Comparative Analysis of Primary and Secondary Metabolites in the Peel of Eight Blood Orange Varieties
Abstract
1. Introduction
2. Materials and Methods
2.1. Plant Material and Sample Preparation
2.2. Fruit Morphological Characterization
2.3. Peel Color Determination
2.4. Analysis of Primary Metabolites by 1H-Nuclear Magnetic Resonance Spectroscopy (1H NMR)
2.5. Analysis of Secondary Metabolites by HPLC-Diode Array Detection-Electrospray Ionization-Mass Spectrometry (HPLC-ESI-DAD-MSn)
2.6. Statistical Analysis
3. Results
3.1. Morphological Parameters
3.2. External Peel Color
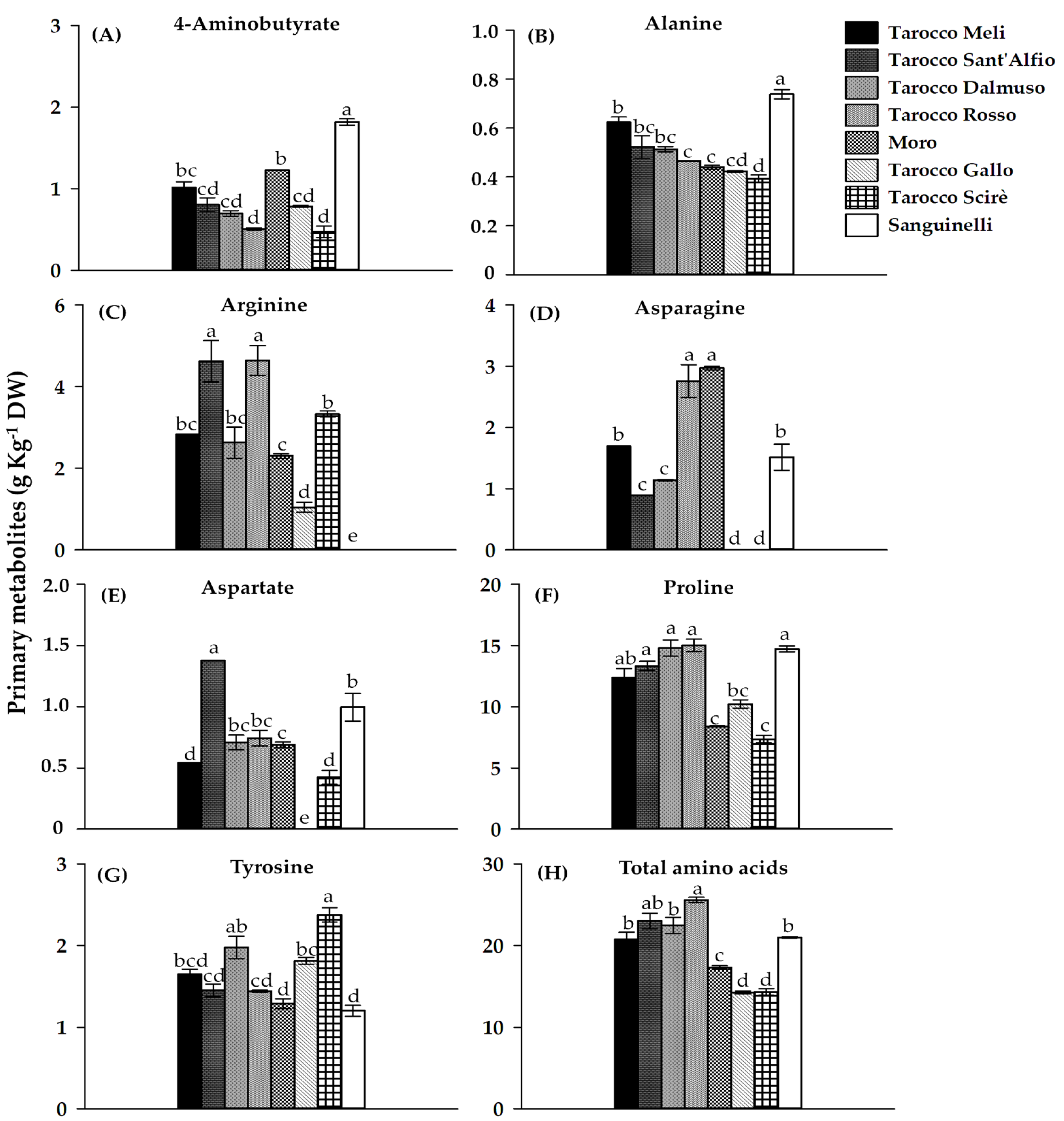
3.3. Primary Metabolites Content in Peel
3.4. Secondary Metabolites Content in Peel
3.5. Principal Component Analysis (PCA)
4. Discussion
5. Conclusions
Author Contributions
Funding
Data Availability Statement
Acknowledgments
Conflicts of Interest
References
- Andrade, M.A.; Barbosa, C.H.; Shah, M.A.; Ahmad, N.; Vilarinho, F.; Khwaldia, K.; Silva, A.S.; Ramos, F. Citrus By-Products: Valuable Source of Bioactive Compounds for Food Applications. Antioxidants 2023, 12, 38. [Google Scholar] [CrossRef] [PubMed]
- Forner-Giner, M.Á.; Ballesta-de los Santos, M.; Melgarejo, P.; Martínez-Nicolás, J.J.; Melián-Navarro, A.; Ruíz-Canales, A.; Continella, A.; Legua, P. Fruit Quality and Primary and Secondary Metabolites Content in Eight Varieties of Blood Oranges. Agronomy 2023, 13, 1037. [Google Scholar] [CrossRef]
- Food and Agriculture Organization of the United Nations (FAO) FAOSTAT. Available online: https://www.fao.org/faostat/en/#data/QCL (accessed on 1 April 2022).
- Tribulato, E.; Maccarrone, E.; La Rosa, G. Italian citrus cultivation. The present time and prospectives. In New Frontiers of Italian Arboriculture; Gruppo Perdisa: Catania, Italy, 2007; pp. 205–221. [Google Scholar]
- Choi, I.S.; Lee, Y.G.; Khanal, S.K.; Park, B.J.; Bae, H.-J. A Low-Energy, Cost-Effective Approach to Fruit and Citrus Peel Waste Processing for Bioethanol Production. Energy 2015, 140, 65–74. [Google Scholar] [CrossRef]
- Wang, Y.-C.; Chuang, Y.-C.; Hsu, H.-W. The Flavonoid, Carotenoid and Pectin Content in Peels of Citrus Cultivated in Taiwan. Food Chem. 2008, 106, 277–284. [Google Scholar] [CrossRef]
- Andrade, M.A.; Lima, V.; Sanches Silva, A.; Vilarinho, F.; Castilho, M.C.; Khwaldia, K.; Ramos, F. Pomegranate and Grape By-Products and Their Active Compounds: Are They a Valuable Source for Food Applications? Trends Food Sci. Technol. 2019, 86, 68–84. [Google Scholar] [CrossRef]
- Ayala-Zavala, J.F.; Vega-Vega, V.; Rosas-Domínguez, C.; Palafox-Carlos, H.; Villa-Rodriguez, J.A.; Siddiqui, M.W.; Dávila-Aviña, J.E.; González-Aguilar, G.A. Agro-Industrial Potential of Exotic Fruit Byproducts as a Source of Food Additives. Food Res. Int. 2011, 44, 1866–1874. [Google Scholar] [CrossRef]
- Leporini, M.; Loizzo, M.R.; Sicari, V.; Pellicanò, T.M.; Reitano, A.; Dugay, A.; Deguin, B.; Tundis, R. Citrus x Clementina Hort. Juice Enriched with Its By-Products (Peels and Leaves): Chemical Composition, In Vitro Bioactivity, and Impact of Processing. Antioxidants 2020, 9, 298. [Google Scholar] [CrossRef]
- Martínez-Álvarez, O.; Iriondo-De-Hond, A.; Gómez-Estaca, J.; del Castillo, M.D. Nuevas tendencias en la producción y consumo alimentario. Distrib. Y Consumo. 2021, 1, 51–62. Available online: http://hdl.handle.net/10261/253463 (accessed on 20 April 2023).
- Lu, X.; Zhao, C.; Shi, H.; Liao, Y.; Xu, F.; Du, G.; Xiao, H.; Zheng, J. Nutrients and bioactives in Citrus fruits: Different Citrus varieties, fruit parts, and growth stages. Crit. Rev. Food Sci. Nutr. 2021, 5, 1–24. [Google Scholar] [CrossRef]
- Zhao, C.; Wang, F.; Lian, Y.; Xiao, H.; Zheng, J. Biosynthesis of Citrus flavonoids and their health effects. Crit. Rev. Food Sci. Nutr. 2020, 60, 566–583. [Google Scholar] [CrossRef]
- Fallico, B.; Ballistreri, G.; Arena, E.; Brighina, S.; Rapisarda, P. Bioactive compounds in blood oranges (Citrus sinensis (L.) Osbeck): Level and intake. Food Chem. 2017, 215, 67–75. [Google Scholar] [CrossRef]
- Lado, J.; Gambetta, G.; Zacarias, L. Key determinants of Citrus fruit quality: Metabolites and main changes during maturation. Sci. Hortic. 2018, 233, 238–248. [Google Scholar] [CrossRef]
- Russo, M.; Bonaccorsi, I.L.; Arigò, A.; Cacciola, F.; De Gara, L.; Dugo, P.; Mondello, L. Blood orange (Citrus sinensis) as a rich source of nutraceuticals: Investigation of bioactive compounds in different parts of the fruit by HPLC-PDA/MS. Nat. Prod. Res. 2021, 35, 4606–4610. [Google Scholar] [CrossRef]
- Smeriglio, A.; Cornara, L.; Denaro, M.; Barreca, D.; Burlando, B.; Xiao, J.; Trombetta, D. Antioxidant and Cytoprotective Activities of an Ancient Mediterranean Citrus (Citrus Lumia Risso) Albedo Extract: Microscopic Observations and Polyphenol Characterization. Food Chem. 2019, 279, 347–355. [Google Scholar] [CrossRef]
- Wang, Y.; Qian, J.; Cao, J.; Wang, D.; Liu, C.; Yang, R.; Li, X.; Sun, C. Antioxidant Capacity, Anticancer Ability and Flavonoids Composition of 35 Citrus (Citrus Reticulata Blanco) Varieties. Molecules 2017, 22, 1114. [Google Scholar] [CrossRef]
- Fernández-López, J.; Zhi, N.; Aleson-Carbonell, L.; Pérez-Alvarez, J.A.; Kuri, V. Antioxidant and Antibacterial Activities of Natural Extracts: Application in Beef Meatballs. Meat Sci. 2005, 69, 371–380. [Google Scholar] [CrossRef]
- Devatkal, S.K.; Narsaiah, K.; Borah, A. Anti-Oxidant Effect of Extracts of Kinnow Rind, Pomegranate Rind and Seed Powders in Cooked Goat Meat Patties. Meat Sci. 2010, 85, 155–159. [Google Scholar] [CrossRef]
- Nishad, J.; Koley, T.K.; Varghese, E.; Kaur, C. Synergistic Effects of Nutmeg and Citrus Peel Extracts in Imparting Oxidative Stability in Meat Balls. Food Res. Int. 2018, 106, 1026–1036. [Google Scholar] [CrossRef]
- Spinelli, S.; Lecce, L.; Likyova, D.; del Nobile, M.A.; Conte, A. Bioactive Compounds from Orange Epicarp to Enrich Fish Burgers. J. Sci. Food Agric. 2018, 98, 2582–2586. [Google Scholar] [CrossRef]
- Tayengwa, T.; Chikwanha, O.C.; Gouws, P.; Dugan, M.E.R.; Mutsvangwa, T.; Mapiye, C. Dietary Citrus Pulp and Grape Pomace as Potential Natural Preservatives for Extending Beef Shelf Life. Meat Sci. 2020, 162, 108029. [Google Scholar] [CrossRef]
- European Union. Commission Delegated Regulation (EU) 2019/428 of 12 July 2018 Amending Implementing Regulation (EU) No 543/2011 as Regards Marketing Standards in the Fruit and Vegetables Sector. Available online: http://data.europa.eu/eli/reg_del/2019/428/oj (accessed on 20 March 2023).
- McGuire, R.G. Reporting of objective color measurements. HortScience 1992, 27, 1254–1255. [Google Scholar] [CrossRef]
- Jimenez-Cuesta, M.; Cuquerella, J.; Martínez-Javega, J.M. Determination of a colour index for Citrus fruit degreening. In Proceedings of the International Society of Citriculture Citriculture, IV Congress, Tokyo, Japan, 9–12 November 1981; Volume 2, pp. 750–753. [Google Scholar]
- van der Sar, S.; Kim, H.K.; Meissner, A.; Verpoorte, R.; Choi, Y.H. Nuclear Magnetic Resonance Spectroscopy for Plant Metabolite Profiling. In The Handbook of Plant Metabolomics; John Wiley & Sons, Ltd.: Hoboken, NJ, USA, 2013; pp. 57–76. ISBN 978-3-527-66988-2. [Google Scholar]
- Martínez-Nicolás, J.J.; Hernández, F.; Núñez-Gómez, D.; García-Sánchez, F.; Martínez-Font, R.; Legua, P.; Melgarejo, P. Metabolomic Approach to Study the ‘Purple Queen’ Pomegranate Cultivar Response to Alternative Culture Media and Phenological Stages. Foods 2023, 12, 352. [Google Scholar] [CrossRef] [PubMed]
- Legua, P.; Forner-Giner, M.Á.; Nuncio-Jáuregui, N.; Hernández, F. Polyphenolic compounds, anthocyanins and antioxidant activity of nineteen pomegranate fruits: A rich source of bioactive compounds. J. Funct. Foods 2016, 23, 628–636. [Google Scholar] [CrossRef]
- Musacchi, S.; Serra, S. Apple fruit quality: Overview on pre-harvest factors. Sci. Hortic. 2018, 234, 409–430. [Google Scholar] [CrossRef]
- Massaglia, S.; Borra, D.; Peano, C.; Sottile, F.; Merlino, V.M. Consumer Preference Heterogeneity Evaluation in Fruit and Vegetable Purchasing Decisions Using the Best–Worst Approach. Foods 2019, 8, 266. [Google Scholar] [CrossRef] [PubMed]
- Hervalejo, A.; Arjona-López, J.M.; Ordóñez-Díaz, J.L.; Romero-Rodríguez, E.; Calero-Velázquez, R.; Moreno-Rojas, J.M.; Arenas-Arenas, F.J. Influence of Harvesting Season on Morphological and Sensory Quality, Bioactive Compounds and Antioxidant Activity of Three Late-Season Orange Cultivars ‘Barberina’, ‘Valencia Midknight’ and ‘Valencia Delta Seedless’. Agronomy 2021, 11, 673. [Google Scholar] [CrossRef]
- Rempelos, L.; Almuayrifi, M.S.B.; Baranski, M.; Tetard-Jones, C.; Barkla, B.; Cakmak, I.; Ozturk, L.; Cooper, J.; Volakakis, N.; Gavin Hall, G.; et al. The effect of agronomic factors on crop health and performance of winter wheat varieties bred for the conventional and the low input farming sector. Field Crops Res. 2020, 254, 107822. [Google Scholar] [CrossRef]
- Pathare, P.B.; Opara, U.L.; Al-Said, F.A.J. Colour Measurement and Analysis in Fresh and Processed Foods: A Review. Food Bioprocess Technol. 2013, 6, 36–60. [Google Scholar] [CrossRef]
- Cebadera-Miranda, L.; Domínguez, L.; Dias, M.I.; Barros, L.; Ferreira, I.C.F.R.; Igual, M.; Martínez-Navarrete, N.; Fernández-Ruiz, V.; Morales, P.; Cámara, M. Sanguinello and Tarocco (Citrus sinensis [L.] Osbeck): Bioactive compounds and colour appearance of blood oranges. Food Chem. 2019, 270, 395–402. [Google Scholar] [CrossRef]
- Cömert, E.D.; Mogol, B.A.; Gökmen, V. Relationship between color and antioxidant capacity of fruits and vegetables. Curr. Res. Food Sci. 2020, 2, 1–10. [Google Scholar] [CrossRef]
- Patras, A.; Brunton, N.P.; Downey, G.; Rawson, A.; Warriner, K.; Gernigon, G. Application of principal component and hierarchical cluster analysis to classify fruits and vegetables commonly consumed in Ireland based on in vitro antioxidant activity. J. Food Compos. Anal. 2011, 24, 250–256. [Google Scholar] [CrossRef]
- Morales, J.; Bermejo, A.; Navarro, P.; Forner-Giner, M.Á.; Salvador, A. Rootstock effect on fruit quality, anthocyanins, sugars, hydroxycinnamic acids and flavanones content during the harvest of blood oranges ‘Moro’ and ‘Tarocco Rosso’ grown in Spain. Food Chem. 2021, 342, 128305. [Google Scholar] [CrossRef]
- Cesa, S.; Carradori, S.; Bellagamba, G.; Locatelli, M.; Casadei, M.A.; Masci, A.; Paolicelli, P. Evaluation of processing effects on anthocyanin content and colour modifications of blueberry (Vaccinium spp.) extracts: Comparison between HPLC-DAD and CIELAB analyses. Food Chem. 2017, 232, 114–123. [Google Scholar] [CrossRef]
- Legua, P.; Modica, G.; Porras, L.; Conesa, A.; Continella, A. Bioactive compounds, antioxidant activity and fruit quality evaluation of eleven blood orange cultivars. J. Sci. Food Agric. 2021, 102, 2960–2971. [Google Scholar] [CrossRef]
- De Pascual, T.S.; Sanchez-Ballesta, M.T. Anthocyanins: From plant to health. Phytochemistry 2008, 7, 281–299. [Google Scholar] [CrossRef]
- Butelli, E.; Licciardello, C.; Zhang, Y.; Liu, J.; Mackay, S.; Bailey, P.; Reforgiato-Recupero, G.; Martin, C. Retrotransposons control fruit-specific, cold-dependent accumulation of anthocyanins in blood oranges. Plant Cell. 2012, 24, 1242–1255. [Google Scholar] [CrossRef]
- Todaro, A.; Cavallaro, R.; La Malfa, S.; Continella, A.; Gentile, A.; Fischer, U.A.; Carle, R.; Spagna, G. Anthocyanin profile and antioxidant activity of freshly squeezed pomegranate (Punica granatum L.) juices of Sicilian and Spanish provenances. It. J. Food Sci. 2016, 28, 464–479. [Google Scholar] [CrossRef]
- Lu, W.; Shi, Y.; Wang, R.; Su, D.; Tang, M.; Liu, Y.; Li, Z. Antioxidant Activity and Healthy Benefits of Natural Pigments in Fruits: A Review. Int. J. Mol. Sci. 2021, 22, 4945. [Google Scholar] [CrossRef]
- Ayala, J.R.; Montero, G.; Coronado, M.A.; García, C.; Curiel-Alvarez, M.A.; León, J.A.; Sagaste, C.A.; Montes, D.G. Characterization of Orange Peel Waste and Valorization to Obtain Reducing Sugars. Molecules 2021, 26, 1348. [Google Scholar] [CrossRef]
- Nateghpour, B.; Kavoosi, G.; Mirakhorli, N. Amino acid profile of the peel of three citrus species and its effect on the combination of amino acids and fatty acids Chlorella vulgaris. J. Food Compos. Anal. 2021, 98, 103808. [Google Scholar] [CrossRef]
- Li, P.; Yin, Y.L.; Li, D.; Kim, S.W.; Wu, G. Amino acids and immune function. Br. J. Nutr. 2007, 98, 237–252. [Google Scholar] [CrossRef] [PubMed]
- Waelsch, H. Glutamic Acid and Cerebral Function. In Advances in Protein Chemistry; Academic Press: Cambridge, MA, USA, 1951; Volume 6, pp. 299–341. [Google Scholar] [CrossRef]
- Xu, N.; Chen, G.; Liu, H. Antioxidative Categorization of Twenty Amino Acids Based on Experimental Evaluation. Molecules 2017, 22, 2066. [Google Scholar] [CrossRef] [PubMed]
- Mariotti, F.; Gardner, C.D. Dietary Protein and Amino Acids in Vegetarian Diets—A Review. Nutrients 2019, 11, 2661. [Google Scholar] [CrossRef] [PubMed]
- Xie, J.; Deng, B.; Wang, W.; Zhang, H. Changes in sugar, organic acid and free amino acid levels and the expression of genes involved in the primary metabolism of oleocellosis in Citrus peels. J. Plant Physiol. 2023, 280, 153877. [Google Scholar] [CrossRef] [PubMed]
- Carr, A.C.; Maggini, S. Vitamin C and Immune Function. Nutrients 2017, 9, 1211. [Google Scholar] [CrossRef] [PubMed]
- Pham-Huy, L.A.; He, H.; Pham-Huy, C. Free radicals, antioxidants in disease and health. Int. J. Biomed. Sci. 2008, 4, 89–96. [Google Scholar]
- Delgado, C.H.O.; Fleuri, L.F. Orange and mango by-products: Agroindustrial waste as source of bioactive compounds and botanical versus commercial description—A review. Food Rev. Int. 2016, 32, 1–14. [Google Scholar] [CrossRef]
- Kafkas, A.; Ercisli, S.; Kemal, K.N.; Baydar, K.; Yilmaz, H. Chemical composition of blood oranges varieties from Turkey. Tocomparative study. Pharmacogn. Mag. 2009, 5, 329–335. [Google Scholar] [CrossRef]
- Benassi, L.; Alessandri, I.; Vassalini, I. Assessing Green Methods for Pectin Extraction from Waste Orange Peels. Molecules 2021, 26, 1766. [Google Scholar] [CrossRef]
- de la Torre, I.; Martin-Dominguez, V.; Acedos, M.G.; Estevan, J.; Santos, V.E.; Ladero, M. Utilisation/upgrading of orange peel waste from a biological biorefinery perspective. Appl. Microbiol. Biotechnol. 2019, 103, 5975–5991. [Google Scholar] [CrossRef]
- Pareek, S.; Valero, D.; Serrano, M. Postharvest Biology and Technology of Pomegranate. J. Sci. Food Agric. 2015, 95, 2360–2379. [Google Scholar] [CrossRef]
- Simón-Grao, S.; Gimeno, V.; Simón, I.; Lidón, V.; Nieves, M.; Balal, R.M.; Carbonell-Barrachina, R.; Manera, A.; Hernandez, F.J.; García-Sánchez, F. Fruit quality characterization of eleven commercial mandarin cultivars in Spain. Sci. Hort. 2014, 165, 274–280. [Google Scholar] [CrossRef]
- Lana, G.; Modica, G.; Las Casas, G.; Siracusa, L.; La Malfa, S.; Gentile, A.; Sicilia, A.; Distefano, G.; Continella, A. Molecular Insights into the Effects of Rootstocks on Maturation of Blood Oranges. Horticulturae 2021, 7, 468. [Google Scholar] [CrossRef]
- Habibi, F.; Ramezanian, A.; Guillén, F.; Castillo, S.; Serrano, M.; Valero, D. Changes in Bioactive Compounds, Antioxidant Activity, and Nutritional Quality of Blood Orange Cultivars at Different Storage Temperatures. Antioxidants 2020, 9, 1016. [Google Scholar] [CrossRef]










Disclaimer/Publisher’s Note: The statements, opinions and data contained in all publications are solely those of the individual author(s) and contributor(s) and not of MDPI and/or the editor(s). MDPI and/or the editor(s) disclaim responsibility for any injury to people or property resulting from any ideas, methods, instructions or products referred to in the content. |
© 2023 by the authors. Licensee MDPI, Basel, Switzerland. This article is an open access article distributed under the terms and conditions of the Creative Commons Attribution (CC BY) license (https://creativecommons.org/licenses/by/4.0/).
Share and Cite
Melgarejo, P.; Ballesta-de los Santos, M.; Martínez-Nicolás, J.J.; Melián-Navarro, A.; Ruíz-Canales, A.; Forner-Giner, M.Á.; Legua, P. Comparative Analysis of Primary and Secondary Metabolites in the Peel of Eight Blood Orange Varieties. AgriEngineering 2023, 5, 1259-1279. https://doi.org/10.3390/agriengineering5030080
Melgarejo P, Ballesta-de los Santos M, Martínez-Nicolás JJ, Melián-Navarro A, Ruíz-Canales A, Forner-Giner MÁ, Legua P. Comparative Analysis of Primary and Secondary Metabolites in the Peel of Eight Blood Orange Varieties. AgriEngineering. 2023; 5(3):1259-1279. https://doi.org/10.3390/agriengineering5030080
Chicago/Turabian StyleMelgarejo, Pablo, Manuel Ballesta-de los Santos, Juan José Martínez-Nicolás, Amparo Melián-Navarro, Antonio Ruíz-Canales, María Ángeles Forner-Giner, and Pilar Legua. 2023. "Comparative Analysis of Primary and Secondary Metabolites in the Peel of Eight Blood Orange Varieties" AgriEngineering 5, no. 3: 1259-1279. https://doi.org/10.3390/agriengineering5030080
APA StyleMelgarejo, P., Ballesta-de los Santos, M., Martínez-Nicolás, J. J., Melián-Navarro, A., Ruíz-Canales, A., Forner-Giner, M. Á., & Legua, P. (2023). Comparative Analysis of Primary and Secondary Metabolites in the Peel of Eight Blood Orange Varieties. AgriEngineering, 5(3), 1259-1279. https://doi.org/10.3390/agriengineering5030080

