S.R.; project administration, G.C. and K.A. All authors have read and agreed to the published version of the manuscript.

Funding

This research received no external funding.

Data Availability Statement

The data that support the findings of this study are available from the corresponding author upon reasonable request.

Acknowledgments

The authors gratefully acknowledge the support provided by the Department of Plant Pathology and Department of Rice, TNAU, Coimbatore, Tamil Nadu, India.

Conflicts of Interest

The authors declare no conflicts of interest.

References

  1. Mahajan, G.; Kumar, V.; Chauhan, B.S. Rice Production in India. In Rice Production Worldwide; Springer: Berlin/Heidelberg, Germany, 2017; pp. 53–91. [Google Scholar]
  2. Ramakrishna, B.; Degaonkar, C. Rice Export from India: Trends, Problems and Prospects. Int. J. Res. Granthaalayah 2016, 4, 122–136. [Google Scholar] [CrossRef]
  3. Datta, P.; Debnath, U.; Panda, C. Climate Change Implications for Rice Cultivation. Asian J. Agric. Hortic. Res. 2019, 4, 1–4. [Google Scholar] [CrossRef]
  4. Huluka, W.; Kumsa, L. Analysis of Rice (Oryza sativa L. Ssp. Japonica) Wall Associated Receptor-like Protein Kinase Gene’s Promoter Region and Regulatory Elements. Curr. Plant Biol. 2022, 31, 100254. [Google Scholar] [CrossRef]
  5. Kumar, A.; Bhowmik, B. Rice Cultivation and Its Disease Classification in Precision Agriculture. In Proceedings of the 2023 International Conference on Artificial Intelligence and Smart Communication (AISC), Greater Noida, India, 27–29 January 2023; pp. 200–205. [Google Scholar]
  6. Windi, W.; Novriyenni; Khair, H. Application of Case Based Reasoning Method to Diagnose Rice Plant Diseases. J. Artif. Intell. Eng. Appl. 2023, 3, 498–503. [Google Scholar] [CrossRef]
  7. Simkhada, K.; Thapa, R. Rice Blast, a Major Threat to the Rice Production and Its Various Management Techniques. Turk. J. Agric.-Food Sci. Technol. 2022, 10, 147–157. [Google Scholar] [CrossRef]
  8. Rathod, S.; Yerram, S.; Arya, P.; Katti, G.; Rani, J.; Padmakumari, A.P.; Somasekhar, N.; Padmavathi, C.; Ondrasek, G.; Amudan, S. Climate-Based Modeling and Prediction of Rice Gall Midge Populations Using Count Time Series and Machine Learning Approaches. Agronomy 2021, 12, 22. [Google Scholar] [CrossRef]
  9. Fokianos, K.; Rahbek, A.; Tjøstheim, D. Poisson Autoregression. J. Am. Stat. Assoc. 2009, 104, 1430–1439. [Google Scholar] [CrossRef]
  10. Zhu, F. Modeling Time Series of Counts with COM-Poisson INGARCH Models. Math. Comput. Model. 2012, 56, 191–203. [Google Scholar] [CrossRef]
  11. Weiß, C.H. Modelling Time Series of Counts with Overdispersion. Stat. Methods Appl. 2009, 18, 507–519. [Google Scholar] [CrossRef]
  12. Tanawi, I.N.; Vito, V.; Sarwinda, D.; Tasman, H.; Hertono, G.F. Support Vector Regression for Predicting the Number of Dengue Incidents in DKI Jakarta. Procedia Comput. Sci. 2021, 179, 747–753. [Google Scholar] [CrossRef]
  13. Rathod, S.; Singh, K.; Patil, S.; Naik, R.; Ray, M.; Meena, V.S. Modeling and Forecasting of Oilseed Production of India through Artificial Intelligence Techniques. Indian J. Agric. Sci. 2018, 88, 22–27. [Google Scholar] [CrossRef]
  14. Amaratunga, V.; Wickramasinghe, L.; Perera, A.; Jayasinghe, J.; Rathnayake, U. Artificial Neural Network to Estimate the Paddy Yield Prediction Using Climatic Data. Math. Probl. Eng. 2020, 2020, 8627824. [Google Scholar] [CrossRef]
  15. Su, Y.; Xu, H.; Yan, L. Support Vector Machine-Based Open Crop Model (SBOCM): Case of Rice Production in China. Saudi J. Biol. Sci. 2017, 24, 537–547. [Google Scholar] [CrossRef] [PubMed]
  16. Ma, C.; Liang, Y.; Lyu, X. Weather Analysis to Predict Rice Pest Using Neural Network and D-S Evidential Theory. In Proceedings of the 2019 International Conference on Cyber-Enabled Distributed Computing and Knowledge Discovery (CyberC), Guilin, China, 17–19 October 2019; pp. 277–283. [Google Scholar]
  17. Paul, R.; Vennila, S.; BHAT, M.; Yadav, S.; Sharma, V.; Nisar, S.; Panwar, S. Prediction of Early Blight Severity in Tomato (Solanum lycopersicum) by Machine Learning Technique. Indian J. Agric. Sci. 2019, 89, 169–175. [Google Scholar] [CrossRef]
  18. Huang, T.; Yang, R.; Huang, W.; Huang, Y.; Qiao, X. Detecting Sugarcane Borer Diseases Using Support Vector Machine. Inf. Process. Agric. 2018, 5, 74–82. [Google Scholar] [CrossRef]
  19. Moritz, S.; Sardá, A.; Bartz-Beielstein, T.; Zaefferer, M.; Stork, J. Comparison of Different Methods for Univariate Time Series Imputation in R. arXiv 2015, arXiv:1510.03924. [Google Scholar]
  20. Chhabra, G. Comparison of Imputation Methods for Univariate Time Series. Int. J. Recent Innov. Trends Comput. Commun. 2023, 11, 286–292. [Google Scholar] [CrossRef]
  21. Sinsomboonthong, S. Performance Comparison of New Adjusted Min-Max with Decimal Scaling and Statistical Column Normalization Methods for Artificial Neural Network Classification. Int. J. Math. Math. Sci. 2022, 2022, 3584406. [Google Scholar] [CrossRef]
  22. Amith, G.; Geethalakshmi, V.; Dheebakaran, G.; Karthikeyan, G. Influence of Weather Variables on the Incidence and Development of Rice Leaf Blast (Magnapor the Oryzae). Res. Crops 2022, 23, 682–688. [Google Scholar]
  23. Kedem, B.; Fokianos, K. Regression Models for Time Series Analysis; John Wiley & Sons: Hoboken, NJ, USA, 2005; ISBN 0-471-46168-7. [Google Scholar]
  24. Heinen, A. Modelling Time Series Count Data: An Autoregressive Conditional Poisson Model. 2003. Available online: https://ssrn.com/abstract=1117187 (accessed on 1 July 2003).
  25. Ferland, R.; Latour, A.; Oraichi, D. Integer-valued GARCH Process. J. Time Ser. Anal. 2006, 27, 923–942. [Google Scholar] [CrossRef]
  26. Christou, V.; Fokianos, K. Quasi-Likelihood Inference for Negative Binomial Time Series Models. J. Time Ser. Anal. 2014, 35, 55–78. [Google Scholar] [CrossRef]
  27. Liboschik, T.; Fokianos, K.; Fried, R. Tscount: An R Package for Analysis of Count Time Series Following Generalized Linear Models. J. Stat. Soft. 2017, 82, 1–51. [Google Scholar] [CrossRef]
  28. Vapnik, V. The Nature of Statistical Learning Theory; Springer Science & Business Media: Berlin/Heidelberg, Germany, 2013; ISBN 1-4757-3264-3. [Google Scholar]
  29. Zhang, G.P. Time Series Forecasting Using a Hybrid ARIMA and Neural Network Model. Neurocomputing 2003, 50, 159–175. [Google Scholar] [CrossRef]
  30. Kumari, P.; Mishra, G.; Srivastava, C. Time Series Forecasting of Losses Due to Pod Borer, Pod Fly and Productivity of Pigeonpea (Cajanus cajan) for North West Plain Zone (NWPZ) by Using Artificial Neural Network (ANN). Int. J. Agric. Stat. Sci. 2014, 10, 15–21. [Google Scholar]
  31. Chitikela, G.; Admala, M.; Ramalingareddy, V.K.; Bandumula, N.; Ondrasek, G.; Sundaram, R.M.; Rathod, S. Artificial-Intelligence-Based Time-Series Intervention Models to Assess the Impact of the COVID-19 Pandemic on Tomato Supply and Prices in Hyderabad, India. Agronomy 2021, 11, 1878. [Google Scholar] [CrossRef]
  32. Piekutowska, M.; Niedbała, G.; Piskier, T.; Lenartowicz, T.; Pilarski, K.; Wojciechowski, T.; Pilarska, A.A.; Czechowska-Kosacka, A. The Application of Multiple Linear Regression and Artificial Neural Network Models for Yield Prediction of Very Early Potato Cultivars before Harvest. Agronomy 2021, 11, 885. [Google Scholar] [CrossRef]
  33. Liu, L.-W.; Hsieh, S.-H.; Lin, S.-J.; Wang, Y.-M.; Lin, W.-S. Rice Blast (Magnaporthe oryzae) Occurrence Prediction and the Key Factor Sensitivity Analysis by Machine Learning. Agronomy 2021, 11, 771. [Google Scholar] [CrossRef]
  34. Haider, S.A.; Naqvi, S.R.; Akram, T.; Umar, G.A.; Shahzad, A.; Sial, M.R.; Khaliq, S.; Kamran, M. LSTM Neural Network Based Forecasting Model for Wheat Production in Pakistan. Agronomy 2019, 9, 72. [Google Scholar] [CrossRef]
  35. Katsantonis, D.; Kadoglidou, K.; Dramalis, C.; Puigdollers, P. Rice Blast Forecasting Models and Their Practical Value: A Review. Phytopathol. Mediterr. 2017, 56, 187–216. [Google Scholar]
  36. Kim, C.K.; Kim, C.H. The Rice Leaf Blast Simulation Model EPIBLAST; Springer: Berlin/Heidelberg, Germany, 1993; pp. 309–321. [Google Scholar]
  37. Izadyar, M.; Baradaran, P. A New Method for Rice Leaf Blast Forecasting. 1990. Available online: https://www.cabidigitallibrary.org/doi/full/10.5555/19922317492 (accessed on 11 April 1992).
Figure 1. Rice blast incidence documented in study area. The image was captured by the author at Paddy Breeding Station, TNAU, Coimbatore, Tamil Nadu, India.
Figure 1. Rice blast incidence documented in study area. The image was captured by the author at Paddy Breeding Station, TNAU, Coimbatore, Tamil Nadu, India.
Agriengineering 06 00246 g001
Figure 2. Study area for rice blast incidence in Tamil Nadu.
Figure 2. Study area for rice blast incidence in Tamil Nadu.
Agriengineering 06 00246 g002
Figure 3. Architecture of the SVR (a) and ANN (b) models.
Figure 3. Architecture of the SVR (a) and ANN (b) models.
Agriengineering 06 00246 g003
Figure 4. Time series plots of rice blast occurrence at Tirunelveli (A), Thanjavur (B), and Coimbatore (C).
Figure 4. Time series plots of rice blast occurrence at Tirunelveli (A), Thanjavur (B), and Coimbatore (C).
Agriengineering 06 00246 g004
Figure 5. Actual vs. fitted plots of rice blast occurrence, Tirunelveli (A), Thanjavur (B), and Coimbatore (C).
Figure 5. Actual vs. fitted plots of rice blast occurrence, Tirunelveli (A), Thanjavur (B), and Coimbatore (C).
Agriengineering 06 00246 g005
Figure 6. Comparison of performance of each model based on error metrics MSE and RMSE of both testing and training set for Tirunelveli, Thanjavur, and Coimbatore.
Figure 6. Comparison of performance of each model based on error metrics MSE and RMSE of both testing and training set for Tirunelveli, Thanjavur, and Coimbatore.
Agriengineering 06 00246 g006
Table 1. Summary statistics of rice blast incidence at study locations.
Table 1. Summary statistics of rice blast incidence at study locations.
LocationStatisticsRBMaxTMinTRHmRHeWSRFSRLW
TirunelveliMean11.5433.0825.6366.2272.925.211.71496.075.93
Std. Error0.730.150.090.850.680.140.34.990.12
Skewness1.210.189−0.086−1.01−1.130.140.34.990.12
Kurtosis0.59−0.224−0.4721.931.17−0.0751.260.34−0.88
Minimum024.7720.542.853.721.750128.70.02
Maximum6540.9729.8192.1895.3815.6463.14693.7510.82
SD14.973.241.9817.4317.582.916.19101.922.55
ThanjavurStatisticsRBMaxTMinTRHmRHeWSRFSSEVP
Mean3.8833.2123.2789.6059.124.892.696.054.41
Std. Error0.360.100.090.240.640.100.200.080.06
Skewness2.96−0.321.39−0.94−1.080.964.16−0.51−0.12
Kurtosis8.60−0.9718.190.172.431.3725.18−0.25−0.24
Minimum0.0026.3716.4468.4352.780.000.000.000.09
Maximum58.2338.8915.2999.7198.4315.7455.2910.119.76
SD9.782.782.566.5917.562.745.662.181.74
CoimbatoreStatisticsRBMaxTMinTRHmRHeWSRFSSEVP
Mean3.3031.922.6284.352.646.362.176.4697.16
Std. Error0.250.120.090.180.530.130.210.128.32
Skewness2.260.88−1.06−0.61−0.381.73.290.941.06
Kurtosis5.57−0.721.180.77−0.163.1713.27.15−0.71
Minimum026.6416.169.0522.712.3501.073.77
Maximum25.6037.525.85947517.6828.0223.749.36
SD4.942.331.743.4810.232.494.032.326
RB—Rice Blast; MaxT—Maximum Temperature; MinT—Minimum Temperature; RHm—Relative Humidity Morning; RHe—Relative Humidity Evening; WS—Wind Speed; RF—Rainfall; SR—SolarRadiation; SS—Sunshine; LW—Leaf wetness; EVP—Evaporation.
Table 2. Pearson correlation coefficients between rice blast incidence and meteorological variables at study locations.
Table 2. Pearson correlation coefficients between rice blast incidence and meteorological variables at study locations.
Location RBMaxTMinTRHm RHeWSRFSRLW
Tirunelveli RB1.00
MaxT0.461.00
MinT−0.58−0.071.00
RHm0.590.04−0.441.00
Rhe0.72−0.040.51−0.141.00
WS−0.20−0.040.56−0.190.781.00
RF0.03−0.01−0.140.19−0.09−0.161.00
SR−0.32−0.020.38−0.450.070.16−0.301.00
LW0.590.05−0.290.22−0.16−0.190.08−0.251.00
Thanjavur RBMaxTMinTRHmRHeWSRFSS EVP
RB1.00
MaxT−0.481.00
MinT−0.330.631.00
RHm0.82−0.60−0.571.00
RHe0.72−0.52−0.250.371.00
WS−0.170.270.24−0.68−0.361.00
RF0.16−0.330.000.230.31−0.141.00
SS −0.210.44−0.04−0.08−0.30−0.04−0.411.00
EVP−0.450.700.45−0.60−0.550.36−0.360.561.00
Coimbatore RBMaxTMinTRHmRheWSRFSSEVP
RB1
MaxT−0.431
MinT−0.870.491
RHm0.50−0.25−0.111
Rhe0.62−0.580.290.341
WS−0.28−0.010.22−0.520.091
RF0.25−0.240.090.350.46−0.141
SS−0.090.64−0.08−0.23−0.74−0.11−0.281
EVP−0.280.07−0.04−0.15−0.22−0.16−0.030.051
RB—Rice Blast; MaxT—Maximum Temperature; MinT—Minimum Temperature; RHm—Relative Humidity Morning; RHe—Relative Humidity Evening; WS—Wind Speed; RF—Rainfall; SR—SolarRadiation; SS—Sunshine; LW—Leaf wetness; EVP—Evaporation.
Table 3. Stepwise regression analysis of rice blast incidence and meteorological variables at study locations.
Table 3. Stepwise regression analysis of rice blast incidence and meteorological variables at study locations.
CentreVariableEstimateS.E.t ValuePr > tR2Model R2p-Value
ThanjavurIntercept47.735.328.97<0.00010.27830.2822<2.2 × 10−16
MaxT−1.180.15−7.42<0.0001
RHe0.030.021.620.01
EVP−1.340.26−5.14<0.0001
RF−0.270.05−4.6<0.0001
TirunelveliIntercept81.7310.148.06<0.00010.47160.4779<2.22 × 10−16
MinT−3.780.36−10.47<0.0001
RHm0.210.036.29<0.0001
WS0.840.223.8<0.0001
LW1.40.216.38<0.0001
RF−0.180.08−2.1<0.01
CoimbatoreIntercept29.157.763.75<0.00010.4390.4483<2.22 × 10−16
MaxT−1.430.11−12.79<0.0001
RHm0.310.074.21<0.0001
RHe−0.160.03−5.23<0.0001
EVP0.010.0016.37<0.0001
Table 4. Parameter estimation of the INGARCHX model for rice blast incidence at study locations.
Table 4. Parameter estimation of the INGARCHX model for rice blast incidence at study locations.
CenterParametersEstimationS.E.Z ValueProbabilityBox–Pierce
Non-Correlation Test
ThanjavurIntercept5.07 × 10−72.51301OriginalResidual
beta_11.28 × 10−10.0462.74<0.001
MaxT2.99 × 10−100.05601χ2 = 573.03
(p < 0.0001)
χ2 = 464.61
(p < 0.0001)
MinT2.48 × 10−90.04901
RHm1.72 × 10−20.0251.670.501
RHe1.49 × 10−90.03401
WS9.06 × 10−60.01400.999
RF3.52 × 10−90.0601
SS1.44 × 10−20.0025.32<0.0001
EVP8.28 × 10−90.09301
Overdispersion Parameter (Ø)3.97
TirunelveliIntercept1.17354.380.03300.9737χ2 = 308.88
(p < 0.0001)
χ2 = 277.66
(p < 0.0001)
beta_15.83 × 10−50.07090.00080.9993
MinT1.84 × 10−80.384801
MaxT2.34 × 10−60.741201
RHm2.66 × 10−50.13800.00020.9998
RHe4.77 × 10−60.484001
WS1.69 × 10−50.05750.00030.9998
RF3.19 × 10−90.334901
SR3.79 × 10−100.345701
LW3.34 × 10−130.011801
Overdispersion Parameter (Ø)1.64
CoimbatoreIntercept3.27 × 10−44.176501χ2 = 301.73
(p < 0.0001)
χ2 = 200
(p < 0.0001)
beta_13.25 × 10−10.05615.789<0.0001
MaxT1.32 × 10−130.133901
MinT2.49 × 10−90.131301
RHm6.19 × 10−70.031601
RHe4.79 × 10−40.04640.01030.9918
WS5.28 × 10−80.053301
RF1.44 × 10−20.02640.5430.5869
SS6.01 × 10−90.066001
EVP7.43 × 10−90.00490.5100.1310
Overdispersion Parameter (Ø)7.10
Table 5. Parameter specifications of SVRX and ANNX models for rice blast incidence at study locations.
Table 5. Parameter specifications of SVRX and ANNX models for rice blast incidence at study locations.
ThanjavurTirunelveliCoimbatore
SVRX Model
Kernel functionRBFRBFRBF
No. of Support Vectors223269231
Cost111
Gamma0.1250.090.111
Epsilon0.10.10.1
Cross-validation error0.0190.660.370
Box–Pierce non-correlation test for residuals370.11 (p < 0.0001)110.67 (p < 0.0001)152.5 (p < 0.0001)
ANNX
Input lag922
Dependent/output variable111
Hidden layer111
Hidden nodes122
Exogenous variables888
Model9:1S:1L13:2S:1L11:2S:1L
Total number of parameters123127
Network typeFeed Forward
Activation function I:HSigmoidal
Activation function H:OIdentity
Box–Pierce non-correlation test for residuals0.203 (p = 0.65)0.313 (p = 0.575)0.921 (p = 0.3372)
Table 6. Comparison criteria for different models for rice blast incidence in training and testing datasets.
Table 6. Comparison criteria for different models for rice blast incidence in training and testing datasets.
CriteriaINGARCHXANNXSVRX
ThanjavurTraining MSE50.94112.1236.54
RMSE7.1373.4816.045
TestingMSE472.58407.89387.44
RMSE21.73820.19619.683
TirunelveliTrainingMSE228.8631.3856.832
RMSE15.125.6017.538
TestingMSE175.4914.97444.44
RMSE13.243.8696.66
CoimbatoreTraining MSE11.7742.5427.784
RMSE3.4311.5942.789
TestingMSE39.74610.89013.757
RMSE6.3043.303.709
Table 7. Diebold–Mariano test for comparison of performance of different models with training and testing data sets at study locations.
Table 7. Diebold–Mariano test for comparison of performance of different models with training and testing data sets at study locations.
Data TypeM1, M2M1, M3M2, M3
ThanjavurTraining 5.054
(<0.0001)
5.757
(<0.0001)
−3.848
(<0.0001)
Testing−6.161
(<0.0001)
−5.303
(<0.0001)
−3.152
(0.0023)
TirunelveliTraining 10.253
(<0.0001)
11.01
(<0.0001)
−3.154
(0.001741)
Testing2.4021
(0.021)
−1.8683
(0.069)
1.7255
(0.0921)
CoimbatoreTraining 5.7704
(<0.0001)
4.0486
(<0.0001)
−4.3679
(<0.0001)
Testing−3.1281
(0.003535)
−3.4715
(0.001395)
2.2673
(0.0296)
Disclaimer/Publisher’s Note: The statements, opinions and data contained in all publications are solely those of the individual author(s) and contributor(s) and not of MDPI and/or the editor(s). MDPI and/or the editor(s) disclaim responsibility for any injury to people or property resulting from any ideas, methods, instructions or products referred to in the content.

Share and Cite

MDPI and ACS Style

Arumugam Gopalakrishnan, M.; Chellappan, G.; Patil, S.G.; Rathod, S.; Ayyanar, K.; Ramasamy, J.; Nagaranai Karuppasamy, S.; Swaminathan, M. Climate-Based Prediction of Rice Blast Disease Using Count Time Series and Machine Learning Approaches. AgriEngineering 2024, 6, 4353-4371. https://doi.org/10.3390/agriengineering6040246

AMA Style

Arumugam Gopalakrishnan M, Chellappan G, Patil SG, Rathod S, Ayyanar K, Ramasamy J, Nagaranai Karuppasamy S, Swaminathan M. Climate-Based Prediction of Rice Blast Disease Using Count Time Series and Machine Learning Approaches. AgriEngineering. 2024; 6(4):4353-4371. https://doi.org/10.3390/agriengineering6040246

Chicago/Turabian Style

Arumugam Gopalakrishnan, Meena, Gopalakrishnan Chellappan, Santhosh Ganapati Patil, Santosha Rathod, Kamalakannan Ayyanar, Jagadeeswaran Ramasamy, Sathyamoorthy Nagaranai Karuppasamy, and Manonmani Swaminathan. 2024. "Climate-Based Prediction of Rice Blast Disease Using Count Time Series and Machine Learning Approaches" AgriEngineering 6, no. 4: 4353-4371. https://doi.org/10.3390/agriengineering6040246

APA Style

Arumugam Gopalakrishnan, M., Chellappan, G., Patil, S. G., Rathod, S., Ayyanar, K., Ramasamy, J., Nagaranai Karuppasamy, S., & Swaminathan, M. (2024). Climate-Based Prediction of Rice Blast Disease Using Count Time Series and Machine Learning Approaches. AgriEngineering, 6(4), 4353-4371. https://doi.org/10.3390/agriengineering6040246

Article Metrics

Back to TopTop